Next Article in Journal
Fractional-Order Sliding Mode Terrain-Tracking Control of Autonomous Underwater Vehicle with Sparse Identification
Next Article in Special Issue
Nonlinear Analysis of the U.S. Stock Market: From the Perspective of Multifractal Properties and Cross-Correlations with Comparisons
Previous Article in Journal
Particle Flow Simulation of the Mechanical Properties and Fracture Behavior of Multi-Mineral Rock Models with Different Fractal Dimensions
Previous Article in Special Issue
Fractal-Based Robotic Trading Strategies Using Detrended Fluctuation Analysis and Fractional Derivatives: A Case Study in the Energy Market
 
 
Font Type:
Arial Georgia Verdana
Font Size:
Aa Aa Aa
Line Spacing:
Column Width:
Background:
Article

Multifractal Characteristics and Information Flow Analysis of Stock Markets Based on Multifractal Detrended Cross-Correlation Analysis and Transfer Entropy

1
School of Applied Science, Beijing Information Science and Technology University, Beijing 100192, China
2
Guangxi Key Laboratory of Trusted Software, Guilin University of Electronic Technology, Guilin 541004, China
*
Author to whom correspondence should be addressed.
Fractal Fract. 2025, 9(1), 14; https://doi.org/10.3390/fractalfract9010014
Submission received: 23 November 2024 / Revised: 21 December 2024 / Accepted: 26 December 2024 / Published: 30 December 2024

Abstract

Understanding cross-correlation and information flow between stocks is crucial for stock market analysis. However, traditional methods often struggle to capture financial markets’ complex and multifaceted dynamics. This paper presents a robust combination of techniques, integrating three advanced methods: Multifractal Detrended Cross-Correlation Analysis (MFDCCA), transfer entropy (TE), and complex networks. To address inherent non-stationarity and noise in financial data, we employ Ensemble Empirical Mode Decomposition (EEMD) for preprocessing, which helps reduce noise and handle non-stationary effects. The application and effectiveness of this combination of techniques are demonstrated through examples, uncovering significant multifractal properties and long-range cross correlations among the stocks studied. This combination of techniques also captures the magnitude and direction of information flow between stocks. This holistic analysis provides valuable insights for investors and policymakers, enhancing their understanding of stock market behavior and supporting better-informed portfolio decisions and risk management strategies.

