Next Article in Journal
High Precision Mesh-Based Drone Image Stitching Based on Salient Structure Preservation and Regular Boundaries
Next Article in Special Issue
Intelligent Mining Road Object Detection Based on Multiscale Feature Fusion in Multi-UAV Networks
Previous Article in Journal
Efficient Uncertainty Propagation in Model-Based Reinforcement Learning Unmanned Surface Vehicle Using Unscented Kalman Filter
Previous Article in Special Issue
Distributed Offloading for Multi-UAV Swarms in MEC-Assisted 5G Heterogeneous Networks
 
 
Font Type:
Arial Georgia Verdana
Font Size:
Aa Aa Aa
Line Spacing:
Column Width:
Background:
Article

Connectivity-Maintenance UAV Formation Control in Complex Environment

1
School of Information and Electronics, Beijing Institute of Technology, Beijing 100081, China
2
School of Telecommunications Engineering, Xidian University, Xi’an 710071, China
*
Author to whom correspondence should be addressed.
Drones 2023, 7(4), 229; https://doi.org/10.3390/drones7040229
Submission received: 28 February 2023 / Revised: 20 March 2023 / Accepted: 23 March 2023 / Published: 26 March 2023
(This article belongs to the Special Issue Multi-UAV Networks)

Abstract

Cooperative formation control is the research basis for various tasks in the multi-UAV network. However, in a complex environment with different interference sources and obstacles, it is difficult for multiple UAVs to maintain their connectivity while avoiding obstacles. In this paper, a Connectivity-Maintenance UAV Formation Control (CMUFC) algorithm is proposed to help multi-UAV networks maintain their communication connectivity by changing the formation topology adaptively under interference and reconstructing the broken communication topology of a multi-UAV network. Furthermore, through the speed-based artificial potential field (SAPF), this algorithm helps the multi-UAV formation to avoid various obstacles. Simulation results verify that the CMUFC algorithm is capable of forming, maintaining, and reconstructing multi-UAV formation in complex environments.

1. Introduction

With the rapid development of UAV technology, the multi-UAV network is widely used in civil and military fields such as disaster rescue, air reconnaissance, etc. [1,2,3,4,5]. The communication topology of the multi-UAV network affects its work efficiency, and its connectivity can be maintained by controlling the topology of the multi-UAV formation. Therefore, it is fundamental to carry out research on the formation topology control of multi-UAVs. During the actual flight, the limited communication range of UAVs and different environmental factors, such as obstacles and interference sources, will affect the connectivity of the multi-UAV network. Thus, it is necessary to maintain connectivity of the entire multi-UAV network by controlling multi-UAV formations in complex environments [6].
Scholars at home and abroad have conducted many studies on connectivity maintenance between UAVs. An UAV formation control law was proposed to generate a leader–follower structure based on consistency under the balance of control constraints and communication constraints, so as to avoid collisions and maintain connectivity between UAVs [7]. The authors in [8] proposed using the graph coalition formation game to model the cooperation between UAVs, which can quickly restore the required connectivity between UAV networks. In [9], the connectivity methods were compared in four application scenarios, mainly by increasing or decreasing the communication links between UAVs to increase or decrease the connectivity of UAV clusters. A connectivity tracking algorithm was proposed to track the connectivity distribution over time, and the results are analyzed. The authors in [10] used the second-order integral characteristic to solve the time-varying formation tracking control problem of multiple UAVs. We consider the correspondence between multi-UAV connectivity and formation control and maintain the connectivity of multi-UAV networks through formation control in complex environments. These papers also consider the problem of UAV formation flight in the case of limited communication. The authors in [11] studied the formation control problem of multiple agents in the noise environment and transformed the formation control problem into the convergence problem of the infinite product of general random matrix sequences. A flight strategy was proposed to improve the multi-UAV cooperative search ability under the condition of limited resources. A multi-UAV cooperative search model was established. The optimization function of the model considers communication cost and formation benefit to ensure multi-UAV Effectiveness of Human–Machine Search [12]. A new adaptive formation control method was proposed for UAVs with limited leader information and communication. The method was extended to replace the leader with adjacent UAVs, where the leader can convey location and direction information [13].
In addition, the formation obstacle avoidance problem of UAVs needs to be considered in the process of formation flight. The aim is the formation and maintenance of a specific configuration to adapt to mission requirements and friendly aircrafts. Currently widely used strategies include the leader–follower method [14], virtual structure method [15], behavior-based control method [16], and the consensus algorithm [17]. Among them, the algorithm based on consensus theory emphasizes the synchronization, cooperation, and substitutability among individuals. This algorithm meets the characteristics of decentralization, autonomy, and autonomy of UAVs; it thus gradually became the main method and research direction to solve in the formation control of UAVs. In addition, the obstacle avoidance problem of UAVs needs to be considered in the process of formation flight. The artificial potential field (APF) algorithm proposed by Khatib [18] in 1986 stands out among many obstacle avoidance algorithms because of its simple structure, easy real-time control, and rapid response to environmental changes. An observer-based memory consensus protocol was proposed in [19] for achieving the consensus of nonlinear multi-agent systems with Markov switching topologies. This approach was applicable for an observer-based nonlinear multi-agent system which was described by switched undirected topologies. In [20], the authors solved the consensus problem in multi-agent systems with Markov jump, time-varying delay, and uncertainties. In [21], the authors developed a consistent algorithm to decompose the motion of UAV into three directions, but the constraint processing of instructions in the algorithm convergence process is too cumbersome, which is not conducive to engineering implementation. The authors in [22] introduced a particle swarm optimization algorithm to deal with static and dynamic obstacles. They added UAV formation configuration requirements to the consensus algorithm. An adaptive distributed control algorithm was proposed to realize the problem of cooperative formation of heterogeneous vertical take-off and landing UAVs under the condition of parameter uncertainty in [23]. In [24], the authors developed a novel decentralized adaptive consensus formation control method. Each UAV sets a coordinate and controls its relative position with adjacent UAVs to obtain the desired formation. A multi-UAV formation system based on the leader–follower model was proposed in [25]. The follower predicts the state of the leader, maintains a relative position in the formation, and finally reaches a consensus with the leader. A topology control algorithm was proposed in [26] to complete the distributed communication maintenance and formation configuration of four quadrotor UAVs. However, the security requirements for the long-running machine in the cluster are very high.
In this paper, aiming at connectivity maintenance of a multi-UAV network and obstacle avoidance of multi-UAV formation, we design a formation control algorithm to overcome the connectivity maintenance and obstacle avoidance problem. The main challenge is to design an excellent formation control algorithm to ensure the connectivity and security of the multi-UAV network during the actual flight due to the limited communication range of UAVs and the existence of different environmental factors, such as obstacles and interference sources. Specifically, the formation switching of the multi-UAV network or the failure of some communication networks will cause the system connectivity to be destroyed. Therefore, the designed formation control algorithm requires the ability to maintain the system connectivity. At the same time, considering the flying speed of a UAV, the designed algorithm requires timely and safe obstacle avoidance. Thus, it is quite necessary to maintain the connectivity of an entire multi-UAV network by controlling multi-UAV formations in complex environments.
This paper proposes a Connectivity-Maintenance UAV Formation Control algorithm, called CMUFC, for the multi-UAV network to complete tasks in complex environments with various obstacles and interference sources. This algorithm considers the communication range and kinematics constraints of UAVs and overcomes the problem of maintaining connectivity when a multi-UAV network is disturbed and avoids obstacles. This paper has the following contributions:
  • The CMUFC algorithm maintains the connectivity of the multi-UAV network through adaptive scaling formation, and the UAV changes its relative position with other UAVs to maintain the stability of the entire system in the case of interference.
  • A speed-based artificial potential field (SAPF) algorithm, which helps UAVs avoid obstacles safely in the process of rapid flight, is proposed. Combined with the SAPF and the consensus formation control algorithm, it overcomes the problem of local minimum and solves the problem that APF cannot make UAVs tend to the specified formation.
  • Aiming at the situation that the formation of a multi-UAV network is forced to change in order to avoid obstacles, a recursive self-repairing formation algorithm based on layering is used to enable the multi-UAV to complete the formation reconstruction and maintain the connectivity of the multi-UAV network.
The rest of this paper is organized as follows. Section 2 describes the system model. Section 3 introduces the Connectivity-Maintenance UAV Formation Control algorithm. Section 4 verifies and analyzes our algorithm. Finally, concluding remarks are provided in Section 5.

