Multi-Batch Carrier-Based UAV Formation Rendezvous Method Based on Improved Sequential Convex Programming
Abstract
1. Introduction
2. Problem Formulation
2.1. Dynamics Model of UAVs
2.2. Formation Rendezvous Process in Multiple Batches
2.3. Reverse Solution Approach
2.4. Other Constraints and Non-Convex Optimization Problem Formulation
3. Multi-Batch Formation Rendezvous Algorithm
3.1. Constraints Convexification and Discretization
3.2. Initial Solution Tolerance Sequential Convex Programming
- Whether the search module is triggered;
- Whether the solution of the current iteration matches the solution of the previous iteration.
3.3. The Convergence Analysis of IST-SCP
3.4. Multi-Batch Formation Rendezvous Algorithm
| Algorithm 1: Multi_batch formation rendezvous algorithm |
4. Simulation Results and Analysis
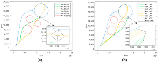
4.1. Effectiveness Analysis of the Multi-Batch Formation Rendezvous Algorithm
4.2. Efficiency Analysis of the Multi-Batch Formation Rendezvous Algorithm
4.3. Adaptability Analysis of Multi-Batch Formation Rendezvous Algorithm
5. Conclusions
Author Contributions
Funding
Data Availability Statement
Conflicts of Interest
References
- Hayat, S.; Yanmaz, E.; Muzaffar, R. Survey on Unmanned Aerial Vehicle Networks for Civil Applications: A Communications Viewpoint. IEEE Commun. Surv. Tutor. 2016, 18, 2624–2661. [Google Scholar] [CrossRef]
- Mozaffari, M.; Saad, W.; Bennis, M.; Nam, Y.-H.; Debbah, M. A Tutorial on UAVs for Wireless Networks: Applications, Challenges, and Open Problems. IEEE Commun. Surv. Tutor. 2019, 21, 2334–2360. [Google Scholar] [CrossRef]
- Zhao, B.; Xian, B.; Zhang, Y.; Zhang, X. Nonlinear Robust Adaptive Tracking Control of a Quadrotor UAV Via Immersion and Invariance Methodology. IEEE Trans. Ind. Electron. 2015, 62, 2891–2902. [Google Scholar] [CrossRef]
- Zhen, Z.; Jiang, S.; Ma, K. Automatic carrier landing control for unmanned aerial vehicles based on preview control and particle filtering. Aerosp. Sci. Technol. 2018, 81, 99–107. [Google Scholar] [CrossRef]
- Ma, B.; Liu, Z.; Jiang, F.; Zhao, W.; Dang, Q.; Wang, X.; Zhang, J.; Wang, L. Reinforcement learning based UAV formation control in GPS-denied environment. Chin. J. Aeronaut. 2023, 36, 281–296. [Google Scholar] [CrossRef]
- Chandhar, P.; Danev, D.; Larsson, E.G. Massive MIMO for Communications With Drone Swarms. IEEE Trans. Wirel. Commun. 2018, 17, 1604–1629. [Google Scholar] [CrossRef]
- Morse, B.S.; Engh, C.H.; Goodrich, M.A. UAV Video Coverage Quality Maps and Prioritized Indexing for Wilderness Search and Rescue. In Proceedings of the 5th ACM/IEEE International Conference on Human Robot Interaction, HRI 2010, Osaka, Japan, 2–5 March 2010. [Google Scholar]
- Zhang, J.; Xing, J. Cooperative task assignment of multi-UAV system. Chin. J. Aeronaut. 2020, 33, 2825–2827. [Google Scholar] [CrossRef]
- Liu, Y.; Han, W.; Su, X.; Cui, R. Optimization of fixed aviation support resource station configuration for aircraft carrier based on aircraft dispatch mission scheduling. Chin. J. Aeronaut. 2023, 36, 127–138. [Google Scholar] [CrossRef]
- Wang, X.; Liu, J.; Su, X.; Peng, H.; Zhao, X.; Lu, C. A review on carrier aircraft dispatch path planning and control on deck. Chin. J. Aeronaut. 2020, 33, 3039–3057. [Google Scholar] [CrossRef]
