Next Article in Journal
A Review of Drone Technology and Operation Processes in Agricultural Crop Spraying
Next Article in Special Issue
Safety-Critical Trajectory Tracking Control with Safety-Enhanced Reinforcement Learning for Autonomous Underwater Vehicle
Previous Article in Journal
Autonomous Underwater Vehicle Docking Under Realistic Assumptions Using Deep Reinforcement Learning
 
 
Font Type:
Arial Georgia Verdana
Font Size:
Aa Aa Aa
Line Spacing:
Column Width:
Background:
Article

Three-Dimensional Path Following Control for Underactuated AUV Based on Ocean Current Observer

by
Long He
,
Ya Zhang
*,
Shizhong Li
,
Bo Li
and
Zeihui Yuan
School of Mechanical and Electrical Engineering, North University of China, Taiyuan 030051, China
*
Author to whom correspondence should be addressed.
Drones 2024, 8(11), 672; https://doi.org/10.3390/drones8110672
Submission received: 12 October 2024 / Revised: 11 November 2024 / Accepted: 11 November 2024 / Published: 13 November 2024
(This article belongs to the Special Issue Advances in Autonomy of Underwater Vehicles (AUVs))

Abstract

In the marine environment, the motion characteristics of Autonomous Underwater Vehicles (AUVs) are influenced by unknown factors such as time-varying ocean currents, thereby amplifying the complexity involved in the design of path-following controllers. In this study, a backstepping sliding mode control method based on a current observer and nonlinear disturbance observer (NDO) has been developed, addressing the 3D path-following issue for AUVs operating in the ocean environment. Accounting for uncertainties like variable ocean currents, this research establishes the AUV’s kinematics and dynamics models and formulates the tracking error within the Frenet–Serret coordinate system. The kinematic controller is designed through the line-of-sight method and the backstepping method, and the dynamic controller is developed using the nonlinear disturbance observer and the integral sliding mode control method. Furthermore, an ocean current observer is developed for the real-time estimation of current velocities, thereby mitigating the effects of ocean currents on navigational performance. Theoretical analysis confirms the system’s asymptotic stability, while numerical simulation attests to the proposed method’s efficacy and robustness in 3D path following.

1. Introduction

As marine resource development progresses, the performance requirements for unmanned underwater vehicles (UUVs) also continuously increases. UUVs are crucial for tasks including marine environmental monitoring and maritime defense [1,2,3], serving as capable assistants for humanity in exploring the ocean world. Especially when executing complex tasks, such as three-dimensional spiral maneuvers, navigating through narrow and obstacle-filled waters, or conducting underwater pipeline inspections, AUVs must be capable of performing more complex three-dimensional movements [4]. For underactuated AUVs, path following poses a foundational challenge for 3D maneuvering control. Having excellent path following capability is essential to ensure mission success. However, the impact of varying ocean currents and unanticipated disturbances complicates the AUV’s spatial motion model, introducing nonlinear coupling and uncertainties in parameter values that directly affect the AUV and deteriorate its tracking control performance.
Over the past few years, considerable advancements have been achieved in the research dealing with these problems. Faced with the challenge of sea currents, some researchers have chosen to assume that the currents are known or to treat the currents as external disturbances [5,6]. This approach avoids loss of control of the navigator when the currents are weak, but in reality, the currents tend to be unpredictable and challenging to directly assess. Consequently, researchers have proposed a variety of enhanced line-of-sight (LOS) guidance methods, including the integral LOS (ILOS) [7,8,9], the adaptive integral LOS (AILOS) [10,11,12], and the adaptive LOS (ALOS) [4,13,14], to eliminate the effect of currents on path following by introducing a compensation mechanism into the guidance law. These methods are more effective when the sideslip angle is constant or varies. ILOS guidance integrates a traditional LOS guidance approach by incorporating an integral term, designed to mitigate the impact of unknown drift forces on navigation. AILOS guidance assumes a constant parameter for the unknown sideslip angle, which is dynamically adjusted via an adaptive law that incorporates compensation within the inverse tangent function. Fossen et al. introduced a new ALOS guidance law [13]. Unlike the previous ones, the ALOS guidance law introduces an angle estimation on the outside of the inverse tangent function. Simulation results confirm that the approach demonstrates superior tracking performance in response to the change in sideslip angle. However, when confronted with rapidly changing ocean currents and significant sideslip angles, these methods may struggle to meet the stringent requirements for tracking accuracy. In addition, the use of observation techniques has also been proposed to cope with the difficulties posed by currents, such as identifying the sideslip induced by disturbances such as currents by expanding the state observer [15,16]. Effective path following for AUVs is achieved through precise estimation and compensation of the unknown sideslip angle in the guidance law. This approach has good estimation accuracy for larger sideslip angles, but the tracking error may be larger in terms of the overshoot phenomenon [12]. Moreover, these methods often require precise a priori knowledge of ocean current models, and there may be errors in parameter estimation. Jiang et al. simultaneously estimated the sideslip angle, the current velocity, and the unknown relative velocity by means of an observer [17]. In response to the issues of trajectory tracking and path following for AUV, some research has also designed an ocean current observer to directly estimate the ocean currents [18,19]. Inspired by the above references, for the 3D path following problem, a current observer is developed to gauge the three-dimensional current vectors utilizing the kinematic equations of the AUV, and a forward-looking distance that can be flexibly adjusted is designed as a way to reduce the bias brought by the current factor to the AUV sailing trajectory.
For other disturbances and model uncertainties, a variety of advanced control methods have been developed, including, but not limited to, sliding mode control, neural network estimation, adaptive methods, and observer estimation techniques. Reference [20] designed a new adaptive backstepping sliding mode control algorithm aimed at neutralizing the impact of unknown disturbances, thereby enhancing control performance. Xiang et al. proposed an adaptive sliding mode control method that effectively enhances the system’s robustness against unknown actuator hysteresis and external ocean disturbances by integrating a nonlinear disturbance observer and Nussbaum gain technology [21]. Xia et al. developed an adaptive terminal sliding mode control strategy for underactuated AUVs facing ocean currents and input saturation. This strategy extends the disturbance observer to assess and counteract the dynamic uncertainties induced by ocean currents [22]. Peng et al. proposed a control strategy integrating anti-jamming constraint control and neural network-based optimization to cope with the uncertainty and constraints of the underwater environment, and they verified its effectiveness through simulation tests [23]. Wang et al. developed a control strategy that leverages a radial basis function neural network to mitigate ocean current disturbances and model uncertainties. This strategy optimizes the control law using a sliding mode control method, thereby enhancing the system’s robustness [24]. Rong et al. proposed a path-following method that incorporates a fractional-order sliding mode disturbance observer along with an adaptive control strategy for stochastic disturbances. They verified its control performance and robustness through simulation [25]. Gao et al. introduced a backstepping control strategy that employs a disturbance observer for trajectory tracking under conditions of external disturbances and parameter uncertainty, and they verified its effectiveness [26]. Some scholars have proposed methods that combine deep learning [27,28,29] with fuzzy control to enhance the system’s ability to handle uncertainties. Xiang and others proposed a fuzzy 3D path-following control method, which is based on an adaptive fuzzy PID controller of heuristic fuzzy logic [30], but the quality of fuzzy rules affects the approximation error. Patre and others established a fuzzy terminal sliding mode controller and integrated fuzzy logic into the control system, which allows for the compensation of external disturbances, unmodeled dynamics, and varying parameters, thereby enhancing the robustness of the control strategy [31]. Nevertheless, the intricacy of parameter tuning continues to limit the utilization of fuzzy control techniques in motion control applications. We develop a nonlinear disturbance observer and incorporate the concept of sliding mode control to boost the precision and stability of the AUV’s control system. Considering that external disturbances can negatively impact system dynamics, we integrate an adaptive mechanism into the disturbance observer. This mechanism estimates the bounds of the observation error in real time, allowing for more flexible responses to external environmental fluctuations.
Based on existing research, a backstepping sliding mode control strategy with integrated current observer is proposed to enhance the system’s resistance to uncertainty and external disturbances by incorporating multiple control strategies and optimization estimation techniques. With the implementation of a nonlinear disturbance observer, the system can react flexibly to the ever-changing dynamics of the marine environment. Further, the deployment of an integral sliding mode control method for the dynamics controller enhances the system’s strength against disturbances, ensuring that the underactuated AUV can accurately track 3D paths under the influence of currents and other unknown disturbances. The essential contributions are distilled into the following points:
(1)
A mathematical model for 3D path following of an underactuated AUV is derived to account for the influence of currents. Based on this model, a current observer is designed, which is capable of directly estimating the unknown currents and provides key current information for the control algorithm.
(2)
A nonlinear disturbance observer is crafted to address various disturbances and uncertainties, while an adaptive mechanism is implemented for real-time, online estimation of observation error margins, enhancing the system’s flexibility in responding to external environmental variations and thereby boosting its tracking performance and robustness.
(3)
An integral sliding mode control-based dynamic controller is developed to enhance the system’s robustness and ensure asymptotic convergence. Utilizing the Lyapunov stability theory, we demonstrate the asymptotic stability of the closed-loop cascade system, and the effectiveness of our approach is confirmed through numerical simulations.
The remaining sections are structured as follows: Section 2 details the mathematical modeling for an underactuated AUV in a current environment. The main symbols used for easy understanding and their meanings have been listed in Table 1. The methodology for developing the kinematic and dynamic control systems, as well as the design of the current observer and the system’s stability evaluation, are elaborated in Section 3. Section 4 presents and discusses the outcomes of the numerical simulations. Finally, Section 5 is the conclusion section.

