Next Article in Journal
Fixed-Point Results in Fuzzy S-Metric Space with Applications to Fractals and Satellite Web Coupling Problem
Next Article in Special Issue
Fractal Analysis of Organic Matter Nanopore Structure in Tectonically Deformed Shales
Previous Article in Journal
Time-Varying Market Efficiency: A Focus on Crude Oil and Commodity Dynamics
Previous Article in Special Issue
Fractal Analysis of Volcanic Rock Image Based on Difference Box-Counting Dimension and Gray-Level Co-Occurrence Matrix: A Case Study in the Liaohe Basin, China
 
 
Font Type:
Arial Georgia Verdana
Font Size:
Aa Aa Aa
Line Spacing:
Column Width:
Background:
Article

Analysis of Multifractal Characteristics and Detrended Cross-Correlation of Conventional Logging Data Regarding Igneous Rocks

1
School of Mathematics and Statistics, Beihua University, Jilin 132000, China
2
College of Geo-Exploration Science and Technology, Jilin University, Changchun 130026, China
3
School of Mining Engineering and Geology, Xinjiang Institute of Engineering, Urumqi 830023, China
*
Author to whom correspondence should be addressed.
Fractal Fract. 2025, 9(3), 163; https://doi.org/10.3390/fractalfract9030163
Submission received: 1 February 2025 / Revised: 27 February 2025 / Accepted: 5 March 2025 / Published: 7 March 2025

Abstract

In the current context of the global energy landscape, China is facing a growing challenge in oil and gas exploration and development. It is difficult to evaluate the log data because of the lithological composition of igneous rocks, which displays an unparalleled degree of complexity and unpredictability. Against this backdrop, this study deploys advanced multifractal detrended fluctuation analysis (MF-DFA) to comprehensively analyze key parameters within igneous rock logging data, including natural gamma-ray logging, resistivity logging, compensated neutron logging, and acoustic logging. The results unequivocally demonstrate that these logging data possess distinct multifractal characteristics. This multifractality serves as a powerful tool to elucidate the inherent complexity, heterogeneity, and structural and property variations in igneous rocks caused by diverse geological processes and environmental changes during their formation and evolution, which is crucial for understanding the subsurface reservoir behavior. Subsequently, through a series of rearrangement sequences and the replacement sequence on the original logging data, we identify that the probability density function and long-range correlation are the fundamental sources of the observed multifractality. These findings contribute to a deeper theoretical understanding of the data-generating mechanisms within igneous rock formations. Finally, multifractal detrended cross-correlation analysis (MF-DCCA) is employed to explore the cross-correlations among different types of igneous rock logging data. We uncover correlations among different igneous rocks’ logging data. These parameters exhibit different properties. There are negative long-range correlations between natural gamma-ray logging and resistivity logging, natural gamma-ray logging and compensated neutron logging in basalt, and resistivity logging and compensated neutron logging in diabase. The logging data on other igneous rocks have long-range correlations. These correlation results are of great significance as they provide solid data support for the formulation of oil and gas exploration and development plans.

1. Introduction

In the modern energy exploration field, exploring for oil and gas resources in complex geological structures has become the core focus. Igneous rock is one of the three major types of rock. Its strata are rich in oil and gas resources, which are of great significance for ensuring energy supply. Meanwhile, igneous rock is also a prospective reservoir for hydrocarbons [1]. Its mineral composition, rock structure, and other properties are crucial for oil and gas storage. When there are more soluble minerals in the mineral composition of igneous rock, dissolution pores may form under later geological processes, increasing the reservoir performance. Also, if well preserved in the later tectonic movements, the primary pores formed during magmatic activities can provide effective space for oil and gas storage [2,3,4]. However, the lithological composition of igneous rock is complex and uncertain, which brings great challenges to oil and gas exploration. Accurately grasping the characteristics of igneous rocks is the key to efficient oil and gas exploration. Among the numerous methods and data available for studying the characteristics of igneous rocks, conventional logging data play a pivotal role due to their unique advantages [5,6]. Therefore, discussing the logging data regarding igneous rocks can provide valuable references for evaluating the value of their potential hydrocarbon reservoirs and guide more targeted exploration and development in the hydrocarbon field.
Igneous rocks, formed through the cooling and solidification of magma or lava, possess unique lithological and physical characteristics [6,7]. The internal structures of different types of igneous rocks have significant differences [8,9]. This is mainly the result of the combined effects of various geological processes such as magmatic crystallization, volcanic eruption, and subsequent tectonic activities. At the same time, mineral phase transitions and element migrations also play a crucial role in the evolution of these structures. In terms of mineral phase transitions, during the complex geological history of igneous rocks, changes in temperature, pressure, and chemical environment can trigger mineral phase transitions. These transitions not only change the physical properties of the minerals themselves but also directly affect the overall internal structure of the igneous rocks. As for element migrations, when elements move within igneous rocks, they can change the chemical composition and distribution of minerals. This, in turn, affects the bonding between minerals and the overall stability of the rock structure. In addition, the diversity of magma composition and crystallization kinetic conditions also play a crucial role in controlling the rock structure. Different volatile contents can affect the viscosity and eruption mode of magma and further influence the rock structure; the composition of trace elements may participate in the formation of minerals during the crystallization process, changing the types and properties of minerals. Changes in the degree of supercooling and the cooling rate gradient can greatly affect the growth rate and morphology of crystals. Rapid cooling often results in a fine-grained texture, while slow cooling may lead to a coarse-grained texture. All the above factors are intertwined, making the internal structures of different types of igneous rocks highly heterogeneous. For example, the rapid cooling of magma during a volcanic eruption leads to the formation of fine-grained textures and numerous vesicles in basalt, while gabbro undergoes a slow cooling process and finally forms a coarser-grained and more evenly distributed structure. However, it cannot be simply assumed that slow cooling necessarily results in a single-textured rock with a simple mineral assemblage. Because gabbro, during the cooling process, is affected by various factors such as its magma composition and the physical and chemical conditions of the surrounding environment, the types and arrangements of minerals are also relatively complex. The differences in these formation mechanisms lead to changes in porosity, permeability, and fluid-carrying capacity, which are key factors determining the existence and productivity of hydrocarbon reservoirs [8,10].
This paper focuses on the research of the eastern sag of the Liaohe Basin. The eastern sag, which has long been recognized as the magmatic activity center of the Liaohe Basin, is a secondary tectonic unit within the Cenozoic pull-apart basin in the northern section of the Tan-Lu Fault Zone. In this area, igneous rocks are extensively developed [11]. In this paper, basalt, diabase, gabbro, tuff, and magmatic breccia, among other igneous rocks, are selected for research according to the tertiary classification principle of igneous rock lithology [12]. Basalt, as a basic extrusive rock, is of great significance in plate tectonics research. In the field of resources and environment, its porous structure can be used as water and oil reservoirs, and its weathered soil also has certain functions [13]. As a hypabyssal basic intrusive rock, diabase is a sub-volcanic rock with the typical features of diabase structure. Its mineral composition is composed of plagioclase and pyroxene, and it often exhibits a massive structure feature macroscopically. Diabase shows significant differences from extrusive rocks [14]. Gabbro is a basic plutonic intrusive rock, which can reveal the magma crystallization process in the deep earth and can be used to compare the evolution of basic magma in different environments [15]. Tuff, as a pyroclastic product of volcanic eruption, records volcanic activity information, and its chemical composition is valuable for the study of paleoenvironment and paleoclimate [16]. Magmatic breccia is a rock formed during the ascent of magma. The formation reasons mainly include the explosion of gases within the magma due to pressure release during magma ascent or the mixing of magma with surrounding volcanic debris followed by cooling and solidification [17]. Magmatic breccia’s clasts are mainly homologous volcanic fragments, and it is cemented by a volcanic ash matrix. In contrast, tectonic breccia is formed by the fracturing of surrounding rocks due to tectonic forces. It is often cemented by substances like calcite, quartz, or clay minerals precipitated from groundwater during the post-tectonic movement. These differences highlight the uniqueness and iconic features of magmatic breccia in the genetic classification system of pyroclastic rocks.
Logging data, which are rich in geological information and feature high precision, continuity, and multi-parameter characteristics, can record the physical property changes of underground rocks in detail. In the research field of igneous rocks, these characteristics enable logging data to play a crucial role in analyzing the formation processes and mineral compositions of igneous rocks [18]. For example, changes in natural gamma-ray logging (GR) data can reflect variations in the content of radioactive minerals in igneous rocks. Different types of igneous rocks have different radioactive mineral contents. Establishing a radioactive parameter database and studying the correlation between potassium content and feldspar abundance help identify the mineral composition and content of igneous rocks through logging data. This provides a basis for the classification and study of igneous rocks [19,20,21]. Resistivity logging (RT) is crucial in studying the electrical conductivity of igneous rocks. The electrical conductivity of igneous rocks is affected by their mineral composition, pore structure, and fluid contained. The dual-water model is introduced to consider the influence of free water and bound water in rock pores on resistivity. This can effectively explain the characteristics of hydrocarbon-bearing igneous rock reservoirs and judge their hydrocarbon-bearing conditions. It is of great significance for evaluating the hydrocarbon-bearing properties of igneous rock reservoirs [22,23]. Due to the differences in hydrogen content among different minerals and pore fluids in igneous rocks, compensated neutron log (CNL) data can obtain the hydrogen index in igneous rocks [24]. The mineral response matrix (olivine-pyroxene-feldspar) is established based on the known neutron-scattering cross-sections of these minerals. By measuring the compensated neutron log (CNL) data and comparing them with the values predicted by the matrix, the content and properties of different minerals in igneous rocks can be analyzed more accurately, and then the performance of igneous rock reservoirs can be evaluated. Acoustic logging (AC) data also play an important role in igneous rock exploration. They can effectively distinguish the lithology of igneous rocks based on the differences in the acoustic properties of different igneous rocks. The time-average equation method is used to estimate the effective porosity of igneous rocks. This is very crucial for evaluating the reservoir performance of igneous rock reservoirs [25,26]. By comprehensively using logging data such as GR, RT, CNL, and AC to conduct a systematic analysis of igneous rocks, various information regarding igneous rock strata can be comprehensively and accurately revealed. This provides a solid decision-making basis for geological exploration and oil/gas development in igneous rock areas and significantly improves the exploration efficiency and success rate [27].
Igneous rocks, as complex geological bodies, have physical and chemical connections among internal mineral particles. Phase changes of minerals or migration of trace elements in local areas transmit changes through lattice diffusion, fluid migration, etc., increasing the complexity and self-similarity of the measured data set, thus leading to the emergence of multifractal characteristics [28]. This makes it extremely challenging to find underlying patterns and correlations in igneous rock logging data, as traditional statistical methods have difficulty capturing the complex relationships and hidden patterns in the data [29]. In recent years, multifractal analysis has emerged as a powerful tool for studying complex systems. Multifractal theory can effectively analyze the non-uniformity of data on multiple spatial scales, providing a more comprehensive understanding of the underlying processes. For example, in the study of time-series data, multifractal analysis has been used to reveal complex volatility patterns and market inefficiencies [30,31,32,33,34,35]. In the context of geosciences, multifractal analysis has been applied to study the fractal characteristics of river networks, soil particle size distributions, and rock fracture patterns [36,37,38].
In addition to the multifractal characteristics of individual logging data, the correlations among different logging data are also of great significance. Detrended cross-correlation analysis (DCCA) and its multifractal extension, multifractal detrended cross-correlation analysis (MF-DCCA), can be used to study the cross-correlations between different time-series data [39,40]. These methods can reveal the hidden relationships between different physical properties of igneous rocks, such as the relationship between porosity and permeability or the correlation between fluid saturation and electrical conductivity. Understanding these correlations can help in more accurate reservoir characterization and the prediction of reservoir performance.
This study requires complex mathematical methods such as MF-DFA and MF-DCCA. These methods are highly technical and complex, and there are certain difficulties in their practical application and theoretical explanation. Nevertheless, they are powerful tools for revealing the multifractal characteristics and interrelationships of igneous rock data. Therefore, we aim to comprehensively analyze the multifractal characteristics of conventional logging data on igneous rocks using MF-DFA and investigate the detrended cross-correlations among different logging data using MF-DCCA. The results of this study are expected to provide new insights into the complex nature of igneous rocks and contribute to more efficient oil and gas exploration in igneous rock formations. It can effectively reveal the hidden correlation patterns between different logging parameters. Based on the analysis of igneous rock logging data and the correlation analysis among them, we can more accurately evaluate key parameters of the reservoir, such as its oil-bearing properties and permeability. This provides a more reliable data foundation for reserve calculation, helps to formulate more efficient oil and gas exploration and development plans, and greatly promotes the research of igneous petrology and the progress of oil and gas exploration and development technologies. The flowchart of the multifractal analysis in this paper is shown in Figure 1. The materials and methods are introduced in Section 2. Section 3 briefly introduces the results. The conclusions are drawn in Section 4.

