Rapid Integrated Design Verification of Vertical Take-Off and Landing UAVs Based on Modified Model-Based Systems Engineering
Abstract
1. Introduction
2. Digital Rapid-Design Architecture Development
2.1. LVC Environment Description
2.2. An End-to-End Demand Design-System Architecture
2.2.1. Demand-Analysis Side
2.2.2. Design-Analysis Side
3. The Case of Digital Development of UAVs
3.1. Demand Analysis and Design Indicator Decision
3.2. Aircraft General Design
3.2.1. Aerodynamic Shape Design and Optimization
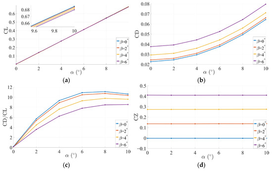
3.2.2. Aerodynamic Analysis Results
- Longitudinal Aerodynamic Performance Analysis
- 2.
- Lateral and Directional Aerodynamic-Performance Analysis
- 3.
- Available overload Analysis
- 4.
- Pitch-Maneuver Thrust Analysis
3.3. System Configuration
3.3.1. Propulsion System
3.3.2. Control System
3.3.3. Energy System
3.3.4. Detailed Description
3.3.5. Cost Considerations
3.3.6. Prototype
- The DB1 employs an “X” configuration to achieve high maneuverability during high-speed flight;
- Distinct from VTOL UAVs, the DB1 is capable of executing STT (Short Take-Off and Transition) with a minimal turning radius under special conditions;
- The differential drive method of the motors enables the DB1 to have a more rapid control response during flight;
- Despite the limited design space, the DB1 achieves a maximum lift-to-drag ratio of 11.
4. Dynamic Modeling and Controller Design
4.1. Dynamic Model
4.1.1. DB1 Model
4.1.2. Control Efficiency Model
- Motor Thrust and Torque Model
- 2.
- Gyroscopic Torque Model
- 3.
- Aerodynamic Forces and Torque Model
4.2. Controller Design
4.2.1. Multi-Rotor State
4.2.2. Fixed-Wing State
4.2.3. Transition-State Control-Law Design
5. Simulation and Test Validation
5.1. Simulation Results
5.1.1. Multi-Rotor State Simulation
5.1.2. Transition-State Simulation
5.1.3. Multi-State Hybrid Flight Simulation
5.2. LVC-Environment Simulation Results
5.3. Flight Test Results
6. Conclusions
Author Contributions
Funding
Data Availability Statement
Conflicts of Interest
Appendix A
| Symbol | Clarification | Symbol | Clarification |
|---|---|---|---|
| Thrust generated by the i-th motor (N) | UAV mass (kg) | ||
| Gravitational acceleration constant (9.8 N/kg) | Rotor speed (RPM) | ||
| Air density ( m3) | Rotor diameter (m) | ||
| Angle of attack, sideslip angle | , | Thrust, torque coefficient | |
| , , | Drag, side force, lift coefficient | Battery capacity (mAh) | |
| D, Y, L | Drag, side force, lift | Minimum battery capacity (mAh) | |
| Torque generated by the i-th motor (N·m) | Maximum discharge rate | ||
| , | Battery current (A), endurance time (min) | UAV rotational inertia | |
| UAV flight speed (m/s) | Diagonal Size | ||
| Body frame | Relative airflow velocity in the velocity frame | ||
| Ground frame | Gyroscopic torque | ||
| Velocity frame | |||
| Path frame | Rotation matrix from the ground frame to the velocity frame | ||
| Rotation matrix from the ground frame to the path frame | Rotation matrix from the velocity frame to the trajectory frame | ||
| Rotation matrix from the body frame to the velocity frame | Airflow velocity through the propeller in the body coordinate | ||