1. Introduction

Stock markets are generally considered an important part of the economy. Among the key areas of study are multifractal characteristics and information flow between stocks, which offer insights into interactions and dependencies in financial markets. Despite the inherent challenges in understanding and modeling the operational patterns of stock markets as complex systems [1], significant progress has been made in analyzing the relationships between financial assets [2,3,4,5]. In this context, the multifractal analysis provides a quantitative framework for characterizing the heterogeneity and scaling behaviors of financial time series. In contrast, information flow analysis sheds light on the directional dependencies and causality among stocks. By combining these approaches, this study aims to uncover the underlying structures and dynamics of stock markets, offering valuable information for market participants in decision-making processes.
Presently, various methodologies have been suggested to elucidate the cross-correlation dynamics across stock markets, including fundamental correlation analysis [6,7], Granger causality [8], and mutual information analysis [9,10]. Each of these methodologies possesses distinct advantages and limits. Simple correlation analysis is comprehensible. Nevertheless, it is solely relevant to linear connections [11]. Furthermore, temporal aggregation may yield misleading consequences for Granger causality tests, as Granger causality has traditionally relied on the assumption of a linear vector autoregressive (VAR) model [12,13]. Mutual information does not rely on specific distributions of the variables, making it applicable to various data types; however, it is sensitive to noise in the data and may require significant computational resources [14].
Within the econophysics literature, a variety of multifractal methodologies have been employed to analyze the structure of financial markets [15]. Peng et al. [16] introduced detrended fluctuation analysis (DFA) to examine detrended auto-correlations and self-similarity in univariate non-stationary signals. DFA segments the time series, removes trends within each segment, and quantifies the fluctuations as a function of the segment size, revealing the monofractal scaling properties. By addressing the limitations of traditional statistical methods in handling non-stationary data, DFA provides a robust framework for detecting long-range correlations. However, it captures only monofractal features. To overcome this limitation, Kantelhardt et al. [17] proposed multifractal detrended fluctuation analysis (MFDFA), extending DFA by introducing a q-order fluctuation function. This enhancement enables the identification of heterogeneity in scaling behaviors, thus allowing the detection of multifractal structures within individual time series. Despite this advancement, MFDFA is restricted to univariate analysis and cannot capture interactions between multiple time series. Recognizing this gap, Podobnik and Stanley [18] developed detrended cross-correlation analysis (DCCA), which focuses on identifying cross correlations between two signals, even in the presence of non-stationarity. While effective, DCCA remains limited to monofractal analysis. To address these challenges, Zhou [19] proposed Multifractal Detrended Cross-Correlation Analysis (MFDCCA), which combines the multifractal spectrum analysis of MFDFA with the cross-correlation capabilities of DCCA. MFDCCA enables the simultaneous analysis of scaling heterogeneity and interdependence between two signals, making it particularly suitable for studying the complex interactions in financial markets.
Multifractal Detrended Cross-Correlation Analysis is widely applied in various fields. In the domain of natural sciences, Shadkhoo et al. [20] employed the MultiFractal Detrended Cross-Correlation Analysis (MFDCCA) method to examine the cross correlation of temporal and spatial interevent seismic data, revealing that these time series are interconnected across multiple scales and exhibit multifractal behavior. Zhuang et al. [21] performed a Multifractal Detrended Cross-Correlation Analysis in the crude oil market, revealing power-law cross correlations between the carbon and crude oil markets. Gong and Jia [22] employ Multifractal Detrended Cross-Correlation Analysis (MFDCCA) to investigate the multifractal characteristics of the cross correlation between Tesla stock price (TSLA) and Brent crude oil price, as well as between TSLA and other NEV stocks (excluding TSLA). The experimental results indicate persistent durability and diverse fractal characteristics in the cross-correlations. In econometrics, Ahmed et al. [23] investigate the nonlinear framework and dynamic variations in the multifractal characteristics of the cross-correlation between the financial stress index (FSI) and four major commodities indices. Their analysis indicates that all selected commodity market indices exhibit cross-correlations with the FSI. Acikgoz et al. [24] employ Multifractal Detrended Cross-Correlation Analysis (MFDCCA) on return and volatility series, revealing that green bonds and commodities display multifractal properties. The analysis demonstrates long-range power-law cross correlations between the two markets. MFDCCA is utilized in the cryptocurrency industry as well. Ma et al. [25] investigated the multifractality between Bitcoin and the U.S. Economic Policy Uncertainty Index, revealing a robust multifractal cross correlation. MFDCCA is predominantly utilized in the stock markets. Zhao et al. [26] demonstrated that MFDCCA is among the most successful techniques for identifying long-range cross-correlation between two non-stationary variables, illustrating the multifractal properties of the Chinese stock markets. Yin et al. [27] examined the multifractal characteristics of cross correlations among these financial time series with the MFDCCA method. Gu et al. [28] identified multifractal cross correlations between the SSEC and SZSE and between the DJI and NASDAQ, utilizing the EEMD-based MFDCCA methodology for their analysis. The cross correlation between the two Chinese stocks is more robust than the two U.S. stocks.