2. Materials and Methods

2.1. Materials

This paper chooses to analyze the conventional GR, RT, Density logging (DEN), CNL, and AC data on basalt, diabase, gabbro, tuff, and magmatic breccia in the igneous rocks of the eastern sag of the Liaohe Basin. The tuff studied in this paper is mainly composed of volcanic ash and contains minerals such as quartz and feldspar. Magmatic breccia is composed of volcanic clasts and lava fragments and contains minerals such as olivine and pyroxene.
Given the complex lithology of igneous rocks within a well, when selecting data, it is crucial to ensure that, at a specific depth, the igneous rocks exhibit only a single lithology [41]. Additionally, the quality and accessibility of logging data can impose limitations on the research conclusions, thereby affecting the accuracy and reliability of the findings. In geological research, the local changes in igneous rock logging data have a non-negligible impact. Small-scale local stress changes cause rock fractures, and the cracks continuously extend, altering the rock structure. Local fluid surges carry minerals to diffuse, changing the composition of the surrounding rocks. These changes make the logging data exhibit more variable characteristics. The relationships between the data become more complex, and noise interference increases, greatly enhancing the complexity of the data set. At the same time, fractal structures are generated within the rock due to local changes, and the physical processes show similarities at different scales. This makes the logging data present similar patterns at different scales, increasing the self-similarity. Therefore, we need to carry out a lot of data preprocessing work. For example, in this study, we need to use ResForm software (ResForm3.0) to extract the igneous data from many types of wells, and the igneous rocks contain many rock types, which requires the use of Excel and other tools to screen the data, and then we selected basalt from 1827 to 2213 m in Well Jie 13, diabase from 3628 to 3752 m in Well Jia 26, gabbro from 1323 to 1612 m in Well Jia 28, tuff from 3578 to 3771 m in Well Yu 68, and magmatic breccia from 3456 to 3613 m in Well Hong 22 as the research objects. Subsequently, Python software (Phython3.12) is utilized to detect and process outliers, and then the data are corrected according to requirements to provide data that meet the requirements for multifractal analysis. The logging deployment map of the middle and southern sections in the eastern sag of the Liaohe Basin is shown in Figure 2.
Table 1 shows the descriptive statistical analysis of the corresponding logging data for the above-mentioned various rocks. As can be seen from Table 1, the mean and variance of gabbro’s RT data are relatively high, mainly because the RT values are influenced by various metal minerals. The metal minerals that have a greater impact on the resistivity of gabbro are mainly sulfides and oxides. For sulfides, pyrrhotite affects gabbro’s resistivity due to its conductivity and structural changes under high temperature and high-pressure conditions. Pyrite, common in gabbro, significantly changes the resistivity with its conductivity, pore distribution, and the rock-structure transformation caused by high temperature and high pressure. Chalcopyrite, often seen in magmatic-hydrothermal igneous rocks, impacts the resistivity through its conductivity and symbiotic relationships. Regarding oxides, magnetite, with good conductivity and magnetism, notably alters the rock’s electrical properties when abundant, and its interaction with other minerals under high temperature and high pressure further affects the resistivity. Ilmenite, with a relatively high content, also influences the resistivity due to its structural changes and reactions with surrounding minerals under such conditions. Thus, under the influence of metal minerals, high temperature, and high pressure, the internal structure of gabbro changes, resulting in a substantial increase in resistivity. Subsequently, we found that the variation range of the DEN data on all rocks does not exceed 1, and the variance is nearly 0, indicating that the fluctuations in the DEN data on rocks are relatively small. However, in the multifractal analysis, data fluctuation is a key factor. If the data fluctuation is small, then the data do not meet the data conditions required by the multifractal analysis. Therefore, later on, we will conduct a separate multifractal discussion on the DEN data on rocks. From the perspectives of skewness and kurtosis, the skewness of the logging data corresponding to each rock is not 0, and the kurtosis is not 3, indicating that the logging data do not follow a normal distribution. Moreover, the Jarque–Bera (J–B) statistic shows that the logging data regarding each rock rejects the null hypothesis of the Gaussian distribution at a 1% confidence level, indicating that the distribution characteristics of the logging data are relatively complex. Therefore, the assumption of a normal distribution cannot accurately describe the fluctuation characteristics of the logging data. In summary, this paper focuses on the study of igneous rocks. We selected MF-DFA for the analysis. The goal was to analyze the multifractality of the logging data on basalt, diabase, gabbro, tuff, and magmatic breccia. After that, we chose MF-DCCA. This method was used to analyze the cross-correlations among the logging data. By using these two methods, we aim to gain a deeper understanding of the characteristics and relationships within the logging data regarding different igneous rocks.