| Flight path in the ground frame, | , (rad/s) | ||
| Total rotational inertia of the motor rotor and propeller | , (°) | ||
| Total force in the body frame, | Torque generated by the propeller in the body frame | ||
| W | Attitude rate and body angular-velocity matrix | Gravity vector in the ground frame | |
| Torque generated by the body frame (N·M) | Aerodynamic forces in the velocity frame | ||
| Total thrust in the body frame | |||
| Aerodynamic moment in the velocity frame | Wingspan | ||
| Total wind speed in the ground frame | Atmospheric turbulence wind speed | ||
| Gust wind speed | Constant wind speed | ||
| ,, | Roll, pitch, yaw moment | Mean aerodynamic chord | |
| Roll, pitch, yaw moment coefficient | Transitional true airspeed | ||
| Wing reference area | Transitional command airspeed | ||
| Minimum speed in fixed-wing state | Maximum speed in fixed-wing state | ||
| Transition time | Equilibrium angle of attack constant |
References
- Lim, J.W.; Kim, Y.R.; Choi, B.C.; Ko, J.C. Analysis for Unmanned Aerial Vehicle Airworthiness Certification Criteria. J. Korean Soc. Aviat. Aeronaut. 2014, 22, 65–74. [Google Scholar] [CrossRef][Green Version]
- Ozdemir, U.; Aktas, Y.O.; Vuruskan, A.; Dereli, Y.; Tarhan, A.; Demirbag, K.; Erdem, A.; Kalaycioglu, G.; Ozkol, I.; Inalhan, G. Design of a commercial hybrid VTOL UAV system. J. Intell. Robot. Syst. 2014, 74, 371–393. [Google Scholar] [CrossRef]
- Ducard GJ, J.; Allenspach, M. Review of designs and flight control techniques of hybrid and convertible VTOL UAVs. Aerosp. Sci. Technol. 2021, 118, 107035. [Google Scholar] [CrossRef]
- Qiao, Z.; Wang, D.; Xu, J.; Pei, X.; Su, W.; Wang, D.; Bai, X. A Comprehensive Design and Experiment of a Biplane Quadrotor Tail-Sitter UAV. Drones 2023, 7, 292. [Google Scholar] [CrossRef]
- Rehan, M.; Akram, F.; Shahzad, A.; Shams, T.; Ali, Q. Vertical take-off and landing hybrid unmanned aerial vehicles: An overview. Aeronaut. J. 2022, 126, 2017–2057. [Google Scholar] [CrossRef]
- Panigrahi, S.; Krishna, Y.S.S.; Thondiyath, A. Design, analysis, and testing of a hybrid VTOL tilt-rotor UAV for increased endurance. Sensors. 2021, 21, 5987. [Google Scholar] [CrossRef]
- Chen, Z.; Jia, H. Design of Flight Control System for a Novel Tilt-Rotor UAV. Complexity 2020, 1, 4757381. [Google Scholar] [CrossRef]
- Rohr, D.; Studiger, M.; Stastny, T.; Lawrance, N.; Siegwart, R. Nonlinear model predictive velocity control of a VTOL tiltwing UAV. IEEE Robot. Autom. Lett. 2021, 6, 5776–5783. [Google Scholar] [CrossRef]
- Lv, Z.Y.; Wu, Y.; Zhao, Q.; Sun, X. Design and control of a novel coaxial tilt-rotor UAV. IEEE Trans. Ind. Electron. 2021, 69, 3810–3821. [Google Scholar] [CrossRef]
- Cakir, H.; Kurtuluş, D.F. Design and aerodynamic analysis of a VTOL tilt-wing UAV. Turk. J. Electr. Eng. Comput. Sci. 2022, 30, 767–784. [Google Scholar] [CrossRef]
- Li, B.; Sun, J.; Zhou, W.; Wen, C.; Low, L.; Chen, C. Transition optimization for a VTOL tail-sitter UAV. IEEE/ASME Trans. Mechatron 2020, 25, 2534–2545. [Google Scholar] [CrossRef]