While MFDCCA proficiently captures the cross correlations of a bivariate time series, it cannot assess the directional flow of information. Transfer entropy [29] quantifies the direction and magnitude of information flow between distinct time series, offering enhanced insights. Consequently, integrating MFDCCA and transfer entropy methodologies facilitates a more thorough comprehension of the information flow between stocks and its underlying impact mechanisms.
Transfer entropy is a commonly employed technique for examining causality and information flow, adeptly quantifying the asymmetrical causal connections across time series through probability analysis. This approach, first developed by Schreiber in 2000, accurately tracks and quantifies information flow between nonlinear systems while discerning the direction of information transfer. The transfer entropy approach has been extensively utilized across several domains, such as biology [30], climate science [31], and neurology [32], especially within stock markets. Sandoval [33] employed transfer entropy to examine the causal links among the stocks of the 197 major global financial corporations from 2003 to 2012, evaluating which companies were most affected by the stocks of nations in crisis. Wang et al. [34] investigated the causal relationships among the values of Chinese mining equities over various time frames. The results demonstrate an asymmetric and time-dependent causative relationship between mining stocks and subindustries, with the strength of this causal association intensifying during periods of economic expansion. This paper employs the transfer entropy to measure information flow across eight stocks in the U.S. This approach is especially efficacious for assessing causal linkages in nonlinear time series, specifically about stock price time series.
Transfer entropy effectively reveals the information flow and causal relationships between different stocks in stock markets. However, relying solely on univariate time series analysis may not fully capture the complexity of stock markets. Traditional portfolio theory, such as Markowitz’s mean-variance optimization, emphasizes the importance of asset correlations in portfolio construction and risk management. According to Markowitz, understanding correlations between assets is crucial for minimizing portfolio risk and maximizing returns. However, traditional methods like Markowitz’s theory may not fully address the dynamic nature of financial markets. Therefore, in recent years, complex network methods have emerged as a new research trend to better model the financial markets. These methods treat stocks as nodes and correlations or causal relationships between them as edges, allowing for the exploration of information flow between stocks within financial markets [35,36,37].
Traditional research methods, such as Granger causality, rely on the assumptions of linear vector autoregressive (VAR) models, making them inadequate for capturing complex nonlinear relationships. Additionally, while mutual information can measure dependencies between variables, its symmetric nature prevents it from identifying the direction of information flow. These methods exhibit significant limitations, particularly when applied to non-stationary financial data. The paper proposes a combination of techniques that integrate MFDCCA, transfer entropy, and complex network analysis, leveraging their complementary strengths to overcome the shortcomings of traditional methods. Specifically, MFDCCA quantitatively analyzes the long-range correlations and multifractal characteristics in cross-correlations between stocks. Transfer entropy reveals the magnitude and direction of information flow, uncovering the causal relationships and the process of information transmission. Complex network analysis further investigates information flow patterns and the overall market structure by constructing weighted directed networks with stocks as nodes and the transfer entropy matrix as the adjacency matrix. Combining these methods, the proposed framework handles non-stationary data effectively and captures nonlinear relationships, offering new perspectives for understanding market dynamics, optimizing asset allocation, and improving risk management.
The following sections of this paper are organized as follows: Section 2 presents the combination of techniques and introduces the main methods within the combination—MFDCCA, transfer entropy, and complex networks; Section 3 presents the source of example data, preliminary test statistics, and applies the EEMD preprocessing to the example data; Section 4 provides an application example of the combination of techniques; and Section 5 presents our conclusions.

