Dynamic Analysis and Numerical Simulation of Arresting Hook Engaging Cable in Carried-Based UAV Landing Process
Abstract
1. Introduction
2. Dynamic Model of Carrier-Based UAV Landing and Engagement with Cable
2.1. Model Description
2.1.1. Finite Element Discretization and Contact
2.1.2. Model Description
2.2. Model of Carrier-Based UAV
2.2.1. Configuration of UAV
2.2.2. Model of Landing Gear
2.2.3. Model of Arresting Hook
2.3. Model of Arresting System
2.3.1. Modeling of Rigid Bodies in the Arresting Cable System and Constraints
2.3.2. Arresting Cable
2.3.3. Wire Rope Supports
3. Verification of the Dynamic Model of the Collision and Rebound of the Arresting Hook
4. Results and Discussion
4.1. Setting of Carrier-Based UAV Attitude
4.2. Influence of Touchdown Point on the Engagement of Hook with Cable
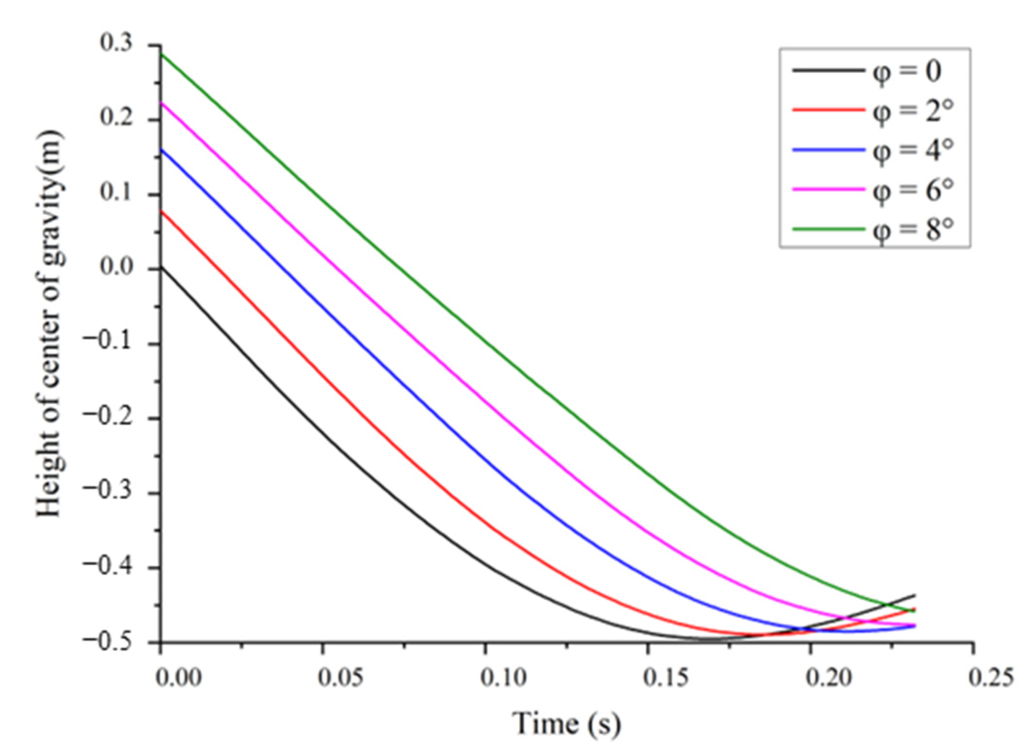
4.3. Influence of Roll Angle on the Engagement of Hook with Cable
5. Conclusions
- (1)
- A rigid–flexible coupling model of the hook–cable engagement process is established for a specific carrier-based UAV using the FEM-MBD method. To validate the rationality of the finite element model in solving the hook’s rebound dynamics, the results are compared with experimental data from a relevant reference. The comprehensive model incorporates three key elements: the coupling of the carrier deck, aircraft body and the landing gears; a detailed arresting hook and cable model which considers their material properties and contact interactions; wire rope supports and a full-scale arresting gear system model. The established FEM-MBD model offers a framework for examining the dynamic behavior of the hook–cable engagement process.