- Lu, G.; Cai, Y.; Chen, N.; Kong, F.; Ren, Y.; Zhang, F. Trajectory generation and tracking control for aggressive tail-sitter flights. Int. J. Robot. Res. 2024, 43, 241–280. [Google Scholar] [CrossRef]
- Zou, X.; Liu, Z.; Wang, B.; Zhao, W.; Dang, Q. Model-free Control based Trajectory Tracking Control of a Tail-sitter UAV in Hovering Mode. IEEE Trans. Instrum. Meas. 2024, 73, 3517820. [Google Scholar] [CrossRef]
- Qi, H.; Cao, S.J.; Wu, J.Y.; Peng, Y.M.; Nie, H.; Wei, X.H. Research on the Effect Characteristics of Free-Tail Layout Parameters on Tail-Sitter VTOL UAVs. Agriculture 2024, 14, 472. [Google Scholar] [CrossRef]
- Ge, J.; Xiang, J.; Li, D.; Bai, W. Conceptual design of a tilt-rotor unmanned aerial vehicle for Mars exploration. Acta Astronaut. 2024, 222, 391–402. [Google Scholar] [CrossRef]
- Liang, Z.; Fan, L.; Wen, G.; Xu, Z. Design, Modeling, and Control of a Composite Tilt-Rotor Unmanned Aerial Vehicle. Drones 2024, 8, 102. [Google Scholar] [CrossRef]
- Hu, J.; Wei, J.; Liu, K.; Yu, X.; Cao, M.; Qin, Z. Hybrid Mode: Routinization of the Transition Mode as the Third Common Mode for Compound VTOL Drones. Drones 2024, 8, 93. [Google Scholar] [CrossRef]
- Liu, M.; Su, Z.; Zhu, J.; Guo, F.; You, Y. Flight analysis and optimization design of vectored thrust eVTOL based on cooperative flight/propulsion control. Aerosp. Sci. Technol. 2024, 149, 109143. [Google Scholar] [CrossRef]
- McIntosh, K.; Smith, J.M.; Mishra, S. Aerodynamics-Aware Design and Analysis of Controllers for Tailsitter Vehicles. IEEE/ASME Trans. Mechatron 2024, 29, 3100–3108. [Google Scholar] [CrossRef]
- Durán-Delfín, J.E.; García-Beltrán, C.D.; Guerrero-Sánchez, M.E.; Valencia-Palomo, G.; Hernandez-Gonzalez, O. Modeling and Passivity-Based Control for a convertible fixed-wing VTOL. Appl. Math. Comput. 2024, 461, 128298. [Google Scholar] [CrossRef]
- Athayde, A.; Moutinho, A.; Azinheira, J.R. Experimental Nonlinear and Incremental Control Stabilization of a Tail-Sitter UAV with Hardware-in-the-Loop Validation. Robotics 2024, 13, 51. [Google Scholar] [CrossRef]
- Kai, J.M. Full-Envelope Flight Control for Compound Vertical Takeoff and Landing Aircraft. J. Guid. Control Dyn. 2024, 47, 1–17. [Google Scholar] [CrossRef]
- Wang, Y.; Ma, W.; Chen, Z. Sensitivity Analysis for Design Parameters of Electric Tilt-Rotor Aircraft. Aerospace. 2024, 11, 322. [Google Scholar] [CrossRef]
- Aláez, D.; Olaz, X.; Prieto, M.; Villadangos, J.; Astrain, J. VTOL UAV digital twin for take-off, hovering and landing in different wind conditions. Simul. Model. Pract. Theory 2023, 123, 102703. [Google Scholar] [CrossRef]
- Zhao, H.; Wang, B.; Shen, Y.; Zhang, Y.; Li, N.; Gao, Z. Development of multimode flight transition strategy for Tilt-Rotor VTOL UAVs. Drones 2023, 7, 580. [Google Scholar] [CrossRef]
- Xu, S.; Liu, Y.; Zhang, J.; Zheng, Y. Preliminary Design and Optimization of Primary Structures for a Tilt-Duct UAV. Aerospace 2024, 11, 286. [Google Scholar] [CrossRef]
- Snyder, S.; Zhao, P.; Hovakimyan, N. Adaptive control for linear parameter-varying systems with application to a VTOL aircraft. Aerosp. Sci. Technol. 2021, 112, 106621. [Google Scholar] [CrossRef]
