Next Article in Journal
Cybersecurity Challenges in UAV Systems: IEMI Attacks Targeting Inertial Measurement Units
Next Article in Special Issue
Optimized Dynamic Deployment of UAVs in Maritime Networks with Route Prediction
Previous Article in Journal
Enhancing Direct Georeferencing Using Real-Time Kinematic UAVs and Structure from Motion-Based Photogrammetry for Large-Scale Infrastructure
Previous Article in Special Issue
A Hierarchical Deep Reinforcement Learning Approach for Throughput Maximization in Reconfigurable Intelligent Surface-Aided Unmanned Aerial Vehicle–Integrated Sensing and Communication Network
 
 
Font Type:
Arial Georgia Verdana
Font Size:
Aa Aa Aa
Line Spacing:
Column Width:
Background:
Article

Research on Enhanced Belief Propagation List Decoding Algorithm for Polar Codes in UAV Communications for 6G

1
College of Information and Communication Engineering, Harbin Engineering University, Harbin 150001, China
2
Institute of Systems Engineering, Academy of Military Sciences, People’s Liberation Army of China, Beijing 100141, China
*
Author to whom correspondence should be addressed.
These authors contributed equally to this work.
Drones 2024, 8(12), 737; https://doi.org/10.3390/drones8120737
Submission received: 16 October 2024 / Revised: 1 December 2024 / Accepted: 2 December 2024 / Published: 6 December 2024
(This article belongs to the Special Issue Space–Air–Ground Integrated Networks for 6G)

Abstract

The introduction of sixth-generation mobile communication technology (6G) poses new requirements for the capacity, rate, latency, and reliability of communication systems. As a vital component of 6G technology, unmanned aerial vehicle (UAV) communications also face various challenges, such as noise interference and limited hardware resources. To meet the high demands of 6G, advanced channel coding techniques need to be adopted. Polar codes, due to their theoretically achievable Shannon limit performance, have potential applications in UAV communication systems. Constructing reliable polar decoding schemes is currently a research hotspot in the field of communications. The Belief Propagation List (BPL) decoding algorithm for polar codes can effectively enhance the accuracy of polar code BP decoding. However, existing BPL decoding algorithms for polar codes face issues such as high hardware resource consumption and unsatisfactory decoding accuracy. Addressing the aforementioned issues, this paper proposes a BPL decoding algorithm for polar codes based on information geometry. An information geometry framework is constructed, where the soft information output by the BP decoder is treated as points on a statistical manifold, and their geometric properties are calculated. By introducing the concept of the soft information centroid and a path selection criterion based on the soft information centroid, combined with geometric distance as a weight, the decoding performance is improved, and hardware overhead is reduced. Simulation results show that under the conditions of a maximum of 60 iterations and 5 decoders, the proposed algorithm reduces the bit error rate by 16.2–74.9% compared to the classic BPL algorithm, providing strong technical support for the application of polar codes in scenarios such as UAV communications.

1. Introduction

With the vigorous development of sixth-generation mobile communication (6G) technology, unmanned aerial vehicle (UAV) communication, as an indispensable potential technology within it, is gradually demonstrating its unique advantages and broad application prospects. UAVs, as small aircraft, play a vital role in achieving airspace coverage in the global three-dimensional deep coverage of “space, air, ground, and sea” envisioned for 6G, thanks to their multifunctionality, high mobility, ease of deployment, and low cost [1]. Serving as an airspace-assisted communication platform, UAVs can fill in the blind spots of traditional communication networks, provide stable and efficient communication services, and offer robust support for communication needs in remote areas, emergency scenarios, and complex terrains.
However, UAV communication also faces numerous challenges, such as noise interference and limited hardware resources, which raise higher requirements for the performance of communication systems. The advent of 6G technology poses unprecedented challenges to the capacity, rate, latency, and reliability of communication systems [2]. To address these challenges, advanced technologies such as signal processing, spectrum management, and channel coding can be employed to enhance the performance of communication systems. Among them, channel coding technology is one of the key technologies for UAV communication in 6G due to its ability to significantly improve communication reliability and stability. Polar codes, a coding scheme proposed by E. Arikan based on polarization theory, are the first coding method theoretically proven to achieve the Shannon limit [3]. Their excellent coding performance and low complexity give polar codes broad application potential in UAV communication systems. Especially in scenarios with high-speed UAV movement and complex and changing channel conditions, polar codes can demonstrate their powerful error correction capability and stability, ensuring the continuity and reliability of communication.
To meet the high requirements of 6G for UAV communication systems, efficient decoding methods are needed to fully leverage the advantages of polar codes. In terms of polar code decoding, there are mainly two approaches: Successive Cancellation (SC) decoding and Belief Propagation (BP) decoding. Among them, the BP algorithm, characterized by its high-throughput decoding and high parallelism, favors hardware implementation. As a soft-input soft-output decoding algorithm, it is suitable for application in iterative detection and decoding systems. Arikan proposed a BP polar decoding algorithm based on message propagation in references [3,4] and further provided iterative formulas for BP decoding in reference [5], highlighting the superiority of BP decoding. The BP decoding algorithm not only improves decoding speed but also maintains high decoding accuracy in complex and changing UAV communication environments, providing robust support for the reliability of UAV communication.
However, a major drawback of BP decoding is its relatively poor error correction performance. Even after sufficient iterations, the decoding accuracy of the BP decoding algorithm is only slightly higher than that of the SC decoding algorithm and inferior to the Successive Cancellation List (SCL) decoding algorithm and various enhanced SC decoding algorithms. Elkelesh et al. found in reference [6] that permutation factor graphs can improve BP decoding algorithms and later proposed a decoding algorithm called Belief Propagation List (BPL) in reference [7], which uses multiple factor graphs for decoding and complements the decoding results to achieve similar decoding performance to SCL.
The BPL decoding process is as follows: Firstly, the signal y received from the channel end is input into L independent BP decoders (with different factor graphs) for decoding, yielding L decoding results. Then, using Euclidean distance as the path selection criterion, one decoding result is selected from the L results as the decoding output. Currently, researchers mainly focus on optimizing polar code BPL decoding in the following aspects:
  • Optimizing the selection of factor graphs. The study in [8] points out that for polarized codes with code length N, there are ( l o g 2 N ) ! species factor diagrams. How to select L factor graphs for decoding has become a research hotspot in BPL decoding. Early factor graph selection schemes were mainly empirical [7,9]. As research progresses, researchers have analyzed factor graphs through various methods and selected them based on their reliability. Reference [10] effectively ranks factor graphs based on the number of cycles of length 12 in the permuted factor graphs. Reference [11] uses EXIT charts to analyze the performance of permutation factor graphs. Reference [12] ranks factor graphs based on the upper bound of the error probability of different factor graphs. Reference [13] analyzes the performance of factor graphs under different sorting modes based on frozen bits. Reference [14] treats a polar code of length N as the concatenation of two subcodes of length N / 2 , yielding more than ( l o g 2 N ) ! factor graphs.
  • Architecture design. Regarding the architecture design for polar code BPL decoding, parallel BPL decoders are currently the main research focus, with some research on serial BPL decoders [9,10,15]. Each architecture design for two BPL decoders has its pros and cons. Parallel BPL decoders consume more hardware resources but offer slightly better performance and lower latency. Serial BPL decoders share the same BP decoder, leading to higher latency but are more conducive to hardware design.
  • Using noise perturbation [16] or other post-processing methods [17] to process failed decoding results and improve overall decoding performance.
  • Combining with other decoding methods. Reference [18] proposes an efficient BPL decoding algorithm by combining BPL with renew min-sum (RMS) decoding. Reference [19] proposes a BP-based sparse graph list (BP-SGL) decoding algorithm by combining BPL with low-density parity-check (LDPC) decoding.
However, research on polar code BPL decoding algorithms has neglected the study of path selection criteria. Existing path selection schemes generally have the following issues:
  • Existing path selection schemes need to determine whether the x ^ = u ^ G is met in each iteration and discard decoding results that still do not meet x ^ = u ^ G after reaching the maximum number of iterations, leading to two adverse consequences: on the one hand, the decision condition x ^ = u ^ G is stringent. Simulation results in reference [12] show that, taking a polar code with a code length of (1024, 512) as an example, even after 200 iterations, few decoding results meet the decision condition, resulting in the need for a sufficiently large number of BP decoders; on the other hand, since the decision x ^ = u ^ G involves matrix operations in a finite field, combined with a large number of iterations and BP decoders, this leads to excessive hardware resource usage. Even with improved factor graph selection methods, the issue of excessive hardware resource usage is improved but remains unsatisfactory. Due to the limited payload of UAVs, it is necessary to design solutions to reduce hardware resource usage.
  • Existing path selection schemes first perform hard decisions on the decoding results of each decoder and then select one from the L decoding results as the output codeword. This does not utilize the advantage of BP decoding’s soft-input soft-output capability.
  • Existing path selection schemes mainly use Euclidean distance for decision-making, lacking mathematical analysis of the soft information of the decoding output and failing to consider the non-Euclidean nature of the Bernoulli distribution manifold.
  • Existing path selection schemes all select one decoding result from L decoding results, wasting the other L 1 decoding results.
  • Existing path selection schemes do not consider analyzing and ranking the weights of the L decoders.
To address the challenges of UAV noise interference and limited hardware resources and the above issues, this paper proposes a path selection criterion based on information geometry for BPL decoding (Belief Propagation List Decoding Based on Information Geometry, BPLIG). The innovations of this paper are as follows:
  • This paper utilizes information geometry to conduct mathematical analysis on polar code decoding results and establish a mathematical model. The soft information output by each BP decoder is mapped to a point on a statistical manifold. Mathematical tools of information geometry are used to analyze the statistical manifold and calculate its metrics, distances, and other properties.
  • The concept of the “soft information centroid” is proposed. Information geometry is used to perform equivalent calculations on L points on the statistical manifold, and a path selection criterion based on the soft information centroid is proposed, which neither wastes decoding results nor ignores the weight of each decoding result.
  • Geometric distance is used as the weight of the decoder, and a path selection criterion for polar code BPL decoding based on geometric distance is proposed. Simulation results show that the new path selection criterion proposed in this paper can improve the error correction performance of polar code BP decoding with fewer iterations and BP decoders, meeting the payload requirements of UAVs.
The remainder of this paper is organized as follows. Section 2 reviews the BPL decoding process of polar codes. Section 3 establishes the mathematical framework for polar code BPL decoding, calculates the metric matrix of the statistical manifold, proposes the concept of the “soft information centroid”, presents the path selection criterion for polar code BPL decoding based on the soft information centroid, and proposes a weight selection method based on geometric distance for this path selection criterion. Section 4 presents simulation analysis. Section 5 summarizes and discusses future directions. The main symbols used in this paper are listed in Table 1.