2. System Model

As shown in Figure 1, this paper considers the formation control problem of multi-UAV connectivity maintenance in complex environments where there are K interference sources of different interference powers and O obstacles of different sizes. In the considered multi-UAV scenario, we construct the model in a 3D Cartesian coordinate system. Among them, M UAVs are modeled as discs with a radius l m i n . Let p i u a v ( t ) = [ p i x u a v ( t ) , p i y u a v ( t ) , H ] , i [ 1 , 2 , , M ] , t [ 1 , 2 , , T i ] denote the 3D position of the UAV, where H is the altitude of the UAV, which is assumed to be fixed; T i denotes the time for UAV i to complete its mission. The o-th obstacle is modeled as a disk with radius r o , o [ 1 , 2 , , O ] , and its position is p o o b s ( t ) = [ p o x o b s ( t ) , p o y o b s ( t ) ] . The position of the interference source k is p k i n t ( t ) = [ p k x i n t ( t ) , p k y i n t ( t ) ] , and its transmission power is P k i n t , k [ 1 , 2 , , K ] . The target location of the multi-UAV network is p t a r = [ p x t a r , p y t a r ] .

2.1. Formation Control Model

When multiple UAVs form a formation and fly jointly, they must maintain a fixed geometric shape with each other. At the same time, they must meet mission requirements and adapt to surrounding environmental constraints, such as obstacle avoidance. This paper adopts the virtual structure method. That is, a virtual structure is established in the formation, and each UAV only needs to follow a certain point or a certain edge in the virtual structure to realize formation control. The task of the multi-UAV network we consider is to maintain communication connectivity and generate the formation of UAVs while avoiding obstacles. The dynamic system of UAV can be abstracted as a double integral dynamic system
p ˙ i = v i , v ˙ i = u i , i = 1 , , M
where p ˙ i and v ˙ i represent the derivatives of p i u a v and v i , respectively. u i R m is the acceleration and control inputs for UAV i. The control input u i helps UAVs form a designated formation. According to the double-integral dynamic system in Equation (1), the consensus method for a multi-UAV network consisting of M UAVs is expressed as
u i = j = 1 M a i j ( t ) [ ( p i u a v p j u a v ) + γ ( t ) ( v i v j ) ] , i = 1 , 2 , , M
where γ ( t ) is a positive number and a i j is the ( i , j ) -th term in the Laplacian matrix of an undirected graph G M . The consensus formation control algorithm of a double integral dynamic system makes the relative position between UAVs tend to the set value by controlling the input u i , so as to form the formation of multiple UAVs. In addition, the speed and acceleration of the UAV must be less than its maximum limit
v i v max , u i a max
where v i , a max are the maximum speed and maximum acceleration of the UAV, respectively.

