Drone-Aided Networking with Massive Connectivity and High Spectral Efficiency Enabled
Abstract
1. Introduction
- High SE. The proposed NCM offers sum SE and individual SE up to 15 bits/s/Hz and 0.5 bits/s/Hz, respectively, while the gap to multiple access channel (MAC) capacity is narrowed down to 2 dB in all cases considered.
- Low latency. Low latency is naturally obtained due to the high code rate and is further enhanced using low complexity FECs such as -CC or -REP to keep the processing delay as short as possible.
- Scalability. The proposed design criteria are put forward in terms of signal shaping, consisting of ideal power allocation (IPA) and phase spacing technique (PST), that is proven to offer near-capacity performance irrespective of the varying user load K.
2. Nonorthogonal Coded Modulation
2.1. Introduction to NCM
2.2. Multiple Access Channel
3. LMMSE Aided Interference Cancellation
3.1. LMMSE Interference Suppression
3.2. Iterative Demodulation and Decoding
4. Signal Shaping: Design and Performance Analysis
4.1. Ideal Power Allocation (IPA)
4.2. Phase-Spacing Technique (PST)
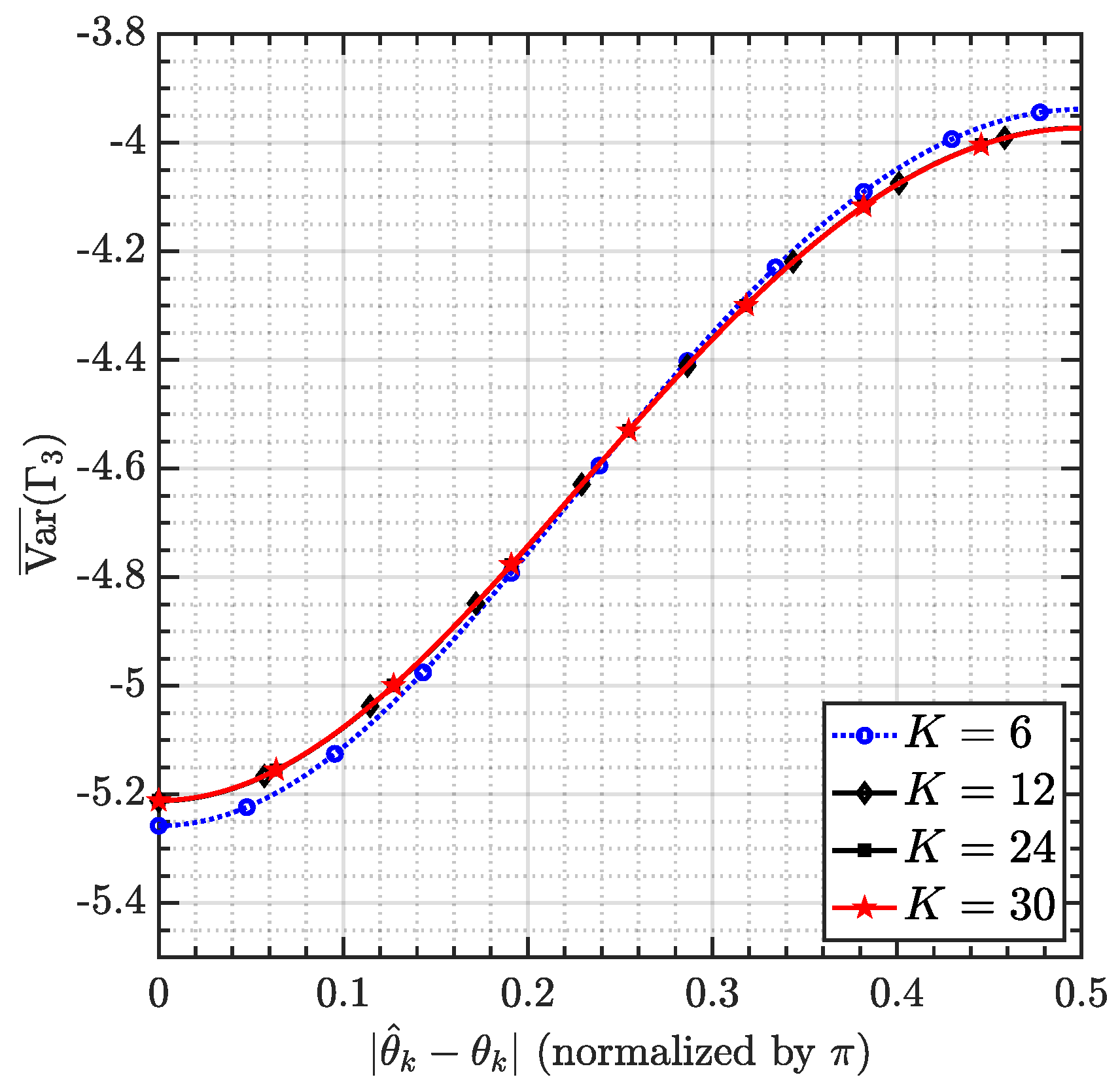
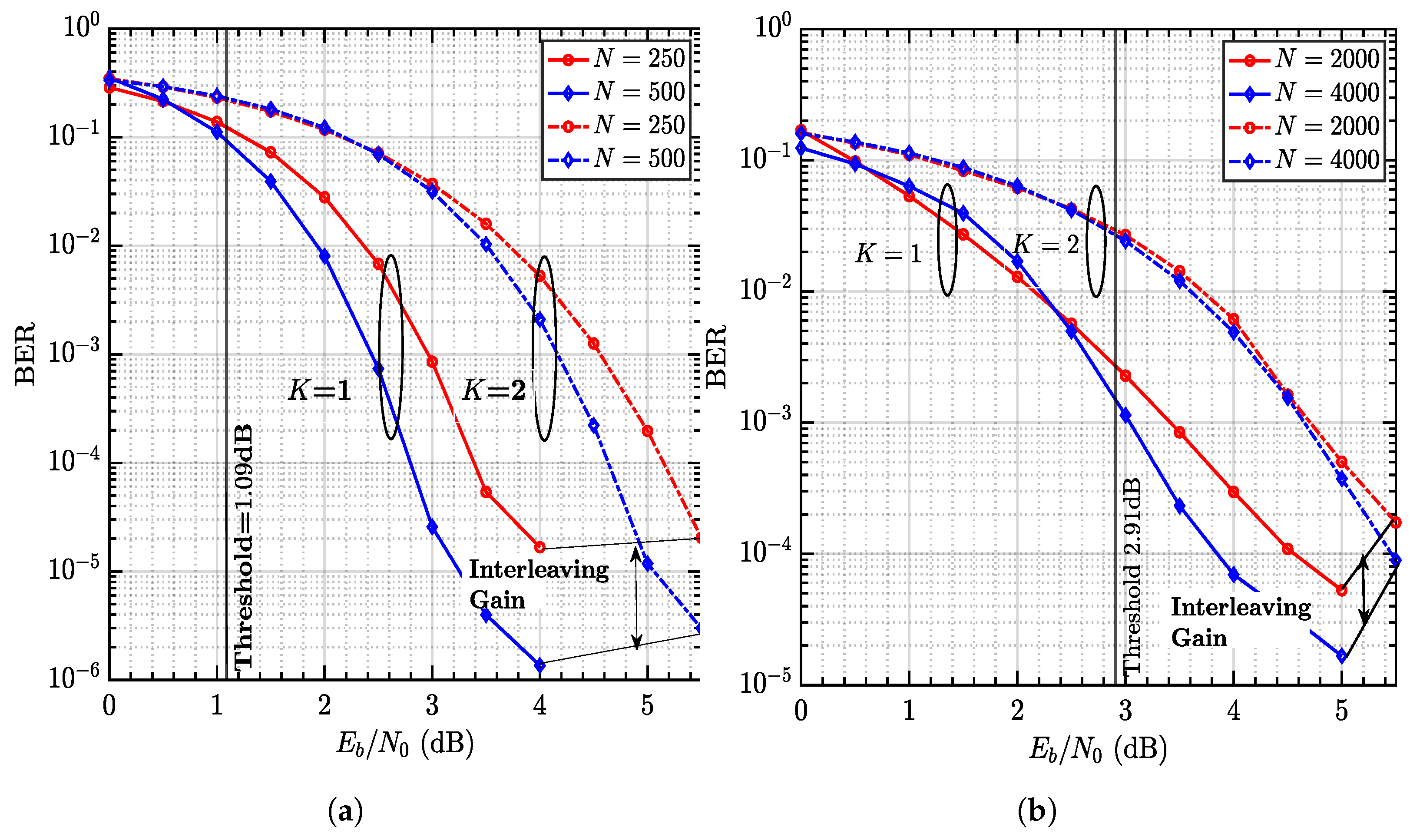
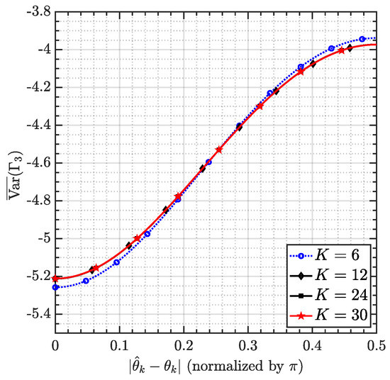
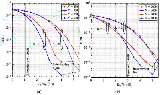
5. Numerical Results
5.1. Ideality of CC-NCM and REP-NCM
5.2. Match R to IPA
5.3. Achievable Spectral Efficiency
5.4. Remarks
6. Conclusions
Author Contributions
Funding
Conflicts of Interest
Abbreviations
| DIoT | drone-aided IoT |
| MSK | minimum shift keying |
| GMSK | Gaussian MSK |