2. Preliminaries

This section introduces the Belief Propagation List (BPL) decoding algorithm for Polar codes and related concepts in information geometry.

2.1. BPL Decoding Algorithm for Polar Codes

2.1.1. BP Decoding Algorithm for Polar Codes

In the BP decoding algorithm, information is propagated through computational units as shown in Figure 1. L i , j and R i , j , respectively, represent the left-going and right-going soft information for node ( i , j ) on the factor graph, often expressed in terms of log-likelihood ratios. Therefore, the information update process for a computational unit can be represented as follows:
L i , j = f ( L i + 1 , 2 j 1 , L i + 1 , 2 j + R i , j + N / 2 ) L i , j + N / 2 = f ( R i , j , L i + 1 , 2 j 1 ) + L i + 1 , 2 j R i + 1 , 2 j 1 = f ( R i , j , L i + 1 , 2 j + R i , j + N / 2 ) R i + 1 , 2 j = f ( R i , j , L i + 1 , 2 j 1 ) + R i , j + N / 2
where
f ( α , β ) = ln ( e α + β + 1 e α + e β ) s i g n ( α , β ) min ( | α | , | β | )

2.1.2. BPL Decoding Algorithm for Polar Codes

A polar code of length N has ( l o g 2 N ) ! factor graphs, which is referred to as the “overcomplete representation” of polar codes [8]. The study in [20] shows that although non-original factor graphs do not outperform the original factor graph in performance, using different factor graphs for decoding can yield gains in the error-correction performance of BP decoding. Figure 2 presents two of the factor graphs for a code length of N = 8 [12].
Based on the aforementioned concept of “overcomplete representation”, the study in [7] proposes the BPL decoding algorithm, which performs close to Successive Cancellation List (SCL) decoding in performance. Since using different factor graphs for decoding results in different decoding performances, simultaneously using multiple factor graphs for decoding and complementing the decoding results can achieve better decoding performance. This is the main reason for the excellent performance of the BPL decoding algorithm for polar codes. Unlike SCL decoding, BPL decoding employs N completely independent BP decoders operating in parallel, each using a different factor graph for decoding.
It is evident that the key to the excellent performance of the BPL decoding algorithm lies in formulating a reasonable path selection rule and selecting the optimal decoding result from L decoding outcomes. Currently, the Euclidean distance calculation formula, defined by Equation (3), is primarily used:
x ^ B P L = arg x i , i { 1 , , L } min y x ^ i .
The BPL algorithm flow diagram of the polar code using traditional path selection criteria is shown in Figure 3. In traditional path selection criteria, each of the L sub-BP decoders performs an x ^ = u ^ G check after each individual iteration. If a decoder passes the check, its current output is stored until all BP decoders stop or the maximum iteration count I m a x is reached. Once all BP decoders stop, the Euclidean distance decision maker at the end of the decoders activates. If there are paths that pass the check, only the path with the smallest Euclidean distance among those that pass the check is selected for output.
However, due to the stringent conditions of x ^ = u ^ G , when the maximum iteration count I m a x is small, all BP decoders may fail to pass the check, resulting in decoding failure. This paper aims to propose a new path selection criterion that can improve the error-correction performance of BP decoding for polar codes even when the maximum iteration count I m a x is small.