- Suiçmez, E.C.; Kutay, A.T. Full envelope nonlinear flight controller design for a novel electric VTOL (eVTOL) air taxi. Aeronaut. J. 2024, 128, 966–993. [Google Scholar] [CrossRef]
- Yu, Z.; Zhang, J.; Wang, X. Thrust vectoring control of a novel tilt-rotor UAV based on Backstepping sliding model method. Sensors. 2023, 23, 574. [Google Scholar] [CrossRef]
- Sun, Z.; Deng, Z.; Guo, Z.; Wu, L.; You, Y. Extended state observer-based continuous finite time control for a fixed-wing vertical take-off and landing unmanned aerial vehicle. Aerosp. Sci. Technol. 2024, 150, 109192. [Google Scholar] [CrossRef]
- Mimouni, M.Z.; Araar, O.; Oudda, A.; Haddad, M. A new control scheme for an aerodynamic-surface-free tilt-rotor convertible UAV. Aeronaut. J. 2024, 128, 1119–1144. [Google Scholar] [CrossRef]
- Musoles, J.L.; Garcia-Nieto, S.; Simarro, R.; Ramos, C. Motion Equations and Attitude Control in the Vertical Flight of a VTOL Bi-Rotor UAV: Part 2. Electronics 2024, 13, 2497. [Google Scholar] [CrossRef]
- Glaessgen, E.; Stargel, D. The digital twin paradigm for future NASA and US Air Force vehicles. In Proceedings of the 53rd AIAA/ASME/ASCE/AHS/ASC Structures, Structural Dynamics and Materials Conference, Honolulu, HI, USA, 23 April–26 April 2012; p. 1818. [Google Scholar]
- Castro, R.; Marcosig, E.P.; Giribet, J.I. Simulation model continuity for efficient development of embedded controllers in cyber-physical systems. In Complexity Challenges in Cyber Physical Systems: Using Modeling and Simulation (M&S) to Support Intelligence, Adaptation and Autonomy; John Wiley & Sons: Hoboken, NJ, USA, 2019; p. 8193. [Google Scholar]
- Gao, X.; Xiao, G.; Xie, K.; Wang, W.; Fu, Y.; Chang, C.; Wang, Z. A Framework of Modeling and Simulation Based on Swarm Ontology for Autonomous Unmanned Systems. Appl. Sci. 2023, 13, 9297. [Google Scholar] [CrossRef]
- Zhang, J.J.; Liu, Z.; Li, F.; Dong, D.; Meng, H.; Liu, H.; Chai, X. Employing model-based systems engineering (MBSE) on a civil aircraft research project: A case study. The Proceedings of the 2018 Asia-Pacific International Symposium on Aerospace Technology (APISAT 2018), Chengdu, China, 15–19 October 2018. Springer: Singapore, 2019; pp. 2178–2186. [Google Scholar]
- Borky, J.M.; Bradley, T.H. Effective Model-Based Systems Engineering. Springer: Berlin/Heidelberg, Germany, 2018. [Google Scholar]
- Mittal, S.; Tolk, A. Complexity Challenges in Cyber Physical Systems: Using Modeling and Simulation (M&S) to Support Intelligence, Adaptation and Autonomy; John Wiley & Sons: Hoboken, NJ, USA, 2019. [Google Scholar]
- Dimitrakos, T.; Lopez, J.; Martinelli, F. Collaborative Approaches for Cyber Security in Cyber-Physical Systems. Springer International Publishing: Berlin/Heidelberg, Germany, 2023. [Google Scholar]
- Bai, Z.; Zhang, B.; Zhu, W.; Yang, P.; Liang, Y. Analysis on Winning Mechanism and Countermeasure Mode of Anti-submarine Warfare. Mod. Def. Technol. 2024, 52, 36. [Google Scholar]
- Bai, Z.; Zhang, B.; Tian, Z.; Zou, S.; Zhu, W. Implementing a Multi-Attribute Decision-Making-Based Approach to Evaluate Small Electric Vertical Takeoff and Landing Fixed-Wing Drones with Mission Efficiency. Aerospace 2024, 11, 568. [Google Scholar] [CrossRef]