- (2)
- The touchdown position significantly influences the height of the arresting hook at the moment of hook and cable engagement, leading to variations in the maximum stress location on the arresting hook. When the touchdown point is 10 m away from the arresting cable, the cable is rolled over by the tires of the UAV. As a consequence, the arresting cable undergoes bending at the point of contact with the tires, and this bending effect is transmitted to both sides of the cable. The propagation of bending along the cable leads to the cable’s contact with the deck and subsequent rebound. At the same time, the arresting cable experiences rapid movement in the direction of the tire roll-over. This movement has an impact on the engagement of the hook and cable, affecting the hook and cable’s engagement location.
- (3)
- In the case of an UAV carrier landing with a roll angle, the main landing gear on one side makes contact with the deck first, resulting in a more significant variation in the height of the UAV’s center of gravity during hook engagement compared to that in situations without any roll angle. As the roll angle increases, the downward displacement of the center of gravity increases. The roll angle has a minimal effect on the contact force at the moment of cable engagement, but it influences the location of cable contact at the engagement moment. A larger roll angle increases the high-stress area of the arresting hook at the engagement moment.
- (4)
- The detailed analysis of this tire–cable interaction sheds light on the complex dynamics involved in the engagement process. Under a roll angle of 8° and distance of 4 m between the touch point and the cable, the tire makes contact with the cable. The cable undergoes bending at the point where the tire touches the cable, and the bending leads to the small-scale vertical movement of the arresting cable. Under the condition of a 4° roll angle and an 8 m distance between the touchdown point and the cable, the tire rolls over the arresting cable on one side. The bending caused by the tire rolling over is greater than that of the tire touching the cable. As the single tire rolls over the arresting cable, it causes a rapid movement of the cable in the direction of the UAV’s motion and transmits force to the wire rope support. Simultaneously, this movement of the arresting cable amplifies the uncertainty of engagement.
Author Contributions
Funding
Institutional Review Board Statement
Informed Consent Statement
Data Availability Statement
Conflicts of Interest
References
- Wei, X.; Yin, Q.; Peng, Y.; Nie, H.; Liu, C. An overview of researches on deck-landing of carrier-based aircrafts. In Proceedings of the 2013 International Powered Lift Conferenc 2013 International Powered Lift Conferencee AIAA Aviation, Los Angles, CA, USA, 12–14 August 2013. [Google Scholar]
- Ryan, J.C.; Cummings, M.L. A systems analysis of the introduction of unmanned aircraft into aircraft carrier operations. IEEE Trans. Hum.-Mach. Syst. 2016, 46, 209–220. [Google Scholar] [CrossRef]
- Zhen, Z.; Tao, G.; Yu, C.; Xue, Y. A multivariable adaptive control scheme for automatic carrier landing of UAV. Aerosp. Sci. Technol. 2019, 92, 714–721. [Google Scholar] [CrossRef]
- Wang, X.; Liu, J.; Su, X.; Peng, H.; Zhao, X.; Lu, C. A review on carrier aircraft dispatch path planning and control on deck. Chin. J. Aeronaut. 2020, 33, 3039–3057. [Google Scholar] [CrossRef]