2.2. Information Geometry

With the explosive growth in the variety and number of electronic devices, driven by advancements in wireless communication technology, the electromagnetic environment for wireless communication has become increasingly complex. The complexity and uncertainty posed by noise and interference in communication signals have become prominent issues, posing new challenges to technologies such as channel coding. Scholars have attempted to solve problems in the field of information and communication by leveraging modern differential geometry, a mathematical theory. This emerging theoretical framework is known as information geometry and is regarded as a revolutionary information theory. The main idea of information geometry is to define a family of probability distribution functions as a geometric manifold and then convert problems in the field of information and communication into mathematical problems on the geometric manifold by defining metrics and connections. Various methods from modern differential geometry are then employed to solve these problems [21,22]. This paper mainly deals with the concepts of statistical manifolds, metric matrices, and distances.

2.2.1. Concept of Statistical Manifold

A manifold, an important concept in differential geometry, is an extension of Euclidean space. It can be visualized as being pieced together from Euclidean spaces, with each local part possessing the properties of Euclidean space [21]. A family of parameterized probability distributions, under certain regularity conditions, can be regarded as a manifold, known as a statistical manifold. The n-dimensional vector serves as the coordinate of the manifold. Each point on the statistical manifold represents a probability distribution function. The geometric structure of the statistical manifold reflects the intrinsic properties of the family of probability distribution functions, which are the foundation of information theory research. Therefore, the statistical manifold provides an important carrier for the geometric study of information theory.

2.2.2. Metric Matrix

To describe the local properties of a manifold, the concept of a metric is defined on the tangent space. A metric is a mapping that assigns a real number to a pair of vectors, denoted as G. In information geometry, the Fisher information matrix is used as the metric for statistical manifolds [23].

2.2.3. Distance

Based on the concept of a metric, the distance between two points on a manifold can be defined. Let θ ( t ) be a curve on the manifold connecting two points θ 1 and θ 2 , where t is the variable, and θ ( t 1 ) = θ 1 , θ ( t 2 ) = θ 2 . Then, the distance between θ 1 and θ 2 is given by (4).
D ( θ 1 , θ 2 ) = t 1 t 2 d θ d t T G ( θ ) d θ d t d t .
This distance depends on the choice of the curve θ ( t ) . The shortest curve connecting θ 1 and θ 2 is called a geodesic, and the shortest length is defined as the geodesic distance, also known as the Riemannian distance. Due to the difficulty in calculating the Riemannian distance, approximate solutions are often used in engineering practice.

3. Research on BPL Decoding Algorithm for Polar Codes Based on Information Geometry

In this section, we first establish an information geometric framework for the BPL (Belief Propagation List) decoding algorithm of polar codes. Secondly, the concept of the “soft information centroid” is introduced, and a path selection criterion based on the soft information centroid is proposed. Finally, a weight selection method for this path selection criterion based on geometric distance is presented.

3.1. List Decoding Algorithm for Polar Codes from the Perspective of Information Geometry

In this subsection, leveraging the theory of information geometry and utilizing the characteristics of the soft outputs from the BP (Belief Propagation) decoding of polar codes, a geometric framework is constructed for the BPL decoding algorithm of polar codes. Firstly, the statistical manifold where the soft information resides is analyzed, with each soft information output from a BP decoder regarded as a point on this statistical manifold. Then, the metric matrix of this statistical manifold is calculated.

3.1.1. Distance Analysis of Log-Likelihood Ratios ( L L R )

The soft information used in Belief Propagation (BP) decoding of polar codes is represented by the Log-Likelihood Ratio ( L L R ):
L L R = ln p ( x = 1 ) p ( x = 0 ) .
Inthis context, the sign of the L L R indicates the decision result: if the L L R is positive, the decision result is 1; if the L L R is negative, the decision result is 0. The magnitude of the absolute value of the L L R represents the reliability of the decision: the larger the absolute value of the L L R , the higher the reliability of the decision result.
Consider the following four L L R values: L L R A = 0.5 ,   L L R B = 0.5 ,   L L R C = 10 , L L R D = 11 at this point, we have L L R A L L R B = L L R C L L R D , which means, from the perspective of Euclidean geometry, the distance between A and B is the same as the distance between C and D.
However, in terms of decision outcomes, the difference between C and D is not significant, both indicating a high confidence in deciding as 1, whereas the difference between A and B is substantial, as they lead to completely opposite decision results. In other words, the space in which L L R s reside is not a flat space. Next, we will analyze this space using the concept of information geometry.

3.1.2. Statistical Manifold Formed by Bernoulli Distributions

The probability distribution of each codeword is a Bernoulli distribution, which we usually use as follows:
0 1 p 1 p .
The exponential deformation of Bernoulli distribution is s follows:
p ( x ) = p x ( 1 p ) 1 x = exp [ x ln x + ( 1 x ) ln ( 1 p ) ] .
Let λ = L L R = ln p 1 p , and then p = e λ 1 + e λ ; it follows that:
p ( x ; λ ) = exp [ x ln e λ 1 + e λ + ( 1 x ) ln 1 e λ 1 + e λ ] = exp [ λ x ln ( 1 + e λ ) ] .
The statistical manifold on which the L L R (Log-Likelihood Ratio) lies is:
M = { p ( x ; λ ) = exp [ λ x ln ( 1 + e λ ) ] x { 0 , 1 } , λ R } .
This is a one-dimensional manifold.

3.1.3. Statistical Manifold Formed by the Joint Probability Density Distribution of Bernoulli Distributions

For polar codes with a code length of ( N , K ) , the output consists of soft information for K information bits. As mentioned earlier, the soft information for one information bit can be represented as a point on a statistical manifold formed by a one-dimensional Bernoulli distribution. Therefore, the soft information for K information bits can be represented as a point on a K-dimensional statistical manifold, which is composed of the joint probability distribution of K one-dimensional Bernoulli distributions. The joint probability distribution can be expressed as:
p ( x ; λ ) = i exp [ λ i x ln ( 1 + e λ i ) ] = exp [ i λ i x i ln ( 1 + e λ i ) ] .
In this formula, λ = ( λ 1 , λ 2 , , λ K ) , i [ 1 , K ] . This K-dimensional statistical manifold can be represented as:
M = { p ( x ; λ ) = exp [ i λ i x i ln ( 1 + e λ i ) ] } .

3.1.4. Calculation of Metric Matrix

Firstly, we calculate the first-order derivative:
λ i ln p ( x ; λ ) = λ i [ i λ i x i ln ( 1 + e λ i ) ] = x e λ i ( 1 + e λ i ) .
The second-order derivative is:
2 λ i 2 ln p ( x ; λ ) = 2 λ i 2 [ x e λ i ( 1 + e λ i ) ] = e λ i ( 1 + e λ i ) 2 2 λ i λ j ln p ( x ; λ ) = 0 .
The Fisher information matrix is:
I ( λ ) = E [ 2 λ 2 ln p ( x ; λ ) ] = E { 2 λ 2 [ λ x ln ( 1 + e λ ) ] } = e λ 1 ( 1 + e λ 1 ) 2 e λ 2 ( 1 + e λ 2 ) 2 e λ K ( 1 + e λ K ) 2 .
Therefore, the metric matrix is:
G ( λ ) = I ( λ ) .
Obviously, the metric matrix of the statistical manifold formed by Bernoulli distributions is not an identity matrix, which means that this manifold is not a Euclidean space. Hence, Euclidean distance is not suitable for calculating the difference between two points on this manifold. This aligns with our analysis in Section 3.1.1.

