Coffee Silverskin as a Potential Bio-Based Antioxidant for Polymer Materials: Brief Review †
Abstract
:1. Introduction
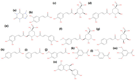
2. Coffee Silverskin
3. Applications of Coffee Silverskin in Polymer Technology
4. Conclusions
- in-depth investigation of the mechanisms of action of particular antioxidants present in the coffee silverskin in terms of the potential enhancement of the oxidative stability of different polymeric materials,
- comprehensive analysis of the antimicrobial activity of coffee silverskin and its impact on the stability of polymeric materials,
- possibility for the engineering of materials with the desired rate of decomposition under different conditions.
Author Contributions
Conflicts of Interest
References
- Statista.com. Coffee Consumption Worldwide from 2012/13 to 2018/19 (in Million 60 kg Bags). Available online: https://www.statista.com/statistics/292595/global-coffee-consumption/ (accessed on 10 July 2020).
- Adams, M.R.; Dougan, J. Waste Products. In Coffee; Clarke, R.J., Macrae, R., Eds.; Springer: Dordrecht, The Netherlands, 1987; pp. 257–291. [Google Scholar] [CrossRef]
- Esquivel, P.; Jiménez, V.M. Functional properties of coffee and coffee by-products. Food Res. Int. 2012, 46, 488–495. [Google Scholar] [CrossRef]
- Taveira, J.H.D.S.; Sttela, D.V.F.D.R.; Pedro, D.O.; Gerson, S.G.; Eder, P.I. Post-harvest effects on beverage quality and physiological performance of coffee beans. Afr. J. Agric. Res. 2015, 10, 1457–1466. [Google Scholar] [CrossRef]
- Agate, A.D.; Bhat, J.V. Role of pectinolytic yeasts in the degradation of mucilage layer of Coffea robusta cherries. Appl. Environ. Microb. 1966, 14, 256–260. [Google Scholar] [CrossRef] [PubMed]
- Farah, A.; Monteiro, M.C.; Calado, V.; Franca, A.S.; Trugo, L.C. Correlation between cup quality and chemical attributes of Brazilian coffee. Food Chem. 2006, 98, 373–380. [Google Scholar] [CrossRef]
- Arya, M.; Rao, L.J. An impression of coffee carbohydrates. Crit. Rev. Food Sci. 2007, 47, 51–67. [Google Scholar] [CrossRef]
- Cämmerer, B.; Kroh, L.W. Antioxidant activity of coffee brews. Eur. Food Res. Technol. 2006, 223, 469–474. [Google Scholar] [CrossRef]
- Barbosa-Pereira, L.; Guglielmetti, A.; Zeppa, G. Pulsed Electric Field Assisted Extraction of Bioactive Compounds from Cocoa Bean Shell and Coffee Silverskin. Food Bioprocess Technol. 2018, 11, 818–835. [Google Scholar] [CrossRef]
- Conde, T.; Mussatto, S.I. Isolation of polyphenols from spent coffee grounds and silverskin by mild hydrothermal pretreatment. Prep. Biochem. Biotechnol. 2015, 46, 406–409. [Google Scholar] [CrossRef]
- Jiménez-Zamora, A.; Pastoriza, S.; Rufián-Henares, J.A. Revalorization of coffee by-products. Prebiotic, antimicrobial and antioxidant properties. LWT Food Sci. Technol. 2015, 61, 12–18. [Google Scholar] [CrossRef]
- Bresciani, L.; Calani, L.; Bruni, R.; Brighenti, F.; Del Rio, D. Phenolic composition, caffeine content and antioxidant capacity of coffee silverskin. Food Res. Int. 2014, 61, 196–201. [Google Scholar] [CrossRef]