2.2. Communication Model

2.2.1. Topology Model

In terms of multi-UAV formation control, directed graphs and undirected graphs have different effects on the stability, convergence speed, and robustness of formation control. In general, directed graphs require more complex control algorithms and coordination strategies. In order to reduce the impact of communication delay and other factors on the multi-UAV network topology control, this paper considers two-way communication between UAVs to transmit information such as position and speed. Thus, the topology of the multi-UAV network is represented by an undirected graph G M ( Q M , E M , W M ) , where Q M = { 1 , 2 , , M } denotes a non-empty finite set of UAVs. E M Q M × Q M is the edge set of the communication links connecting two UAVs. If there is a reachable communication link between UAV i and UAV j, it means that there is an edge E i j in the undirected graph G M , and Q i can obtain the information consisting of position and speed from Q j . W M Q M × Q M represents the weight matrix of communication links between UAVs in the network topology, and we think that the communication between UAVs is symmetric, i.e., W i j = W j i , E i j . Specifically, W M is described as the communication quality matrix, where W i j represents the communication weight between UAV i and UAV j, which is related to the communication distance between two UAVs. An undirected graph is connected if there is an undirected path between any two different UAVs in the undirected graph G M .
Figure 2 shows the correspondence between the formation structure and communication topology of the multi-UAV network. By controlling the relative position between two UAVs, the distance between them satisfies the communication requirements, p 1 p 2 R c , E 12 = 1 . That is, the multi-unmanned systems maintain connectivity.
As shown in Figure 3, the network topologies considered in this paper include string type, ring type, tree type, and star type. There is at least one undirected path between every two UAVs in the multi-UAV network to ensure the connectivity of the system.

2.2.2. Channel Model

  • UAV–UAV Channel Model
In this paper, the communication between UAVs in the time-varying channel is considered, and only the average path loss is considered. The power of the signal transmitted by UAV i to UAV j is expressed as
P j = λ 4 π d i j α G i G j L m P i
where G i is the transmitting antenna gain of UAV i, G j is the receiving antenna gain of UAV j, λ is the wavelength, d i j indicates the distance between UAV i and UAV j, α denotes the average path loss constant, L m is the loss factor, and P i is the signal transmission power of UAV i.
2.
UAV–Interference source Channel Model
The transmission scenario in an urban area is considered, where the elevation angle-dependent probability LoS channel model is considered between the UAV and the ground interference source [27]. The instantaneous interference from ground interference source k to UAV i is as follows
P i , k = P k ( P L o S ( θ ) β 0 d i , k α + ( 1 P L o S ( θ ) ) κ β 0 d i , k α )
where d i , k is the distance between UAV i and interference source k, β 0 = ( λ / 4 π ) 2 is the path loss at a reference distance of 1 m under LoS conditions, λ is the carrier, κ < 1 is the additional attenuation factor due to NLoS propagation, and α is the path loss exponent, which is modeled as a monotonically decreasing function of the height H of the UAV. The probability P L o S ( θ ) of having a LoS environment is modeled as
P L o S ( θ ) = 1 1 + a · exp ( b ( θ a ) )
Among them, a and b are modeling parameters, and θ is the elevation angle from interference source k to UAV i, namely
θ = arcsin ( H / d i , k ( t ) )
where H is the height of the UAV. The probability of an NLoS environment is given by
P N L o S θ = 1 P L o S ( θ )
The instantaneous interference received by UAV i from all ground interference sources is
P i , K = k P i , k
Therefore, the maximum transmission distance R c between UAVs is expressed as
R c = λ 4 π P i σ 2 + P i , K · 10 S I N R t h 10 1 α
where σ 2 is the average power of the noise in the wireless channel and S I N R t h is the signal to interference plus noise ratio (SINR) threshold. In order to ensure the connectivity of the multi-UAV network, there is at least one undirected link between every two UAVs; the communication between adjacent UAVs in the undirected path needs to meet its maximum transmission distance.

3. Connectivity-Maintenance UAV Formation Control Algorithm

The multi-UAV network maintains connectivity. That is, there is at least one undirected path between every two UAVs, and the communication between adjacent UAVs in this undirected path needs to meet its maximum transmission distance. In areas where there are interference sources, the CMUFC algorithm helps UAVs adaptively change the formation structure to maintain the connectivity of multi-UAV communication topology. In addition, this algorithm combines the SAPF and the consensus formation control algorithm to help the multi-UAV formation to fly to the target position and avoid obstacles, while making the flight distance between the UAVs meet the connectivity requirements.

3.1. Connectivity Maintenance of Multi-UAV Network under Interference

Figure 4 shows the collision zone and communication interaction zone around the UAV, where R c is the maximum transmission distance of signals between UAVs, l o is the maximum range of influence of obstacles on the UAV, and l min is the radius of the UAV. In order to maintain system connectivity, the distance between two adjacent UAVs d i j in the undirected path cannot be greater than the maximum transmission distance R c . In this paper, the effects of interference sources and obstacles on the connectivity of multi-UAV networks are considered.
The situation of the interference of a UAV is shown in Figure 5. When the multi-UAV network is interfered by an interference source, the maximum transmission distance of the UAV signal is reduced. The closer the UAV is to the interference source, the smaller the communication range. This situation reflects the actual UAV formation. That is, the distance between UAVs is scaled adaptively to maintain the connectivity of the system.