3.2. Path Selection Criterion Based on Soft Information Centroid

This subsection firstly introduces the concept of the “soft information centroid”. By performing equivalent calculations on L decoding results, a path selection criterion for polar code Belief Propagation List (BPL) decoding based on the soft information centroid is proposed. The feasibility of this path selection criterion is then demonstrated through bit error rate (BER) calculations.

3.2.1. Soft Information Centroid

Definition: For L points λ 1 , λ 2 , , λ j , , λ L corresponding to soft information, the expression
λ ¯ = j w j λ j j w j
is defined as the soft information centroid. Here, w j represents the weight corresponding to each soft information centroid.

3.2.2. Path Selection Criterion Based on Soft Information Centroid

The path selection criterion based on the soft information centroid is as follows in Figure 4:
  • First, map the L decoding results to L points on the manifold and assign weights to them;
  • Then, calculate the soft information centroid of the L decoder soft information;
  • Finally, make a decision based on the soft information centroid and output the decoding result.
Unlike traditional path selection criteria that use only one decoding result as the output, this paper adopts the soft information centroid to equivalently calculate L decoding results and uses it as the output of BPL decoding. The traditional path selection criterion can be regarded as a special case of this method. Assuming that the kth decoder is the path with the smallest Euclidean distance in passing the check, then:
w j = 1 j = k 0 j k .

3.2.3. Bit Error Rate Calculation

Assuming that the decoding performance of the L factor graphs is the same, each factor graph has the same weight w, and the soft information centroid is j = 1 L λ j L . For any information bit, let us assume the transmitted codeword is 1. After decoding, the output soft information is λ . If λ 0 , the decoding is incorrect; if λ > 0 , the decoding is correct. Assuming λ follows a normal distribution, the original BP decoding bit error rate is:
p ( λ 0 ) = Φ ( 0 μ σ ) = Φ ( μ σ ) ,
where Φ represents the cumulative distribution function of the normal distribution.
When calculating the soft information output of L factor graphs using the soft information centroid, given that j = 1 L λ j follows a normal distribution with parameters ( L μ , L σ 2 ) , the bit error rate of BPL decoding employing the path selection criterion proposed in this paper is:
p ( λ 1 + λ 2 + + λ L L 0 ) = p ( λ 1 + λ 2 + + λ L 0 ) = Φ ( 0 L μ L σ ) = Φ ( L μ σ ) .
When the bit error rate is less than 0.5, μ > 0 , L μ σ < μ σ . Since the cumulative distribution function of the normal distribution is monotonically increasing, the bit error rate of BPL decoding using the path selection criterion proposed in this paper is less than the original BP decoding bit error rate.
Assuming that the decoding performance varies across different L factor graphs, without loss of generality, we assume that the transmitted codeword is 1. Let P e i represent the bit error rate, then:
P e i = p ( λ i 0 ) = Φ ( 0 μ i σ i ) = Φ ( μ i σ i ) .
Assuming the factor graph decoding performance is ranked from best to worst, let P e 1 < P e 2 < < P e L < 0.5 . At this point, w 1 > w 2 > > w L , μ 1 > μ 2 > > μ L , σ 1 2 < σ 2 2 < < σ L 2 .
Since j = 1 L w j λ j follows a normal distribution with parameters ( j = 1 L w j μ j , j = 1 L w j 2 σ j 2 ) , the bit error rate of BPL decoding using the path selection criterion proposed in this paper is:
p ( j = 1 L w j λ j j = 1 L w j 0 ) = p ( j = 1 L w j λ j 0 ) = Φ ( 0 j = 1 L w j μ j j = 1 L w j 2 σ j 2 ) = Φ ( j = 1 L w j μ j j = 1 L w j 2 σ j 2 ) .
When the BPL bit error rate is lower than the bit error rate of each BP decoder, we have:
p ( j = 1 L w j λ j j = 1 L w j 0 ) < p ( λ 1 0 ) ,
i.e.,
Φ ( j = 1 L w j μ j j = 1 L w j σ j 2 ) < Φ ( μ L σ L ) .
Since the cumulative function of the normal distribution function is a monotonically increasing function, (3)–(17) hold if and only if:
j = 1 L w j μ j j = 1 L w j 2 σ j 2 > μ 1 σ 1 .
Since both the mean and variance are positive numbers, after deformation, we obtain:
j = 1 L w j μ j σ 1 > j = 1 L w j 2 σ j 2 μ 1 .
Expanding the left side of (25), we obtain:
j = 1 L w j μ j σ 1 > L w L μ L σ 1 .
Expanding the right side of (25), we obtain:
L w 1 μ 1 σ L > j = 1 L w j 2 σ j 2 μ 1 .
When (28) is satisfied, (22) holds:
L w L μ L σ 1 > L w 1 μ 1 σ L .
After deformation, we obtain:
w L > 1 L · μ 1 σ 1 · σ L μ L w 1 = 1 L Φ 1 ( P e 1 ) Φ 1 ( P e L ) w 1 .
Since w L w 1 < 1 , when Φ 1 ( P e 1 ) Φ 1 ( P e L ) < L , there always exists a set of weights w j that satisfies Equation (22).
This subsection proves that when the performance gap between the L factor graphs is not significant ( Φ 1 ( P e 1 ) Φ 1 ( P e L ) < L ) , the bit error rate of BPL decoding using the path selection criterion proposed in this paper is less than the original BP decoding bit error rate. Since the traditional path selection criterion selects one decoding result from the L factor graph decoding results for output, the bit error rate of BPL decoding using the path selection criterion proposed in this paper is less than that based on the traditional path selection criterion. In Appendix A, the bit error rate in non-Gaussian channels was derived and the same conclusion was reached.