2. Methodology

Due to the nonlinear and volatile characteristics of the stock market, we first apply Ensemble Empirical Mode Decomposition (EEMD) [38] to remove noise from the stock data and extract the main trends. Subsequently, based on the work of Podobnik et al. [39], we use the DCCA coefficient to qualitatively measure the cross correlation between stocks. When the DCCA coefficient detects cross correlation between stocks, we further identify and quantify multifractal cross correlation. To achieve this, we apply the Multifractal Detrended Cross-Correlation Analysis (MFDCCA) to study the multifractal cross correlation between stocks. To capture the magnitude and direction of information flow, we also employ the transfer entropy, using the k-nearest neighbor algorithm to compute probabilities and obtain the information flow, aiming to study the asymmetric causal relationships between them. By treating stocks as nodes and using the matrix obtained from transfer entropy as the network’s adjacency matrix, we construct a directed weighted complex network. Analyzing various network metrics, we identify the most significant sources and receivers of information within the stock network. This combination of techniques holds significant implications for portfolio construction and risk management. The flowchart of the combination of techniques is shown below in Figure 1.

2.1. Multifractal Detrended Cross-Correlation Analysis–MFDCCA

This paper employs MFDCCA to examine the multifractal cross correlations among stocks. The MFDCCA algorithm (Algorithm 1) is described as follows:
Algorithm 1 MFDCCA Method
Step 1:Consider two time series x ( i ) and y ( i ) , i = 1 , 2 , , N , X ( i ) = i = 1 i ( x ( t ) x ¯ ) and Y ( i ) = i = 1 i ( y ( t ) y ¯ ) , where N is the length of the time series, x ¯ = 1 N t = 1 N x ( t ) , y ¯ = 1 N t = 1 N y ( t ) .
Step 2:Partition the profiles X ( i ) and Y ( i ) into N s = N / s non-overlapping segments of uniform length s. As the series length N is not required to be a multiple of the specified time scale s, a brief segment near the conclusion of the profiles may remain. The identical method is reiterated from the other end to incorporate this segment of the original series. Consequently, 2 N s segments are acquired.
Step 3:For each segment ν , where ν = 1 , 2 , , 2 N s , the local trends X ˜ ( i ) and Y ˜ ( i ) are determined by least-squares linear regression of the series. Consequently, for each segment ν , where ν = 2 , , 2 N s , the covariance of the residuals is computed as follows: F 2 ( s , ν ) = 1 s i = 1 s | X ( ( v 1 ) s + i ) X ˜ ν ( i ) | · | Y ( ( v 1 ) s + i ) Y ˜ ν ( i )   F 2 ( s , ν ) = 1 s i = 1 s | X ( N ( v N s ) s + i ) X ˜ ν ( i ) | · | Y ( N ( v N s ) s + i ) Y ˜ ν ( i ) for each segment ν , ν = N s + 1 , N s + 2 , , 2 N s .
Step 4:Then, average over all segments to obtain the q-order fluctuation function. F q ( s ) 1 2 N s ν = 1 2 N s [ F 2 ( s , ν ) ] q 2 1 q ,   f o r   a n y   q 0 ,   F 0 ( s ) = exp 1 4 N s ν = 1 2 N s ln [ F 2 ( s , ν ) ] ,   f o r   q = 0 , where the order q can take any real value. When q = 2 , the algorithm becomes the standard detrended cross-correlation analysis (DCCA).
Step 5:Ultimately, if two time series x ( i ) and y ( i ) exhibit long-range power-law cross correlation, then F q ( s ) s H ( q ) , where H ( q ) is referred to as the generalized cross-correlation exponent.
In this context, H ( q ) represents a generalized cross-correlation exponent, calculable by Equation (1), specifically as the slope of the log–log plot of F q ( s ) against s:
F q ( s ) s H ( q ) log F q ( s ) = H ( q ) log ( s ) + log C
where C is constant, and H ( q ) describes the scaling behavior of significant and minor fluctuations of positive and negative q, respectively. If the value of H ( q ) varies with q, the mutual correlation between two-time series exhibits multifractality; if not, it is categorized as monofractal. When scaling exponent H ( q ) > 0.5 , the cross correlation between two time series is long range, signifying that positive (or negative) fluctuations in one series are statistically likely to be followed by analogous positive (or negative) fluctuations in other series. Conversely, when 0 < H ( q ) < 0.5 , an anti-persistent cross correlation is present between two temporal time series. When H ( q ) = 0.5 , there is a lack of long-range cross correlation between the two time series. If series x ( i ) and y ( i ) are identical, the MFDCCA method is equivalent to MFDFA.
One measure of multifractal properties is the Δ H . Larger values of Δ H indicate a stronger multifractal cross correlation between two series:
Δ H ( q ) = H max ( q ) H min ( q )
Besides examining the log–log plot and scaling exponent H ( q ) , further evidence must be investigated to substantiate a multifractal link between the two series. Zou and Zhang [40] propose investigating the Renyi exponent:
τ ( q ) = q H ( q ) 1
If the Renyi exponent exhibits a nonlinear increasing trend with increasing q, it can be considered that the two time series have a multifractal cross-correlation relationship. Conversely, if the Renyi exponent shows a linear relationship with q, the two time series are characterized as monofractal.
Another method to assess the multifractality of cross correlation involves analyzing the singularity strength α and the multifractal spectrum f ( α ) . These values are computed through the Legendre transform:
α = τ = H ( q ) + q H ( q )
f ( α ) = q α τ ( q ) = q ( α H ( q ) ) + 1
In this context, α denotes the singularity strength or Hölder exponent. The multifractal spectrum f ( α ) is a concave function of the singularity strength α when multifractal cross correlation is present. Another indicator for measuring the degree of multifractality is as follows:
Δ α = α m a x α m i n
The Δ α represents the dispersion of the distribution. Δ α = 0 corresponds to a completely uniform distribution. The larger Δ α indicates that the distribution of the time series is more uneven, and the cross-correlation fluctuations between the indices are more intense. The greater the Δ α , the more robust the multifractal cross correlation between the two time series.