| PSK | phase shift keying |
| CPM | continuous phase modulation |
| SNR | signal to noise ratio |
| SE | spectral efficiency |
| FEC | forward error correction |
| NCM | nonorthogonal coded modulation |
| REP | repetition |
| CC | convolutional code |
| AWGN | white Gaussian noise |
| PSD | power spectral density |
| PCA | nonorthogonal coded modulation |
| GA | Gaussian assumption |
| SIC | interference cancellation |
| MSE | mean squared error |
| APP | a posteriori probability |
| LLR | log-likelihood ratio |
| BER | mean squared error |
Appendix A
Appendix B
References
- Zhang, Z.; Xiao, Y.; Ma, Z.; Xiao, M.; Ding, Z.; Lei, X.; Karagiannidis, G.K.; Fan, P. 6G Wireless Networks: Vision, Requirements, Architecture, and Key Technologies. IEEE Veh. Technol. Mag. 2019, 14, 28–41. [Google Scholar] [CrossRef]
- Promwongsa, N.; Ebrahimzadeh, A.; Naboulsi, D.; Kianpisheh, S.; Belqasmi, F.; Glitho, R.; Crespi, N.; Alfandi, O. A Comprehensive Survey of the Tactile Internet: State-of-the-art and Research Directions. IEEE Commun. Surv. Tuts. 2021, 23, 472–523. [Google Scholar] [CrossRef]
- Grieco, G.; Iacovelli, G.; Boccadoro, P.; Grieco, L.A. Internet of Drones Simulator: Design, Implementation, and Performance Evaluation. IEEE Internet Things J. 2023, 10, 1476–1498. [Google Scholar] [CrossRef]
- Michailidis, E.T.; Potirakis, S.M.; Kanatas, A.G. AI-Inspired Non-Terrestrial Networks for IIoT: Review on Enabling Technologies and Applications. IoT 2020, 1, 21–48. [Google Scholar] [CrossRef]