3.3. Path Selection Criterion for BPL Decoding of Polar Codes Based on Geometric Distance

Based on the above analysis, this paper proposes a weight selection method based on geometric distance. In the Belief Propagation (BP) decoding of polar codes, the magnitude of the absolute value of soft information represents the reliability of the decision: the larger the absolute value of the soft information, the greater the reliability of the decoding result. Within the mathematical framework of information geometry, points farther from the origin represent more reliable decoding results. Therefore, the distance from the origin to λ i can be used as the weight for the soft information corresponding to that point. According to Equations (14) and (15), the distance from a point to the origin can be expressed as:
D ( λ , 0 ) = λ G ( λ ) λ T = λ 1 , λ 2 , , λ K e λ 1 ( 1 + e λ 1 ) 2 e λ 2 ( 1 + e λ 2 ) 2 e λ K ( 1 + e λ K ) 2 λ 1 λ 2 λ K = i e λ i ( 1 + e λ i ) 2 λ i 2 .
In this formula, i [ 1 , K ] , where the distance calculation serves as an approximate representation of Equation (4).
Then, the path selection criterion for BPL decoding of polar codes based on information geometry is as follows:
  • First, map the L decoding results to L points on a manifold, calculate the distance from each point to the origin, and use this distance as the weight for the soft information;
  • Next, calculate the centroid of the soft information for the L decoders;
  • Finally, make a decision based on the centroid of the soft information and output the decoding result.
This scheme uses the statistical manifold formed by the joint probability density distribution of the Bernoulli distribution as the research platform, replaces Euclidean distance with geometric distance, and simultaneously considers the soft information from the decoding results of L decoders. It provides a new scheme for the path selection criterion in the BPL decoding algorithm for polar codes. The primary advantage of this scheme lies in its elimination of the need for a decision x ^ = u ^ G at each iteration, thereby enhancing the error correction performance of BP decoding for polar codes with a reduced number of iterations and BP decoders.

4. Simulation Verification

The simulation parameters and environment for this run are shown in Table 2 below.
Following the approach outlined in reference [12], the factor graph selection in this simulation experiment fixes the first six layers of the factor graph and reorders the last four layers. Simulations are conducted for a total of 4! factor graph configurations. The decoder corresponding to the original factor graph is denoted as L 24 = ( l 9 , l 8 , , l 0 ) (with the sequence number determined by the magnitude of the four-digit number arranged in four layers), as shown in Figure 5. After simulation verification, it is found that L 23 = ( l 9 , l 8 , l 6 , l 7 , l 5 , , l 0 ) , L 18 = ( l 8 , l 9 , l 7 , l 6 , l 5 , , l 0 ) , L 17 = ( l 8 , l 9 , l 6 , l 7 , l 5 , , l 0 ) , L 22 = ( l 9 , l 7 , l 8 , l 6 , l 5 , , l 0 ) are the factor graphs with the best decoding performance, which aligns with the results in reference [12]. Therefore, in this experiment, when L = 5, the ( L 24 , L 23 , L 22 , L 18 , L 17 ) factor graph is selected as the BP decoder; when L = 10, the ( L 24 , L 23 , L 22 , L 21 , L 19 , L 18 , L 17 , L 14 , L 12 , L 10 ) factor graph is chosen as the BP decoder. (Note: The specific factor graphs selected for L = 5 and L = 10 are omitted here and should be filled in based on the actual simulation results).

4.1. AWGN

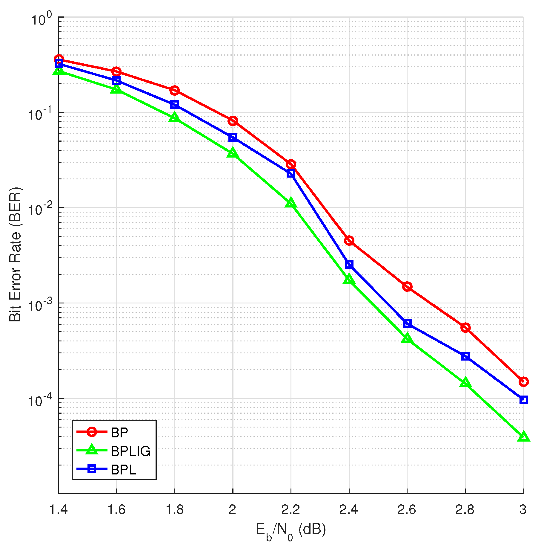
In this experiment, the BPL decoding algorithm based on information geometry (BPLIG) proposed in this paper is compared with the traditional BPL decoding algorithm based on path selection criteria and the original BP decoding. Simulations were conducted with code lengths of (1024, 512), and the maximum number of iterations was set to both 30 and 60, respectively. The simulation results are shown in Figure 6 and Figure 7.
The simulation results demonstrate that both the BPL decoding algorithm based on traditional path selection criteria and the BPL decoding algorithm based on information geometry can effectively enhance the error correction performance of BP decoding. Under equivalent conditions, compared to the BPL decoding algorithm based on traditional path selection criteria, the BPL decoding algorithm based on information geometry proposed in this paper reduces the bit error rate (BER) by 15.9–59.8% when the maximum number of iterations is 30 and by 16.2–74.9% when the maximum number of iterations is 60.
To provide a more intuitive comparison of the decoding performance between the two path selection criteria, this paper simulates the traditional BPL decoding algorithm with 10 decoders. The simulation results are shown in Figure 8.
The simulation results indicate that the decoding accuracy of the BPL decoding algorithm based on information geometry proposed in this paper, with a maximum of 30 iterations and 5 decoders, is comparable to that of the BPL decoding algorithm based on traditional path selection criteria, which uses a maximum of 60 iterations and 10 decoders.