3.2. Multi-UAV Formation Control under Obstacle Avoidance

In this paper, the SAPF algorithm and consensus control algorithm are combined to help UAV formation avoid obstacles and keep formation. SAPF is used to help UAVs fly to the target and avoid obstacles, and the consensus control algorithm is used to help multiple UAVs form a specified communication topology. The two algorithms are combined to simultaneously ensure that no collision occurs between UAVs and communication interaction can be maintained. That is,
l min d i j R c
The SAPF algorithm establishes an attractive potential field for the target and a repulsive potential field for the obstacle. The two potential fields are combined to avoid the collision between the UAV and the obstacle in the process of flying to the target position. The attractive and repulsive potential fields are expressed as
U a t t ( p ) = 1 2 k a t t · l 2 ( p u a v , p t a r )
U r e p ( p ) = 1 2 k r e p ( 1 l ( p u a v , p o b s ) 1 l o ) 2 , l ( p u a v , p o b s ) l o 0 , l ( p u a v , p o b s ) > l o
where k a t t is the attraction gain factor, k r e p is the repulsive force gain coefficient, l ( p u a v , p t a r ) denotes the vector distance between UAV and target position, l ( p u a v , p o b s ) is the vector distance between the UAV and the obstacle, i.e., the Euclidean distance between two points. l o is a constant that represents the maximum range over which the obstacle can affect the UAV. The attractive and repulsive forces are the negative gradients of the attractive and repulsive potential fields, respectively, and the attractive and repulsive force functions are expressed as
F a t t ( p ) = ( U a t t ( p ) ) = k a t t · l ( p u a v , p t a r )
F r e p ( p ) = k r e p ( 1 l ( p u a v , p o b s ) 1 l o ) · 1 l 2 ( p u a v , p o b s ) · ( l ( p u a v , p o b s ) ) ( p ) , l ( p u a v , p o b s ) l o 0 , l ( p u a v , p o b s ) > l o
Then, adding the speed steering force to solve the local minimum problem, the speed steering force is expressed as
F r e p v = k r e p v ( 1 l ( p u a v , p o b s ) 1 l o ) · v , l ( p u a v , p o b s ) l o 0 , l ( p u a v , p o b s ) > l o
where k r e p v is the speed repulsion force gain coefficient, v is the speed of the UAV, and the direction of F r e p v is perpendicular to v. Therefore, the resultant repulsive force is expressed as
F r e p s u m = F r e p ( p ) + F r e p v
In addition, this paper adopts the formation control mode of the virtual pilot. Then, the consensus algorithm, according to the double integral dynamic system shown in Equation (2), is further expressed as
u i = j = 1 n a i j ( t ) ( c 1 ( p i u a v p j u a v Δ h i j ) + c 2 ( v i v j ) ) f r , i = 1 , 2 , , n
f r = c 3 ( p i u a v p ) + c 4 ( v i v )
where c 1 and c 3 are stiffness gains, c 2 and c 4 are damping gains, a i j ( t ) represents the adjacency matrix of each UAV communication topology in a multi-UAV network, and Δ h i j is the relative position of UAV i and UAV j. p and v are the speed and position of the virtual leader. That is, f r represents the tracking item of the virtual leader by the UAV.
Therefore, based on the SAPF generated forces derived from each UAV’s current position and speed and environmental conditions, combined with the control inputs generated by the consensus control algorithm, the control inputs for UAV i in the multi-UAV network are as follows
F s u m i = F a t t i + F r e p s u m , i + u i · m i
where m i is the mass of UAV i. In summary, the formation control algorithm of multi-UAV network controls the flight direction and speed of UAV i by controlling the input F s u m i to solve the obstacle avoidance problem of multi-UAV network.

3.3. Formation and Connectivity Restoration of Multi-UAV Network

As shown in Figure 6, UAVs move away from the formation in order to avoid obstacles during flight. UAV 3 loses connection with the formation to avoid obstacles, and UAV 5 restores connectivity to the multi-UAV network as a repair UAV. In this paper, a layer-based recursive self-healing formation algorithm is used for the situation that a multi-UAV network cannot maintain connectivity when UAVs have to stay away from the system in order to avoid obstacles during flight. When the topology of multi-UAV network formation is forced to change, the algorithm can maintain the connectivity of the system network and complete formation reconstruction without changing the network topology relationship of UAVs. The proposed algorithm block diagram is shown in Figure 7.
Before the departure of the multi-UAV network, UAVs are divided into layers according to the number of communication links of them. If there is a communication link between UAV i and UAV j, then E i j = 1 . Select UAV i, satisfying arg max j E i j , i , as the first layer of the multi-UAV network. If there are UAVs with the same number of links, select the UAV close to the target position. Then, the UAVs that have a communication link with the UAVs on the first layer are used as the second layer, and the division method of the third layer and subsequent layers is the same as above. Then, number each UAV in order from top to bottom and from left to right and assign weights to UAVs according to the position difference of each UAV in the expected formation. Generally, the multi-UAV expected formation is divided into three layers from top to bottom according to the principle of hierarchical division, and the basic formation configuration is obtained. The position of the first UAV in the initial formation is generally at the center UAV of the first layer. The numbering method of the second layer specifies the relative position of each UAV in order from left to right. The naming method of the third layer and subsequent layers is the same as that of the second layer. After layering, two control mechanisms, hierarchical weight β q and intra-layer position weight β p , were established by setting the corresponding weight coefficients to ensure the stability of the UAV reconstruction formation. The UAVs in the first layer have the largest β q , which decrease according to the increase of the number of layers; the position weights β q within the layer decrease in order from left to right. For V-shaped formations, each UAV β q within the same layer is equal, β p is not equal, and β q > > β p .
When a UAV is damaged or forced to leave the system, the child UAV of the problem UAV is used as the repair UAV. The multi-UAV formation is traversed down along the communication link until the entire UAV formation is traversed. Then, the repair subnet is established. If there are multiple child UAVs, the child UAV that can reach the expected position of the problem UAV the fastest is judged as the repair UAV according to the position, speed, and acceleration of each child UAV at the current moment. If there are multiple problematic UAVs, select the child UAV of the problematic UAV with a larger weight to repair the missing position. The repair UAV first flies to the desired position of the problem UAV, so as to establish connectivity with other child UAVs of the original problem UAV. The repair UAV is within the maximum communication link range with the root UAV of the problem UAV and approaches the movement direction of the problem UAV when it leaves the team. It then restores the connection with the problem UAV as much as possible. If the connection with the problem UAV cannot be restored, the sub-UAV of the repair also approaches the problem UAV to form a serial link to expand the communication range.
After the repair subnetwork is established, the weights of the sub-UAVs of the problem UAVs are updated. First, each UAV recalculates the current weights according to the formation in the repair subnetwork. It then sends the new weights to the UAVs through the link. Human–machine and the repair UAV sums the new weight and its own weight to realize the weight update.