2. AUV Mathematical Model

In this section, the derivation of a 3D path-following error model for an underactuated AUV in the presence of ocean currents is presented. The coordinate system and related symbols are first defined, as shown in Table 1. Next, a detailed description of the AUV’s kinematic and dynamic equations is given, which supports the exploration of the AUV’s path following in three-dimensional space.

2.1. Mathematical Modeling of AUV in a Current Environment

Refer to Figure 1 for the definitions of the body and geodetic coordinate systems, which follow the naming conventions supported by the International Towed Tank Conference (ITTC), and note that the body coordinate system’s reference point is at the floater’s center. The kinematics and dynamics of the AUV are described by the following model:
η ˙ = J η V r + V f M V ˙ r + C V r V r + D V r V r + g η = τ + M τ d
where η = x   y   z   ϕ   θ   ψ T , here x , y , z represent the geodetic coordinates of the body frame’s origin, indicating the global position. ϕ , θ , ψ represent the Euler angles. J η represents the transformation matrix from B to E . V r = u r   v r   w r   p   q   r T represents the velocity vector of the AUV relative to the water current, V f = u f ξ   v f η   w f ζ   0   0   0 T represents the water velocity vector in the geodetic coordinate system. Matrix M signifies the inertia tensor. C V r represents the matrix of Göttinger and centripetal forces. D V r represents the matrix of damping. g η = 0   0   0   0   M g   0 T represents the restoring force matrix generated by gravity and buoyancy, and τ = X τ   0   0   0   M τ   N τ T corresponds to the vector of control inputs. τ d encapsulates the disturbance vector, which includes uncertainties in model parameters and unforeseen environmental disturbances.
Presuming the AUV prototype under consideration has a uniformly distributed hull mass, with its weight counterbalanced by buoyancy in a current-laden environment, and the center of buoyancy is situated in the vertical plane. Within this model, nonlinear hydrodynamic damping effects and transverse rocking are disregarded for simplicity. To enhance clarity and better illustrate the interplay between the AUV’s state variables, Equation (1) is simplified to the subsequent form:
x ˙ = u r cos ψ cos θ v r sin ψ + w r cos ψ sin θ + u f ξ y ˙ = u r sin ψ cos θ + v r cos ψ + w r sin ψ sin θ + v f η z ˙ = u r sin θ + w r cos θ + w f ζ θ ˙ = q ψ ˙ = r / cos θ
u ˙ r = m 2 m 1 v r r m 3 m 1 w r q d 1 m 1 u r + 1 m 1 X τ + τ d u v ˙ r = m m 2 z g r q m 1 m 2 u r r d 2 m 2 v r + τ d v w ˙ r = m m 3 z g q 2 + m 1 m 3 u r q d 3 m 3 w r + τ d w q ˙ = m 1 m 3 m 4 u r w r + m m 4 z g r v r q w r d 4 m 4 q M g + 1 m 4 M τ + τ d q r ˙ = m 1 m 2 m 5 u r v r d 5 m 5 r + 1 m 5 N τ + τ d r
where m 1 = m X u ˙ , d 1 = X u X u | u | | u | , m 2 = m Y v ˙ , d 2 = Y v Y v | v | | v | , m 3 = m Z w ˙ , d 3 = Z w Z w | w | | w | , m 4 = I y y M q ˙ , d 4 = M q M q | q | | q , m 5 = I z z N r ˙ , d 5 = N r N r | r | | r | and M g = z g G sin θ . m is the mass of the AUV. The moments of inertia of the AUV in the pitch and yaw directions are I y y and I z z . The gravity force on the AUV is G . The buoyancy force is B . The nonlinear damping term is denoted as d , and the viscous fluid hydrodynamic coefficients include X · , Y · , Z · , M · , N · . z g denotes the location of the gravity center along the vertical axis within the body’s coordinate system.

2.2. Path Following Error Modeling

Figure 1 illustrates the definition of a path coordinate system. The virtual reference point moves along the reference path and provides a tracking target for the AUV. As point O S F , a virtual reference, moves along the reference path, it offers a tracking target for the AUV. Moreover, the forward velocity u p = s ˙ corresponds to the component of the virtual reference point’s velocity in the direction of the path. The position vector P f = x f s   y f s   z f s T describes the exact position of the virtual reference point within the path coordinate system, with the rotation angle indicated as A f = θ f   ψ f T , as detailed in the following specification:
θ f = arctan z f s x f s 2 + y f s 2 ψ f = atan 2 y f s , x f s
where x f s = x f s / s , y f s = y f s / s .
The angular rate of rotation can be expressed as:
θ ˙ f = c t s s ˙ ψ ˙ f = c c s s ˙
where c t s , c c s are the deflection and curvature of the path curve.
Ocean current disturbances indeed alter the lateral and vertical velocities of the AUV. Concurrently, the impact of the angle of attack α and drift angle β on the navigational performance becomes significant, necessitating their consideration and not allowing for their omission. Finally, the AUV’s position within the E coordinate system is represented by P = x   y   z T , and its orientation is denoted by the angle A = θ + α   ψ + β T , where
α = arctan w r u d β = arctan v r u d
The tracking error concerning position within the S F coordinate system is E p = x e   y e   z e T = R 1 P P f , the attitude error is θ e   ψ e T = R 2 A A f = [ θ θ f + α   cos θ f ψ ψ f + β ] T , and R 1 , R 2 are the transformation matrices from E to S F . Derivation of the position error equations yields:
E ˙ p = x ˙ e y ˙ e z ˙ e = U r cos ψ e cos θ e u p + V c x + y e ψ ˙ f z e θ ˙ f U r sin ψ e cos θ e + V c y x e ψ ˙ f z e ψ ˙ f tan θ f U r sin θ e + V c z + x e θ ˙ f + y e ψ ˙ f tan θ f
where
V c x V c y V c z = u f ξ cos θ f cos ψ f w f ζ sin θ f cos ψ f + v f η sin ψ f u f ξ cos θ f sin ψ f + w f ζ sin θ f sin ψ f + v f η cos ψ f u f ξ sin θ f + w f ζ cos θ f
Summing up the 3D path following control problem for an underactuated AUV: a robust control strategy is constructed, informed by the AUV’s mathematical model, considering the unknown disturbances and currents within the framework of a predefined, bounded 3D path. The objective of the control law is to: first, establish the desired forward velocity as a condition; second, asymptotically steer the origin O B of the AUV’s body coordinate system to the virtual reference point O S F ; and third, ensure that the AUV follows the predefined spatial path while aligning its velocity direction with the path’s tangent vector [30].

3. Three-Dimensional Path Following Controller Design

The controller’s design is segmented into two key steps: initially, a line-of-sight and backstepping methodology is employed to craft the kinematic controller, which involves the development of a control law and desired angular velocity for a virtual reference point. This step addresses the uncertainty of the currents by specifically designing a current observer to estimate the current velocity in real time, which establishes the foundation for the ensuing control law design. In the second step, the desired forward velocity is introduced, and the integral sliding mode control method is utilized to incorporate the estimation of the compounded uncertain disturbances by a nonlinear disturbance observer, thereby formulating the control laws for force and moment. This further enhances the stability of the control system and ensures the performance of the AUV in the face of unknown environmental disturbances. Figure 2 depicts the schematic diagram of the entire control system, outlining the comprehensive control strategy that spans from current observation to dynamic control.