- Bardera-Mora, R.; Garcia-Magariño, A.; Rodríguez-Sevillano, A.; Barcala-Montejano, M.A. Aerodynamic Flow Effects on Aircraft Carrier Takeoff Performance. J. Aircr. 2019, 56, 1005–1013. [Google Scholar] [CrossRef]
- Rucco, A.; Sujit, P.B.; Aguiar, A.P.; de Sousa, J.B.; Pereira, F.L. Optimal Rendezvous Trajectory for Unmanned Aerial-Ground Vehicles. IEEE Trans. Aerosp. Electron. Syst. 2018, 54, 834–847. [Google Scholar] [CrossRef]
- Wang, Z.; McDonald, S.T. Convex relaxation for optimal rendezvous of unmanned aerial and ground vehicles. Aerosp. Sci. Technol. 2020, 99, 105756. [Google Scholar] [CrossRef]
- Manyam, S.G.; Casbeer, D.W.; Weintraub, I.E.; Taylor, C. Trajectory Optimization for Rendezvous Planning Using Quadratic Bézier Curves. In Proceedings of the 2021 IEEE/RSJ International Conference on Intelligent Robots and Systems (IROS), Prague, Czech Republic, 27 September–1 October 2021; pp. 1405–1412. [Google Scholar]
- McDonald, S.; Wang, Z. Real-Time Optimal Trajectory Generation for UAV to Rendezvous with an Aerial Orbit. In Proceedings of the AIAA Aviation 2019 Forum, Dallas, TX, USA, 17–21 June 2019. [Google Scholar]
- Mclain, T.W.; Beard, R.W. Trajectory Planning for Coordinated Rendezvous of Unmanned Air Vehicles. In Proceedings of the AIAA Guidance, Navigation, and Control Conference and Exhibit, Monterey, CA, USA, 5–8 August 2002. [Google Scholar]
- McLain, T.W.; Chandler, P.R.; Rasmussen, S.; Pachter, M. Cooperative Control of UAV Rendezvous. In Proceedings of the 2001 American Control Conference(Cat. No. 01CH37148), Arlington, VA, USA, 25–27 June 2001; pp. 2309–2314. [Google Scholar]
- Cheng, Z.; Zhao, L.; Shi, Z. Decentralized Multi-UAV Path Planning Based on Two-Layer Coordinative Framework for Formation Rendezvous. IEEE Access 2022, 10, 45695–45708. [Google Scholar] [CrossRef]
- Zhao, F.; Yu, J.; Hua, Y.; Dong, X.; Li, Q.; Ren, Z. Decoupled SCP-Based Trajectory Planning in the Complex Environment for Multiple Fixed-Wing UAV Systems. In Proceedings of the 2022 International Conference on Unmanned Aircraft Systems (ICUAS), Dubrovnik, Croatia, 21–24 June 2022; pp. 670–675. [Google Scholar]
- Wang, X.; Garcia, E.; Kingston, D.; Casbeer, D. Consensus-Based Simultaneous Arrival of Multiple UAVs with Constrained Velocity. In Proceedings of the American Control Conference, Chicago, IL, USA, 1–3 July 2015; pp. 5732–5737. [Google Scholar]
- Shiyu, Z.; Rui, Z. Cooperative guidance for multimissile salvo attack. Chin. J. Aeronaut. 2008, 21, 533–539. [Google Scholar] [CrossRef]
- Shi, H.-r.; Lu, F.-x.; Wu, L. Cooperative trajectory optimization of UAVs in approaching stage using feedback guidance methods. Def. Technol. 2023, 24, 361–381. [Google Scholar] [CrossRef]
- Zheng, D.; Zhang, Y.-f.; Li, F.; Cheng, P. UAVs cooperative task assignment and trajectory optimization with safety and time constraints. Def. Technol. 2023, 20, 149–161. [Google Scholar] [CrossRef]
- Jouffroy, V.; Bovier-Lapierre, X.; Ariff, O.K.; Richer, T. Path Generation for Rendezvous of Dissimilar UAVs Using Particle Swarm Optimization of Dubin’s Curve Sets. In Proceedings of the AIAA Guidance, Navigation, and Control Conference, Portland, OR, USA, 8–11 August 2011. [Google Scholar]