3.4. Connectivity-Maintenance Formation Control Algorithm

Algorithm 1 shows the pseudocode of the CMUFC algorithm. First, initialize the position of M UAVs in the multi-UAV network, as well as the radius, maximum speed, acceleration and other parameters of the UAVs. Randomly initialize the positions of O obstacles and K interference sources. Set the transmit power of interference sources, the influence range of obstacles, etc. (lines 1–2). Let T i denote the mission completion time of UAV i, where i { 1 , 2 , , M } . Divide each task duration T i in the discrete time domain into multiple time steps t according to a fixed time interval Δ t . That is, t is represented as the t-th time period Δ t . Second, at each time slot t, for each UAV i, first calculate the communication distance according to the interference power and path loss of the interference source. Then, calculate the distance between it and other UAVs with communication links in the system. Calculate the distance between it and the target position and obstacle position. After that, calculate the resultant force generated by the multi-UAV formation obstacle avoidance control algorithm according to the distance. Finally, calculate the position of the UAV under the constraints of speed and acceleration at time t + 1 (lines 5–8). Third, judge whether there is an undirected path in the multi-UAV network at time t + 1 to satisfy the system connectivity. If it exists, continue looping. If it does not exist according to the CMUFC algorithm, the problem UAV is set as the root UAV, and its child UAVs are used as the repair UAV. Then, let it fly to the expected position to restore system connectivity (lines 9–13).
Algorithm 1 CMUFC
1:
Initialize the physical parameters of M UAVs
2:
Initialize the physical parameters of O obstacles and K interference sources
3:
for  t = 1 , , T do
4:
    for  i = 1 , , M  do
5:
        Calculate the communication distance of UAV i in Equation (10)
6:
        Calculate the distance between UAV i and neighboring UAVs in the undirected path
7:
        Calculate the resultant force of UAV i in Equation (20)
8:
        Calculate the position of UAV i under the constraints at time t + 1
9:
        if there is an undirected path in the multi-UAV network then
10:
           Continue the cycle
11:
        else
12:
           Repair system connectivity
13:
        end if
14:
    end for
15:
end for

