Autonomous Landing of an UAV Using H∞ Based Model Predictive Control
Abstract
1. Introduction
2. Mathematical Models of the System
2.1. Landing Trajectory Model
2.2. UAV Model
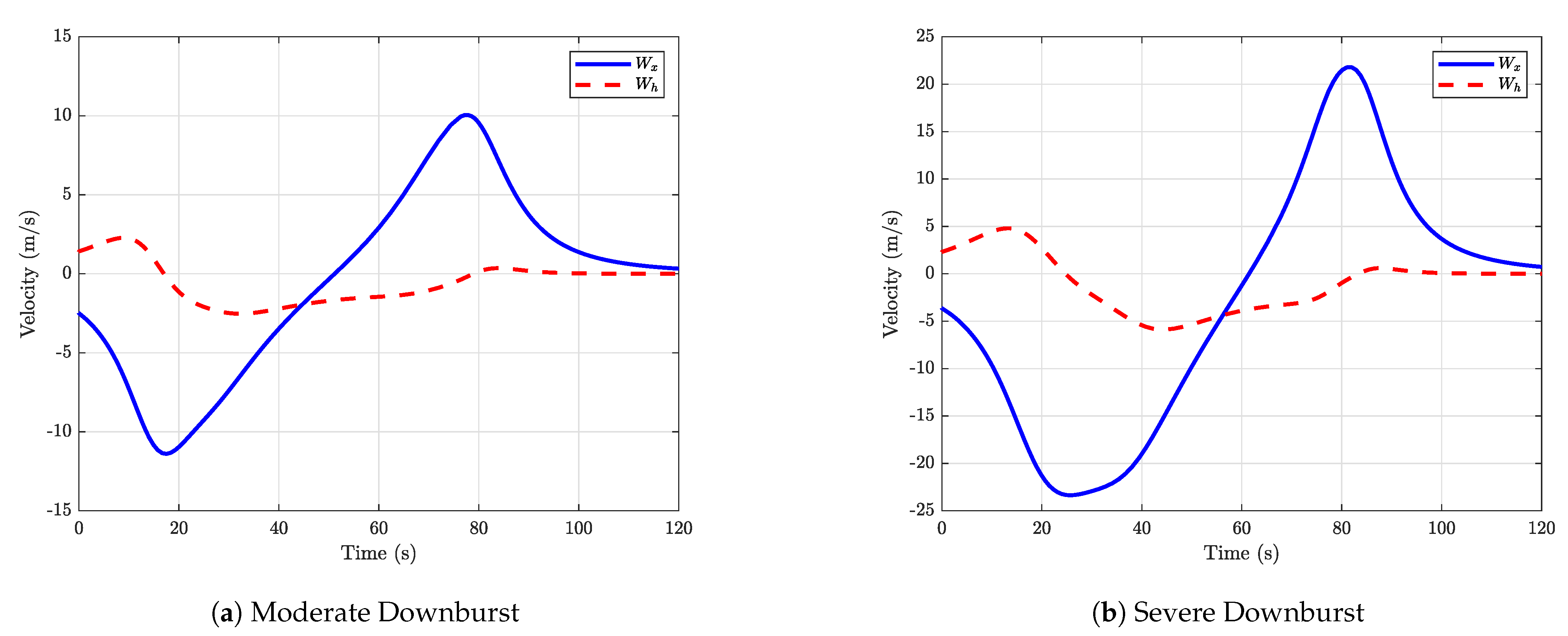
2.3. Wind Shear Model
3. Based MPC Framework
- Design the input and output weights ( and ) for the model to meet the desired closed-loop specifications. It is the basic step of the loop shape design procedure as explained in [27].
- Synthesize the compensator. It has an observer-based state feedback structure. As a result, we have controller matrix K and observer matrix H, which are used to calculate the state matrix to initialize the prediction model at each time step.
- By using the controller matrix K, from Step 2, formulate and solve an inverse optimization problem to design cost function matrices , and R.
- Solve the MPC problem at each time step using the cost function matrices designed in step 3.
3.1. Loop Shaping Design using Observer Structure
3.2. Design of Controller
3.3. Inverse Optimal Problem
Solution of Inverse Optimal Problem
4. MPC Realization
- A prediction model of the UAV,where is the state of the plant, is the control input of the system and is the output of the system at time , where T is the sample time.
- An objective function,The matrices and are designed to meet the desired performance requirements, and N is the prediction horizon.
- The inequality constraints,here, are the constraint inputs, outputs and/or states and and are maximum and minimum limits on constraints.
- An optimization algorithm to minimize the objective function.