- Ismail, S.A.A.; El-Anany, A.M.; Ali, R.F.M. Regeneration of Used Frying Palm Oil with Coffee Silverskin (CS), CS Ash (CSA) and Nanoparticles of CS (NCS). J. Oleo Sci. 2017, 66, 897–905. [Google Scholar] [CrossRef] [PubMed]
- Narita, Y.; Inouye, K. Review on utilization and composition of coffee silverskin. Food Res. Int. 2014, 61, 16–22. [Google Scholar] [CrossRef]
- Bessada, S.M.F.; Alves, R.C.; Oliveira, M.B.P.P. Coffee Silverskin: A Review on Potential Cosmetic Applications. Cosmetics 2018, 5, 5. [Google Scholar] [CrossRef]
- Heeger, A.; Kosińska-Cagnazzo, A.; Cantergiani, E.; Andlauer, W. Bioactives of coffee cherry pulp and its utilisation for production of Cascara beverage. Food Chem. 2017, 221, 969–975. [Google Scholar] [CrossRef]
- Zarrinbakhsh, N.; Wang, T.; Rodriguez-Uribe, A.; Misra, M.; Mohanty, A.K. Characterization of wastes and coproducts from the coffee industry for composite material production. BioResources 2016, 11, 7637–7653. [Google Scholar] [CrossRef]
- Ballesteros, L.F.; Teixeira, J.A.; Mussatto, S.I. Chemical, Functional, and Structural Properties of Spent Coffee Grounds and Coffee Silverskin. Food Bioprocess Technol. 2014, 7, 3493–3503. [Google Scholar] [CrossRef]
- Janissen, B.; Huynh, T. Chemical composition and value-adding applications of coffee industry by-products: A review. Resour. Conserv. Recy. 2018, 128, 110–117. [Google Scholar] [CrossRef]
- Behrouzian, F.; Amini, A.M.; Alghooneh, A.; Razavi, S.M.A. Characterization of dietary fiber from coffee silverskin: An optimization study using response surface methodology. Bioact. Carbohyd. Diet. Fibre 2016, 8, 58–64. [Google Scholar] [CrossRef]
- Costa, A.S.G.; Alves, R.C.; Vinha, A.F.; Costa, E.; Costa, C.S.G.; Nunes, M.A.; Almeida, A.A.; Santos-Silva, A.; Oliveira, M.B.P.P. Nutritional, chemical and antioxidant/pro-oxidant profiles of silverskin, a coffee roasting by-product. Food Chem. 2018, 267, 28–35. [Google Scholar] [CrossRef]
- Toschi, T.G.; Cardenia, V.; Bonaga, G.; Mandrioli, M.; Rodriguez-Estrada, M.T. Coffee Silverskin: Characterization, Possible Uses, and Safety Aspects. J. Agric. Food Chem. 2014, 62, 10836–10844. [Google Scholar] [CrossRef]
- Pourfarzad, A.; Mahdavian-Mehr, H.; Sedaghat, N. Coffee silverskin as a source of dietary fiber in bread-making: Optimization of chemical treatment using response surface methodology. LWT Food Sci. Technol. 2013, 50, 599–606. [Google Scholar] [CrossRef]
- Napolitano, A.; Fogliano, V.; Tafuri, A.; Ritieni, A. Natural occurrence of ochratoxin A and antioxidant activities of green and roasted coffees and corresponding byproducts. J. Agric. Food Chem. 2007, 55, 10499–10504. [Google Scholar] [CrossRef] [PubMed]
- Niglio, S.; Procentese, A.; Russo, M.; Sannia, G.; Marzocchella, A. Investigation of Enzymatic Hydrolysis of Coffee Silverskin Aimed at the Production of Butanol and Succinic Acid by Fermentative Processes. BioEnergy Res. 2019, 12, 312–324. [Google Scholar] [CrossRef]
- Ateş, G.; Elmacı, Y. Physical, chemical and sensory characteristics of fiber-enriched cakes prepared with coffee silverskin as wheat flour substitution. J. Food Meas. Charact. 2019, 13, 755–763. [Google Scholar] [CrossRef]