4.2. Fading Channel

4.2.1. Large-Scale Fading Caused by Shadowing Effect

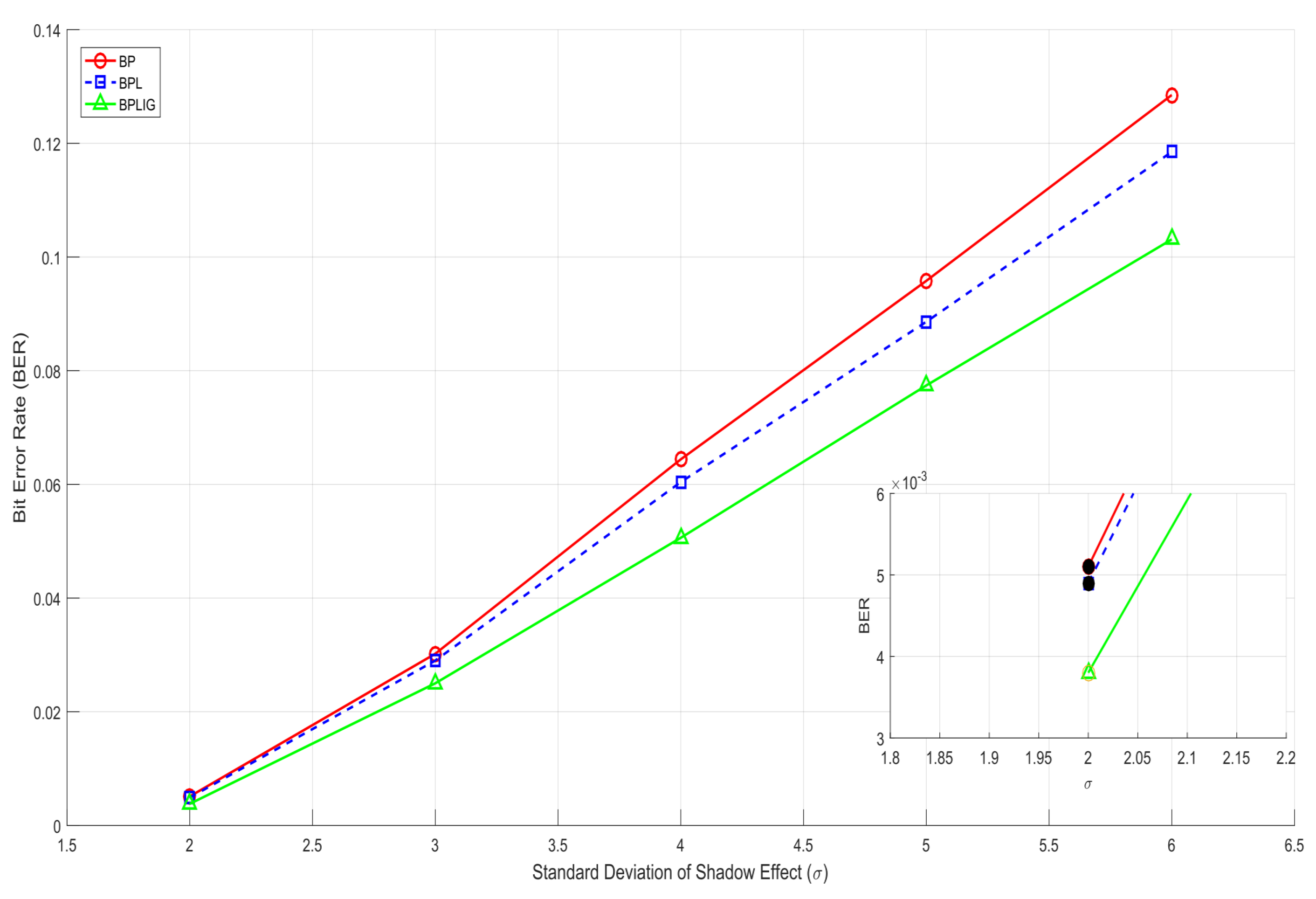
This simulation takes a polar code with a code length of (1024, 307) as an example, with E b / N 0 set to 2.5 dB, the maximum number of iterations set to 60, and the number of decoders L = 5. The log-normal shadowing effect with standard deviations ranging from 2 to 6 dB is considered, and time diversity is adopted as the diversity technique. The bit error rate (BER) is shown in the Figure 9 below:
The simulation results show that the bit error rate (BER) of the path selection criterion proposed in this paper is reduced by 17.2–25.5% compared to the BP decoding of polar codes, and the improvement effect is better than that of the BPL decoding of polar codes based on traditional path selection criteria.

4.2.2. Small-Scale Fading Caused by Multipath Effect

The simulation presented here takes a polar code with a code length of (1024, 307) as an example. The E b / N 0 ratio is set to 2.5 dB, the maximum number of iterations is configured to 60, and the number of decoders L is set to five. Assuming there is a direct path, the power of other paths is multiplied by a random attenuation factor relative to the direct path. The delay for each path is set to be one sampling point apart. The number of paths is varied from three to seven. The bit error rate (BER) results are illustrated in the Figure 10 below:
The simulation results demonstrate that the bit error rate (BER) of the BPL decoding based on the path selection criterion proposed in this paper is reduced by 54.4–67.8% compared to the BPL decoding of polar codes based on traditional path selection criteria.

4.2.3. Summary of Simulation Experiment in Fading Channel

The simulation results for both types of fading channels show that, under the same simulation conditions, the BER of the BPL decoding based on the path selection criterion using information geometry proposed in this paper is lower than that of the BPL decoding of polar codes based on traditional path selection criteria. This is because when channel conditions are poor, many decoders fail to meet criterion x ^ = u ^ G , resulting in the BPL decoding degrading to BP decoding.
Furthermore, the path selection criterion proposed in this paper does not require judgment of matrix operations in the finite field after each iteration, significantly reducing computational overhead. Taking E b / N 0 = 2 dB as an example, with a maximum of 30 iterations, five decoders, and using an AMD Ryzen 5 5600H CPU, the average simulation runtime for the BPL decoding algorithm based on traditional path selection criteria over 100 runs is 71.61 s, while the average runtime for the BPL decoding algorithm based on information geometry proposed in this paper over 100 runs is 48.95 s. Thus, the simulation runtime of the proposed BPL decoding algorithm based on information geometry is reduced by 31.6%.

5. Conclusions

This paper investigates the Belief Propagation List (BPL) decoding algorithm for polar codes in unmanned aerial vehicle (UAV) communication scenarios in 6G, with a particular focus on path selection criteria based on information geometry. Firstly, a review of the traditional BPL decoding algorithm for polar codes is provided, highlighting the shortcomings of its path selection criteria in terms of error correction performance. Subsequently, this paper introduces the theoretical framework of information geometry to mathematically model and analyze the soft information in BPL decoding. The concept of the soft information centroid is proposed, along with a path selection criterion based on this centroid. The feasibility of this method is analyzed, and geometric distance is adopted as the weight for this method. Simulation results demonstrate that, compared to the traditional BPL algorithm, this method exhibits higher decoding accuracy, reduces hardware overhead, and better adapts to the requirements of UAV communication.
The research in this paper offers new theoretical explanations and optimization methods for the BP list decoding algorithm of polar codes, providing valuable insights for further improving the decoding performance of polar codes. It also provides robust support for the application of polar codes in complex scenarios such as UAV communication in 6G. Future research can be conducted along the following two directions:
  • Investigate the architectural design of the algorithm, converting the parallel algorithm proposed in this paper into a serial one;
  • The weight selection method based on geometric distance proposed in this paper is an empirical value and has room for optimization.

Author Contributions

This research was accomplished by all the authors: Y.H. and C.Z. conceived the idea, performed the analysis, and designed the scheme; C.Z. and Z.D. conducted the numerical simulations; Y.H., C.Z. and Z.D. co-wrote the manuscript. All authors have read and agreed to the published version of the manuscript.

Funding

This research received no external funding.

Data Availability Statement

The data used to support the findings of the current study are available from the authors upon request.

Conflicts of Interest

The authors declare no conflicts of interest.

Appendix A. The Bit Error Rate in Non-AWGN Channels

The appendix mainly analyzes the bit error rate in non AWGN channels. In Section 3.2.3, we conducted an analysis of the bit error rate (BER) in the context of an Additive White Gaussian Noise (AWGN) channel, demonstrating that when there is little difference in decoder performance, the Bit-Flipping with Path Loss (BPL) decoding based on the path selection criterion proposed in this paper yields a lower BER than both the original Belief Propagation (BP) decoding and BPL decoding based on traditional path selection criteria.
If the channel is not an AWGN channel, it is difficult to determine the probability distribution of the soft information after decoding because the BP decoding result of polar codes is generated through iterations. However, an analysis of the BER can still be conducted. For any information bit, let us assume the transmitted codeword is 1. After decoding, the output soft information is λ . If λ < 0 , the decoding is incorrect; if λ 0 , the decoding is correct. Let λ i be independent and identically distributed; the mean value of the distribution is μ , the variance is σ 2 , and Φ represents the cumulative distribution function.