4. Simulation Results

In this section, we simulate a V-formation multi-UAV network and analyze the simulation results. The relevant parameters of the simulation are shown in Table 1.
We simulate the performance of the CMUFC algorithm in different scenarios and compare it with the traditional formation control algorithm by APF. The scenario where there are interference sources is shown in Figure 8, and the powers of these three interference sources are 23 dBm, 26 dBm, and 10 dBm, respectively. The CMUFC algorithm helps UAVs to fly to areas with less interference, thereby maintaining the connectivity of the multi-UAV network. Figure 9 shows the communication range of UAVs. When the multi-UAV network is closer to the interference source, the communication range is smaller. Among them, UAV1 and UAV4 are the UAV communication ranges calculated by our proposed algorithm, and UAV 1 and UAV 4 are the communication ranges calculated by the traditional formation control algorithm. Figure 10 shows the distance between two UAVs. The proposed algorithm can help the multi-UAV network adaptively reduce the formation distance to maintain the connectivity of the entire network when the communication range decreases. In addition, as shown in Figure 10, the farthest distance between two UAVs in the multi-UAV network, UAV1 and UAV4, satisfies the communication requirements of UAVs shown in Figure 9. However, the traditional formation control algorithm makes the distance between UAVs far greater than its communication distance, resulting in the inability of the multi-UAV network to maintain connectivity.
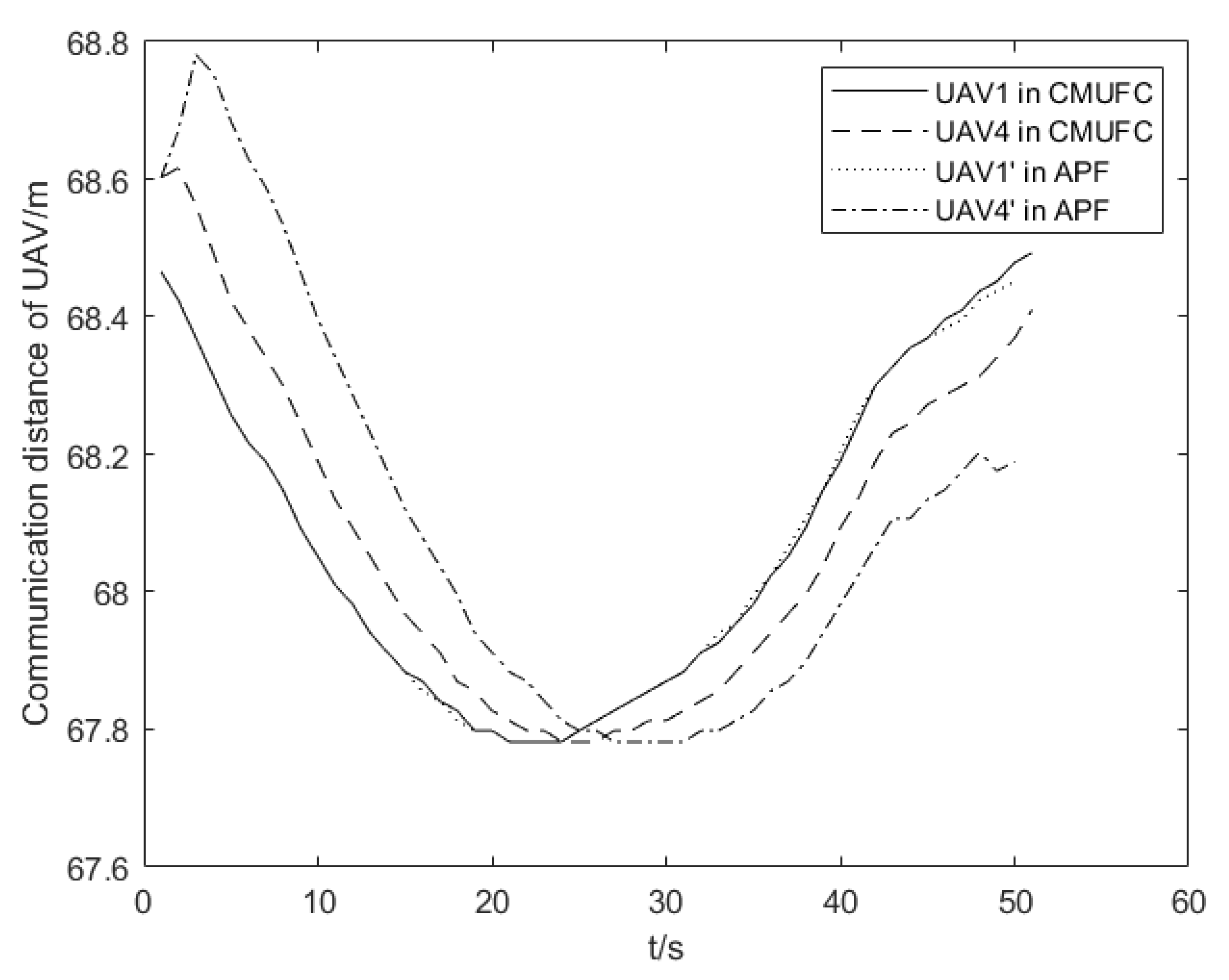
Furthermore, we simulate a complex environment with obstacles and interference sources as shown in Figure 11, where the power of the interference source is 36 dBm, and the radius of the obstacle is 30–50 m. The CMUFC algorithm helps the multi-UAV network fly away from the interference source to maintain connectivity. Due to the existence of interference, the communication distance between UAVs is reduced, making it easier for UAVs to collide with obstacles. Compared with the traditional formation control algorithm, our algorithm keeps the multi-UAV network away from obstacles and improves safety. The distance between UAV1 and UAV4 when flying in a complex environment is shown in Figure 12. The CMUFC algorithm helps UAVs shorten the distance between them without colliding with each other to maintain the connectivity of the entire system when UAVs are interfered. Figure 13 shows the communication distance of UAVs in complex environments. Compared with the traditional formation control algorithm, the CMUCF algorithm controls the flight distance between the UAVs to be less than its communication distance in their entire flight.

5. Conclusions

We investigated the problem of maintaining the connectivity of multi-UAV networks in complex environments. For complex environments with obstacles and interference sources, the CMUFC algorithm helps multi-UAV networks safely avoid obstacles and maintain connectivity during flight. In order to solve the problem that UAVs may collide with obstacles during fast flight, the traditional APF is improved, and SAPF is proposed to help UAVs avoid obstacles more safely. In addition, in order to solve the situation that UAVs leave the team and are forced to change the communication topology during the obstacle avoidance process, the proposed method helps the multi-UAV network to perform formation reconstruction. The simulation results show that the CMUFC algorithm is helpful for multiple UAVs to form, maintain, and reconstruct the formation during their flight.

Author Contributions

Conceptualization, L.Z.; Methodology, C.M.; Software, J.L.; Validation, Y.L.; Writing–review, Q.Y. All authors have read and agreed to the published version of the manuscript.

Funding

This research was supported by the Natural Science Basis Research Plan in Shaanxi Province of China (2023JCYB555).

Institutional Review Board Statement

Not applicable.

Informed Consent Statement

Not applicable.

Data Availability Statement

Not applicable.

Conflicts of Interest

The authors declare no conflict of interest.