2.2. Transfer Entropy Based on KNN

Before introducing transfer entropy, it is necessary to discuss mutual information, which was initially proposed by Shannon et al. [41] in 1948. Mutual information measures the extent of information exchanged between two random variables [42]. By calculating mutual information, one can identify the dependency relationships between variables. Mutual information can still reflect their association, even when two variables do not exhibit a linear relationship. The mutual information of two sources, X and Y, can be defined as the quantity measured in bits per symbol:
I ( X ; Y ) = x X y Y p ( x , y ) log p ( x , y ) p ( x ) p ( y )
Furthermore, Kraskov et al. [43] introduced an enhanced estimation of mutual information I ( X ; Y ) utilizing entropy estimates obtained from k-nearest neighbor distances. The fundamental concept is depicted as follows.
Assume certain metrics are provided for the spaces spanned by X, Y, and Z = ( X , Y ) . Subsequently, we can order, for each point z i = ( x i , y i ) , i = 1 , , N , its neighbors based on the distance d i j = z i z j : d i j 1 d i j 2 d i j 3 . Comparable rankings can be conducted within the subspaces X and Y. The fundamental concept of [44,45,46] is to approximate H ( X ) based on the mean distance to the k-nearest neighbor, averaged across all x i . The estimation for MI is subsequently
I ( X ; Y ) = ψ ( k ) < ψ ( n x + 1 ) + ψ ( n y + 1 ) > + ψ ( N )
Here, ψ ( x ) is the digamma function ψ ( x ) = Γ ( x ) 1 d Γ ( x ) / d x . It satisfies the recursion ψ ( x + 1 ) = ψ ( x ) + 1 / x and ψ ( 1 ) = C , where C = 0.577 215 6 is the Euler–Mascheroni constant. We count the number n x ( i ) of points x j whose distance from x i is strictly less than ϵ ( i ) / 2 , and similarly for y instead of x. We denote by the averages both over all i [ 1 , , N ] and over all realizations of the random samples:
= N 1 i = 1 N E [ ( i ) ] .
However, mutual information concerning two random variables is symmetric and does not contain any directional sense. In contrast, transfer entropy is explicitly nonsymmetric, thereby reflecting the directionality of information flow, which addresses the limitations of mutual information. Schreiber introduced the transfer entropy (TE) approach [29] utilizing principles from information theory. It evaluates the information exchange between variables by investigating if the historical states of one variable might diminish uncertainty regarding the future states of another variable. The TE method quantifies the non-equilibrium causal relationship between two time series and effectively assesses the strength and asymmetry of coupling in dynamic systems [47]. Transfer entropy is defined as follows:
T x y ( k , l ) = p ( y n + 1 , y n ( k ) , x n ( l ) ) log p ( y n + 1 | y n ( k ) , x n ( l ) ) p ( y n + 1 | y n ( k ) ) ,
where X and Y denote two weakly smooth Markov processes of degree k and j [48], x j ( k ) = ( X i , X i 1 , , X i k + 1 ) , y i ( l ) = ( Y i , Y i 1 , , Y i l + 1 ) based on the Markov property of financial time series k = 1 and l = 1 in this paper [49]. So, the transfer entropy formula can be simplified to
T x y = p ( y n + 1 , y n , x n ) log p ( y n + 1 | y n , x n ) p ( y n + 1 | y n ) ,
T y x information flow can be calculated as well.
Kaiser et al. [50] listed the equivalence relationships between transfer entropy and conditional mutual information:
T x y = I ( y n + 1 ; x n | y n )
Therefore, this paper employs the k-nearest neighbors method to estimate mutual information, and then utilizes Equation (12) to convert the results into transfer entropy.