Appendix A.1. The Decoding Performance of L Factor Graphs Is the Same

Assuming that L factor graphs have the same decoding performance, each factor graph has the same weight w, and the soft information centroid is j = 1 L λ j L . According to the central limit theorem, when L is sufficiently large, j = 1 L λ j follows a normal distribution with parameters ( L μ , L σ 2 ) , the bit error rate of BPL decoding employing the path selection criterion proposed in this paper is:
p ( λ 1 + λ 2 + + λ L L 0 ) = p ( λ 1 + λ 2 + + λ L 0 ) = Φ ( 0 L μ L σ ) = Φ ( L μ σ ) .
When the bit error rate is less than 0.5, μ > 0 , L μ σ < μ σ . Since the cumulative distribution function of the normal distribution is monotonically increasing, the bit error rate of BPL decoding using the path selection criterion proposed in this paper is less than the original BP decoding bit error rate.

Appendix A.2. The Decoding Performance Difference of L Factor Graphs Is Small

Assuming that the decoding performance varies across different L factor graphs, without loss of generality, we assume that the transmitted codeword is 1. Let P e i represent the bit error rate, then:
P e i = p ( λ i 0 ) .
Assuming the factor graph decoding performance is ranked from best to worst, let P e 1 < P e 2 < < P e L < 0.5 . At this point, w 1 > w 2 > > w L , μ 1 > μ 2 > > μ L , σ 1 2 < σ 2 2 < < σ L 2 .
j = 1 L w j λ j follows a distribution with parameters ( j = 1 L w j μ j , j = 1 L w j 2 σ j 2 ) . When the decoding performance difference of L factor graphs is small, μ 1 μ 2 μ L and σ 1 σ 2 σ L , j = 1 L w j μ j = μ 1 j = 1 L w j , j = 1 L w j 2 σ j 2 = σ 1 2 j = 1 L w j 2 the bit error rate of BPL decoding using the path selection criterion proposed in this paper is:
p ( j = 1 L w j λ j j = 1 L w j 0 ) = p ( j = 1 L w j λ j 0 ) = Φ ( 0 j = 1 L w j μ j j = 1 L w j 2 σ j 2 ) = Φ ( j = 1 L w j μ j j = 1 L w j 2 σ j 2 ) .
When the BPL bit error rate is lower than the bit error rate of each BP decoder, we have:
p ( j = 1 L w j λ j j = 1 L w j 0 ) < p ( λ 1 0 ) ,
i.e.,
Φ ( j = 1 L w j μ j j = 1 L w j σ j 2 ) < Φ ( μ L σ L ) .
Since the cumulative function is a monotonically increasing function, (A5) holds if and only if:
j = 1 L w j μ j j = 1 L w j 2 σ j 2 = μ 1 j = 1 L w j σ 1 j = 1 L w j 2 > μ 1 σ 1
Since ( j = 1 L w j ) 2 > j = 1 L w j 2 , the formula (A4) holds.