- Abro, G.E.M.; Zulkifli, S.A.B.M.; Masood, R.J.; Asirvadam, V.S.; Laouti, A. Comprehensive Review of UAV Detection, Security, and Communication Advancements to Prevent Threats. Drones 2022, 6, 284. [Google Scholar] [CrossRef]
- FAHLSTROM. Introduction To Uav Systems, 4th ed.; WILEY: New Delhi, India, 2016. [Google Scholar]
- Chen, X.; Ng, D.W.K.; Yu, W.; Larsson, E.G.; Al-Dhahir, N.; Schober, R. Massive Access for 5G and Beyond. IEEE J. Sel. Areas Commun. 2021, 39, 615–637. [Google Scholar] [CrossRef]
- Viterbi, A. Very low rate convolution codes for maximum theoretical performance of spread-spectrum multiple-access channels. IEEE Trans. Commun. 1990, 8, 641–649. [Google Scholar] [CrossRef]
- Frenger, P.; Orten, P.; Ottosson, T. Code-spread CDMA using maximum free distance low-rate convolutional codes. IEEE Trans. Commun. 2000, 48, 135–144. [Google Scholar] [CrossRef]
- Wang, X.; Poor, H. Iterative (turbo) soft interference cancellation and decoding for coded CDMA. IEEE Trans. Commun. 1999, 47, 1046–1061. [Google Scholar] [CrossRef]
- Brannstrom, F.; Aulin, T.; Rasmussen, L. Iterative detectors for trellis-code multiple-access. IEEE Trans. Commun. 2002, 50, 1478–1485. [Google Scholar] [CrossRef]
- Mohammadkarimi, M.; Raza, M.A.; Dobre, O.A. Signature-Based Nonorthogonal Massive Multiple Access for Future Wireless Networks: Uplink Massive Connectivity for Machine-Type Communications. IEEE Veh. Technol. Mag. 2018, 13, 40–50. [Google Scholar] [CrossRef]
- Schlegel, C.; Burnashev, M.V. The interplay between error control coding and iterative signal cancelation. IEEE Trans. Signal Process. 2017, 65, 3020–3031. [Google Scholar] [CrossRef]