- Yao, W.; Qi, N.; Liu, Y. Online Trajectory Generation with Rendezvous for UAVs Using Multistage Path Prediction. J. Aerosp. Eng. 2017, 30, 04016092. [Google Scholar] [CrossRef]
- Shao, Z.; Yan, F.; Zhou, Z.; Zhu, X. Path Planning for Multi-UAV Formation Rendezvous Based on Distributed Cooperative Particle Swarm Optimization. Appl. Sci. 2019, 9, 2621. [Google Scholar] [CrossRef]
- Ait Saadi, A.; Soukane, A.; Meraihi, Y.; Benmessaoud Gabis, A.; Mirjalili, S.; Ramdane-Cherif, A. UAV Path Planning Using Optimization Approaches: A Survey. Arch. Comput. Methods Eng. 2022, 29, 4233–4284. [Google Scholar] [CrossRef]
- Zhang, D.; Yong, X.; Jie, L.; Gang, L.; Yan, C. UAV Path Planning Based on Chaos Ant Colony Algorithm. In Proceedings of the International Conference on Computer Science & Mechanical Automation, London, UK, 29 June–1 July 2016. [Google Scholar]
- Bonalli, R.; Lew, T.; Pavone, M. Analysis of Theoretical and Numerical Properties of Sequential Convex Programming for Continuous-Time Optimal Control. IEEE Trans. Autom. Control 2023, 68, 4570–4585. [Google Scholar] [CrossRef]
- Wang, Z. A survey on convex optimization for guidance and control of vehicular systems. Annu. Rev. Control 2024, 57, 100957. [Google Scholar] [CrossRef]
- Mao, Y.; Szmuk, M.; Açıkmeşe, B. Successive Convexification of Non-Convex Optimal Control Problems and its Convergence Properties. In Proceedings of the 2016 IEEE 55th Conference on Decision and Control (CDC), Las Vegas, NV, USA, 12–14 December 2016; pp. 3636–3641. [Google Scholar]
- Mao, Y.; Szmuk, M.; Xu, X.; Açikmese, B. Successive convexification: A superlinearly convergent algorithm for non-convex optimal control problems. arXiv 2018, arXiv:1804.06539. [Google Scholar]
- Malyuta, D.; Reynolds, T.P.; Szmuk, M.; Lew, T.; Bonalli, R.; Pavone, M.; Açıkmeşe, B. Convex Optimization for Trajectory Generation: A Tutorial on Generating Dynamically Feasible Trajectories Reliably and Efficiently. IEEE Control Syst. 2022, 42, 40–113. [Google Scholar] [CrossRef]
- Banerjee, S.; Lew, T.; Bonalli, R.; Alfaadhel, A.; Alomar, I.A.; Shageer, H.M.; Pavone, M. Learning-Based Warm-Starting for Fast Sequential Convex Programming and Trajectory Optimization. In Proceedings of the 2020 IEEE Aerospace Conference, Big Sky, MT, USA, 7–14 March 2020; pp. 1–8. [Google Scholar]
- Kirkpatrick, S.; Gelatt, C.D.; Vecchi, M.P. Optimization by Simulated Annealing. Science 1983, 220, 671–680. [Google Scholar] [CrossRef] [PubMed]
- Liu, X.; Li, S.; Xin, M. Mars entry trajectory planning with range discretization and successive convexification. J. Guid. Control Dyn. 2022, 45, 755–763. [Google Scholar] [CrossRef]
- Dominguez Calabuig, G.J.; Mooij, E. Optimal on-Board Abort Guidance Based on Successive Convexification for Atmospheric Re-Entry. In Proceedings of the AIAA Scitech 2021 Forum, Virtual, 11–15 & 19–21 January 2021; p. 0860. [Google Scholar]
- Tziovani, L.; Hadjidemetriou, L.; Timotheou, S. Successive Convexification Algorithms for Optimizing Power Systems with Energy Storage Models. IEEE Trans. Smart Grid 2023, 15, 1807–1820. [Google Scholar] [CrossRef]
- Deng, Z.; Liu, X.; Dou, Y.; Su, X.; Li, H.; Wang, L.; Wang, X. Autonomous sortie scheduling for carrier aircraft fleet under towing mode. Def. Technol. 2024. [Google Scholar] [CrossRef]