2.2. Methods

In the field of geological data processing, principal component analysis (PCA) and the random forest algorithm in machine learning are commonly used methods. PCA can reduce the dimensionality of data and extract main features, and its calculation is relatively simple, with intuitive results. However, it has obvious deficiencies in mining complex features and correlation relationships in geological data. Although the random forest algorithm has the ability to classify, predict, and process high-dimensional data, it is difficult to reveal the complex internal characteristics of the data. These limitations restrict their application in some geological research with high requirements for in-depth data analysis.
In sharp contrast, the multifractal technique has unique advantages. The multifractal technique can deeply mine the hidden complex features and correlation relationships in geological data, providing more detailed information for geological research. Especially in analyzing the multifractal properties of igneous rock logging data and the long-term correlations between different parameters, it plays an irreplaceable role. Although the multifractal technique has some drawbacks, such as a relatively complex calculation process, high requirements for computing resources and time, and the need for professional knowledge and experience for result interpretation, which is somewhat subjective, overall, its advantages in mining deep-level data and information are obvious. Compared with traditional statistical methods and the random forest algorithm, the multifractal technique can provide a more balanced perspective in complex geological data processing, opening up broader perspectives and more in-depth analysis approaches for geological research.
Although MF-DCCA is often used for time series, its application to depth sequences is still feasible. A time series is an arrangement of data in the time dimension. A depth sequence, on the other hand, is an arrangement of data in the depth dimension, such as underground depth. Both of them represent an ordered data set and may contain complex structures and variations. In multifractal analysis, the focus is on the self-similarity and irregularity of data at different scales. Whether it is time or depth, as long as the data set has such complex variation characteristics at different scales, multifractal analysis can be applied. Here, we mainly introduce MF-DCCA. This is because an MF-DFA can be deduced from an MF-DCCA. Therefore, the specific steps of MF-DCCA in this paper are as follows.
Suppose there are two depth series, namely, depth series { x ( t ) } and { y ( t ) } , where t = 1 , 2 , , N represents two depth series with a length of N .
The first step is to calculate the “profile” of each depth series:
X ( t ) = k = 1 t ( x ( k ) x ¯ ) , x ¯ = k = 1 N x ( k ) / N , t = 1 , 2 , , N ; Y ( t ) = k = 1 t ( y ( k ) y ¯ ) , y ¯ = k = 1 N y ( k ) / N , t = 1 , 2 , , N .
where x ¯ and y ¯ denote the mean values of depth series { x ( t ) } and { y ( t ) } , respectively.
The second step is to partition the sequence X ( t ) and Y ( t ) into non-overlapping sub-intervals of length s . The number of sub-intervals totals N s = int ( N / s ) . In view of the fact that the length of the sequence N is usually not an integer multiple of s , in order to avoid the loss of information and to make all the data of the sequence X ( t ) and Y ( t ) participate in the computation, the partitioning process is usually repeated from the end of the sequence, so a total of 2 N s sub-intervals are obtained.
The range of the scale s is taken as [ s min = max ( 20 , N / 100 ) , s max = min ( 20 s min , N / 10 ) ] , which yields
X v ( k ) = { X ( t ) , ( v 1 ) s + 1 t v s } , v = 1 , 2 , , 2 N s , k = 1 , 2 , , s ; Y v ( k ) = { Y ( t ) , ( v 1 ) s + 1 t v s } , v = 1 , 2 , , 2 N s , k = 1 , 2 , , s .
In the third step, the least-squares method is applied to each sub-sequence. The local trend is fitted through polynomial fitting to obtain the fitting curves X ˜ v ( k ) and Y ˜ v ( k ) . Then, the local trend on each sub-interval is eliminated with them. Then, the detrended covariance of each sub-sequence is
F v ( s ) = 1 s k = 1 s X v ( k ) X ˜ v ( k ) Y v ( k ) Y ˜ v ( k ) .
In the fourth step, the order q descending convergence covariance fluctuation function is computed:
F x y ( q , s ) = { 1 2 N s v = 1 2 N s [ F v ( s ) ] q / 2 } 1 / q , q 0 ; F x y ( q , s ) = exp { 1 4 N s v = 1 2 N s ln F v ( s ) } , q = 0 .
In the fifth step, if there is a long-range cross-correlation between the two depth series, then the volatility function F x y ( q , s ) has a power law relationship with the depth scale s :
F x y ( q , s ) s h x y ( q ) ,
In the formula, the scaling index h x y ( q ) is the generalized cross-Hurst index. When h x y ( q ) changes with the change in q , it is said that the cross-correlation of the two depth series has multifractal characteristics; otherwise, it has monofractal characteristics. When h x y ( q ) > 0.5 , the two depth series have long-range correlations. When h x y ( q ) = 0.5 , their cross-relationship can be described by a random walk. When h x y ( q ) < 0.5 , there is a negative long-range correlation, that is, anti-persistence.
In the sixth step, the Multifractal Mass Exponent is further obtained τ x y ( q ) :
τ x y ( q ) = q h x y ( q ) 1 .
The Singularity Strength α x y and the Multifractal Spectrum Function f x y ( α ) are obtained by the Legendre transform:
α x y ( q ) = τ x y ( q ) = h x y ( q ) + q h x y ( q ) ; f x y ( α ) = q ( α x y h x y ( q ) ) 1 .
The above is the MF-DCCA, and when the depth series { x ( t ) } and { y ( t ) } are the same, the MF-DCCA transforms into the MF-DFA.
In addition, both Δ h x y = max ( h x y ) min ( h x y ) and Δ α x y = max ( α x y ) min ( α x y ) can be used to measure the intensity of the multifractal, with Δ h x y being larger when the degree of the multifractal and the intensity of data fluctuation are richer and stronger; Δ α x y is the width of the multifractal spectrum, with Δ α x y being larger when there is more variation in the singularity and more unevenness in the distribution of the depth series and the absolute degree of data fluctuation is larger. The multifractal spectrum f x y ( α ) portrays the local scalability of different fractal subsets; if f x y ( α ) presents as a single-peaked bell shape, it indicates a multifractal feature; while for a single fractal, f x y ( α ) is a point.
For the choice of order q , the fluctuation function F x y ( q , s ) will tend to stabilize when the absolute value of order q is larger than a certain range. The order q is often restricted to a specified range. Based on the practice of various references, this paper sets the range of q to { 10 , 9 , , 9 , 10 } . In addition, when fitting polynomials in the detrending step, this paper adopts second-order polynomials for the calculation, tests first-order and third-order polynomials, and finds that there is no big difference in the conclusions.