References

  1. Wu, E.; Sun, Y.; Huang, J.; Zhang, C.; Li, Z. Multi UAV Cluster Control Method Based on Virtual Core in Improved Artificial Potential Field. IEEE Access 2020, 8, 131647–131661. [Google Scholar] [CrossRef]
  2. Yue, X.; Zhang, W. UAV Path Planning Based on K-Means Algorithm and Simulated Annealing Algorithm. In Proceedings of the 37th Chinese Control Conference (CCC), Wuhan, China, 25–27 July 2018; pp. 2290–2295. [Google Scholar]
  3. Li, Z.; Han, R. Unmanned Aerial Vehicle Three-dimensional Trajectory Planning Based on Ant Colony Algorithm. In Proceedings of the 37th Chinese Control Conference (CCC), Wuhan, China, 25–27 July 2018; pp. 9992–9995. [Google Scholar]
  4. Lin, Y.; Saripalli, S. Sampling-Based Path Planning for UAV Collision Avoidance. IEEE Trans. Intell. Transp. Syst. 2017, 18, 3179–3192. [Google Scholar] [CrossRef]
  5. Wei, Z.; Meng, Z.; Lai, M.; Wu, H.; Han, J.A.; Feng, Z. Anti-collision Technologies for Unmanned Aerial Vehicles: Recent Advances and Future Trends. IEEE Internet Things J. 2022, 9, 7619–7638. [Google Scholar] [CrossRef]
  6. Tegicho, B.E.; Bogale, T.E.; Eroglu, A.; Edmonson, W. Connectivity and Safety Analysis of Large Scale UAV Swarms: Based on Flight Scheduling. In Proceedings of the 2021 IEEE 26th International Workshop on Computer Aided Modeling and Design of Communication Links and Networks (CAMAD), Porto, Portugal, 25–2 October 2021; pp. 1–6. [Google Scholar]
  7. Mukherjee, S.; Namuduri, K. Formation Control of UAVs for Connectivity Maintenance and Collision Avoidance. In Proceedings of the IEEE National Aerospace and Electronics Conference (NAECON), Dayton, OH, USA, 15–19 July 2019; pp. 126–130. [Google Scholar]
  8. Huang, Y.T.; Qi, N.; Huang, Z.Q.; Jia, L.L.; Wu, Q.H.; Yao, R.G.; Wang, W.J. Connectivity Guarantee Within UAV Cluster: A Graph Coalition Formation Game Approach. IEEE Open J. Commun. Soc. 2023, 4, 79–90. [Google Scholar] [CrossRef]
  9. Trimble, J.; Pack, D.; Ruble, Z. Connectivity Tracking Methods for a Network of Unmanned Aerial Vehicles. In Proceedings of the IEEE 9th Annual Computing and Communication Workshop and Conference (CCWC), Las Vegas, NV, USA, 7–9 January 2019; pp. 0440–0447. [Google Scholar]
  10. Ma, Z.; Qi, J.; Wang, M.; Wu, C.; Guo, J.; Yuan, S. Time-Varying Formation Tracking Control for Multi-UAV Systems with Directed Graph and Communication Delays. In Proceedings of the 40th Chinese Control Conference (CCC), Shanghai, China, 26–28 July 2021; pp. 5436–5441. [Google Scholar]
  11. Li, Z.; Huang, T.; Tang, Y.; Zhang, W. Formation Control of Multiagent Systems With Communication Noise: A Convex Analysis Approach. IEEE Trans. Cybern. 2021, 51, 2253–2264. [Google Scholar] [CrossRef] [PubMed]
  12. Fei, B.; Bao, W.; Zhu, X.; Liu, D.; Men, T.; Xiao, Z. Autonomous Cooperative Search Model for Multi-UAV With Limited Communication Network. IEEE Internet Things J. 2022, 9, 19346–19361. [Google Scholar] [CrossRef]
  13. Baldi, S.; Sun, D.; Zhou, G.; Liu, D. Adaptation to Unknown Leader Velocity in Vector-Field UAV Formation. IEEE Trans. Aerosp. Electron. Syst. 2022, 58, 473–484. [Google Scholar] [CrossRef]
  14. Roldao, V.; Cunha, R.; Cabecinhas, D.; Silvestre, C.; Oliveira, P. A leader-following trajectory generator with application to quadrotor formation flight. Robot. Auton. Syst. 2014, 62, 1597–1609. [Google Scholar] [CrossRef]
  15. Davidi, A.; Berman, N.; Arogeti, S. Formation flight using multiple Integral Backstepping controllers. In Proceedings of the IEEE 5th International Conference on Cybernetics and Intelligent Systems (CIS), Qingdao, China, 17–19 September 2011; pp. 317–322. [Google Scholar]
  16. Song, M.; Wei, R.X.; Hu, M.L. Unmanned aerial vehicle formation contorl for reconnaissance task based on virtual leader. Syst. Eng. Electron. 2010, 32, 2412–2415. [Google Scholar]
  17. Li, C.X.; Liu, Z.; Yin, H. Cooperative motions control method guided by virtual formations for multi-UAVs. Syst. Eng. Electron. 2012, 34, 1220–1224. [Google Scholar]
  18. Khatib, O. Real-time obstacle avoidance for manipulators and mobile robots. In Proceedings of the 1985 IEEE International Conference on Robotics and Automation, St. Louis, MO, USA, 25–28 March 1985. [Google Scholar]
  19. Parivallal, A.; Sakthivel, R.; Amsaveni, R.; Alzahrani, F.; Saleh Alshomrani, A. Observer-based memory consensus for nonlinear multi-agent systems with output quantization and Markov switching topologies. Phys. Stat. Mech. Appl. 2020, 551, 123949. [Google Scholar] [CrossRef]
  20. Parivallal, A.; Sakthivel, R.; Wang, C. Guaranteed cost leaderless consensus for uncertain Markov jumping multi-agent systems. J. Exp. Theor. Artif. Intell. 2023, 35, 257–273. [Google Scholar] [CrossRef]