- Zhang, Q.; Liu, H.H.T. Aerodynamics Modeling and Analysis of Close Formation Flight. J. Aircr. 2017, 54, 2192–2204. [Google Scholar] [CrossRef]












| Parameter | IST-SCP | SCP |
|---|---|---|
| 1 | 1 | |
| 3 | 3 | |
| 1 × 102 | 1 × 102 | |
| 2 | 2 | |
| (0.1, 0.25, 0.75) | (0.1, 0.25, 0.75) | |
| (1 × 102, 10, 10) | (1 × 102, 10, 10) | |
| 0.6 | ||
| (0.1, 1 × 102) |
| Parameter | Value |
|---|---|
| Start point of carrier | (0 m,0 m) |
| Velocity of carrier | 42 km/h |
| Time interval for takeoff between batches | 2 min |
| Number of UAVs per batch | 2 |
| Number of batches | 3 |
| Rendezvous altitude | 600 m |
| Circling angular velocity | 0.04 rad/s |
| Radius of rendezvous orbit | 3 km |
| Center of rendezvous orbit | (11,880 m, 16,120 m) |
| Geometric shape of formation | Regular hexagonal |
| Center-to-center distance in the formation | 24 m |
| Wingspan of UAV | 18 m |
| The Type of Time Node | IST-SCP/s | Conventional SCP/s | |
|---|---|---|---|
| 1st batch | Takeoff | 0 | |
| Rendezvous | 203.05 | 213.80 | |
| 2nd batch | Takeoff | 120 | |
| Rendezvous | 315.86 | 336.99 | |
| 3rd batch | Takeoff | 240 | |
| Rendezvous | 405.63 | 428.46 | |
| Initial Rendezvous Time/s | Rendezvous Time/s of IST-SCP | Rendezvous Time/s of SCP |
|---|---|---|
| 320 | 314.52 | 314.37 |
| 340 | 315.86 | 336.99 |
| 360 | 315.93 | 323.31 |
| 380 | 318.25 | 357.68 |
| Rendezvous Time/s | Computing Time/s | |
| 6 UAVs in 3 batches | ||
| IST-SCP | 405.63 | 485.99 |
| GA+SCP | 400.34 | 14,266.16 |
| SA+SCP | 400.07 | 16,948.33 |
| 7 UAVs in 3 batches | ||
| IST-SCP | 404.85 | 528.26 |
| GA+SCP | 405.27 | 15,654.69 |
| SA+SCP | 406.13 | 18,595.76 |
| 8 UAVs in 4 batches | ||
| IST-SCP | 520.27 | 647.70 |
| GA+SCP | 524.49 | 19,415.76 |
| SA+SCP | 522.96 | 22,597.06 |
Disclaimer/Publisher’s Note: The statements, opinions and data contained in all publications are solely those of the individual author(s) and contributor(s) and not of MDPI and/or the editor(s). MDPI and/or the editor(s) disclaim responsibility for any injury to people or property resulting from any ideas, methods, instructions or products referred to in the content. |
© 2024 by the authors. Licensee MDPI, Basel, Switzerland. This article is an open access article distributed under the terms and conditions of the Creative Commons Attribution (CC BY) license (https://creativecommons.org/licenses/by/4.0/).
Share and Cite
Zhang, Z.; Sun, L.; Wang, Y. Multi-Batch Carrier-Based UAV Formation Rendezvous Method Based on Improved Sequential Convex Programming. Drones 2024, 8, 615. https://doi.org/10.3390/drones8110615
Zhang Z, Sun L, Wang Y. Multi-Batch Carrier-Based UAV Formation Rendezvous Method Based on Improved Sequential Convex Programming. Drones. 2024; 8(11):615. https://doi.org/10.3390/drones8110615
Chicago/Turabian StyleZhang, Zirui, Liguo Sun, and Yanyang Wang. 2024. "Multi-Batch Carrier-Based UAV Formation Rendezvous Method Based on Improved Sequential Convex Programming" Drones 8, no. 11: 615. https://doi.org/10.3390/drones8110615
APA StyleZhang, Z., Sun, L., & Wang, Y. (2024). Multi-Batch Carrier-Based UAV Formation Rendezvous Method Based on Improved Sequential Convex Programming. Drones, 8(11), 615. https://doi.org/10.3390/drones8110615