References

  1. Wang, J.; Na, Z.; Liu, X. Collaborative Design of Multi-UAV Trajectory and Resource Scheduling for 6G-Enabled Internet of Things. IEEE Internet Things J. 2021, 8, 15096–15106. [Google Scholar] [CrossRef]
  2. He, Y.; Xiao, Y.; Zhang, S.; Jia, M.; Li, Z. Direct-to-Smartphone for 6G NTN: Technical Routes, Challenges, and Key Technologies. IEEE Netw. 2024, 38, 128–135. [Google Scholar] [CrossRef]
  3. Arikan, E. Channel Polarization: A Method for Constructing Capacity-Achieving Codes for Symmetric Binary-Input Memoryless Channels. IEEE Trans. Inf. Theory 2009, 55, 3051–3073. [Google Scholar] [CrossRef]
  4. Arikan, E. A performance comparison of polar codes and Reed-Muller codes. IEEE Commun. Lett. 2008, 12, 447–449. [Google Scholar] [CrossRef]
  5. Arıkan, E. Polar codes: A pipelined implementation. In Proceedings of the 4th ISBC, Fukuoka, Japan, 4–6 November 2010; Volume 2010, pp. 11–14. [Google Scholar]
  6. Elkelesh, A.; Ebada, M.; Cammerer, S.; ten Brink, S. Belief propagation decoding of polar codes on permuted factor graphs. In Proceedings of the 2018 IEEE Wireless Communications and Networking Conference (WCNC), Barcelona, Spain, 15–18 April 2018; pp. 1–6. [Google Scholar]
  7. Elkelesh, A.; Ebada, M.; Cammerer, S.; Ten Brink, S. Belief propagation list decoding of polar codes. IEEE Commun. Lett. 2018, 22, 1536–1539. [Google Scholar]
  8. Hussami, N.; Korada, S.B.; Urbanke, R. Performance of polar codes for channel and source coding. In Proceedings of the 2009 IEEE International Symposium on Information Theory, Seoul, Republic of Korea, 28 June–3 July 2009; pp. 1488–1492. [Google Scholar]
  9. Doan, N.; Hashemi, S.A.; Mondelli, M.; Gross, W.J. On the decoding of polar codes on permuted factor graphs. In Proceedings of the 2018 IEEE Global Communications Conference (GLOBECOM), Abu Dhabi, United Arab Emirates, 9–13 December 2018; pp. 1–6. [Google Scholar]
  10. Ren, Y.; Shen, Y.; Zhang, Z.; You, X.; Zhang, C. Efficient belief propagation polar decoder with loop simplification based factor graphs. IEEE Trans. Veh. Technol. 2020, 69, 5657–5660. [Google Scholar] [CrossRef]
  11. Chen, Z.Q.; Li, L.; Ma, Z.; Fan, P.Z. List selection and decision fusion scheme for belief propagation list decoding of polar codes. In Proceedings of the 2019 IEEE 30th Annual International Symposium on Personal, Indoor and Mobile Radio Communications (PIMRC), Istanbul, Turkey, 8–11 September 2019; pp. 1–7. [Google Scholar]
  12. Li, B.; Bai, B.; Zhu, M.; Zhou, S. Improved Belief Propagation List Decoding for Polar Codes. In Proceedings of the 2020 IEEE International Symposium on Information Theory (ISIT), Los Angeles, CA, USA, 21–26 June 2020; pp. 1–6. [Google Scholar] [CrossRef]
  13. Li, H.; Huang, J.; Sun, C. Improved belief propagation list decoding for polar codes. Electronics 2022, 11, 2458. [Google Scholar] [CrossRef]
  14. Hashemi, S.A.; Doan, N.; Mondelli, M.; Gross, W.J. Decoding Reed-Muller and polar codes by successive factor graph permutations. In Proceedings of the 2018 IEEE 10th International Symposium on Turbo Codes & Iterative Information Processing (ISTC), Hong Kong, China, 3–7 December 2018; pp. 1–5. [Google Scholar]
  15. Ren, Y.; Shen, Y.; Zhang, L.; Kristensen, A.T.; Balatsoukas-Stimming, A.; Boutillon, E.; Burg, A.; Zhang, C. High-Throughput and Flexible Belief Propagation List Decoder for Polar Codes. IEEE Trans. Signal Process. 2024, 72, 1158–1174. [Google Scholar]
  16. Yuyu, Y.; Chao, Y.; Qasim, J.; Yaoyue, H.; Zhiwen, P.; Nan, L.; Xiaohu, Y. Noise-aided belief propagation list bit-flip decoder for polar codes. In Proceedings of the 2020 International Conference on Wireless Communications and Signal Processing (WCSP), Nanjing, China, 21–23 October 2020; pp. 807–810. [Google Scholar]
  17. Feng, B.; Liu, R.; Tian, K. A novel post-processing method for belief propagation list decoding of polar codes. IEEE Commun. Lett. 2021, 25, 2468–2471. [Google Scholar] [CrossRef]
  18. Ren, Y.; Xu, W.; Zhang, Z.; You, X.; Zhang, C. Efficient belief propagation list decoding of polar codes. In Proceedings of the 2019 IEEE 13th International Conference on ASIC (ASICON), Chongqing, China, 29 October–1 November 2019; pp. 1–4. [Google Scholar]
  19. Liu, H.; Gunawan, E.; Yaoyue, H.; Guan, Y.L. BP-Based Sparse Graph List Decoding of Polar Codes. IEEE Commun. Lett. 2023, 27, 1257–1261. [Google Scholar] [CrossRef]
  20. Li, L.; Liu, L. Belief propagation with permutated graphs of polar codes. IEEE Access 2020, 8, 17632–17641. [Google Scholar] [CrossRef]
  21. Amari, S.I. Information Geometry and Its Applications; Springer: Berlin/Heidelberg, Germany, 2016; Volume 194. [Google Scholar]
  22. Sun, H.; Zhang, Z.; Peng, L.; Duan, X. An Elementary Introduction to Information Geometry; Science Press: Beijing, China, 2016. [Google Scholar]
  23. Nielsen, F. An elementary introduction to information geometry. Entropy 2020, 22, 1100. [Google Scholar] [CrossRef] [PubMed]
Figure 1. Minimal computational unit for BP decoding.
Figure 1. Minimal computational unit for BP decoding.
Drones 08 00737 g001
Figure 2. Minimal two-permutation factor graphs for polar codes of length 8.
Figure 2. Minimal two-permutation factor graphs for polar codes of length 8.
Drones 08 00737 g002
Figure 3. Flow diagram of polar code BPL algorithm using traditional path selection criteria.
Figure 3. Flow diagram of polar code BPL algorithm using traditional path selection criteria.
Drones 08 00737 g003
Figure 4. Flow diagram of polar code BPL algorithm based on soft information centroid.
Figure 4. Flow diagram of polar code BPL algorithm based on soft information centroid.
Drones 08 00737 g004
Figure 5. Bit error rate for different factor graphs at E b / N 0 = 2 dB.
Figure 5. Bit error rate for different factor graphs at E b / N 0 = 2 dB.
Drones 08 00737 g005
Figure 6. The bit error rate performance of BPLIG compared to BPL and BP ( I m a x = 30, L = 5).
Figure 6. The bit error rate performance of BPLIG compared to BPL and BP ( I m a x = 30, L = 5).
Drones 08 00737 g006
Figure 7. The bit error rate performance of BPLIG compared to BPL and BP ( I m a x = 60, L = 5).
Figure 7. The bit error rate performance of BPLIG compared to BPL and BP ( I m a x = 60, L = 5).
Drones 08 00737 g007
Figure 8. The bit error rate performance of BPLIG (L = 5) compared to BPL (L = 10).
Figure 8. The bit error rate performance of BPLIG (L = 5) compared to BPL (L = 10).
Drones 08 00737 g008
Figure 9. The bit error rate performance of BPLIG compared to BPL in Large-scale fading channel.
Figure 9. The bit error rate performance of BPLIG compared to BPL in Large-scale fading channel.
Drones 08 00737 g009
Figure 10. The bit error rate performance of BPLIG compared to BPL in Small-scale fading channel.
Figure 10. The bit error rate performance of BPLIG compared to BPL in Small-scale fading channel.
Drones 08 00737 g010
Table 1. Symbol comparison table.
Table 1. Symbol comparison table.
SymbolMeaning
LNumber of BP Decoders
ySignal Received from the Channel
NCode Length
KLength of Information Bits
xCodeword
x ^ Estimated Codeword
uInformation Sequence
u ^ Estimated Information Sequence
GGenerator Matrix
L , R Soft Information for Leftward and Rightward Propagation
l i Factor Graph at the i-th Layer
R n n-Dimensional Euclidean Space
λ Parameter of the PDF 1 for Bernoulli Distribution
λ Parameter of the Joint PDF for Bernoulli Distribution
I ( λ ) Fisher Information Matrix
G ( λ ) Metric Matrix
wWeight
Φ Cumulative Distribution Function of the Standard Normal Distribution
1 PDF: Probability Density Function.
Table 2. The simulation parameters and environmen.
Table 2. The simulation parameters and environmen.
CategoryParameter/ConditionValue/Description
Polar Code ParametersCode Length1024
Information Bit Length512/307
Construction MethodGaussian Approximation
Channel ParametersModulation SchemeBPSK
Channel TypeAWGN/Fading channel
E b / N 0 1.4–3
Decoder ParametersBPL DecoderBP, BPL and BPLIG
Number of DecoderS5 and 10
Maximum Number of Iterations30 and 60
Hardware EnvironmentCPU ModelAMD Ryzen 5 5600H
Disclaimer/Publisher’s Note: The statements, opinions and data contained in all publications are solely those of the individual author(s) and contributor(s) and not of MDPI and/or the editor(s). MDPI and/or the editor(s) disclaim responsibility for any injury to people or property resulting from any ideas, methods, instructions or products referred to in the content.

Share and Cite

MDPI and ACS Style

Zhu, C.; He, Y.; Dou, Z. Research on Enhanced Belief Propagation List Decoding Algorithm for Polar Codes in UAV Communications for 6G. Drones 2024, 8, 737. https://doi.org/10.3390/drones8120737

AMA Style

Zhu C, He Y, Dou Z. Research on Enhanced Belief Propagation List Decoding Algorithm for Polar Codes in UAV Communications for 6G. Drones. 2024; 8(12):737. https://doi.org/10.3390/drones8120737

Chicago/Turabian Style

Zhu, Chuanji, Yuanzhi He, and Zheng Dou. 2024. "Research on Enhanced Belief Propagation List Decoding Algorithm for Polar Codes in UAV Communications for 6G" Drones 8, no. 12: 737. https://doi.org/10.3390/drones8120737

APA Style

Zhu, C., He, Y., & Dou, Z. (2024). Research on Enhanced Belief Propagation List Decoding Algorithm for Polar Codes in UAV Communications for 6G. Drones, 8(12), 737. https://doi.org/10.3390/drones8120737

Article Metrics

Back to TopTop