3. Results

3.1. Results of Multifractal Detrended Fluctuation Analysis

3.1.1. Multifractality Analysis

First, we perform multifractal analysis on all igneous DEN data, and the results are shown in Figure 3. It can be seen from Figure 3 that the generalized Hurst index does not change with the change in order. Combined with the descriptive statistical analysis results of all igneous rock DEN data, it shows that all igneous rock DEN data are not multifractal.
Figure 4, Figure 5, Figure 6, Figure 7 and Figure 8 show the analysis of multifractals for basalt, diabase, gabbro, tuff, and magmatic breccia logging data (GR, RT, CNL, and AC), respectively. From Figure 4a, Figure 5a, Figure 6a, Figure 7a and Figure 8a, it can be seen that the generalized Hurst index of each rock’s logging data decreases with the increase in q, showing a nonlinear relationship. This nonlinear change feature reflects the multifractal of the depth sequence, which means that the logging data have complex changes under different conditions. As can be seen from Figure 4b, Figure 5b, Figure 6b, Figure 7b and Figure 8b, each curve in each scale index graph is nonlinear, which further demonstrates the multifractal characteristics of the depth sequence, indicating that the related logging indicators of rocks, such as physical properties, will vary in a complex and uneven manner with different depth scales. It can be seen from Figure 4c, Figure 5c, Figure 6c, Figure 7c and Figure 8c that the curves in each multifractal spectrum satisfy the inverted parabola, which also shows that the depth sequence has multiple fractals. We find that the generalized Hurst index, scaling index, and multifractal spectrum confirm the multifractality of logging data from different angles when multifractal analysis is carried out on logging data. Therefore, it can be concluded that the logging data regarding basalt, diabase, gabbro, tuff, and magmatic breccia all have multifractality.
Table 2 shows the statistics of the generalized Hurst exponent ( Δ h = max h ( q ) min h ( q ) ) and the spectral width ( Δ α = max ( α ) min ( α ) ) of basalt logging data. It can be seen from Table 2 that, in basalt, the spectral width of GR data ( Δ α = 1.477 ) is the widest, indicating that its multifractal strength is the strongest. In the depth range of 1827–2213 m, the maximum spectral width of basalt GR is mainly due to mineral and pore factors. The basalt mineral composition at this depth is complex, and the distribution of radioactive minerals, such as potassium feldspar, is uneven, which makes the GR data fluctuate greatly. Concurrently, the pore size, distribution, and pore fluid properties are unstable, resulting in variable states of radioactive substances in the pores, which greatly increases the complexity and variability of GR data. CNL data, AC data, and RT data are relatively less affected by these factors, but the spectral width of GR data is prominent.
Table 3 shows the statistics of Δ h and Δ α of diabase logging data. It can be seen from Table 3 that, in diabase, the spectral width of RT data is the widest, indicating that its multifractal strength is the strongest. In the depth section of 3628–3752 m, the maximum spectral width of RT ( Δ α = 1.372 ) in diabase is mainly due to the mineral characteristics of rocks and fluid factors of pore structure. In terms of mineralogy, the types, contents, and distribution of conductive minerals in diabase vary significantly. For example, the local enrichment or dispersion of conductive minerals such as pyrite makes RT data fluctuate greatly, resulting in the largest spectral width. However, the data regarding GR, CNL, and AC are not as significantly affected by these factors as RT, but the RT spectral width is prominent.
Table 4 shows the statistics of Δ h and Δ α of gabbro logging data. It can be seen from Table 4 that, in gabbro, the spectral width of AC data ( Δ α = 1.556 ) is the widest, indicating that its multifractal strength is the strongest. In the depth range of 1323–1612 m, the maximum AC spectral width of gabbro is mainly due to the pore structure of the rock. The pore size, shape, and distribution of gabbro are extremely complex and uneven, which significantly impacts the propagation of sound waves. The pores of different scales and connectivity cause complex changes such as scattering, refraction, and reflection of sound waves, resulting in large fluctuations in AC data and the largest spectral width. However, the distribution of hydrogen content in gabbro at this depth is relatively stable, the distribution of conductive minerals is relatively uniform, and the content of radioactive minerals is low, but the AC spectral width of gabbro is prominent.
Table 5 shows the statistics of Δ h and Δ α of tuff logging data. It can be seen from Table 5 that, in tuff, the spectral width of AC data ( Δ α = 1.492 ) is the widest, indicating that its multifractal strength is the strongest. In the depth section of 3578–3771 m, tuff has a wide variety of pore types, including primary and secondary pores, and the pore size is significantly different, the shape is irregular, and the distribution is extremely uneven. When propagating in it, these pore characteristics cause sound waves to encounter complex phenomena such as refraction, reflection, and scattering, resulting in larger fluctuations in AC data and wider spectral width.
Similar to gabbro, the characteristics of different types of igneous rocks also have a significant impact on logging data. At the same time, tuff’s mineral composition is complex. Mineral interfaces strongly interfere with sound waves during propagation, exacerbating AC data complexity. At 3578–3771 m, tuff’s radioactive minerals, pore fluid, and conductive minerals are stable, with little impact on GR data, CNL data, and RT data. However, the AC spectral width is most prominent in tuff logging data.
Table 6 shows the statistics of Δ h and Δ α of the log data regarding the magmatic breccia. It can be seen from Table 6 that, among the magmatic breccia, the spectral width of the RT data ( Δ α = 1.562 ) is the widest, indicating that its multifractal strength is the strongest. In the depth range of 3456–3613 m, the maximum spectral width of RT is mainly due to its unique rock structure and mineral composition characteristics. Magmatic breccia is cemented with rock debris of different sizes and shapes. This structure results in extremely complex pore spaces, wide pore sizes, and variable connectivity. The distribution of pore fluids in it is extremely uneven, and the distribution of conductive minerals in magmatic breccia also shows a high degree of dispersion. There may be high concentrations of conductive minerals in local areas, while other areas are relatively scarce. All these factors make the resistivity data regarding magmatic breccia fluctuate greatly, and the spectrum width of RT data is the largest.
Overall, the logging data regarding different igneous rocks (GR, RT, CNL, and AC) all exhibit multifractal properties, and due to the uniqueness of mineralogical characteristics (mineral species, content, distribution, etc.) and pore structure characteristics (pore size, shape, distribution, connectivity, fluid properties, etc.), exploring the internal relationship between multifractal natures and reservoirs is crucial for understanding the features of igneous rock reservoirs.
Reservoirs, as crucial carriers for oil and gas storage and migration, directly impact the efficiency and benefits of oil and gas extraction [42]. The multifractal features of igneous rock logging data play a pivotal role in reservoir evaluation. Multifractal features can reflect reservoir heterogeneity. A more complex multifractal pattern indicates stronger heterogeneity, which is unfavorable for oil and gas extraction. This is because magma composition and cooling rate influence the rock pore structure, affecting the heterogeneity reflected by multifractal features. For instance, rocks from basic and acidic magma, as well as those with different cooling rates, have distinct pore characteristics, ultimately influencing reservoir exploitation difficulty. Furthermore, multifractal features are closely related to reservoir pore structure, permeability, and oil-bearing properties, assisting in reservoir quality assessment. Fracture development and mineral alteration impact permeability, which is reflected in multifractal features and affects reservoir seepage capacity evaluation. Porosity and rock wettability, which determine the distribution of oil and gas in the reservoir, are also mirrored in multifractal features, helping to judge reservoir oil-bearing quality. These geological variables shape the multifractal features of igneous rock logging data and comprehensively influence reservoir evaluation.

3.1.2. Analysis of the Causes of Multifractals

A large amount of research literature [43,44,45] shows that there are two main causes of the formation of multifractal features: they are caused by the correlation between different ranges of large fluctuations and small fluctuations, that is, the correlation multifractal; they are caused by the probability distribution of data fluctuations with "sharp peaks and thick tails", that is, the distribution multifractal. We explore the contribution of the above two reasons to the formation of multifractal features through random rearrangement and phase randomization. Random rearrangement can destroy the long-memory characteristics of the sequence and retain its probability distribution characteristics; phase randomization can weaken the non-Gaussian distribution characteristics of the sequence and retain its long-range correlation characteristics. In order to analyze the causes of multifractal features, the rearrangement sequence generated by the original sequence after random rearrangement and the replacement sequence generated by phase randomization are carried out in multifractal analysis, respectively. Further, the index to measure the multifractal feature strength of the rearrangement sequence and the replacement sequence is obtained by the calculation of Δ h , in turn, Δ h p e r and Δ h s u r , and the original sequence is recorded as Δ h o r i . Then, we calculate the size of Δ Δ h p e r = Δ h o r i Δ h p e r and Δ Δ h s u r = Δ h o r i Δ h s u r , respectively. The magnitudes of Δ Δ h ˜ p e r = 100 % × Δ Δ h p e r / ( Δ Δ h s u r + Δ Δ h p e r ) and Δ Δ h ˜ s u r = 100 % × Δ Δ h s u r / ( Δ Δ h s u r + Δ Δ h p e r ) are compared to determine the long-range correlation of the data and the primary and secondary contributions of the probability distribution of the data to the causes of multifractality [46].
First, we randomly rearranged and randomized the logging data for 1827–2213 m regarding basalt in 13 wells in the eastern sag of the Liaohe Basin, 3628–3752 m regarding diabase in 26 wells, 1323–1612 m regarding gabbro in 28 wells, 3578–3771 m regarding tuff in 68 wells, and 3456–3613 m regarding magmatic breccia in Red 22 wells, respectively, and then we used MF-DFA for analysis. Finally, the Δ Δ h ˜ p e r and Δ Δ h ˜ s u r of each logging data were calculated. The results are shown in Table 7.
It can be seen from Table 7 that the GR data regarding basalt, gabbro, and amphibolite, the CNL and AC data regarding diabase, gabbro, and tuff, and the RT data regarding tuff are much greater than Δ Δ h ˜ s u r for Δ Δ h ˜ s u r . This is because, during the cooling process of magma, due to the different crystallization orders and conditions of different minerals, the mineral composition content is concentrated within a certain range, but due to the small differences in local temperature, pressure, and other conditions and the late geological transformation (such as weathering, cracks caused by tectonic movements, etc., which affect the physical properties of rocks), some areas with abnormal compositions are generated, which leads to the complexity of the formation process of igneous rocks and produces the probability distribution of a "peak thick tail", which makes it play a major role in the genesis of multifractal characteristics. The Δ Δ h ˜ s u r and Δ Δ h ˜ p e r of basalt RT and AC data, diabase GR and RT data, and amphibolite RT data and CNL data are close to 50%, indicating that the long-range correlation of these depth sequences plays an almost consistent role with the probability distribution of the sequence; while the CNL data regarding basalt, RT data regarding gabbro, GR data regarding tuff, and AC data regarding amphibolite are much larger than Δ Δ h ˜ p e r for Δ Δ h ˜ s u r , which means that these logging data have similar structures and laws at different depth scales, so the long-range correlation of these depth sequences plays a decisive role in the genesis of multifractal features.