- Zhang, R.; Hanzo, L. A Unified Treatment of Superposition Coding Aided Communications: Theory and practice. IEEE Commun. Surv. Tutor. 2011, 13, 503–520. [Google Scholar] [CrossRef]
- Liang, C.; Hu, Y.; Liu, L.; Yan, C.; Yuan, Y.; Ping, L. Interleave Division Multiple Access for High Overloading Applications. In Proceedings of the 2018 IEEE 10th International Symposium on Turbo Codes & Iterative Information Processing (ISTC), Hong Kong, China, 3–7 December 2018; pp. 1–5. [Google Scholar]
- Gao, N.; Xu, Y.; Huang, Y.; He, D.; Hong, H.; Chen, C.; Zhang, W. User-Load-Compatible Masking Schemes for Raptor-Like Protograph-Based LDPC Codes in Gaussian Multiple Access Channels. IEEE Trans. Veh. Technol. 2021, 70, 7652–7664. [Google Scholar] [CrossRef]
- Liu, J.; Shi, Y.; Fadlullah, Z.M.; Kato, N. Space-Air-Ground Integrated Network: A Survey. IEEE Commun. Surveys Tuts. 2018, 20, 2714–2741. [Google Scholar] [CrossRef]
- Anderson, J.; Aulin, T.; Sundberg, C.E. Digital Phase Modulation; Plenum Press: New York, NY, USA, 1986. [Google Scholar]
- Simon, M.K. Bandwidth-Efficient Digital Modulation with Application to Deep Space Communications; John Wiley & Sons: Hoboken, NJ, USA, 2005. [Google Scholar]
- Elmasry, G.F. Tactical Wireless Communications and Networks: Design Concepts and Challenges; John Wiley & Sons: Hoboken, NJ, USA, 2012. [Google Scholar]
- IEEE Std 802.15.4-2020; IEEE Standard for Low-Rate Wireless Networks. IEEE: Piscataway, NJ, USA, 2020.