3.1. Kinematic Controller Design

For underactuated AUVs, due to the lack of lateral and vertical thrusters, the reduction in tracking error is commonly achieved by incorporating the navigation angle through the LOS method:
θ l o s = arcsin z e z e 2 + Δ θ 2 + B ψ l o s = arcsin y e y e 2 + Δ ψ 2 + A
where A = V ^ c y U r cos θ e and B = V ^ c z U r represent the compensation factors introduced to account for the effects of ocean currents. Δ θ and Δ ψ are the forward-looking distances, which are considered as a constant in the LOS method. This method is suitable for simple straight-line path following. However, when faced with complex curved path following in an unknown environment, the performance of this method may be less than optimal because it cannot adapt to the curvature change in the path. To solve this problem, a saturation function tan h · is introduced to describe the forward-looking distance as a function of the deflection and curvature, thereby better adapting to path variations. Specifically, this function is defined as follows:
Δ θ = D 2 tan h ( k c t c t s c t s max ) Δ ψ = D 2 tan h ( k c c c c s c c s max )
where k c t and k c c are the scale factors, D is the length of the AUV, so the range of change in the forward-looking distance is D 3 D .
Let θ e = θ l o s , ψ e = ψ l o s . By substituting Equation (9) into Equation (7), we can obtain:
x ˙ e y ˙ e z ˙ e = U r cos ψ e cos θ e u p + V c x + y e ψ ˙ f z e θ ˙ f U r sin ψ l o s cos θ e + V c y x e ψ ˙ f z e ψ ˙ f tan θ f U r sin θ l o s + V c z + x e θ ˙ f + y e ψ ˙ f tan θ f
With the error variables defined as θ ˜ = θ e θ l o s and ψ ˜ = ψ e ψ l o s , the Lyapunov function is constructed as V 1 = 1 2 E p T E p + 1 2 θ ˜ 2 + 1 2 ψ ˜ 2 , and the derivation of V 1 yields:
V ˙ 1 = x e x ˙ e + y e y ˙ e + z e z ˙ e + θ ˜ θ ˜ ˙ + ψ ˜ ψ ˜ ˙      = x e U r cos ψ e cos θ e u p + V c x U r z e 2 Δ θ 2 + z e 2 z e V ˜ c z U r y e 2 cos θ e Δ ψ 2 + y e 2         + θ ˜ q + α ˙ c t s s ˙ θ ˙ l o s y e V ˜ c y + ψ ˜ r cos θ + β ˙ c c s s ˙ ψ ˙ l o s
The velocity control law for designing the virtual reference point and the virtual angular velocity control law are:
u p = U r cos ψ e cos θ e + k 1 x e + V ^ c x q d = k θ θ ˜ + θ ˙ l o s + c t s s ˙ α ˙ r d = cos θ ( k ψ ψ ˜ + ψ ˙ l o s + c c s s ˙ β ˙ )
where k 1 , k θ , k ψ are scale factors, all greater than zero.
Bringing Equation (13) into Equation (12) yields:
V ˙ 1 = k 1 x e 2 U r z e 2 Δ θ 2 + z e 2 U r y e 2 cos θ e Δ θ 2 + z e 2 k θ θ ˜ 2 k ψ ψ ˜ 2 x e V ˜ c x y e V ˜ c y z e V ˜ c z

3.2. Current Observer Design

Current estimates are critical for AUV mathematical model construction and controller design, and accurate current estimates can significantly improve the performance and robustness of AUV control systems. The kinematic information of the AUV is utilized to monitor and estimate the currents in real time by constructing an observer that depends on the dynamics of the AUV [19,32,33]. The development of this observer incorporates the dynamics of the AUV’s interaction with currents, enabling it to offer precise assessments of current conditions. The position estimate is first defined as:
x ^ ˙ = k u c x ˜ + u r cos θ cos ψ + w r sin θ cos ψ v r sin ψ + u ^ f ξ y ^ ˙ = k v c y ˜ + u r cos θ sin ψ + w r sin θ sin ψ + v r cos ψ + v ^ f η z ^ ˙ = k w c z ˜ u r sin θ + w r cos θ + w ^ f ζ
Given that x ˜ = x x ^ and y ˜ = y y ^ and z ˜ = z z ^ , combining Equation (15) with Equation (2) yields the following result:
x ˜ ˙ = u ˜ f ξ k u c x ˜ y ˜ ˙ = v ˜ f η k v c y ˜ z ˜ ˙ = w ˜ f ζ k w c z ˜
The Lyapunov function is constructed as V = 1 2 k f ξ u ˜ f ξ 2 + 1 2 k f η v ˜ f η 2 + 1 2 k f ζ w ˜ f η 2 + 1 2 x ˜ 2 + 1 2 y ˜ 2 + 1 2 z ˜ 2 , and the derivation of V can be obtained:
V = u ˜ f ξ x ˜ u ^ ˙ f ξ k f ξ + v ˜ f η y ˜ v ^ ˙ f η k f η + w ˜ f η z ˜ w ^ ˙ f ζ k f ζ k u c x ˜ 2 k v c y ˜ 2 k w c z ˜ 2
An adaptive law is designed for:
u ^ ˙ f ξ = k f ξ x ˜ v ^ ˙ f η = k f η y ˜ w ^ ˙ f ζ = k f ζ z ˜
Bringing the adaptive law into Equation (17) yields:
V ˙ = k u c x ˜ 2 k v c y ˜ 2 k w c z ˜ 2 0  
The defined energy function V is positive definite, and its derivative V ˙ is negative semidefinite. By applying Barbalat’s Lemma, we can deduce that lim t V ˙ = 0 lim t x ˜ , y ˜ , u ˜ f ξ , v ˜ f η T = 0 , 0 , 0 , 0 T . Consequently, the observation error is globally asymptotically stable.

3.3. Dynamics Controller Design

According to reference [34,35,36], the design of the nonlinear disturbance observer is aimed at estimating the composite disturbance, denoted as d t , x , which can be expressed in the following form:
z ˙ = h x p x + f x + g x u h x z d ^ = z + p x
where h x is the gain, p x is the vector of nonlinear functions to be designed and satisfies h x = p x / x , z is the internal variable, and d ^ is the output of the nonlinear disturbance observer. The observation error is defined as d ˜ = d d ^ . The composite disturbance exhibits gradual changes in comparison with the observer’s dynamic characteristics, i.e., d ˙ = 0 . The dynamic equation of the error is:
d ˜ ˙ = d ˙ d ^ ˙    = z ˙ p ˙ x = h x z + p x h x x ˙ f x g x u    = h x d ˜
The energy function is defined as V n d o = 1 2 d ˜ 2 . Its derivative yields V ˙ n d o = h x d ˜ 2 0 . The stability of the nonlinear interference observer is ensured. The solution to the differential equation d ˜ ˙ + h x d ˜ = 0 is found to be d ˜ t = d ˜ 0 e h t . Consequently, the observation error exponent converges to zero.
The velocity error variables are:
u e = u r u r d q e = q q d r e = r r d
derived as:
u ˙ e = u ˙ r = m 2 m 1 v r r m 3 m 1 w r q d 1 m 1 u r + 1 m 1 X τ + τ d u = f u + X τ m 1 + τ d u q ˙ e = q ˙ q ˙ d = m 1 m 3 m 4 u r w r + m m 4 z g r v r q w r d 4 m 4 q M g + 1 m 4 M τ + τ d q q ˙ d = f q + M τ m 4 + τ d q q ˙ d r ˙ e = r ˙ r ˙ d = m 1 m 2 m 5 u r v r d 5 m 5 r + 1 m 5 N τ + τ d r r ˙ d = f r + N τ m 5 + τ d r r ˙ d
where f u = m 2 v r r m 3 w r q d 1 u r , f r = m 1 m 2 u r v r d 5 r , f q = m 1 m 3 u r w r + m z g r v r q w r d 4 q m 4 M g . τ d u , τ d q and τ d r are compound uncertain disturbances estimated using a nonlinear disturbance observer.