3.2. Results of Multifractal Detrended Cross-Correlation Analysis

3.2.1. Cross-Correlation Test

Podobnik et al. [47] proposed a new cross-correlation statistic, used to determine the existence of the cross-correlation relationship between two time series. The method is as follows: Suppose there are two depth series x i i = 1 N and y i i = 1 N with a length of N . Firstly, calculate the cross-correlation coefficients of the two depth series.
C i = k = i + 1 N x k y k 1 k = 1 N x k 2 k = 1 N y k 2 .
If the two sequences x i i = 1 N and y i i = 1 N are independent of each other, then the cross-correlation coefficients C i and C k are uncorrelated.
E ( C i C k ) j = i + 1 N h = k + 1 N E ( x j y j i x h y h k ) = j = 1 N h = 1 N E ( x j y h ) E ( x j i y h k ) .
So, when i     k , the variance of the cross-correlation coefficient C i is as follows:
V ( C i ) = E ( C i 2 ) = j = i + 1 N h = k + 1 N E ( x j y j i x h y h k ) j = 1 N h = 1 N E ( x j 2 x h 2 ) = j = i + 1 N h = k + 1 N E ( x j y j i x h y h k ) σ 2 σ 2 N 2 ,
where E ( x i x h ) = σ 2 δ j , k and E ( y i y h ) = σ 2 δ j , k ; thus,
V ( C i ) = j = i + 1 N h = k + 1 N δ j , h δ j i , h i N 2 = j = i + 1 N δ i , j N 2 = N i N 2 .
When N is relatively large, the cross-correlation coefficient C i asymptotically follows a normal distribution, so C i / ( N i ) / N 2 asymptotically follows a normal distribution with an expectation of 0 and a variance of 1. According to the definition of the chi-squared distribution χ 2 , the cross-correlation statistic Q C C m = N 2   i = 1 m C i 2 N i .
The cross-correlation statistic Q C C m approximately follows the χ 2 distribution, with the degree of freedom being m. If the degree of freedom m is given and Q C C m χ 2 ( m ) , it indicates that there is a cross-correlation relationship between the two depth sequences.
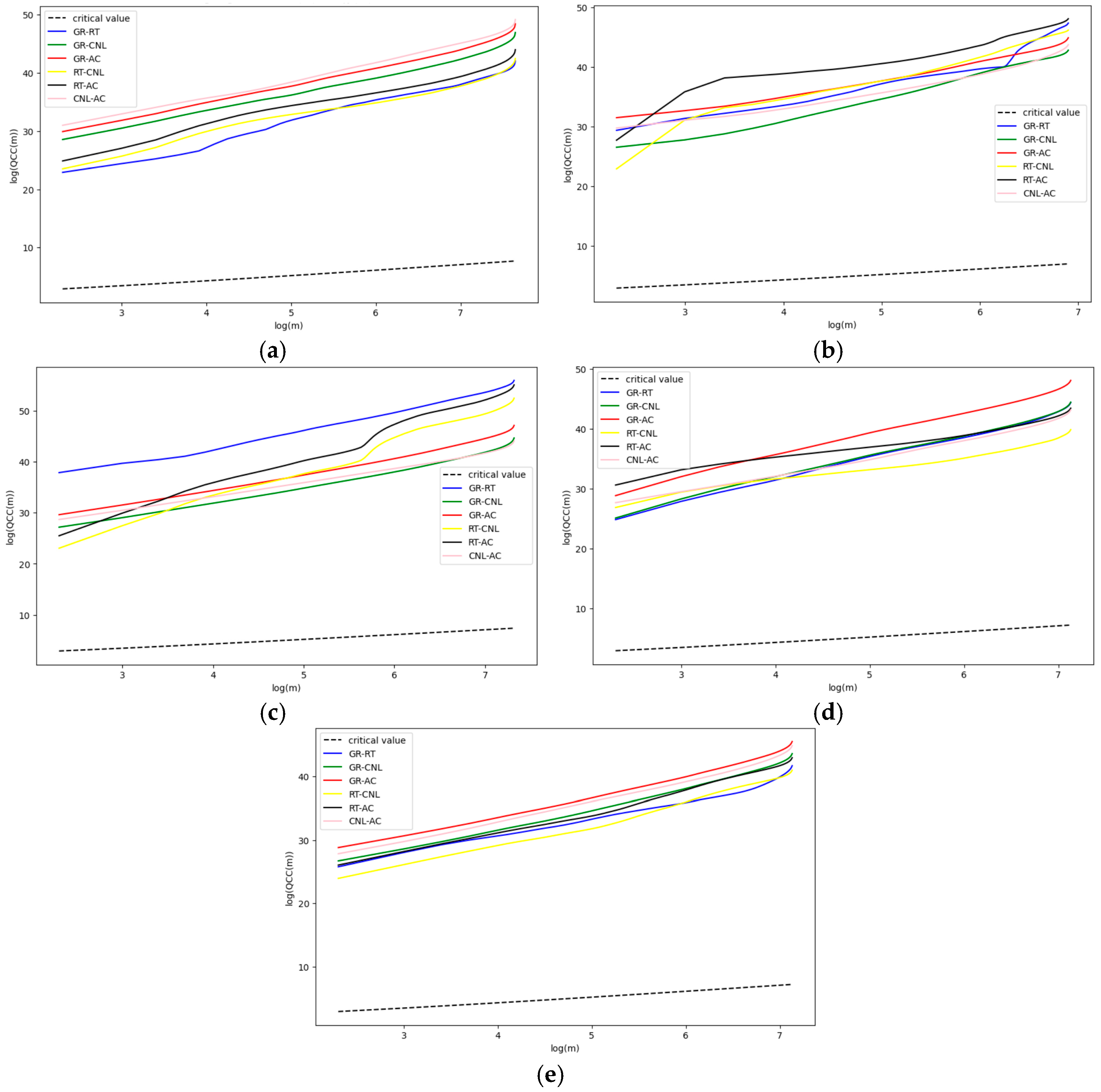
The correlation test between different igneous rock logging data is shown in Figure 9. The results show that, at the significance level of 5%, with the increase in degrees of freedom, the cross-correlation statistics Q C C m of each pair of depth series in each period are always higher than the critical value of the χ 2 ( m ) distribution. Therefore, we can conclude that there is a significant cross-correlation between depth series.

3.2.2. Cross-Correlation Analysis

The MF-DCCA was used to analyze the cross-correlation between the logging data regarding basalt, diabase, gabbro, tuff, and magmatic breccia in igneous rocks. The cross-correlation results between different igneous rock logging data are shown in Table 8.
As can be seen from Table 8, the results of Δ h x y and Δ α x y among the logging data regarding various igneous rocks all show correlations between them. However, different igneous rocks exhibit different properties, which contain rich geological information. The inherent connections revealed by these correlations offer crucial clues for our in-depth understanding of the geological structure and physical properties of igneous rocks. These clues are essential for subsequent logging interpretation and reservoir evaluation. There are negative long-range correlations between GR and RT, GR and CNL in basalt, and RT and CNL in diabase. In basalt, this means that the distribution of radioactive minerals that determine the natural gamma value and the minerals or pore structures affecting resistivity and neutron porosity show inverse change relationships. In diabase, the factors affecting resistivity and those affecting neutron porosity in the rock develop in opposite directions. There are long-range correlations among the logging data regarding other igneous rocks, which indicates that the minerals and pore structures corresponding to various physical properties change synergistically on a large scale and have closer internal connections.
For logging interpretation and reservoir evaluation work, these correlation results are of great significance. When evaluating reservoir characteristics, different correlation features can help judge the continuity, heterogeneity, and fluid distribution of the reservoir. Thus, they provide solid data support for the formulation of oil and gas exploration and development plans.
Specifically, the long-term correlations among various logging parameters have multiple important impacts on oil and gas exploration strategies. In well-location deployment, in areas where there is a negative long-term correlation between natural gamma-ray logging and resistivity logging, as well as between natural gamma-ray logging and compensated neutron logging in basalt, due to the complex underground geological conditions and large variations in reservoir properties, well-location deployment needs to be carried out with caution. The subsurface structure can be explored by densifying well locations or using advanced seismic exploration methods to prevent missing reservoirs or drilling into non-reservoir areas. In areas with long-term positive-correlated igneous rock logging data, the geological parameters are relatively stable, and the reservoir properties are somewhat predictable. Well-location deployment can be optimized by combining other geological data to improve the success rate of drilling. In terms of reservoir evaluation, the long-term correlations of different logging parameters are beneficial for comprehensively judging reservoir properties. In a positively correlated parameter combination, when one parameter shows favorable characteristics for oil and gas storage, other parameters may also have a similar trend, strengthening the basis for judging high-quality reservoirs. For negatively correlated parameters, in-depth analysis is required to avoid misjudgment. Meanwhile, long-term correlations can also help identify complex reservoir features such as fracture and pore-structure complexity, providing accurate basic data for reservoir modeling and numerical simulation. In reservoir simulation and the formulation of extraction plans, understanding long-term correlations helps to set the boundary and initial conditions of reservoir simulation. For areas with strong positive correlations, conventional extraction methods can be adopted, and the flow laws of oil and gas can be predicted based on the coordinated changes in parameters. For negatively correlated areas, flexible extraction plans need to be formulated to prevent problems such as water-channeling and gas-channeling. Moreover, according to the correlations between logging parameters and key extraction parameters, the strategies for improving recovery efficiency can be adjusted pertinently, and appropriate stimulation measures can be selected to enhance oil and gas recovery.