- Yang, Q. Research on flight measurement method of a carrier-based aircraft hook loads. Acta Aeronaut. Astronaut. Sin. 2015, 36, 1162–1168. [Google Scholar]
- Lawrence, J.T. Milestones and developments in US naval carrier aviation-part II: AIAA-2005-6120. In Proceedings of the AIAA Atmospheric Flight Mechanics Conference and Exhibit, San Francisco, CA, USA, 15–18 August 2005. [Google Scholar]
- Max, M.D.; Phillip, W.R.; Morgan, W.; Erickson, A.J. Carrier Landing Simulation using Detailed Aircraft and Landing. In Proceedings of the AIAA SciTech Forum, Orlando, FL, USA, 6–10 January 2020. [Google Scholar]
- Naval Air Engineering Center. Military Standard: Catapulting and Arresting Gear Forcing Functions for Aircraft Structural Design; MIL-STD-2066 (AS); Navy Air Systems Command: Lakehurst, NJ, USA, 1981. [Google Scholar]
- Thomlinson, J. A Study of the Aircraft Arresting Hook Bounce Problem. In The Principal Director of Scientific Research (Air); Her majesty’s Stationery Office: London, UK, 1954. [Google Scholar]
- Jones, L.W. Development of Curves for Estimating Aircraft Arresting Hook Loads: ADA119551; Air Force Flight Test Center, Edwards Air Force Base: Edwards AFB, CA, USA, 1982; pp. 15–42. [Google Scholar]
- Gao, Z.J. A discussion of bounce kinematics of aircraft arresting hook and cable dynamics. Acta Aeronaut. Astronaut. Sin. 1990, 11, B543–B548. [Google Scholar]
- Liu, G.; Nie, H. Dynamics of arresting hook bounce after initial touchdown and impacting with deck. Acta Aeronaut. Astronaut. Sin. 2009, 30, 1672–1677. [Google Scholar]
- Peng, Y.; Zhang, Z.; Wei, X.; Li, L.; Wang, Y.; Liu, X. Dynamics influence analysis of structural parameters on impact and rebound of arresting. Acta Aeronaut. Astronaut. Sin. 2020, 41, 107864. [Google Scholar]
- Peng, Y.; Xie, P.; Wei, X.; Nie, H. Dynamics test research of bounce of carrier-based aircraft arresting hook. Appl. Sci. 2020, 10, 9033. [Google Scholar] [CrossRef]
- Zhu, Q.D.; Meng, X.; Zhang, Z. Simulation research on motion law of arresting hook during landing. Appl. Mech. Mater. 2013, 300–301, 997–1002. [Google Scholar] [CrossRef]
- Tony, W. F-35 Carrier Suitability Testing. In Proceedings of the AIAA Aviation Forum, Atlanta, GA, USA, 25–29 June 2018. [Google Scholar]
- Yin, Y.; Nie, H.; Ni, H.; Zhang, M. Reliability analysis of landing gear retraction system influenced by multifactors. J. Aircr. 2016, 53, 713–724. [Google Scholar] [CrossRef]
- Liang, L.; Wan, C. Xun Study on the dynamic performance of aircraft arresting cable. Acta Aeronaut. Astronaut. Sin. 2013, 34, 833–839. [Google Scholar]
- Vetyukov, Y. Non-material finite element modelling of large vibrations of axially moving strings and beams. J. Sound Vib. 2018, 414, 299–317. [Google Scholar] [CrossRef]
- Liu, J.; Cheng, Z.; Ren, G. An Arbitrary Lagrangian-Eulerian formulation of a geometrically exact timoshenko beam running through a tube. Acta Mech. 2018, 229, 3161–3188. [Google Scholar] [CrossRef]
- Deng, L.; Zhang, Y. Nonlinear dynamic analysis of arresting gears using 2D non-material variable-domain corotational elements. Mech. Mach. Theory 2021, 163, 104377. [Google Scholar] [CrossRef]
- Mikhaluk, D.; Voinov, I.; Borovkov, A. Finite element modeling of the arresting gear and simulation of the aircraft deck landing dynamics. In Proceedings of the European LS-DYNA Conference, Petersburg, Russia, 30 June–4 July 2008. [Google Scholar]