- Li, Z.; Yang, X. Evaluation of actuator disk model relative to actuator surface model for predicting utility-scale wind turbine wakes. Energies 2020, 13, 3574. [Google Scholar]
- Lyu, X.; Gu, H.; Wang, Y.; Li, Z.; Shen, S.; Zhang, F. Design and implementation of a quadrotor tail-sitter VTOL UAV. In Proceedings of the 2017 IEEE International Conference on Robotics and Automation (ICRA), Singapore, 29 May–3 June 2017; pp. 3924–3930. [Google Scholar]
- Quan, Q.; Dai, X.; Wang, S. Multicopter Design and Control Practice: A Series Experiments Based on MATLAB and Pixhawk. Springer Nature: Berlin/Heidelberg, Germany, 2020. [Google Scholar]
- Quan, Q. Introduction to Multicopter Design and Control. Springer: Singapore, 2017. [Google Scholar]
- Dai, X.; Quan, Q.; Ren, J.; Cai, K. An analytical design-optimization method for electric propulsion systems of multicopter UAVs with desired hovering endurance. IEEE/ASME Trans. Mechatron. 2019, 24, 228–239. [Google Scholar] [CrossRef]
- Dai, X.; Ke, C.; Quan, Q.; Cai, K. Simulation credibility assessment methodology with FPGA-based hardware-in-the-loop platform. IEEE Trans. Ind. Electron. 2020, 68, 3282–3291. [Google Scholar] [CrossRef]
- Akmeliawati, R.; Mareels, I.M.Y. Nonlinear energy-based control method for aircraft automatic landing systems. IEEE Trans. Control Syst. Technol. 2009, 18, 871–884. [Google Scholar] [CrossRef]
- Yayla, M.; Kutay, A.T.; Kutlu, A. Energy-based adaptive flight controller for improved coordinated longitudinal control. In Proceedings of the AIAA Scitech 2021 Forum, Virtual Event, 11–15 & 19–21 January 2021; p. 0533. [Google Scholar]
- Casau, P.; Cabecinhas, D.; Silvestre, C. Hybrid control strategy for the autonomous transition flight of a fixed-wing aircraft. IEEE Trans. Control Syst. Technol. 2012, 21, 2194–2211. [Google Scholar]
- Available online: https://youtu.be/ISAiG4p7oek (accessed on 13 August 2024).
- Available online: https://www.youtube.com/watch?v=_5WjP6yFLf0 (accessed on 13 August 2024).
- Available online: https://youtu.be/RiZ-zvzX4g0 (accessed on 13 August 2024).

























| Refs. | Aerodynamics | Structure | Control | Test | Type |
|---|---|---|---|---|---|
| Panigrahi, S. (2021) [6] | √ | √ | - | √ | TR |
| Rohr, D. (2021) [8] | - | - | √ | √ | TW |
| Lv, Z.Y. (2021) [9] | - | - | √ | √ | TR |
| Cakir, H. (2022) [10] | √ | - | - | - | TW |
| Li, B. (2020) [11] | - | - | √ | √ | DTT |
| Lu, G. (2024) [12] | - | - | √ | √ | DTT |
| Zou, X. (2024) [13] | - | - | √ | √ | CTT |
| Qi, H. (2024) [14] | √ | √ | √ | √ | CTT |
| Ge, J. (2024) [15] | √ | √ | √ | √ | TR |
| Liang, Z. (2024) [16] | √ | √ | √ | - | TR |
| Hu, J. (2024) [17] | - | - | √ | √ | DS |
| Liu, M. (2024) [18] | - | - | √ | √ | TR |
| McIntosh, K. (2024) [19] | - | - | √ | - | DTT |
| Durán-Delfín, J.E. (2024) [20] | - | - | √ | - | TR |
| Athayde, A. (2024) [21] | - | - | √ | √ | DTT |
| Kai, J.M. (2024) [22] | - | - | √ | √ | DS |
| Wang, Y. (2024) [23] | √ | - | - | - | TR |
| Aláez, D. (2023) [24] | √ | - | √ | √ | TR |