4. Discussion

First, we use MF-DFA to study the multifractality of igneous rock logging data. This effectively solves the problem of understanding the internal complexity and heterogeneity of igneous rocks. It can clearly show the differences in the structure and properties of igneous rocks during their long geological history. These differences are often overlooked in traditional data interpretation, which are caused by different geological processes and environmental changes. Second, we analyze the causes of the multifractality of igneous rock logging data. One reason is that the concentration and anomaly of mineral components in igneous rocks lead to the non-uniformity of component content data. The other reason is that, by maintaining the correlation of data on a large scale, local changes on a small scale can have an impact on a larger range. This enhances the complexity and self-similarity of the data, further resulting in the emergence of multifractal characteristics. Finally, we use MF-DCCA to discuss the correlations among igneous rock logging data. The correlations among different igneous rock logging data reveal the differences in rock physical properties, reflecting the internal relationships of characteristics such as the internal mineral composition and pore structure of rocks. These properties are closely related to the storage and migration of oil and gas, which help to understand the distribution laws of oil and gas in these igneous rock reservoirs. Meanwhile, the rock-characteristic information provided by the results obtained through the MF-DCCA method can help us more accurately map the underground rock distribution, thus better judging the possible locations of oil and gas reservoirs, as well as the storage and flow laws of oil and gas within them. This provides a key basis for oil and gas exploration and development, improves exploration efficiency and development success rate, and helps identify potential oil and gas reservoir areas. In the process of geological modeling, based on the correlation results of igneous rock logging data obtained from MF-DCCA analysis, incorporating these correlations into geological modeling can provide more accurate constraints for geological modeling, more accurately depict the spatial distribution and physical property changes of underground rocks, and construct a three-dimensional model that is more in line with the actual underground geological conditions. For example, when establishing an igneous rock reservoir model, fully considering the positive and negative correlations among different logging data can more reasonably allocate reservoir parameters and improve the accuracy of the model in predicting the location and scale of oil and gas reservoirs. In addition, by continuously and deeply analyzing newly acquired logging data using MF-DCCA, the geological model can be continuously updated and optimized to better adapt to the complex and changeable underground geological conditions, providing a more reliable basis for subsequent oil and gas exploration and development.
Combined with the research results of this paper, the following steps can be taken to incorporate the multifractal results of igneous rock logging data into the actual exploration and drilling decision-making process. First, we collect GR, RT, AC, and CNL logging data on igneous rocks, use the multifractal detrended fluctuation analysis method to clarify the commonalities and characteristics of the data, and integrate them to establish a database. Second, the multifractal detrended cross-correlation analysis method will be used to analyze the correlations among different igneous rock logging data and evaluate the impact of parameter combinations on geological judgment based on the results. Third, we combine the multifractal characteristics of igneous rock logging data with the correlation analysis results, construct an accurate geological model that can reflect the underground distribution, characteristics, and relationship with the surrounding geological environment of igneous rocks, and optimize the model using multifractal characteristics. Then, based on the geological model, we determine the key exploration areas and directions according to the characteristics and distribution of igneous rocks, use the characteristics of logging data to predict the location and quality of reservoirs, and reasonably arrange exploration resources. Finally, during drilling, we collect and analyze new logging data in real time, compare it with the previous multifractal analysis results, and adjust the exploration and drilling decisions according to the actual situation. If there are deviations, we re-evaluate and correct the geological model.
Although certain achievements have been made in the current research, there is still room for improvement. In terms of lithology classification, supervised learning algorithms such as the support vector machine (SVM) can be used. By training on a large number of known lithology igneous rock logging data, a lithology classification model can be established. This model can be used to classify new data during data collation, improving the accuracy and convenience of data collation. When the amount of igneous rock logging data is large, parallel-computing technologies such as the Python multiprocessing module can be adopted. Decomposing the data-processing tasks into multiple subtasks and running them simultaneously on multiple processor cores can significantly shorten the time for data collation and cleaning. The application of these technologies and the deepening of research are expected to further improve the method of integrating the multifractal results of igneous rock logging data into the exploration and drilling decision-making process and promote the development of the earth science field in oil and gas exploration and related research.

Author Contributions

Conceptualization, S.W.; software, Z.W.; validation, X.Q.; formal analysis, S.W.; investigation, D.M.; resources, Z.W.; data curation, S.W.; writing—original draft preparation, S.W. and D.M.; visualization, X.Q.; supervision, Z.W.; project administration, D.M.; funding acquisi-tion, D.M. All authors have read and agreed to the published version of the manuscript.

Funding

This research was funded by Natural Science Foundation of Jilin Province with grant number YDZJ202501ZYTS661, the Education Department of Jilin Province under grant number No. JJKH20250805KJ; 20224BR98740058 and the Postgraduate Innovation Program Project of Beihua University with grant number 2024037.

Data Availability Statement

The data used in this study are restricted due to privacy and confidentiality agreements with the data providers. Interested researchers can submit a data access request to moudan@beihua.edu.cn.

Conflicts of Interest

The authors declare no conflict of interest.