2.3. Complex Networks

Complex networks are a method for studying the dynamic behavior of systems by mapping time series into complex networks and exploring their topology. Consider a set of M time series defined as follows: X 1 = { x 11 , x 12 , , x 1 N } , X 2 = { x 21 , x 22 , , x 2 N } , X M = { x M 1 , x M 2 , , x M N } , where each sequence is of length N. Additionally, let A be an M M adjacency matrix representing a complex network:
A = 0 ω 1 , 2 ω 1 , M ω 2 , 1 0 ω M 1 , M ω M , 1 ω M , M 1 0
where ω i j denotes the weight between node i and node j. This paper uses the transfer entropy matrix between two time series as the network’s weight matrix. Thus, matrix A can be expressed in the following form:
A = 0 T E 1 , 2 T E 1 , M T E 2 , 1 0 T E M 1 , M T E M , 1 T E M , M 1 0
Weighted networks are widely presented in many natural relationships and provide a meaningful representation of the architecture of many complex systems [51]. The best-known parameter for characterizing the network topology in complex networks is the clustering coefficient (CC) [52]. The clustering coefficient of a node in a network represents a numerical indicator of the nodes clustered with other neighboring nodes. We calculate the weighted network’s weighted clustering coefficient (WCC) based on Equation (15):
C i ω = j , k ω i j ω i k ω j k 1 / 3 k i ( k i 1 ) , k i 0 , 1
where C i ω represents the local weighted clustering coefficient of node i. k i represents the degree of node i, and N denotes the number of nodes. A node’s clustering coefficient reflects the network’s local connectivity at that point.
This paper also consider the weighted degree (WD), as well as the net transfer entropy (NTE) [53] metric in the context of transfer entropy. ω i n ( i ) represents the in-weighted degree of node i, calculated as ω i n ( i ) = j ω j i , while ω o u t ( i ) represents the out-weighted degree of node i, calculated as ω o u t ( i ) = j ω i j .The calculation formulas for WD and NTE are shown in Equations (16) and (17).
W D ( i ) = ω i n ( i ) + ω o u t ( i )
N E T ( i ) = ω o u t ( i ) ω i n ( i )
The weighted degree considers both the in-degree and out-degree of a node, reflecting the overall connection strength of the node within the network. A higher weighted degree indicates a more vigorous interaction intensity between the node and other nodes. Nodes with high-weighted degrees typically occupy central positions in the network and play essential roles. These nodes may serve as hubs or key players for information.
Net transfer entropy reflects the difference between the information flowing out of a node and the information flowing into it. A positive value indicates that the outflow of information exceeds the inflow, while a negative value suggests that the inflow exceeds the outflow. The sign of net transfer entropy can be used to determine the role of a node in information propagation. A positive value implies that the node may act as a source of information, while a negative value indicates that the node is more inclined to be a receiver of information.

3. Example Data Description and Preprocessing

The paper selects a sample to investigate the multifractal cross correlations and information flow among eight stocks from different industries in the U.S. Specifically, we analyze the daily closing price data of the following stocks: JPMorgan Chase & Co., New York, NY, USA, (JPM), Apple Inc., Los Altos, CA, USA (AAPL), Exxon Mobil Corporation, Houston, TX, USA, (XOM), Johnson & Johnson, New Brunswick, NJ, USA (JNJ), Procter & Gamble Co., Cincinnati, OH, USA (PG), Vodafone Group Plc, Berkshire, UK, (VOD), General Electric, Boston, MA, USA (GE), and Simon Property Group, Inc., Indianapolis, IN, USA (SPG). For detailed information, please refer to Table 1. These stocks were selected based on their market share within their respective industries. The stock data used in this study were sourced from Yahoo Finance and downloaded using the Python 3.11.4 library yfinance. The dataset includes daily closing price data from 4 January 2010 to 14 October 2024, comprising a total of 3720 observations.