3.3.1. Stabilizing u e

The integral sliding mode surface is designed as S u = u e + c u 0 t u e , and the above equation is derived as S ˙ u = f u + X τ m 1 + τ d u + c u u e . A nonlinear disturbance observer is designed in the following form:
τ ^ d u = z 1 + p 1 z ˙ 1 = l 1 z 1 l 1 p 1 + f u + X τ m 1
where τ ^ d u is the estimated value of τ d u . Define τ ˜ d u = τ d u τ ^ d u as the observation error, so, u ˙ e = f 1 + X τ m 1 + τ ˜ d u + τ ^ d u . To facilitate the controller design process, it is assumed that the observation error satisfies τ ˜ d u δ u , δ ˜ u = δ u δ ^ u , where δ u is an unknown bounded positive number. δ ^ u represents the estimated value of the upper bound of the observation error. It is also assumed that δ u changes slowly with respect to the dynamics of the control system, i.e., δ ˜ ˙ u = δ ˙ u δ ^ ˙ u = δ ^ ˙ u . This assumption is made to design and introduce the adaptive control. The Lyapunov function is constructed as V 2 = V 1 + 1 2 S u 2 + 1 2 τ ˜ d u 2 + 1 2 k δ 1 δ ˜ u 2 , and the derivation of V 2 can be obtained:
V ˙ 2 = V ˙ 1 + S u f u + X τ m 1 + τ ˜ d u + τ ^ d u + c u u e l 1 τ ˜ d u 2 δ ˜ u δ ^ ˙ u k δ 1
Control laws and adaptive laws are designed for:
X τ = m 1 δ ^ u sgn S u + τ ^ d u + c u u e + k u S u f u δ ^ ˙ u = k δ 1 S u
where k u and k δ 1 are adjustment factors, both greater than zero. Bringing the control law into Equation (25) yields:
V ˙ 2 = V ˙ 1 k u S u 2 l 1 τ ˜ d u 2 + S u τ ˜ d u δ ^ u sgn S u δ ˜ u δ ^ ˙ u k δ 1    V ˙ 1 k u S u 2 l 1 τ ˜ d u 2 + δ u S u δ ^ u S u δ ˜ u δ ^ ˙ u k δ 1 = V ˙ 1 k u S u 2 l 1 τ ˜ d u 2 + δ ˜ u S u δ ^ ˙ u k δ 1
Incorporating the adaptive law into Equation (25) results in:
V ˙ 2 V ˙ 1 k u S u 2 l 1 τ ˜ d u 2

3.3.2. Stabilizing q e

The integral sliding mode surface is designed as S q = q e + c q 0 t q e . A nonlinear disturbance observer is designed in the following form:
τ ^ d q = z 2 + p 2 z ˙ 2 = l 2 z 2 l 2 p 2 + f q + M τ m 4
where τ ^ d q is the estimated value of τ d q . Define τ ˜ d q = τ d q τ ^ d q as the observation error. The Lyapunov function is constructed as V 3 = V 2 + 1 2 S q 2 + 1 2 τ ˜ d q 2 + 1 2 k δ 2 δ ˜ q 2 , and the derivation of V 3 can be obtained:
V ˙ 3 = V ˙ 2 + S q f q + M τ m 4 + τ ˜ d q + τ ^ d q + c q q e q ˙ d δ ˜ q δ ^ ˙ q k δ 2 l 2 τ ˜ d q 2
Control laws and adaptive laws are designed for:
M τ = m 4 δ ^ q sgn S q + τ ^ d q + k q S q + c q q e q ˙ d f q δ ^ ˙ q = k δ 2 S q
where k q and k δ 2 are adjustment factors, both greater than zero. Bringing the control law into Equation (30) yields:
V ˙ 3 = V ˙ 2 k q S q 2 l 2 τ ˜ d q 2 + q e τ ˜ d q δ ^ q sgn q e δ ˜ q δ ^ ˙ q k δ 2    V ˙ 2 k q S q 2 l 2 τ ˜ d q 2 + δ q q e δ ^ q q e δ ˜ q δ ^ ˙ q k δ 2 = V ˙ 2 k q S q 2 l 2 τ ˜ d q 2 + δ ˜ q q e δ ^ ˙ q k δ 2
Incorporating the adaptive law into Equation (30) results in:
V ˙ 3 V ˙ 2 k q S q 2 l 2 τ ˜ d q 2

3.3.3. Stabilizing r e

The integral sliding mode surface is designed as S r = r e + c r 0 t r e . A nonlinear disturbance observer is designed in the following form:
τ ^ d r = z 3 + p 3 z ˙ 3 = l 3 z 3 l 3 p 3 + f r + N τ m 5
where τ ^ d r is the estimated value of τ d r . Define τ ˜ d r = τ d r τ ^ d r as the observation error. The Lyapunov function is constructed as V 4 = V 3 + 1 2 S r 2 + 1 2 τ ˜ d r 2 + 1 2 k δ 3 δ ˜ r 2 , and the derivation of V 4 can be obtained:
V ˙ 4 = V 3 + S r f r + N τ m 5 + τ ˜ d r + τ ^ d r + c r r e r ˙ d δ ˜ r δ ^ ˙ r k δ 3 l 3 τ ˜ d r 2
Control laws and adaptive laws are designed for:
N τ = m 5 δ ^ r sgn S r + τ ^ d r + k r S r + c r r e r ˙ d f r δ ^ ˙ r = k δ 3 S r
where k r and k δ 3 are adjustment factors, both greater than zero. Bringing the control law into Equation (35) yields:
V ˙ 4 = V ˙ 3 k r r e 2 l 3 τ ˜ d r 2 + r e τ ˜ d r δ ^ r sgn r e δ ˜ r δ ^ ˙ r k δ 3    V ˙ 3 k r r e 2 l 3 τ ˜ d r 2 + δ ˜ r q e δ ˜ r q e δ ˜ r δ ^ ˙ r k δ 3 = V ˙ 3 k r r e 2 l 3 τ ˜ d r 2 + δ ˜ r q e δ ^ ˙ r k δ 3
Incorporating the adaptive law into Equation (35) results in:
V ˙ 4 V ˙ 3 k r r e 2 l 3 τ ˜ d r 2    = k 1 x e 2 U r z e 2 Δ θ 2 + z e 2 U r y e 2 cos θ e Δ θ 2 + z e 2 k θ θ ˜ 2 k ψ ψ ˜ 2 k u S u 2 l 1 τ ˜ d u 2 k q S q 2 l 2 τ ˜ d q 2        k r S r 2 l 3 τ ˜ d r 2 x e V ˜ c x y e V ˜ c y z e V ˜ c z

3.4. Stabilization Analysis

To facilitate the stability analysis for the entire closed-loop system of the underactuated AUV, the system’s error vector is defined as x = x 1 , x 2 T . The error state of the tracking controller is x 1 = x e , y e , z e , θ ˜ , ψ ˜ , S u , S q , S r , τ ˜ d u , τ ˜ d q , τ ˜ d r , δ ˜ u , δ ˜ q , δ ˜ r T , and the error state of the current observer is x 2 = x ˜ , y ˜ , z ˜ , u ˜ f ξ , v ˜ f η , w ˜ f ζ T . The closed-loop system’s structure can be expressed as the subsequent cascade system:
x ˙ 1 = f 1 t , x 1 + c t , x x 2 x ˙ 2 = f 2 t , x 2
Its subsystem is:
1 : x ˙ 1 = f 1 t , x 1 2 : x ˙ 2 = f 2 t , x 2
The global asymptotic stabilization condition for the system is that the subsystem 1 exhibits global asymptotic stability, the subsystem 2 is globally asymptotically stable, and the correlation function c t , x satisfies c t , x θ 1 x 2 + θ 2 x 2 x 1 , where θ 1 ,   θ 2 : R 0 R 0 is a continuous function [32,37].
First, it is proven that the subsystem 1 satisfies the conditions. By substituting x 2 = 0 into Equation (40), we obtain V ˙ 4 = k 1 x e 2 U r z e 2 Δ θ 2 + z e 2 U r y e 2 cos θ e Δ θ 2 + z e 2 k θ θ ˜ 2 k ψ ψ ˜ 2 k u S u 2 l 1 τ ˜ d u 2 k q S q 2 l 2 τ ˜ d q 2 k r S r 2 l 3 τ ˜ d r 2 0 , the following definition is derived:
μ = x e , y e , z e , θ ˜ , ψ ˜ , S u , S q , S r , τ ˜ d u , τ ˜ d q , τ ˜ d r , δ ˜ u k δ 1 , δ ˜ q k δ 2 , δ ˜ r k δ 3 λ = min k 1 , U r Δ θ 2 + z e 2 , U r cos θ e Δ θ 2 + z e 2 , k θ , k ψ , k u , l 1 , k q , l 2 , k r , l 3
Therefore, V 4 = μ 2 2 , V ˙ 4 2 λ V 4 . According to the lasalle invariance principle, it is established that V 4 V 4 0 e 2 λ t , t 0 , + . Consequently, the error x 1 0 , and the subsystem 1 is globally asymptotically stable. For the subsystem 2 , it is globally asymptotically stable as indicated by Equation (16).
Given that cos ψ f , cos θ f , sin θ f and sin ψ f are bounded, the correlation function satisfies c t , x θ 1 x 2 + θ 2 x 2 x 1 . Therefore, the entire underactuated AUV closed-loop system is stabilized.