References

  1. Schutter, S. Hydrocarbon Occurrence and Exploration in and Around Igneous Rocks. Geol. Soc. Lond. Spec. Publ. 2003, 214, 7–33. [Google Scholar] [CrossRef]
  2. Tang, H.; Tian, Z.; Gao, Y.; Dai, X. Review of Volcanic Reservoir Geology in China. Acta Pet. Sin. 2022, 232, 104158. [Google Scholar] [CrossRef]
  3. Yao, W.J.; Chen, Z.H.; Hu, T.T.; Liang, Z.L.; Jia, C.M.; Wu, K.Y.; Pan, T.; Yu, H.T.; Dang, Y.F. Storage Space, Pore Structure, and Primary Control of Igneous Rock Reservoirs in Chepaizi Bulge, Junggar Basin, Western China: Significance for Oil Accumulation. J. Pet. Sci. Eng. 2020, 195, 107836. [Google Scholar] [CrossRef]
  4. Chen, Z.H.; Wang, X.Y.; Wang, X.L.; Zhang, Y.G.; Yang, D.S.; Tang, Y. Characteristics and Petroleum Origin of the Carboniferous Volcanic Rock Reservoirs in the Shixi Bulge of Junggar Basin, Western China. Mar. Petrol. Geol. 2017, 80, 517–537. [Google Scholar] [CrossRef]
  5. Li, N.; Qiao, D.X.; Li, Q.F.; Wu, H.L.; Fu, Y.S.; Dong, L.X.; Feng, Q.F.; Wang, K.W. Theory on logging interpretation of igneous rocks and its application. Pet. Explor. Dev. 2009, 36, 683–692. [Google Scholar]
  6. Han, R.Y.; Wang, Z.W.; Wang, W.H.; Xu, F.H.; Qi, X.H.; Cui, Y.T.; Zhang, Z.T. Igneous rocks lithology identification with deep forest: Case study from eastern sag, Liaohe basin. J. Appl. Geophys. 2023, 208, 104892. [Google Scholar] [CrossRef]
  7. Liu, Z.L.; Wang, Z.W.; Zhou, D.P.; Zhao, S.Q.; Xiang, M. Pore distribution characteristics of the igneous reservoirs in the Eastern Sag of the Liaohe depression. Open Geosci. 2017, 9, 161–173. [Google Scholar]
  8. Annen, C.; Blundy, J.D.; Leuthold, J.; Sparks, R.S.J. Construction and evolution of igneous bodies: Towards an integrated perspective of crustal magmatism. Lithos 2015, 230, 206–221. [Google Scholar] [CrossRef]
  9. Smith, J.A.; Johnson, K.R.; Brown, L.D. Petrology and geochemistry of igneous rocks: Implications for hydrocarbon exploration. J. Geochem. Explor. 2018, 190, 107–120. [Google Scholar]
  10. Fisher, A.T. Permeability within basaltic oceanic crust. Rev. Geophys. 1998, 36, 143–182. [Google Scholar] [CrossRef]
  11. Wang, W.H.; Wang, Z.W.; Han, R.Y.; Xu, F.H.; Qi, X.H.; Cui, Y.T. Lithology classification of volcanic rocks based on conventional logging data of machine learning: A case study of the eastern depression of Liaohe oil field. Open Geosci. 2021, 13, 1245–1258. [Google Scholar]
  12. Wang, P.J.; Zheng, C.Q.; Shu, P.; Liu, W.Z.; Huang, Y.L.; Tang, H.F.; Cheng, R.H. Classification of Deep Volcanic Rocks in Songliao Basin. Pet. Geol. Oilfield Dev. Daqing 2007, 26, 17–22. [Google Scholar]
  13. Ma, X.H.; Li, G.H.; Ying, D.L.; Zhang, B.J.; Li, Y.; Dai, X.; Fan, Y.; Zeng, Y.X. Distribution and Gas-Bearing Properties of Permian Igneous Rocks in Sichuan Basin, SW China. Pet. Explor. Dev. 2019, 46, 228–237. [Google Scholar] [CrossRef]
  14. Sun, A.; Huang, Y.L.; Li, J.; Feng, Y.H.; Wang, J.F.; Wang, P.J. Oligocene Diabase of Eastern Sag in Liaohe Basin, NE China: Characteristics, Identification and Hydrocarbon Accumulation. Oil Gas Geol. 2016, 37, 372–380. [Google Scholar]
  15. Jiao, S.T.; Zhou, Y.Z.; Zhang, Q.; Jin, W.J.; Liu, Y.P.; Wang, J. Study on intelligent discrimination of tectonic settings based on global gabbro data from GEOROC. Acta Petrol. Sin. 2018, 34, 3189–3194. [Google Scholar]
  16. Kanakiya, S.; Adam, L.; Rowe, M.C.; Lindsay, J.M.; Esteban, L. The role of tuffs in sealing volcanic conduits. Geophys. Res. Lett. 2021, 48, e2021GL095175. [Google Scholar] [CrossRef]
  17. Sillitoe, R.H. Ore-related breccias in volcanoplutonic arcs. Econ. Geol. 1985, 80, 1467–1514. [Google Scholar] [CrossRef]
  18. Han, R.Y.; Wang, Z.W.; Wang, W.H.; Xu, F.H.; Qi, X.H.; Cui, Y.T. Lithology identification of igneous rocks based on XGboost and conventional logging curves, a case study of the eastern depression of Liaohe Basin. J. Appl. Geophys. 2021, 195, 104480. [Google Scholar]
  19. Wang, Z.H.; Shu, X.M.; Sun, Z.C.; Luo, X.J.; Dai, X.J.; Dai, Y. Igneous lithology identification and lithofacies classification in the basin using logging data: Taking Junggar Basin as an example. Earth Sci. Front. 2015, 22, 254. [Google Scholar]
  20. Moskalewicz, D. Spektrometryczne profilowanie gamma w odsłonięciach geologicznych: Metody i przykłady zastosowania. Przegl. Geol. 2022, 70, 806–815. [Google Scholar] [CrossRef]
  21. Huang, B.Z.; Pan, B.Z. Characteristics of log responses and lithology determination of igneous rock reservoirs. J. Geophys. Eng. 2004, 1, 51–55. [Google Scholar] [CrossRef]
  22. Guo, Y.H.; Pan, B.Z.; Zhang, L.H.; Lei, J.; Fan, Y.F.; Ruhan, A.; Yan, D.D.; Zhao, Y.Q. A Study on Water Saturation Predictions in Igneous Reservoirs Based on the Relationship Between the Transverse Relaxation Time and the Resistivity Index. J. Pet. Sci. Eng. 2021, 208, 109519. [Google Scholar] [CrossRef]
  23. İnce, İ. Predicting index-mechanical properties of igneous rock using electrical resistivity method. Mining Metall. Explor. 2022, 39, 531–539. [Google Scholar] [CrossRef]
  24. Pechnig, R.; Delius, H.; Bartetzko, A. Effect of compositional variations on log responses of igneous and metamorphic rocks. II: Acid and intermediate rocks. Geol. Soc. Lond. Spec. Publ. 2005, 240, 279–300. [Google Scholar] [CrossRef]
  25. Yari, M.; Bagherpour, R. Implementing acoustic frequency analysis for development the novel model of determining geomechanical features of igneous rocks using rotary drilling device. Geotech. Geol. Eng. 2018, 36, 1805–1816. [Google Scholar] [CrossRef]
  26. Wang, W.H.; Wang, P.J.; Wang, Z.W.; Xu, F.; Qi, X.H.; Han, R.Y.; Cui, Y.T. Acoustic time–frequency characteristics of igneous reservoir with different fluid properties. Acta Geophys. 2021, 69, 1753–1768. [Google Scholar] [CrossRef]
  27. Qiu, X.L.; Fu, Y.X.; Yan, Z.D.; Zheng, X.M.; Wang, M.X.; Lan, Z. Effective reservoir identification and sweet spot prediction in Chang 8 Member tight oil reservoirs in Huanjiang area, Ordos Basin. Open Geosci. 2024, 16, 20220584. [Google Scholar] [CrossRef]
  28. Wang, X.R.; Pan, B.Z.; Guo, Y.H.; Wang, Q.H.; Guan, Y. Multi-scale data joint inversion of minerals and porosity in altered igneous reservoirs—A case study in the South China Sea. Pet. Sci. 2024, 21, 206–220. [Google Scholar] [CrossRef]
  29. Dentith, M.; Enkin, R.J.; Morris, W.; Adams, C.; Bourne, B. Petrophysics and mineral exploration: A workflow for data analysis and a new interpretation framework. Geophys. Prospect. 2020, 68, 178–199. [Google Scholar] [CrossRef]
  30. Tzanis, C.G.; Koutsogiannis, I.; Philippopoulos, K.; Kalamaras, N. Multifractal Detrended Cross-Correlation Analysis of Global Methane and Temperature. Remote Sens. 2020, 12, 557. [Google Scholar] [CrossRef]
  31. Delbianco, F.; Tohmé, F.; Stosic, T.; Stosic, B. Multifractal behavior of commodity markets: Fuel versus non-fuel products. Phys. A 2016, 457, 573–580. [Google Scholar] [CrossRef]
  32. Wang, F.; Ye, X.; Wu, C.X. Multifractal characteristics analysis of crude oil futures prices fluctuation in China. Phys. A 2019, 533, 122021. [Google Scholar] [CrossRef]
  33. Mensi, W.; Sensoy, A.; Vo, X.V.; Kang, S.H. Impact of COVID-19 outbreak on asymmetric multifractality of gold and oil prices. Resour. Policy 2020, 69, 101829. [Google Scholar] [CrossRef]
  34. Wang, F.; Xu, J.; Fan, Q.J. Statistical properties of the detrended multiple cross-correlation coefficient. Commun. Nonlinear Sci. 2021, 99, 105781. [Google Scholar] [CrossRef]
  35. Xiang, J.; Xu, Y.P.; Yuan, J.; Wang, Q.; Wang, J.; Deng, X.J. Multifractal Analysis of River Networks in an Urban Catchment on the Taihu Plain, China. Water 2019, 11, 2283. [Google Scholar] [CrossRef]
  36. Gao, Z.Y.; Niu, F.J.; Lin, Z.J.; Luo, J. Fractal and Multifractal Analysis of Soil Particle-Size Distribution and Correlation with Soil Hydrological Properties in Active Layer of Qinghai–Tibet Plateau, China. Catena 2021, 203, 105373. [Google Scholar] [CrossRef]
  37. Boulassel, A.; Zaourar, N.; Gaci, S.; Boudella, A. A new multifractal analysis-based for identifying the reservoir fluid nature. J. Appl. Geophys. 2021, 185, 104185. [Google Scholar] [CrossRef]
  38. Sui, L.L.; Wang, H.Y.; Wu, J.S.; Zhang, J.W.; Yu, J.; Ma, X.Y.; Sun, Q.J. Fractal description of rock fracture networks based on the space syntax metric. Fract. Fractal. 2022, 6, 353. [Google Scholar] [CrossRef]
  39. Podobnik, B.; Stanley, H.E. Detrended Cross-Correlation Analysis: A New Method for Analyzing Two Nonstationary Time Series. Phys. Rev. Lett. 2008, 100, 084102. [Google Scholar] [CrossRef]
  40. Zhou, W.X. Multifractal detrended cross-correlation analysis for two nonstationary signals. Phys. Rev. E 2008, 77, 066211. [Google Scholar] [CrossRef]
  41. Ge, X.M.; Fan, Y.R.; Zhu, X.J.; Deng, S.G.; Wang, Y. A method to differentiate degree of volcanic reservoir fracture development using conventional well logging data—An application of kernel principal component analysis (KPCA) and multifractal detrended fluctuation analysis (MFDFA). IEEE J.-STARS 2014, 7, 4972–4978. [Google Scholar] [CrossRef]
  42. Guo, S.M.; Yang, C.B.; Han, L.G.; Feng, Y.Z.; Zhao, J.M. Lithology classification of igneous rocks using C-band and L-band dual-polarization SAR data. Open Geosci. 2023, 15, 20220465. [Google Scholar] [CrossRef]
  43. Lin, J.S.; Chen, Q. Fault Diagnosis of Rolling Bearings Based on Multifractal Detrended Fluctuation Analysis and Mahalanobis Distance Criterion. Mech. Syst. Signal Process. 2013, 38, 515–533. [Google Scholar] [CrossRef]
  44. Lu, X.S.; Tian, J.; Zhou, Y.; Li, Z.H. Multifractal Detrended Fluctuation Analysis of the Chinese Stock Index Futures Market. Phys. A 2012, 392, 1452–1458. [Google Scholar] [CrossRef]
  45. Wu, Y.; He, Y.; Wu, M.W.; Lu, C.; Gao, S.Y.; Xu, Y.W. Multifractality and Cross-Correlation Analysis of Streamflow and Sediment Fluctuation at the Apex of the Pearl River Delta. Sci. Rep. 2018, 8, 16553. [Google Scholar] [CrossRef]
  46. Yang, J.; Feng, Y.; Yang, H. Research on the Four Agricultural Commodity Futures Markets Based on National Food Security under the Impact of Extreme Events. Chin. J. Manag. 2024, 21, 96. [Google Scholar]
  47. Podobnik, B.; Horvatic, D.; Petersen, A.M.; Stanley, H.E. Cross-correlations Between Volume Change and Price Change. Proc. Natl. Acad. Sci. USA 2009, 106, 22079–22084. [Google Scholar] [CrossRef]
Figure 1. The flowchart of the multifractal analysis.
Figure 1. The flowchart of the multifractal analysis.
Fractalfract 09 00163 g001
Figure 2. Logging deployment map of the middle and southern sections in the eastern sag of the Liaohe Basin.
Figure 2. Logging deployment map of the middle and southern sections in the eastern sag of the Liaohe Basin.
Fractalfract 09 00163 g002
Figure 3. Multifractality of DEN data regarding all igneous rocks.
Figure 3. Multifractality of DEN data regarding all igneous rocks.
Fractalfract 09 00163 g003
Figure 4. Multifractal analysis of basalt logging data. (a) Generalized Hurst index; (b) scale index; (c) multifractal spectrum.
Figure 4. Multifractal analysis of basalt logging data. (a) Generalized Hurst index; (b) scale index; (c) multifractal spectrum.
Fractalfract 09 00163 g004
Figure 5. Multifractal analysis of diabase logging data. (a) Generalized Hurst index; (b) scale index; (c) multifractal spectrum.
Figure 5. Multifractal analysis of diabase logging data. (a) Generalized Hurst index; (b) scale index; (c) multifractal spectrum.
Fractalfract 09 00163 g005
Figure 6. Multifractal analysis of gabbro logging data. (a) Generalized Hurst index; (b) scale index; (c) multifractal spectrum.
Figure 6. Multifractal analysis of gabbro logging data. (a) Generalized Hurst index; (b) scale index; (c) multifractal spectrum.
Fractalfract 09 00163 g006
Figure 7. Multifractal analysis of tuff logging data. (a) Generalized Hurst index; (b) scale index; (c) multifractal spectrum.
Figure 7. Multifractal analysis of tuff logging data. (a) Generalized Hurst index; (b) scale index; (c) multifractal spectrum.
Fractalfract 09 00163 g007
Figure 8. Multifractal analysis of magmatic breccia logging data. (a) Generalized Hurst index; (b) scale index; (c) multifractal spectrum.
Figure 8. Multifractal analysis of magmatic breccia logging data. (a) Generalized Hurst index; (b) scale index; (c) multifractal spectrum.
Fractalfract 09 00163 g008
Figure 9. Results of multifractal detrended cross-correlation analysis. (a) Basalt; (b) diabase; (c) gabbro; (d) tuff; (e) magmatic breccia.
Figure 9. Results of multifractal detrended cross-correlation analysis. (a) Basalt; (b) diabase; (c) gabbro; (d) tuff; (e) magmatic breccia.
Fractalfract 09 00163 g009
Table 1. Descriptive statistical analysis of well logging data.
Table 1. Descriptive statistical analysis of well logging data.
Rock TypeLogging ParameterMin/mMax/mMean/mS.D./mSkewKurtJ-B
BasaltGR12.11139.8638.83498.092.053.832259.53 ***
RT0.7349.644.5020.303.4817.7134,119.20 ***
DEN1.852.822.370.03−0.22−0.141293.12 ***
CNL20.11108.3443.46195.201.101.241017.19 ***
AC55.52150.0293.32369.590.780.271272.20 ***
DiabaseGR15.95121.0347.07527.980.68−0.13486.47 ***
RT1.612724.01209.41139,607.613.2712.235337.32 ***
DEN2.092.872.660.02−1.271.27393.34 ***
CNL6.0447.7725.4283.020.64−0.66627.66 ***
AC53.43149.4767.8890.214.5435.1546,512.70 ***
GabbroGR49.73133.0568.63153.301.712.871128.42 ***
RT3.7314,590.203229.367,727,472.391.050.60975.59 ***
DEN2.042.812.710.01−2.368.214756.56 ***
CNL10.0749.7815.9028.752.014.981934.15 ***
AC46.86112.7850.5516.709.19120.911,371,764.03 ***
TuffGR30.86210.20135.83223.02−1.6117.0013,346.48 ***
RT3.90218.2712.73171.0910.20129.661,064,387.02 ***
DEN2.392.832.590.00−0.282.3746.05 ***
CNL7.7526.9111.244.562.408.983799.86 ***
AC55.7491.1367.9722.201.473.03558.91 ***
Magmatic brecciaGR24.0899.4138.06100.541.543.15997.85 ***
RT2.0937.9110.3553.431.411.53944.40 ***
DEN2.232.812.600.01−0.490.19516.32 ***
CNL16.6940.4526.6926.780.18−0.59689.39 ***
AC54.66100.1670.0260.580.810.55595.26 ***
Note: *** indicates that the Jarque–Bera (J–B) statistic rejects the null hypothesis with a significance of 1% (9.21).
Table 2. Δ h and Δ α of basalt logging data.
Table 2. Δ h and Δ α of basalt logging data.
Logging Parameter Δ h Δ α
GR1.2061.477
RT0.9121.121
CNL1.1451.361
AC1.1001.343
Table 3. Δ h and Δ α of diabase logging data.
Table 3. Δ h and Δ α of diabase logging data.
Logging Parameter Δ h Δ α
GR1.0201.205
RT1.1861.372
CNL0.9291.157
AC0.5610.699
Table 4. Δ h and Δ α of gabbro logging data.
Table 4. Δ h and Δ α of gabbro logging data.
Logging Parameter Δ h Δ α
GR0.7811.020
RT0.9231.154
CNL1.0921.352
AC1.3551.556
Table 5. Δ h and Δ α of tuff logging data.
Table 5. Δ h and Δ α of tuff logging data.
Logging Data Δ h Δ α
GR0.4170.638
RT1.1051.311
CNL1.1321.385
AC1.2511.492
Table 6. Δ h and Δ α of magmatic breccia logging data.
Table 6. Δ h and Δ α of magmatic breccia logging data.
Logging Parameter Δ h Δ α
GR0.6020.783
RT1.3221.562
CNL1.0151.259
AC1.0311.194
Table 7. Genesis analysis of multifractal characteristics of rock logging data.
Table 7. Genesis analysis of multifractal characteristics of rock logging data.
Rock TypeLogging Parameter Δ Δ h ˜ p e r / % Δ Δ h ˜ s u r / %
BasaltGR15.8184.19
RT44.4355.57
CNL83.7116.29
AC57.9942.01
DiabaseGR55.6744.33
RT48.8451.16
CNL41.9658.04
AC13.0386.97
GabbroGR29.0770.93
RT97.472.53
CNL31.0868.92
AC28.2771.73
TuffGR75.7224.28
RT23.9176.09
CNL29.7170.29
AC43.9056.10
Magmatic brecciaGR29.9470.06
RT48.4551.55
CNL51.2048.80
AC72.1327.87
Table 8. Δ h x y and Δ α x y between igneous rock logging data.
Table 8. Δ h x y and Δ α x y between igneous rock logging data.
Rock TypeLogging Parameter Δ h x y Δ α x y
BasaltGR-RT0.320.42
GR-CNL0.390.50
GR-AC0.650.90
RT-CNL0.400.48
RT-AC0.570.76
CNL-AC0.730.90
DiabaseGR-RT0.610.77
GR-CNL0.760.97
GR-AC0.680.90
RT-CNL0.340.49
RT-AC0.710.87
CNL-AC0.961.21
GabbroGR-RT0.740.93
GR-CNL0.961.20
GR-AC0.831.05
RT-CNL0.650.82
RT-AC0.891.10
CNL-AC0.730.92
TuffGR-RT0.750.97
GR-CNL0.560.74
GR-AC0.640.79
RT-CNL0.801.03
RT-AC0.550.73
CNL-AC0.470.64
Magmatic brecciaGR-RT0.791.03
GR-CNL1.011.26
GR-AC0.881.08
RT-CNL0.881.09
RT-AC0.750.93
CNL-AC1.191.43
Disclaimer/Publisher’s Note: The statements, opinions and data contained in all publications are solely those of the individual author(s) and contributor(s) and not of MDPI and/or the editor(s). MDPI and/or the editor(s) disclaim responsibility for any injury to people or property resulting from any ideas, methods, instructions or products referred to in the content.