3.1. Data Description

Table 2 provides the descriptive statistics for eight stocks in the U.S. All eight stocks exhibit kurtosis values below 3, indicating relatively flat distributions. VOD has the smallest standard deviation, suggesting lower price volatility, making it suitable for risk-averse investors. In contrast, AAPL has the highest standard deviation, indicating significant price fluctuations for AAPL stock, which attracts risk-seeking investors. JPM, AAPL, PG, and GE show positive skewness, with values greater than 0 but less than 1, reflecting a longer right tail and an upward bias, which implies relatively higher upside risks. The remaining four stocks exhibit negative skewness, with values less than 0 but greater than −1, indicating a longer left tail and a downward bias, suggesting lower upside risks. Additionally, the p-values from the JB test indicate that the data for these eight stocks are non-normally distributed.

3.2. Data Preprocessing

Multiple research studies have evidenced the stock market’s nonlinear and volatile characteristics [54,55]. Wu et al. [38] presented the Ensemble Empirical Mode Decomposition (EEMD), which effectively decomposes unstable and nonlinear signals. The recovered oscillations reliably represent the time series since EEMD operates purely a posteriori, with the decomposition process grounded in the local time scale of the time series. EEMD performs EMD many times to mitigate noise effects and incorporates Gaussian white noise into the original signal. The findings are subsequently averaged. This enhances the stability and accuracy of decomposition, addresses mode mixing, and maintains the advantages of EMD. The following are the steps of the EEMD algorithm (Algorithm 2).
Algorithm 2 EEMD method
Step 1:Add a group of white noise ϵ ( t ) to form a new signal X ( t ) :
X ( t ) = x ( t ) + ϵ ( t )
Step 2:Perform EMD decomposition on X ( t ) to obtain n IMF components and a residual:
X ( t ) = i = 1 n I M F i + r
Step 3:Add N groups of different white noises to the original time series signal x ( t ) and
repeat the previous steps:
X i ( t ) = x ( t ) + ϵ i ( t ) , i ( 1 , N )
Step 4:After EMD decomposition, the IMFs of each group can be expressed as follows:
X i ( t ) = j = 1 n h i j + r i , i ( 1 , N )
Step 5:The average value of the decomposed IMFs is obtained as the final result:
h j ( t ) = 1 N i = 1 N h i j ( t ) , r ( t ) = 1 N i = 1 N r i ( t )
where h j ( t ) is the jth IMF component obtained by EEMD decomposition of the
original series.
The quantity of white noise introduced is represented by N. We establish the amplitude of white noise at 0.25 and the quantity at 2000. This section presents the results of the Ensemble Empirical Mode Decomposition (EEMD) applied to Apple Inc. (AAPL) stock data.
Figure 2 shows the results of applying the EEMD method to AAPL stock data, illustrating the decomposition into modes from IMF1 to IMF10. Lower-order IMFs (such as IMF1-IMF3) typically correspond to the signal’s high-frequency fluctuations or noise components. These components may not provide useful information and can increase the complexity of the analysis. Therefore, excluding lower-order IMFs helps remove high-frequency noise while preserving the main trends and periodicity of the signal. Higher-order IMFs (such as IMF8-IMF10) generally represent lower-frequency components, which may align better with the assumption of long-term trends. For example, in stock market data, lower-frequency components typically reflect long-term fluctuations or cyclical behavior, while higher-frequency components may more often capture short-term fluctuations or noise. Selecting these higher-order IMFs makes it possible to capture better the long-term trends and structural fluctuations in financial markets. The final plot represents the residual component, indicating the portion of the original data that remains unexplained by the IMF components. This residual reflects the long-term trend in the data.
Table 3 presents five metrics for screened and reconstructed IMFs, with lnE and lnT representing natural logarithms of mean energy and mean period. The last column indicates the variance contribution ratio, which reflects the ratio of the variance of IMF to that of the original series. Figure 3 visualizes the significance of each IMF relative to the expected significance from white noise. It computes two confidence interval lines for white noise at the 90 % and 95 % significance levels, which serve as references for assessing the significance of the IMFs. This allows for determining which IMFs are statistically significant at given confidence levels. Based on a comprehensive analysis of Table 3 and Figure 3, the paper selects IMF8, IMF9, IMF10, and residual sequence to reconstruct the AAPL series. This concludes data preprocessing for the AAPL dataset, and a similar approach is applied to other datasets.
For unified analysis, we normalize daily closing prices of eight stocks to range [ 0 , 1 ] and present the original data 3D plot in Figure 4 as well as the 3D plot of the data after EEMD processing in Figure 5. The series after EEMD processing is smoother, reducing high-frequency fluctuations and noise in original data. This facilitates a better reveal of the underlying trends and periodic features.