4. Numerical Simulation and Analysis of Results

In order to comprehensively assess the tracking performance, disturbance estimation capability, and robustness of the proposed control strategy, simulation experiments have been carried out through two cases, and the parameter settings of these simulations are based on the AUV prototype model constructed by our team, which is shown in Figure 3. Table 2 shows partial parameters of the prototype—specific parameters of the prototype can be found in references [4,38]. In the simulations, four different control methods have been compared:
Method 1: The current observer is integrated, but the NDO is not employed. The LOS guidance law with inverse sliding mode control is applied for dynamic control.
Method 2: The current observer is not integrated, but the NDO is employed, and the same LOS guidance law is used with inverse sliding mode dynamic control based on the NDO.
Method 3: Combined AILOS guidance law and NDO, using AILOS for motion control and enhanced inverse sliding mode control by NDO.
Method 4: The ALOS guidance law is used without NDO and the inverse sliding mode control is applied directly.
The proposed control method integrates the current observer and nonlinear disturbance observer and uses the LOS guidance law with the inverse sliding mode control technique for dynamic control.
To visually evaluate the system’s tracking performance, two key metrics are utilized: mean absolute error (MAE) and root mean square error (RMSE). MAE measures the accuracy of the tracking, whereas RMSE is indicative of the tracking stability [39].

4.1. Case 1: Analysis of Path Following Under Controlled Currents and Environmental Disturbances

In this case, the performance of an AUV in terms of path following within a controlled current environment is simulated. A controlled current environment is one in which the velocity and direction of the currents remain constant for a certain period of time, but there may be some environmental disturbances. The purpose of this case is to evaluate the tracking accuracy and stability of the control system under oceanic conditions that are relatively stable yet subject to environmental influences. We selected the spatial spiral curve as the simulation path for several reasons: it can simulate the complex three-dimensional movements of an AUV during missions, such as the combined diving and horizontal movement required for seabed mapping. This curve provides a continuously varying nonlinear testing environment that thoroughly tests the AUV’s response capabilities under changing path and depth conditions. Moreover, the spatial spiral curve helps assess the impact of ocean currents on the AUV’s trajectory and the effectiveness of control strategies. Through this path, we can accurately evaluate the AUV’s three-dimensional path-following accuracy, especially in areas of path curvature and directional changes. Finally, as a standardized test path, the spatial spiral curve facilitates the comparison of the performance of different AUV control strategies. The desired path, a spatial spiral curve, is parameterized as follows:
x f s = 50 sin π s / 50 y f s = 50 cos π s / 50 z f s = s
The AUV’s starting position and attitude are denoted by x 0 , y 0 , z 0 , θ 0 , ψ 0 T = 5   m , 45   m , 0   m , 0   rad , 0   rad T , with the initial velocity being u 0 , v 0 , w 0 , q 0 , r 0 T = 0.15   m / s , 0   m / s , 0   m / s , 0   rad / s , 0   rad / s T . The desired forward velocity is given as 2.3   m / s , while the constant current is represented by u f ξ , v f η , w f ζ T = 0.2   m / s , 0.2   m / s , 0.15   m / s T . For this simulation scenario, the control parameters are set to k 1 = 4.5 , k θ = 6 , k ψ = 0.5 , k u = 3 , k q = 1.5 , k r = 0.9 , l 1 = 34 , l 2 = 4 , l 3 = 25 , k c t = 3 , k c c = 3 , k δ 1 = 0.5 , k δ 2 = 0.3 , k δ 3 = 0.5 , c u = 0.5 , c q = 1.5 , c r = 0.1 , k u c = 2.5 , k v c = 2.5 , k w c = 2.5 , k f ξ = 10 , k f η = 10 , k f ζ = 10 , and the environmental disturbance is:
τ d u = 0.5 sin 0.3 t τ d q = 0.5 sin 0.3 t τ d r = 0.4 cos 0.5 t
The simulation results from Case 1 reveal the effectiveness of different control methods for path following in constant current and simple disturbance environments. Figure 4a illustrates the 3D trajectory of the AUV, which clearly showcases the capability of each control method in steering the AUV along a predetermined path. Further, Figure 4b and Figure 4c provide a more detailed view from two different projection planes, respectively. The positional tracking errors depicted in Figure 5 demonstrate the superior error control of the proposed method. Method 2, which does not account for current compensation, results in a larger error. This underscores the performance limitations that arise when neglecting the impact of currents. And although Method 3 also exhibits a smaller error, there is still a slight gap compared to the proposed method. The comparative analysis of angular and linear velocities further confirms the advantages of our method, as shown in Figure 6 and Figure 7, the proposed method demonstrates a quicker response and achieves the target velocity with commendable stability. Figure 8 illustrates the force and moment variations, highlighting the superior performance of the proposed method. Unlike Method 2, it smoothly adjusts control inputs, which reduces system fluctuations and enhances the AUV’s tracking performance.
The error quantization results in Figure 9 show that the proposed method performs the best, while Method 2 has the worst tracking accuracy and stability due to its lack of compensation for the currents, and Method 3 performs closer to the proposed method. Method 4 employs the ALOS guidance law without NDO and lacks sufficient robustness in the face of external disturbances to the model; nevertheless, Method 4 provides acceptable tracking performance in the case of Case 1. Notably, Method 1’s current observer and Method 4’s ALOS technique yield comparable tracking performance, particularly in compensating for currents, with similar stability and accuracy levels. Figure 10 and Figure 11 further demonstrate the estimation of the currents and disturbances. The proposed observer method efficiently estimates currents and disturbances, and quickly stabilizes to the actual values even when the initial observations are biased by the initial position error. This is confirmed by the accuracy and reliability of the observer design in our method, which can be quickly adjusted and provides accurate estimates even when the initial conditions are not ideal.
Based on the preceding analysis, we can derive the following conclusions: compared with Method 1, the proposed method fuses the current observer and NDO to achieve better tracking control accuracy and robustness; due to the lack of current compensation in Method 2, it performs poorly in terms of tracking accuracy and stability; and both Method 1 and Method 4 demonstrate the effectiveness in terms of current compensation. Method 1 utilizes a current observer, while Method 4 adopts an ALOS method, and both are capable of reducing the negative impact of currents on the AUV’s tracking performance to some degree. Under the simulation conditions in this case, our proposed method is almost equivalent to Method 3 (adaptive integral line-of-sight method combined with NDO) in terms of compensation effectiveness, but considering the comprehensiveness, the proposed method is slightly better in terms of comprehensive tracking and control performance, and also the comparison results between Method 1 and Method 4 further confirm that the effects of the current observer and sight angle adaptive compensation are approximate. Overall, all methods achieve good tracking performance in an environment with relatively stable currents and low disturbance. However, the proposed method demonstrates more adaptability and robustness, leading to a more comprehensive performance improvement.