5. Results and Discussion
5.1. Case 1
5.2. Case 2
6. Conclusions
Author Contributions
Funding
Data Availability Statement
Conflicts of Interest
Appendix A. State Space Matrices of Test Vehicle
Appendix B. State Space, Controller and Observer Matrices of Shaped Plant
References
- Rao, D.V.; Go, T.H. Automatic landing system design using sliding mode control. Aerosp. Sci. Technol. 2014, 32, 180–187. [Google Scholar]
- Adibi, S.A.; Forer, S.; Fries, J.; Yliniemi, L. Autonomous Unmanned Aerial Vehicle (UAV) landing in windy conditions with MAP-Elites. Knowl. Eng. Rev. 2017, 32. [Google Scholar] [CrossRef]
- Zhen, Z.; Jiang, S.; Ma, K. Automatic carrier landing control for Unmanned Aerial Vehicles based on preview control and particle filtering. Aerosp. Sci. Technol. 2018, 81, 99–107. [Google Scholar] [CrossRef]
- Stevens, B.L.; Lewis, F.L.; Johnson, E.N. Aircraft Control and Simulation: Dynamics, Controls Design, and Autonomous Systems; John Wiley & Sons: Hoboken, NJ, USA, 2015. [Google Scholar]
- Sedlmair, N.; Theis, J.; Thielecke, F. Flight Testing Automatic Landing Control for Unmanned Aircraft Including Curved Approaches. J. Guid. Control. Dyn. 2022, 45, 726–739. [Google Scholar] [CrossRef]
- Wang, L.; Jiang, X.; Zhang, Z.; Wen, Z. Lateral automatic landing guidance law based on risk-state model predictive control. ISA Trans. 2022, 128, 611–623. [Google Scholar] [CrossRef]
- Yang, L.; Wang, C.; Wang, L. Autonomous UAVs landing site selection from point cloud in unknown environments. ISA Trans. 2022, 130, 610–628. [Google Scholar] [CrossRef]
- Yuan, Y.; Duan, H.; Zeng, Z. Automatic Carrier Landing Control with External Disturbance and Input Constraint. IEEE Trans. Aerosp. Electron. Syst. 2022. [Google Scholar] [CrossRef]
- Mathisen, S.; Gryte, K.; Gros, S.; Johansen, T.A. Precision deep-stall landing of fixed-wing UAVs using nonlinear model predictive control. J. Intell. Robot. Syst. 2021, 101, 1–15. [Google Scholar] [CrossRef]
- Qu, W.; Zhang, H.; Dong, Y. Optimization of UAV’s Landing Longitudinal Control under Wind Disturbance. IOP Conf. Ser. Earth Environ. Sci. 2021, 693, 012106. [Google Scholar] [CrossRef]
- Lungu, R.; Lungu, M. Application of H2/H-infinity and dynamic inversion techniques to aircraft landing control. Aerosp. Sci. Technol. 2015, 46, 146–158. [Google Scholar] [CrossRef]
- Lungu, R.; Lungu, M.; Grigorie, L.T. Automatic control of aircraft in longitudinal plane during landing. IEEE Trans. Aerosp. Electron. Syst. 2013, 49, 1338–1350. [Google Scholar] [CrossRef]
- Zhang, D.; Wang, X. Autonomous landing control of fixed-wing UAVs: From theory to field experiment. J. Intell. Robot. Syst. 2017, 88, 619–634. [Google Scholar] [CrossRef]
- Kurnaz, S.; Çetin, O. Autonomous navigation and landing tasks for fixed wing small unmanned aerial vehicles. Acta Polytech. Hung. 2010, 7, 87–102. [Google Scholar]
- Juang, J.G.; Yu, S.T. Disturbance encountered landing system design based on sliding mode control with evolutionary computation and cerebellar model articulation controller. Appl. Math. Model. 2015, 39, 5862–5881. [Google Scholar] [CrossRef]
- Juang, J.G.; Cheng, C.J.; Yang, T.C. Wind shear encountered landing control based on CMACs. Appl. Mech. Mater. 2013, 284, 2351–2355. [Google Scholar] [CrossRef]
- Di Cairano, S.; Bemporad, A. Model predictive control tuning by controller matching. IEEE Trans. Autom. Control 2009, 55, 185–190. [Google Scholar] [CrossRef]
- Mayne, D.Q.; Rawlings, J.B.; Rao, C.V.; Scokaert, P.O. Constrained model predictive control: Stability and optimality. Automatica 2000, 36, 789–814. [Google Scholar] [CrossRef]
- Qin, S.J.; Badgwell, T.A. A survey of industrial model predictive control technology. Control. Eng. Pract. 2003, 11, 733–764. [Google Scholar] [CrossRef]
- Hartley, E.N.; Maciejowski, J.M. Designing output-feedback predictive controllers by reverse-engineering existing LTI controllers. IEEE Trans. Autom. Control 2013, 58, 2934–2939. [Google Scholar] [CrossRef]
- Tran, Q.N.; Özkan, L.; Backx, A. Generalized predictive control tuning by controller matching. J. Process. Control 2015, 25, 1–18. [Google Scholar] [CrossRef]
- Glover, K.; McFarlane, D. Robust stabilization of normalized coprime factor plant descriptions with H-infinity bounded uncertainty. IEEE Trans. Autom. Control 1989, 34, 821–830. [Google Scholar] [CrossRef]