  21. Wu, Y.; Liang, T.J. Improved consensus-based algorithm for unmanned aerial vehicle formation control. Acta Aeronaut. Astronaut. Sin. 2020, 41, 172–190. [Google Scholar]
  22. Wu, Y.; Guo, J.Z.; Hu, X.T.; Huang, Y.T. A new consensus theory-based method for formation control and obstacle avoidance of UAVs. Aerosp. Sci. Technol. 2020, 107, 106332. [Google Scholar] [CrossRef]
  23. Zou, Y.; Zhang, H.; He, W. Adaptive Coordinated Formation Control of Heterogeneous Vertical Takeoff and Landing UAVs Subject to Parametric Uncertainties. IEEE Trans. Cybern. 2022, 52, 3184–3195. [Google Scholar] [CrossRef] [PubMed]
  24. Tran, V.P.; Santoso, F.; Garratt, M.A.; Petersen, I.R. Distributed Formation Control Using Fuzzy Self-Tuning of Strictly Negative Imaginary Consensus Controllers in Aerial Robotics. IEEE/ASME Trans. Mechatron. 2021, 26, 2306–2315. [Google Scholar] [CrossRef]
  25. Wang, Y.; Cheng, Z.; Xiao, M. UAVs’ Formation Keeping Control Based on Multi-Agent System Consensus. IEEE Access 2020, 8, 49000–49012. [Google Scholar] [CrossRef]
  26. Qin, T.; Yu, H.; Lv, Y.; Guo, Y. Artificial Potential Field Based Distributed Cooperative Collision Avoidance for UAV Formation. In Proceedings of the 3rd International Conference on Unmanned Systems (ICUS), Harbin, China, 27–28 November 2020; pp. 897–902. [Google Scholar]
  27. Zeng, Y.; Wu, Q.; Zhang, R. Accessing from the sky: A tutorial on UAV communications for 5G and beyond. Proc. IEEE 2019, 107, 2327–2375. [Google Scholar] [CrossRef]
Figure 1. System model.
Figure 1. System model.
Drones 07 00229 g001
Figure 2. Multi-UAV network.
Figure 2. Multi-UAV network.
Drones 07 00229 g002
Figure 3. Communication topology.
Figure 3. Communication topology.
Drones 07 00229 g003
Figure 4. Area classification around UAV.
Figure 4. Area classification around UAV.
Drones 07 00229 g004
Figure 5. Influence of interference source for UAV communication range.
Figure 5. Influence of interference source for UAV communication range.
Drones 07 00229 g005
Figure 6. Influence of obstacle for UAV topology.
Figure 6. Influence of obstacle for UAV topology.
Drones 07 00229 g006
Figure 7. Algorithm block diagram of topology reconfiguration.
Figure 7. Algorithm block diagram of topology reconfiguration.
Drones 07 00229 g007
Figure 8. Multi-UAV flight under interference.
Figure 8. Multi-UAV flight under interference.
Drones 07 00229 g008
Figure 9. Communication distance of UAVs under interference.
Figure 9. Communication distance of UAVs under interference.
Drones 07 00229 g009
Figure 10. Distance between UAVs under interference.
Figure 10. Distance between UAVs under interference.
Drones 07 00229 g010
Figure 11. Multi-UAV flight in complex environment.
Figure 11. Multi-UAV flight in complex environment.
Drones 07 00229 g011
Figure 12. Distance between UAVs in complex environment.
Figure 12. Distance between UAVs in complex environment.
Drones 07 00229 g012
Figure 13. Communication distance of UAVs in complex environment.
Figure 13. Communication distance of UAVs in complex environment.
Drones 07 00229 g013
Table 1. Simulation Parameters.
Table 1. Simulation Parameters.
ParameterValue
Number of UAVs M = 5
Transmitting power of UAVs P u a v = 36 dBm
Maximum speed of UAV v m a x = 30 m/s
Maximum acceleration of UAV a m a x = 30 m/s 2
Number of interference sources K = 3. 1
Power of interference sources P i n t = 10–36 dBm
Number of obstacles O = 10
Obstacle size r o = 30–50 m
Position attractive force coefficient k a t t = 0.1
Position repulsive force coefficient k r e p = 1500
Speed repulsive force coefficient k r e p v = 100
Radius of influence of obstacles l o = 100 m
Safe radius of the UAV l min = 10 m
Disclaimer/Publisher’s Note: The statements, opinions and data contained in all publications are solely those of the individual author(s) and contributor(s) and not of MDPI and/or the editor(s). MDPI and/or the editor(s) disclaim responsibility for any injury to people or property resulting from any ideas, methods, instructions or products referred to in the content.

Share and Cite

MDPI and ACS Style

Zhu, L.; Ma, C.; Li, J.; Lu, Y.; Yang, Q. Connectivity-Maintenance UAV Formation Control in Complex Environment. Drones 2023, 7, 229. https://doi.org/10.3390/drones7040229

AMA Style

Zhu L, Ma C, Li J, Lu Y, Yang Q. Connectivity-Maintenance UAV Formation Control in Complex Environment. Drones. 2023; 7(4):229. https://doi.org/10.3390/drones7040229

Chicago/Turabian Style

Zhu, Liangbin, Cheng Ma, Jinglei Li, Yue Lu, and Qinghai Yang. 2023. "Connectivity-Maintenance UAV Formation Control in Complex Environment" Drones 7, no. 4: 229. https://doi.org/10.3390/drones7040229

APA Style

Zhu, L., Ma, C., Li, J., Lu, Y., & Yang, Q. (2023). Connectivity-Maintenance UAV Formation Control in Complex Environment. Drones, 7(4), 229. https://doi.org/10.3390/drones7040229

Article Metrics

Back to TopTop