4.2. Case 2: Challenges of Path Following Under Complex Dynamic Currents and Unknown Disturbances

Case 2 aimed to evaluate how well an AUV could follow a path in a difficult maritime environment. The ocean current conditions in this case not only change dynamically but also involve large unknown disturbances. The purpose of this case is to test whether the proposed control scheme can adapt to this dynamic and uncertain ocean environment and maintain its robustness. Maintaining the same desired path and initial conditions as Case 1, we aim to ensure the consistency and validity of our comparative analysis. The control parameters in this simulation are selected as k 1 = 3 , k θ = 8 , k ψ = 0.25 , k u = 3 , k q = 1.5 , k r = 0.9 , l 1 = 34 , l 2 = 15 , l 3 = 30 , k c t = 3 , k c c = 3 , k δ 1 = 0.8 , k δ 2 = 0.5 , k δ 3 = 0.8 , c u = 1.1 , c q = 1.7 , c r = 0.8 , k u c = 8.5 , k v c = 7.5 , k w c = 7.5 , k f ξ = 19 , k f η = 15 , k f ζ = 15 . Specifically, we consider time-varying, segmented currents and perturbations, which are:
u f ξ = 0.5 sin 0.3 t   t < 100 s 0.2 sin 0.5 t   100 s t < 200 s 0.6 cos 0.1 t   200 s t v f η = 0.1 cos 0.2 t   t < 100 s 0.5 sin 0.5 t   100 s t < 200 s 0.7 cos 0.15 t   200 s t w f ξ = 0.3 sin 0.1 t   t < 100 s 0.7 cos 0.3 t   100 s t < 200 s 0.4 sin 0.3 t   200 s t
τ d u = 0.8 sin 0.3 t   t < 100 s 1.2 cos 0.5 t   100 s t < 200 s 1.5 cos 0.3 t   200 s t τ d q = 1.2 sin 0.5 t   t < 100 s 0.6 sin 0.5 t   100 s t < 200 s 0.6 sin 0.1 t   200 s t τ d r = 0.5 sin 0.3 t   t < 100 s 1.2 sin 0.2 t   100 s t < 200 s 0.7 cos 0.5 t   200 s t
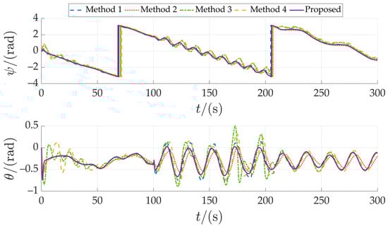
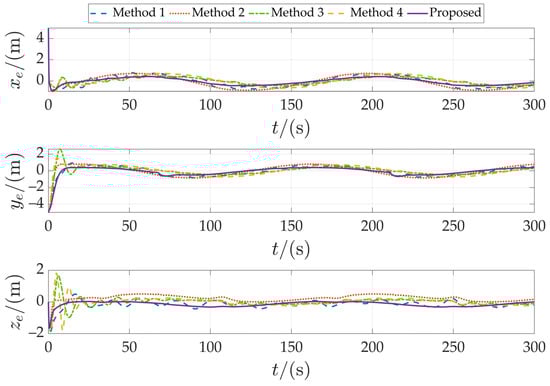
As shown in Figure 12, Figure 13, Figure 14, Figure 15 and Figure 16, the proposed method demonstrates superior performance in tracking accuracy and stability, markedly outperforming the other four methods. Facing time-varying currents and disturbances, the proposed method exhibits smaller fluctuations in position tracking error, while the other methods, especially Method 2, show more pronounced oscillations due to the lack of current compensation. This is particularly evident in the comparison of angular changes illustrated in Figure 14, where Methods 3 and 4 are still deficient in maintaining angular stability and fluctuations, despite the fact that they utilize an improved line-of-sight method to attempt to compensate for the effects caused by the currents. When rapid changes in the currents occur, this leads to increased fluctuations in the angular control, which in turn affects the overall tracking performance. With further analysis of the data shown in Figure 15 and Figure 16, it can be observed that Methods 1, 2, 3, and 4 exhibit varying degrees of sustained oscillations when the frequency of the currents increases. In contrast, the proposed method shows smaller fluctuations in the control inputs of force and moment, although there are large momentary fluctuations when the currents and disturbances undergo abrupt changes; but overall it shows smaller fluctuation amplitude, demonstrating a strong control capability, thus maintaining the AUV’s stability and precision in tracking.
As shown in Figure 17, the quantitative results provide further validation of the proposed method’s superiority. Under the influence of time-varying currents and disturbances, the increase in error for the proposed method is notably less than that of the other four methods. Method 2 suffers the most severe degradation in tracking stability and accuracy due to the lack of compensation for the currents. Comparing Method 1 and Method 4, under time-varying environments, the adaptive line-of-sight method of Method 4 provides a certain degree of compensation, but its tracking is still not as effective as the current observer of Method 1. In addition, Method 3, although combining the adaptive integral line-of-sight method and NDO, still has a larger error than the proposed method, which further illustrates the adaptability and robustness of the current observer in complex environments. Figure 18 and Figure 19 provide the estimation results on time-varying disturbances and currents. Relative to Case 1, it is evident that the proposed observer maintains robust estimation capabilities in the face of more complex marine conditions. In Figure 18, which shows the perturbation estimation results, it is evident that NDO is able to track the uncertainty accurately, and even when the actual values of the perturbations show large abrupt changes at 100 and 200 s, the estimates are quickly adjusted and continue to track the actual values closely. This demonstrates NDO’s ability to respond and recover quickly in the face of sudden changes. As shown in Figure 19, the observer effectively stabilizes and accurately assesses the evolving currents.
In summary, the control method under consideration demonstrates satisfactory tracking capabilities and robustness in different environments, as validated by Case 1 and Case 2. Relative to Method 1, the proposed method shows enhanced tracking stability, which is attributed to the NDO that makes the controller more adaptive and resistant to external disturbances. Compared with Method 2, the proposed method not only improves the tracking accuracy, but also significantly improves the stability. Method 2 utilizes the LOS guidance law, which has certain limitations. These limitations might cause the navigator to stray from the intended path, and the method is susceptible to the influence of the drift angle, which remains uncompensated over time. Although Method 3 is similar in performance to the proposed method in the stable environment of Case 1, in Case 2, the performance of Method 3 deteriorates in the face of rapidly changing currents and disturbances, and its tracking error and accuracy are not as good as those of our proposed method. In addition, the comparison results of Methods 1 and 4 further confirm the effectiveness of the current observer in time-varying and complex environments. By fusing the current observer and NDO, the proposed method not only improves the responsiveness to current variations, but also enhances the resistance to unknown disturbances, thus maintaining stable tracking of AUVs in different environments.

5. Conclusions

This study introduces a new control strategy aimed at addressing the 3D path-following challenge for an underactuated AUV amidst unknown disturbances such as ocean currents. The strategy integrates a current observer and a nonlinear disturbance observer and employs a backstepping sliding mode control method. The error equations are formulated within the Frenet–Serret coordinate system, and a kinematic controller integrating LOS and backstepping methodologies is devised. A nonlinear disturbance observer is utilized to estimate disturbances, enabling the derivation of an accurate control law through sliding mode control techniques. The proposed current observer is capable of estimating unknown currents, and theoretical analysis confirms the global asymptotic stability of the closed-loop system. Numerical simulation results demonstrate the superiority of the proposed method in terms of tracking performance and robustness.
Our study’s results are particularly relevant to marine exploration and resource extraction. The control strategy we propose boosts the capacity of AUVs to navigate through challenging ocean conditions, which is vital for tasks like underwater surveys, seafloor mapping, and pipeline inspections. The applications of our method could be broadened to include scientific research, environmental monitoring, and defense, where accurate underwater vehicles play a critical role. While our study has demonstrated promising results through numerical simulations, the next critical step is to validate these findings through physical experiments in open waters.
Looking ahead, we plan to adapt our control strategy to handle more variable and unpredictable ocean conditions by incorporating real-time oceanographic data. We also intend to explore the use of AI and machine learning to forecast ocean currents and enhance AUVs’ autonomous navigation capabilities. We hope that these research outcomes will bring innovative solutions to the fields of marine exploration and resource development and will promote the development and application of related technologies.

Author Contributions

Conceptualization, L.H.; resources, Y.Z.; methodology, S.L.; software, B.L.; writing—original draft preparation, Z.Y. All authors have read and agreed to the published version of the manuscript.

Funding

This research was funded by the Armament and Equipment Advance Research Project of the Central Military Commission, grant number 90903010102, by the Fundamental Research Program of Shanxi Province, grant number 202303021212190, and by the 19th Graduate Science and Technology Project of the North University of China, grant number 20231903. The APC was funded by the 19th Graduate Science and Technology Project of the North University of China.

Data Availability Statement

Data are contained within the article.

Acknowledgments

The authors would like to express their sincere gratitude to the reviewers for their valuable time and professionalism. The reviewers’ critical comments and suggestions for improvement played a key role in enhancing the quality and completeness of this paper, enabling this study to be presented to a wider audience in a more rigorous form.

Conflicts of Interest

The authors declare no conflicts of interest.