- Hijosa-Valsero, M.; Garita-Cambronero, J.; Paniagua-García, A.I.; Diez-Antolinez, R. Biobutanol production from coffee silverskin. Microb. Cell Fact. 2019, 17, 154. [Google Scholar] [CrossRef] [PubMed]
- Niglio, S.; Procentese, A.; Russo, M.; Sannia, G.; Marzocchella, A. Ultrasound-assisted Dilute Acid Pretreatment of Coffee Silverskin for Biorefinery Applications. Chem. Eng. Trans. 2017, 57, 109–114. [Google Scholar] [CrossRef]
- Sánchez, D.A.; Anzola, C. Caracterización química de la película plateada del café (Coffea arábica) en variedades colombia y caturra. Rev. Colomb. Quím. 2012, 41, 211–226. [Google Scholar]
- Borrelli, R.C.; Esposito, F.; Napolitano, A.; Ritieni, A.; Fogliano, V. Characterization of a New Potential Functional Ingredient: Coffee Silverskin. J. Agric. Food Chem. 2004, 52, 1338–1343. [Google Scholar] [CrossRef]
- Sarasini, F.; Tirillò, J.; Zuorro, A.; Maffei, G.; Lavecchia, R.; Puglia, D.; Dominici, F.; Luzi, F.; Valente, T.; Torre, L. Recycling coffee silverskin in sustainable composites based on a poly(butylene adipate-co-terephthalate)/poly(3-hydroxybutyrate-co-3-hydroxyvalerate) matrix. Ind. Crop. Prod. 2018, 118, 311–320. [Google Scholar] [CrossRef]
- Sarasini, F.; Luzi, F.; Dominici, F.; Maffei, G.; Iannone, A.; Zuorro, A.; Lavecchia, R.; Torre, L.; Carbonell-Verdu, A.; Balart, R.; et al. Effect of Different Compatibilizers on Sustainable Composites Based on a PHBV/PBAT Matrix Filled with Coffee Silverskin. Polymers 2018, 10, 1256. [Google Scholar] [CrossRef]
- Totaro, G.; Sisti, L.; Fiorini, M.; Lancellotti, I.; Andreola, F.N.; Saccani, A. Formulation of Green Particulate Composites from PLA and PBS Matrix and Wastes Deriving from the Coffee Production. J. Polym. Environ. 2019, 27, 1488–1496. [Google Scholar] [CrossRef]
- Ochoa, D.; Rojas-Vargas, J.; Costa, Y. Characterization of NaOH-Treated Colombian Silverskin Coffee Fiber as a Composite Reinforcement. BioResources 2017, 12, 8803–8812. [Google Scholar]
- Dominici, F.; García García, D.; Fombuena, V.; Luzi, F.; Puglia, D.; Torre, L.; Balart, R. Bio-Polyethylene-Based Composites Reinforced with Alkali and Palmitoyl Chloride-Treated Coffee Silverskin. Molecules 2019, 24, 3113. [Google Scholar] [CrossRef] [PubMed]

| Compound | Content, % Dry Matter | |||||||||||||||||||
|---|---|---|---|---|---|---|---|---|---|---|---|---|---|---|---|---|---|---|---|---|
| Fibre | 71.9 | - | 62.4 | 71.7 | 56.4 | 74.2 | 62.4 | 53.4 | 69.2 | 65.9 | 56.4 | 67.7 | - | 66.9 | 61.6 | - | - | 69.9 | 70.2 | 62.4 |
| Insoluble | - | - | 53.7 | 64.2 | 49.1 | 66.5 | - | 48.5 | 64.2 | 60.7 | 50.7 | 58.4 | - | - | 54.2 | - | - | 66.6 | 66.9 | 53.7 |
| Soluble | - | - | 8.8 | 7.6 | 7.3 | 10.9 | - | 4.9 | 5.0 | 5.2 | 6.3 | 9.3 | - | - | 7.4 | - | - | 3.3 | 3.3 | 8.8 |
| Protein | 15.5 | 18.7 | 16.2 | 19.0 | 18.8 | - | 18.6 | 18.6 | 19.0 | 18.5 | 19.0 | 17.9 | 12.6 | 15.4 | 17.3 | 14.4 | - | 11.9 | 11.8 | 18.6 |
| Fat | 5.8 | 3.8 | 2.2 | - | 2.4 | 3.5 | 2.2 | 2.5 | 2.9 | 3.2 | 3.2 | 2.6 | - | 4.6 | 2.1 | 4.9 | - | 2.1 | 2.8 | 2.2 |
| Lignin | 17.8 | 28.6 | 30.2 | - | - | - | - | - | - | - | - | - | 30.5 | - | - | 29.9 | 31.0 | - | - | - |