Share and Cite

MDPI and ACS Style

Wang, S.; Mou, D.; Qi, X.; Wang, Z. Analysis of Multifractal Characteristics and Detrended Cross-Correlation of Conventional Logging Data Regarding Igneous Rocks. Fractal Fract. 2025, 9, 163. https://doi.org/10.3390/fractalfract9030163

AMA Style

Wang S, Mou D, Qi X, Wang Z. Analysis of Multifractal Characteristics and Detrended Cross-Correlation of Conventional Logging Data Regarding Igneous Rocks. Fractal and Fractional. 2025; 9(3):163. https://doi.org/10.3390/fractalfract9030163

Chicago/Turabian Style

Wang, Shiyao, Dan Mou, Xinghua Qi, and Zhuwen Wang. 2025. "Analysis of Multifractal Characteristics and Detrended Cross-Correlation of Conventional Logging Data Regarding Igneous Rocks" Fractal and Fractional 9, no. 3: 163. https://doi.org/10.3390/fractalfract9030163

APA Style

Wang, S., Mou, D., Qi, X., & Wang, Z. (2025). Analysis of Multifractal Characteristics and Detrended Cross-Correlation of Conventional Logging Data Regarding Igneous Rocks. Fractal and Fractional, 9(3), 163. https://doi.org/10.3390/fractalfract9030163

Article Metrics

Back to TopTop