References

  1. Wynn, R.B.; Huvenne, V.A.I.; Le Bas, T.P.; Murton, B.J.; Connelly, D.P.; Bett, B.J.; Ruhl, H.A.; Morris, K.J.; Peakall, J.; Parsons, D.R.; et al. Autonomous Underwater Vehicles (AUVs): Their Past, Present and Future Contributions to the Advancement of Marine Geoscience. Mar. Geol. 2014, 352, 451–468. [Google Scholar] [CrossRef]
  2. Chen, Z.; Jiao, W.; Ren, K.; Yu, J.; Tian, Y.; Chen, K.; Zhang, X. A Survey of Research Status on the Environmental Adaptation Technologies for Marine Robots. Ocean Eng. 2023, 286, 115650. [Google Scholar] [CrossRef]
  3. Sahoo, A.; Dwivedy, S.K.; Robi, P.S. Advancements in the Field of Autonomous Underwater Vehicle. Ocean Eng. 2019, 181, 145–160. [Google Scholar] [CrossRef]
  4. He, L.; Zhang, Y.; Fan, G.; Liu, Y.; Wang, X.; Yuan, Z. Three-Dimensional Path Following Control of Underactuated AUV Based on Nonlinear Disturbance Observer and Adaptive Line-of-Sight Guidance. IEEE Access 2024, 12, 83911–83924. [Google Scholar] [CrossRef]
  5. Xiang, X. Research on Path Following and Coordinated Control for Second-Order Nonholonomic AUVs. Ph.D. Dissertation, Huazhong University of Science and Technology, Wuhan, China, 2010. [Google Scholar]
  6. Shi, S.; Yan, W.; Gao, J.; Li, W. Path-following Control of an AUV in the Horizontal Plane with Constant Ocean Currents. Acta Armamentarii 2010, 31, 375–379. [Google Scholar]
  7. Borhaug, E.; Pavlov, A.; Pettersen, K.Y. Integral LOS Control for Path Following of Underactuated Marine Surface Vessels in the Presence of Constant Ocean Currents. In Proceedings of the 2008 47th IEEE Conference on Decision and Control, Cancun, Mexico, 9–11 December 2008; pp. 4984–4991. [Google Scholar] [CrossRef]
  8. Caharija, W.; Candeloro, M.; Pettersen, K.Y.; Sørensen, A.J. Relative Velocity Control and Integral LOS for Path Following of Underactuated Surface Vessels. IFAC Proc. Vol. 2012, 45, 380–385. [Google Scholar] [CrossRef]
  9. Lekkas, A.M.; Fossen, T.I. Integral LOS Path Following for Curved Paths Based on a Monotone Cubic Hermite Spline Parametrization. IEEE Trans. Control Syst. Technol. 2014, 22, 2287–2301. [Google Scholar] [CrossRef]
  10. Yao, X.; Wang, X.; Jiang, X.; Wang, F. Control for 3D Path-Following of Underactuated Autonomous Underwater Vehicle under Current Disturbance. J. Harbin Inst. Technol. 2019, 51, 37–45. [Google Scholar] [CrossRef]
  11. Liu, L.; Wang, D.; Peng, Z.; Wang, H. Predictor-Based LOS Guidance Law for Path Following of Underactuated Marine Surface Vehicles with Sideslip Compensation. Ocean Eng. 2016, 124, 340–348. [Google Scholar] [CrossRef]
  12. Fossen, T.I.; Pettersen, K.Y.; Galeazzi, R. Line-of-Sight Path Following for Dubins Paths with Adaptive Sideslip Compensation of Drift Forces. IEEE Trans. Control Syst. Technol. 2015, 23, 820–827. [Google Scholar] [CrossRef]
  13. Fossen, T.I. An Adaptive Line-of-Sight (ALOS) Guidance Law for Path Following of Aircraft and Marine Craft. IEEE Trans. Control Syst. Technol. 2023, 31, 2887–2894. [Google Scholar] [CrossRef]
  14. Fossen, T.I.; Aguiar, A.P. A Uniform Semiglobal Exponential Stable Adaptive Line-of-Sight (ALOS) Guidance Law for 3-D Path Following. Automatica 2024, 163, 111556. [Google Scholar] [CrossRef]
  15. Yu, C.; Liu, C.; Lian, L.; Xiang, X.; Zeng, Z. ELOS-Based Path Following Control for Underactuated Surface Vehicles with Actuator Dynamics. Ocean Eng. 2019, 187, 106139. [Google Scholar] [CrossRef]
  16. Liu, L.; Wang, D.; Peng, Z. ESO-Based Line-of-Sight Guidance Law for Path Following of Underactuated Marine Surface Vehicles with Exact Sideslip Compensation. IEEE J. Ocean. Eng. 2017, 42, 477–487. [Google Scholar] [CrossRef]
  17. Jiang, Y.; Peng, Z.; Wang, D.; Chen, C.L.P. Line-of-Sight Target Enclosing of an Underactuated Autonomous Surface Vehicle with Experiment Results. IEEE Trans. Ind. Inform. 2020, 16, 832–841. [Google Scholar] [CrossRef]
  18. Belleter, D.; Maghenem, M.A.; Paliotta, C.; Pettersen, K.Y. Observer Based Path Following for Underactuated Marine Vessels in the Presence of Ocean Currents: A Global Approach. Automatica 2019, 100, 123–134. [Google Scholar] [CrossRef]
  19. Moe, S.; Caharija, W.; Pettersen, K.Y.; Schjølberg, I. Path Following of Underactuated Marine Surface Vessels in the Presence of Unknown Ocean Currents. In Proceedings of the 2014 American Control Conference, Portland, OR, USA, 4–6 June 2014; pp. 3856–3861. [Google Scholar] [CrossRef]
  20. Du, P.; Yang, W.; Wang, Y.; Hu, R.; Chen, Y.; Huang, S.H. A Novel Adaptive Backstepping Sliding Mode Control for a Lightweight Autonomous Underwater Vehicle with Input Saturation. Ocean Eng. 2022, 263, 112362. [Google Scholar] [CrossRef]
  21. Zhang, J.; Xiang, X.; Li, W.; Zhang, Q. Adaptive Saturated Path Following Control of Underactuated AUV with Unmodeled Dynamics and Unknown Actuator Hysteresis. IEEE Trans. Syst. Man Cybern. Syst. 2023, 53, 6018–6030. [Google Scholar] [CrossRef]
  22. Xia, Y.; Xu, K.; Li, Y.; Xu, G.; Xiang, X. Improved Line-of-Sight Trajectory Tracking Control of under-Actuated AUV Subjects to Ocean Currents and Input Saturation. Ocean Eng. 2019, 174, 14–30. [Google Scholar] [CrossRef]
  23. Peng, Z.; Wang, J.; Wang, J. Constrained Control of Autonomous Underwater Vehicles Based on Command Optimization and Disturbance Estimation. IEEE Trans. Ind. Electron. 2019, 66, 3627–3635. [Google Scholar] [CrossRef]
  24. Wang, Y.; Zhang, M.; Wilson, P.A.; Liu, X. Adaptive Neural Network-Based Backstepping Fault Tolerant Control for Underwater Vehicles with Thruster Fault. Ocean Eng. 2015, 110, 15–24. [Google Scholar] [CrossRef]
  25. Rong, S.; Wang, H.; Li, H.; Sun, W.; Gu, Q.; Lei, J. Performance-Guaranteed Fractional-Order Sliding Mode Control for Underactuated Autonomous Underwater Vehicle Trajectory Tracking with a Disturbance Observer. Ocean Eng. 2022, 263, 112330. [Google Scholar] [CrossRef]
  26. Gao, Z.; Guo, G. Command-Filtered Fixed-Time Trajectory Tracking Control of Surface Vehicles Based on a Disturbance Observer. Int. J. Robust Nonlinear Control 2019, 29, 4348–4365. [Google Scholar] [CrossRef]
  27. Carlucho, I.; De Paula, M.; Wang, S.; Petillot, Y.; Acosta, G.G. Adaptive Low-Level Control of Autonomous Underwater Vehicles Using Deep Reinforcement Learning. Robot. Auton. Syst. 2018, 107, 71–86. [Google Scholar] [CrossRef]
  28. Zhang, Y.; Zhang, T.; Li, Y.; Zhuang, Y. Tracking Control of AUV via Novel Soft Actor-Critic and Suboptimal Demonstrations. Ocean Eng. 2024, 293, 116540. [Google Scholar] [CrossRef]
  29. Zhang, T.; Miao, X.; Li, Y.; Jia, L.; Wei, Z.; Gong, Q.; Wen, T. AUV 3D Docking Control Using Deep Reinforcement Learning. Ocean Eng. 2023, 283, 115021. [Google Scholar] [CrossRef]
  30. Xiang, X.; Yu, C.; Zhang, Q. Robust Fuzzy 3D Path Following for Autonomous Underwater Vehicle Subject to Uncertainties. Comput. Oper. Res. 2017, 84, 165–177. [Google Scholar] [CrossRef]
  31. Patre, B.M.; Londhe, P.S.; Waghmare, L.M.; Mohan, S. Disturbance Estimator Based Non-Singular Fast Fuzzy Terminal Sliding Mode Control of an Autonomous Underwater Vehicle. Ocean Eng. 2018, 159, 372–387. [Google Scholar] [CrossRef]
  32. Liu, L.; Wang, H. Adaptive Backstepping Sliding Mode for Underactuated AUV Trajectory Tracking Based on Ocean Current Observer. J. Tianjin Univ. Sci. Technol. 2020, 53, 745–753. [Google Scholar] [CrossRef]
  33. Yang, Y.; Xia, G.; Zhao, W. Path-following in 3D for underactuated autonomous underwater vehicle based on ocean-current observer. IET Control Theory Appl. 2013, 30, 974–980. [Google Scholar] [CrossRef]