- Bing, L.; Gu, Y.; Aulin, T.; Wang, J. Design of Auto-Configurable Random Access NOMA for URLLC Industrial IoT Networking. IEEE Trans. Ind. Inform. 2023. [Google Scholar] [CrossRef]
- Moqvist, P. Multiuser Serially Concatenated Continuous Phase Modulation. Ph.D. Thesis, Chalmers University of Technology, Goteborg, Sweden, 2004. [Google Scholar]
- Perotti, A.; Benedetto, S.; Remlein, P. Spectrally Efficient Multiuser Continuous-Phase Modulation Systems. In Proceedings of the 2010 IEEE International Conference on Communications, Cape Town, South Africa, 23–27 May 2010; pp. 1–5. [Google Scholar]
- Noels, N.; Moeneclaey, M. Iterative Multiuser Detection of Spectrally Efficient FDMA CPM. IEEE Trans. Signal Process. 2012, 60, 5254–5267. [Google Scholar] [CrossRef]
- Bing, L.; Aulin, T.; Bai, B.; Zhang, H. Design and Performance Analysis of Multiuser CPM With Single User Detection. IEEE Trans. Wireless Commun. 2016, 15, 4032–4044. [Google Scholar] [CrossRef]
- Arikan, E. Channel Polarization: A Method for Constructing Capacity-Achieving Codes for Symmetric Binary-Input Memoryless Channels. IEEE Trans. Inf. Theory 2009, 55, 3051–3073. [Google Scholar] [CrossRef]
- Moqvist, P.; Aulin, T. Orthogonalization by principal components applied to CPM. IEEE Trans. Commun. 2003, 51, 1838–1845. [Google Scholar] [CrossRef]
- Verdu, S.; Shamai, S. Spectral efficiency of CDMA with random spreading. IEEE Trans. Inf. Theory 1999, 45, 622–640. [Google Scholar] [CrossRef]
- Tuchler, M.; Koetter, R.; Singer, A. Turbo equalization: Principles and new results. IEEE Trans. Commun. 2002, 50, 754–767. [Google Scholar] [CrossRef]
- Moqvist, P.; Aulin, T. Serially concatenated continuous phase modulation with iterative decoding. IEEE Trans. Commun. 2001, 49, 1901–1915. [Google Scholar] [CrossRef]
- Benedetto, S.; Divsalar, D.; Montorsi, G.; Pollara, F. Serial concatenation of interleaved codes: Performance analysis, design, and iterative decoding. IEEE Trans. Inf. Theory 1998, 44, 909–926. [Google Scholar] [CrossRef]
- Ten Brink, S. Convergence behavior of iteratively decoded parallel concatenated codes. IEEE Trans. Commun. 2001, 49, 1727–1737. [Google Scholar] [CrossRef]








| Reference | Research Focus | Research Limitation |
|---|---|---|
| [8,9] | Use simple FECs alone and suggest dedicating the whole redundancy to coding gain. | The used MLD is prohibitively high in practice. |
| [12] | Use the concatenation of high rate FEC and REP coding as the signature. | Each individual has extremely low SE, i.e., the coding–spreading dilemma. |
| [15,16] | Design REP-free schemes to address coding–spreading dilemma. | The designs have non-scalability and the user load is reduced drastically. |
| [23,24,25,26] | Employ FDMA-CPM. | MUI rapidly becomes irremediable as the frequency spacing approaches 0. |
| Outer Codes | Interleaving Gain | Free Distance | Coding Gain |
|---|---|---|---|
| −3 | 6 | 4.78 dB | |
| (2,1) | −1 | 2 | 0.00 dB |
| Parameter | Definition | Parameter | Definition |
|---|---|---|---|
| energy per transmitted symbol | target individual SE | ||
| phase offset | |||
| K | user load | R | code rate |
| N | blocklength | BER |
Disclaimer/Publisher’s Note: The statements, opinions and data contained in all publications are solely those of the individual author(s) and contributor(s) and not of MDPI and/or the editor(s). MDPI and/or the editor(s) disclaim responsibility for any injury to people or property resulting from any ideas, methods, instructions or products referred to in the content. |
© 2023 by the authors. Licensee MDPI, Basel, Switzerland. This article is an open access article distributed under the terms and conditions of the Creative Commons Attribution (CC BY) license (https://creativecommons.org/licenses/by/4.0/).
Share and Cite
Bing, L.; Hu, L.; Gu, Y.; Yin, Y. Drone-Aided Networking with Massive Connectivity and High Spectral Efficiency Enabled. Drones 2023, 7, 363. https://doi.org/10.3390/drones7060363
Bing L, Hu L, Gu Y, Yin Y. Drone-Aided Networking with Massive Connectivity and High Spectral Efficiency Enabled. Drones. 2023; 7(6):363. https://doi.org/10.3390/drones7060363
Chicago/Turabian StyleBing, Li, Lanke Hu, Yating Gu, and Yue Yin. 2023. "Drone-Aided Networking with Massive Connectivity and High Spectral Efficiency Enabled" Drones 7, no. 6: 363. https://doi.org/10.3390/drones7060363
APA StyleBing, L., Hu, L., Gu, Y., & Yin, Y. (2023). Drone-Aided Networking with Massive Connectivity and High Spectral Efficiency Enabled. Drones, 7(6), 363. https://doi.org/10.3390/drones7060363