- Liu, C.; Wang, B. Dynamics Modeling and Simulation Analysis of Coupled Carrier-Based Aircraft and Arresting Gear System. J. Nanjing Univ. Aeronaut. Astronaut. 2016, 48, 418–425. [Google Scholar]
- Shen, W.; Zhao, Z.; Ren, G.; Liu, J. Modeling and Simulation of Arresting Gear System with Multibody Dynamic Approach. Math. Probl. Eng. 2013, 2013, 867012. [Google Scholar] [CrossRef]
- Zhang, H.; Guo, J.; Liu, J.P.; Ren, G.-X. An efficient multibody dynamic model of arresting cable systems based on ALE formulation. Mech. Mach. Theory 2020, 151, 103892. [Google Scholar] [CrossRef]
- Zhang, Z.; Peng, Y.; Wei, X.; Li, L.; Wang, Y.; Liu, X. Research on longitudinal dynamics safety boundary of carrier-based aircraft arresting. Aerosp. Sci. Technol. 2022, 130, 107864. [Google Scholar] [CrossRef]
- Peng, Y.; Yin, Y.; Xie, P.; Wei, X.; Nie, H. Reliability analysis of arresting hook engaging arresting cable for carrier-based aircraft influenced by multifactors. Chin. J. Aeronaut. 2022, 36, 311–323. [Google Scholar] [CrossRef]
- The Chief Committee of Aircraft Design Manual. Aircraft Design Manual: Takeoff and Landing System Design; Aviation Industry Press: Beijing, China, 2002; pp. 90–180. [Google Scholar]
- Dou, Q.; Yang, Z.; Liu, J.; Li, X. Experimental research and analysis on dynamics characteristics of arresting hook buffer. Mech. Sci. Technol. Aerosp. Eng. 2019, 38, 1307–1312. [Google Scholar]
- Johnny, E. US Navy Aviation Boatswain’s Mate E NAVEDTRA 14310: Chapter 3; Naval Education and Training Professional Development and Technology Center: Saufley Field in Escambia County, FL, USA, 2001; pp. 33–34. [Google Scholar]
- Bathe, K.J. Finite Element Procedures. Prentice Hall: Hoboken, NJ, USA, 1996. [Google Scholar]























Disclaimer/Publisher’s Note: The statements, opinions and data contained in all publications are solely those of the individual author(s) and contributor(s) and not of MDPI and/or the editor(s). MDPI and/or the editor(s) disclaim responsibility for any injury to people or property resulting from any ideas, methods, instructions or products referred to in the content. |
© 2023 by the authors. Licensee MDPI, Basel, Switzerland. This article is an open access article distributed under the terms and conditions of the Creative Commons Attribution (CC BY) license (https://creativecommons.org/licenses/by/4.0/).
Share and Cite
Shao, H.; Kan, Z.; Wang, Y.; Li, D.; Yao, Z.; Xiang, J. Dynamic Analysis and Numerical Simulation of Arresting Hook Engaging Cable in Carried-Based UAV Landing Process. Drones 2023, 7, 530. https://doi.org/10.3390/drones7080530
Shao H, Kan Z, Wang Y, Li D, Yao Z, Xiang J. Dynamic Analysis and Numerical Simulation of Arresting Hook Engaging Cable in Carried-Based UAV Landing Process. Drones. 2023; 7(8):530. https://doi.org/10.3390/drones7080530
Chicago/Turabian StyleShao, Haoyuan, Zi Kan, Yifeng Wang, Daochun Li, Zhuoer Yao, and Jinwu Xiang. 2023. "Dynamic Analysis and Numerical Simulation of Arresting Hook Engaging Cable in Carried-Based UAV Landing Process" Drones 7, no. 8: 530. https://doi.org/10.3390/drones7080530
APA StyleShao, H., Kan, Z., Wang, Y., Li, D., Yao, Z., & Xiang, J. (2023). Dynamic Analysis and Numerical Simulation of Arresting Hook Engaging Cable in Carried-Based UAV Landing Process. Drones, 7(8), 530. https://doi.org/10.3390/drones7080530