- Tamkaya, K.; Ucun, L.; Ustoglu, I. H-infinity based model following method in autolanding systems. Aerosp. Sci. Technol. 2019, 94, 105379. [Google Scholar] [CrossRef]
- Stevens, B.L.; Lewis, F.L. Aircraft Control and Simulation; John Wiley and Sons, Inc.: Hoboken, NY, USA, 1992. [Google Scholar]
- Woodfield, A.A.; Woods, J.F. Worldwide Experience of Wind Shear during 1981–1982; Technical report; Royal Aircraft EstablIshment Bedford: Bedford, UK, 1983. [Google Scholar]
- Bortoff, S.A.; Schwerdtner, P.; Danielson, C.; Di Cairano, S.; Burns, D.J. H-Infinity loop-shaped model predictive control with HVAC application. IEEE Trans. Control. Syst. Technol. 2022, 30, 2188–2203. [Google Scholar] [CrossRef]
- Skogestad, S.; Postlethwaite, I. Multivariable Feedback Control: Analysis and Design; Wiley: New York, NY, USA, 2007; Volume 2. [Google Scholar]
- McFarlane, D.; Glover, K. A loop-shaping design procedure using H-infinity synthesis. IEEE Trans. Autom. Control 1992, 37, 759–769. [Google Scholar] [CrossRef]
- Latif, Z.; Shahzad, A.; Samar, R.; Bhatti, A.I. Lateral Parameter-Varying Modelling and Control of a UAV on-Ground. In Proceedings of the 4th IFAC Workshop on Linear Parameter Varying Systems LPVS 2021, Milan, Italy, 19–20 July 2021; pp. 130–135. [Google Scholar]
- Hyde, R.A.; Glover, K. The application of scheduled H-infinity controllers to a VSTOL aircraft. IEEE Trans. Autom. Control 1993, 38, 1021–1039. [Google Scholar] [CrossRef]
- Priess, M.C.; Conway, R.; Choi, J.; Popovich, J.M.; Radcliffe, C. Solutions to the inverse LQR problem with application to biological systems analysis. IEEE Trans. Control. Syst. Technol 2014, 23, 770–777. [Google Scholar] [CrossRef]
- Jos, F. Sturm SeDuMi Home Page. Available online: https://sedumi.ie.lehigh.edu/ (accessed on 1 November 2022).
- Johan Löfberg YALMIP Home Page. Available online: http://yalmip.github.io/ (accessed on 1 November 2022).
- Jerez, J.L.; Kerrigan, E.C.; Constantinides, G.A. A condensed and sparse QP formulation for predictive control. In Proceedings of the 2011 50th IEEE Conference on Decision and Control and European Control Conference, Orlando, FL, USA, 12–15 December 2011; pp. 5217–5222. [Google Scholar]









| Parameter | Value | Description |
|---|---|---|
| m | 350 kg | Mass |
| 300 kg·m | Moment of inertia about y-axis | |
| S | m | Wing area |
| m | Mean aerodynamic chord |
| Parameter | Value | Parameter | Value |
|---|---|---|---|
| Parameter | Moderate | Severe | Unit |
|---|---|---|---|
| 18,580 | 37,160 | m/s | |
| 1676 | 1524 | m | |
| 610 | 610 | m | |
| 152 | 152 | m | |
| 11,148 | 26,013 | m/s | |
| 1220 | 1067 | m | |
| 762 | 610 | m | |
| 152 | 91 | m |
| Parameter | Reference Vehicle [23] | Test Vehicle | Unit |
|---|---|---|---|
| Mass | 73,482 | 350 | kg |
| Wing reference area | m | ||
| Wind velocity | 23 | 23 | m/s |
| Wind load | 63,988 | N | |
| (wind) | m/s | ||
| (controller) | m/s |
Publisher’s Note: MDPI stays neutral with regard to jurisdictional claims in published maps and institutional affiliations. |
© 2022 by the authors. Licensee MDPI, Basel, Switzerland. This article is an open access article distributed under the terms and conditions of the Creative Commons Attribution (CC BY) license (https://creativecommons.org/licenses/by/4.0/).
Share and Cite
Latif, Z.; Shahzad, A.; Bhatti, A.I.; Whidborne, J.F.; Samar, R. Autonomous Landing of an UAV Using H∞ Based Model Predictive Control. Drones 2022, 6, 416. https://doi.org/10.3390/drones6120416
Latif Z, Shahzad A, Bhatti AI, Whidborne JF, Samar R. Autonomous Landing of an UAV Using H∞ Based Model Predictive Control. Drones. 2022; 6(12):416. https://doi.org/10.3390/drones6120416
Chicago/Turabian StyleLatif, Zohaib, Amir Shahzad, Aamer Iqbal Bhatti, James Ferris Whidborne, and Raza Samar. 2022. "Autonomous Landing of an UAV Using H∞ Based Model Predictive Control" Drones 6, no. 12: 416. https://doi.org/10.3390/drones6120416
APA StyleLatif, Z., Shahzad, A., Bhatti, A. I., Whidborne, J. F., & Samar, R. (2022). Autonomous Landing of an UAV Using H∞ Based Model Predictive Control. Drones, 6(12), 416. https://doi.org/10.3390/drones6120416