| Zhao, H. (2023) [25] | - | - | √ | √ | TR |
| Xu, S. (2024) [26] | - | √ | - | - | TR |
| Snyder, S. (2024) [27] | - | - | √ | - | DS |
| Suiçmez, E.C. (2024) [28] | - | - | √ | √ | TW |
| Yu, Z. (2023) [29] | - | - | √ | √ | TW |
| Sun, Z. (2024) [30] | - | - | √ | √ | DS |
| Mimouni, M.Z. (2024) [31] | - | - | √ | - | TR |
| Musoles, J.L. (2024) [32] | - | - | √ | - | TR |
| Relevant Parameter | Value |
|---|---|
| Take-Off and Landing Space Dimensions | ≯1.5 m × 1.5 m |
| Cruise Speed | ≮25 m/s |
| Flight Endurance | ≮30 min |
| Payload | ≮1.5 kg |
| Maximum Overload | ≮3 g |
| Type | Parameter | Value |
|---|---|---|
| Fuselage | Fuselage diameter | 0.15 m |
| Length | 0.85 m | |
| Wing | Span | 1.5 m |
| Root chord | 0.45 m | |
| Tip chord | 0.3 m | |
| Trailing-edge sweep angle | ||
| Airfoil | NACA0012 | |
| Wing insertion point (X, Y, Z) | (0.337 m, 0 m, 0 m) | |
| Wing area (per wing) | 0.562 m2 | |
| Number of wings | 4 | |
| Wing installation angle |
| Type | RPM | Thrust | Motor_Torque | Tiyz_Torque |
|---|---|---|---|---|
| No Mount Angle | 5836.21 | 24.5 N | 0.5927 N·m | 0 N·m |
| Mount Angle | 5880.58 | 24.9 N | 0.6027 N·m | 4.32 N·m |
| Parameter | Value |
|---|---|
| Diagonal Size | 1.3 m |
| Body mass | 2.5 kg |
| Propulsion system | 2 kg |
| Energy system (22,000 mAh) | 4 kg |
| 6000 | 7000 | 8000 | 9000 | ||
|---|---|---|---|---|---|
| N | |||||
| 29 m/s | 2.494 N | 10.583 N | 20.955 N | 32.422 N | |
| 34 m/s | 0 | 3.407 N | 11.606 N | 23.886 N | |
| 40 m/s | 0 | 0 | 2.229 N | 11.797 N | |
| 45 m/s | 0 | 0 | 0 | 2.833 N | |
Disclaimer/Publisher’s Note: The statements, opinions and data contained in all publications are solely those of the individual author(s) and contributor(s) and not of MDPI and/or the editor(s). MDPI and/or the editor(s) disclaim responsibility for any injury to people or property resulting from any ideas, methods, instructions or products referred to in the content. |
© 2024 by the authors. Licensee MDPI, Basel, Switzerland. This article is an open access article distributed under the terms and conditions of the Creative Commons Attribution (CC BY) license (https://creativecommons.org/licenses/by/4.0/).
Share and Cite
Bai, Z.; Zhang, B.; Song, M.; Tian, Z. Rapid Integrated Design Verification of Vertical Take-Off and Landing UAVs Based on Modified Model-Based Systems Engineering. Drones 2024, 8, 755. https://doi.org/10.3390/drones8120755
Bai Z, Zhang B, Song M, Tian Z. Rapid Integrated Design Verification of Vertical Take-Off and Landing UAVs Based on Modified Model-Based Systems Engineering. Drones. 2024; 8(12):755. https://doi.org/10.3390/drones8120755
Chicago/Turabian StyleBai, Zhuo, Bangchu Zhang, Mingli Song, and Zhong Tian. 2024. "Rapid Integrated Design Verification of Vertical Take-Off and Landing UAVs Based on Modified Model-Based Systems Engineering" Drones 8, no. 12: 755. https://doi.org/10.3390/drones8120755
APA StyleBai, Z., Zhang, B., Song, M., & Tian, Z. (2024). Rapid Integrated Design Verification of Vertical Take-Off and Landing UAVs Based on Modified Model-Based Systems Engineering. Drones, 8(12), 755. https://doi.org/10.3390/drones8120755