| Ash | 6.9 | 5.4 | 4.7 | 5.7 | 8.3 | - | 7.0 | - | - | - | - | - | 4.5 | 7.6 | 5.4 | 5.8 | - | 5.6 | 5.8 | 7.0 |
| Cellulose | 23.6 | 23.8 | 17.9 | - | - | - | - | - | - | - | - | - | 20.9 | - | - | 10.3 | 23.5 | - | - | - |
| Hemicellulose | 12.1 | 16.7 | 13.1 | - | - | - | - | - | - | - | - | - | 7.7 | - | - | 9.6 | 7.5 | - | - | - |
| Caffeine | - | - | 1.40 | - | 1.25 | 0.91 | - | 1.35 | 0.81 | 1.16 | 0.97 | 1.37 | - | 1.20 | - | - | - | - | - | - |
| Reference | [17] | [18] | [19] | [20] | [21] | [22] | [23] | [24] | [24] | [24] | [24] | [24] | [25] | [26] | [11] | [27] | [28] | [29] | [29] | [30] |
| Matrix | Filler Content, wt% | Particle Size, mm | Filler Treatment | Additives | Values Respectively to the Neat Polymer Matrix, % | Ref. | ||
|---|---|---|---|---|---|---|---|---|
| Tensile Strength | Tensile Modulus | Elongation at Break | ||||||
| PP | 25 | - | - | - | ↓ 19.0 | ↑ 33.3 | ↓ 99.3 | [17] |
| PBAT/PHBV | 10 | - | - | - | ↓ 10.7 | ↑ 49.7 | ↓ 55.6 | [31] |
| 20 | ↓ 3.3 | ↑ 128.8 | ↓ 65.6 | |||||
| 30 | ↓ 8.2 | ↑ 242.7 | ↓ 82.2 | |||||
| 10 | <0.15 | ↓ 1.6 | ↑ 41.3 | ↓ 26.7 | ||||
| 20 | ↑ 1.6 | ↑ 101.2 | ↓ 44.4 | |||||
| 30 | ↑ 2.5 | ↑ 204.1 | ↓ 65.6 | |||||
| PBAT/PHBV | 10 | - | - | - | ↑ 6.2 | ↑ 54.6 | ↓ 22.0 | [32] |
| 20 | ↑ 10.9 | ↑ 171.3 | ↓ 44.1 | |||||
| 30 | ↑ 4.7 | ↑ 233.8 | ↓ 69.5 | |||||
| 10 | Extraction of antioxidants | ↑ 14.7 | ↑ 136.6 | ↓ 39.0 | ||||
| 20 | ↑ 18.6 | ↑ 250.4 | ↓ 57.6 | |||||
| 30 | ↑ 16.3 | ↑ 343.4 | ↓ 72.9 | |||||
| 10 | Extraction of antioxidants | Maleinized linseed oil | ↑ 0.0 | ↑ 52.9 | ↓ 50.8 | |||
| 20 | ↑ 3.1 | ↑ 207.0 | ↓ 64.4 | |||||
| 30 | ↑ 1.6 | ↑ 210.3 | ↓ 62.7 | |||||
| 10 | Silanization, APTES | - | ↑ 6.2 | ↑ 43.8 | ↓ 13.6 | |||
| 20 | ↑ 14.0 | ↑ 141.0 | ↓ 35.6 | |||||
| 30 | ↑ 19.4 | ↑ 265.0 | ↓ 61.0 | |||||
| PLA | 10 | <0.5 | - | - | ↓ 20.3 | ↑ 8.9 | ↓ 47.9 | [33] |
| 20 | ↓ 22.5 | ↑ 22.0 | ↓ 46.5 | |||||
| 30 | ↓ 50.8 | ↑ 32.9 | ↓ 78.9 | |||||
| PBS | 10 | <0.5 | - | - | ↓ 19.3 | ↑ 57.3 | ↓ 55.4 | [33] |
| 20 | ↓ 5.6 | ↑ 86.4 | ↓ 50.0 | |||||
| 30 | 0.0 | ↑ 136.3 | ↓ 57.1 | |||||
Publisher’s Note: MDPI stays neutral with regard to jurisdictional claims in published maps and institutional affiliations. |
© 2021 by the author. Licensee MDPI, Basel, Switzerland. This article is an open access article distributed under the terms and conditions of the Creative Commons Attribution (CC BY) license (https://creativecommons.org/licenses/by/4.0/).
Share and Cite
Hejna, A. Coffee Silverskin as a Potential Bio-Based Antioxidant for Polymer Materials: Brief Review. Proceedings 2021, 69, 20. https://doi.org/10.3390/CGPM2020-07220
Hejna A. Coffee Silverskin as a Potential Bio-Based Antioxidant for Polymer Materials: Brief Review. Proceedings. 2021; 69(1):20. https://doi.org/10.3390/CGPM2020-07220
Chicago/Turabian StyleHejna, Aleksander. 2021. "Coffee Silverskin as a Potential Bio-Based Antioxidant for Polymer Materials: Brief Review" Proceedings 69, no. 1: 20. https://doi.org/10.3390/CGPM2020-07220
APA StyleHejna, A. (2021). Coffee Silverskin as a Potential Bio-Based Antioxidant for Polymer Materials: Brief Review. Proceedings, 69(1), 20. https://doi.org/10.3390/CGPM2020-07220