  34. Luo, W.; Liu, S. Disturbance Observer Based Nonsingular Fast Terminal Sliding Mode Control of Underactuated AUV. Ocean Eng. 2023, 279, 114553. [Google Scholar] [CrossRef]
  35. Wang, H.; Ren, J.; Han, M.; Wang, Z.; Zhang, K.; Wang, X. Robust Adaptive Three-Dimensional Trajectory Tracking Control for Unmanned Underwater Vehicles with Disturbances and Uncertain Dynamics. Ocean Eng. 2023, 289, 116184. [Google Scholar] [CrossRef]
  36. Liu, S.; Liu, Y.; Wang, N. Nonlinear Disturbance Observer-Based Backstepping Finite-Time Sliding Mode Tracking Control of Underwater Vehicles with System Uncertainties and External Disturbances. Nonlinear Dyn. 2017, 88, 465–476. [Google Scholar] [CrossRef]
  37. Zeng, J.; Wan, L.; Li, Y.; Dong, Z.; Zhang, Y. Adaptive Line-of-Sight Path Following Control for Underactuated Autonomous Underwater Vehicles in the Presence of Ocean Currents. Int. J. Adv. Robot. Syst. 2017, 14, 1729881417748127. [Google Scholar] [CrossRef]
  38. He, L.; Zhang, Y.; Li, S.; Wang, F.; Yuan, Z.; Chang, H. Hydrodynamic profile optimization of AUV based on response surface method. J. Ordnance Equi. Eng. 2022, 43, 43–50. [Google Scholar] [CrossRef]
  39. Liu, F.; Shen, Y.; He, B.; Wang, D.; Wan, J.; Sha, Q.; Qin, P. Drift Angle Compensation-Based Adaptive Line-of-Sight Path Following for Autonomous Underwater Vehicle. Appl. Ocean Res. 2019, 93, 101943. [Google Scholar] [CrossRef]
Figure 1. 3D path following schematic.
Figure 1. 3D path following schematic.
Drones 08 00672 g001
Figure 2. Path following control system schematic.
Figure 2. Path following control system schematic.
Drones 08 00672 g002
Figure 3. AUV prototype.
Figure 3. AUV prototype.
Drones 08 00672 g003
Figure 4. Path following in case 1. (a) 3D path following (b) x-y plane projection (c) x-z plane projection.
Figure 4. Path following in case 1. (a) 3D path following (b) x-y plane projection (c) x-z plane projection.
Drones 08 00672 g004
Figure 5. Position following error in case 1.
Figure 5. Position following error in case 1.
Drones 08 00672 g005
Figure 6. Angle comparison situation in case 1.
Figure 6. Angle comparison situation in case 1.
Drones 08 00672 g006
Figure 7. Comparison of line speeds in case 1.
Figure 7. Comparison of line speeds in case 1.
Drones 08 00672 g007
Figure 8. Comparison of force and moment in case 1.
Figure 8. Comparison of force and moment in case 1.
Drones 08 00672 g008
Figure 9. Quantitative results of following performance for case 1.
Figure 9. Quantitative results of following performance for case 1.
Drones 08 00672 g009
Figure 10. Disturbance estimation situation in case 1.
Figure 10. Disturbance estimation situation in case 1.
Drones 08 00672 g010
Figure 11. Current estimation situation in case 1.
Figure 11. Current estimation situation in case 1.
Drones 08 00672 g011
Figure 12. Path following in case 2. (a) 3D path following (b) x-y plane projection (c) x-z plane projection.
Figure 12. Path following in case 2. (a) 3D path following (b) x-y plane projection (c) x-z plane projection.
Drones 08 00672 g012
Figure 13. Position following error in case 2.
Figure 13. Position following error in case 2.
Drones 08 00672 g013
Figure 14. Angle comparison situation in case 2.
Figure 14. Angle comparison situation in case 2.
Drones 08 00672 g014
Figure 15. Comparison of line speeds in case 2.
Figure 15. Comparison of line speeds in case 2.
Drones 08 00672 g015
Figure 16. Comparison of force and moment in case 2.
Figure 16. Comparison of force and moment in case 2.
Drones 08 00672 g016
Figure 17. Quantitative results of following performance for case 2.
Figure 17. Quantitative results of following performance for case 2.
Drones 08 00672 g017
Figure 18. Disturbance estimation situation in case 2.
Figure 18. Disturbance estimation situation in case 2.
Drones 08 00672 g018
Figure 19. Current estimation situation in case 2.
Figure 19. Current estimation situation in case 2.
Drones 08 00672 g019
Table 1. Nomenclature.
Table 1. Nomenclature.
SymbolDescription
B , E , S F Body, Geodetic, and path coordinates
O B , O E , O S F Coordinate origin of B , E , S F
η = x   y   z     θ   ψ T AUV position and heading angle in E
J η Rotation matrix from B to E
V f = u f ξ   v f η   w f ζ   0   0   0 T Current velocity vector in E
V r = u r   v r   w r   p   q   r T AUV velocity vector in B
g η = 0   0   0   0   M g   0 T Matrix of Resilience
m, I y y , I z z Mass and moment of inertia of the AUV
M , C v r , D v r Coefficient matrix of dynamic equations
X · , Y · , Z · , M · , N · , d · Hydrodynamic coefficient
τ d = τ d u   τ d v   τ d w   τ d q   τ d r T Vector of control input
τ = X τ   0   0   0   M τ   N τ T Vector of disturbances
P f = x f s   y f s   z f s T , A f = θ f   ψ f T Position and attitude of reference point in E
u p = s ˙ Forward velocity of reference point
c t   c c Deflection and curvature of path curves
U r Relative combined velocity
α , β Angle of Attack and Drift under the influence of U r
u d , q d , r d , θ l o s , ψ l o s Desired speed and navigation angle
A , B , Δ θ , Δ ψ Compensation and forward-looking distance
u ˜ f ξ , v ˜ f η , w ˜ f ζ , x ˜ , y ˜ , z ˜ , τ ˜ d u , τ ˜ d q , τ ˜ d r , δ ˜ u , δ ˜ q , δ ˜ r Estimation error of currents, position, and disturbances
u ^ f ξ , v ^ f η , w ^ f ζ , x ^ , y ^ , z ^ , τ ^ d u , τ ^ d q , τ ^ d r Estimates of currents, position, and disturbances
x e , y e , z e , θ e , ψ e , θ ˜ , ψ ˜ , u e , q e , r e position, angular, and speed error
1 , 2 , c t , x Subsystems of the cascade system and the interconnection term
θ 1 , θ 2 Continuous functions in c t , x
μ , λ Author-defined variable sets
k 1 , k θ , k ψ , k u , k q , k r , l 1 , l 2 , l 3 , k c t , k c c , k δ 1 , k δ 2 , k δ 3 , c u , c q , c r , k u c , k v c , k w c , k f ξ , k f η , k f ζ Author-defined control parameters
Table 2. Partial parameters of the prototype.
Table 2. Partial parameters of the prototype.
ParametersValue
m kg 33.68
D m 1.71
I y y kg m 2 3.54
I z z kg m 2 3.54
X u kg / s −8.105
M q kg m 2 / rad s −42.637
Y v kg / s −62.025
N r kg m 2 / rad s −48.776
Z w kg / s −61.701
Disclaimer/Publisher’s Note: The statements, opinions and data contained in all publications are solely those of the individual author(s) and contributor(s) and not of MDPI and/or the editor(s). MDPI and/or the editor(s) disclaim responsibility for any injury to people or property resulting from any ideas, methods, instructions or products referred to in the content.

Share and Cite

MDPI and ACS Style

He, L.; Zhang, Y.; Li, S.; Li, B.; Yuan, Z. Three-Dimensional Path Following Control for Underactuated AUV Based on Ocean Current Observer. Drones 2024, 8, 672. https://doi.org/10.3390/drones8110672

AMA Style

He L, Zhang Y, Li S, Li B, Yuan Z. Three-Dimensional Path Following Control for Underactuated AUV Based on Ocean Current Observer. Drones. 2024; 8(11):672. https://doi.org/10.3390/drones8110672

Chicago/Turabian Style

He, Long, Ya Zhang, Shizhong Li, Bo Li, and Zeihui Yuan. 2024. "Three-Dimensional Path Following Control for Underactuated AUV Based on Ocean Current Observer" Drones 8, no. 11: 672. https://doi.org/10.3390/drones8110672

APA Style

He, L., Zhang, Y., Li, S., Li, B., & Yuan, Z. (2024). Three-Dimensional Path Following Control for Underactuated AUV Based on Ocean Current Observer. Drones, 8(11), 672. https://doi.org/10.3390/drones8110672

Article Metrics

Back to TopTop