4. Application Example of the Combination of Techniques

4.1. DCCA Coefficient

The detrended cross-correlation coefficient integrates detrended cross-correlation analysis (DCCA) and detrended fluctuation analysis (DFA) to qualitatively assess bivariate cross-correlations.The DCCA coefficient ρ D C C A represents the ratio of the fluctuation function of detrended covariance F D C C A 2 ( x , y ) to the product of the two detrended variances F D F A 2 ( x ) and F D F A 2 ( y ) :
ρ D C C A = F D C C A 2 ( x , y ) F D F A ( x ) F D F A ( y )
where F D C C A 2 ( x , y ) represents the detrended covariance wave function of the two time series { x ( t ) } and { y ( t ) } . F D F A ( x ) and F D F A ( y ) are the detrended covariance fluctuation functions for a single time series { x ( t ) } and { y ( t ) } respectively. ρ DCCA ranges from 1 < ρ DCCA < 1 [56]. ρ DCCA = 1 shows perfectly antipersistent cross comovement; when ρ DCCA = 1 , there is a perfect cross correlation between the two series; if ρ DCCA = 0 , there is no cross correlation. The DCCA coefficients for the eight pairs of time series are plotted in Figure 6. All the DCCA coefficients 0 < ρ D C C A < 1 indicate the presence of nonlinear correlations between JPM stock and the other seven stocks. The p D C C A coefficients are mostly increasing with time scale s, implying that the interconnectedness of JPM and other seven stocks has long-range interactions.

4.2. MFDCCA

Although the DCCA coefficients have proven effective in assessing cross correlations within multivariate time series, their application is inherently qualitative in nature. Therefore, to quantify the multifractal cross correlations among the eight stocks, we employ the Multifractal Detrended Cross-Correlation Analysis (MFDCCA) method. This approach is applied to the reconstructed time series data of the JPMorgan Chase (JPM) stock, as well as to the reconstructed time series data of the other seven stocks.
In the MFDCCA method, values of segment lengths s and q must be carefully selected [57]. If s is less than 10, the polynomial fitting error tends to increase, leading to greater systematic deviations in the behavior of the time-varying scale. Consequently, in this paper, the value of s is set within the range of [10, 500] with 50 points. The value of q is taken from the interval [ 5 , 5 ] , with a total of 11 values.
Figure 7 presents a log–log plot of the fluctuation function F q ( s ) against the time scale s for both JPM and AAPL, as well as JPM and XOM, JPM and JNJ, JPM and PG, JPM and VOD, JPM and GE, and JPM and SPG. As observed in Figure 7, the fluctuation function rises with increasing s, and all curves demonstrate linear correlation at varying q values, signifying the existence of power law behavior and multifractal cross correlation among JPM, AAPL, XOM, JNJ, PG, VOD, GE, and SPG. The results indicate that the price fluctuations of JPM are more likely to trigger price fluctuations in the other seven stocks. Nonetheless, numerous records do not demonstrate a straightforward monofractal scaling behavior, which a singular scaling exponent cannot describe. In certain instances, there are crossover (time) scales s * [58,59] that delineate regimes characterized by distinct scaling exponents. Unique scaling laws and scaling exponents for time scales exceed and fall below s * . It can be observed in Figure 7 that the log–log plots of JPM with XOM show more crossovers, indicating that their scaling behavior varies across multiple scales with different local scaling characteristics. This suggests the presence of relatively strong multifractal cross correlation. In contrast, the log–log plots of JPM with SPG are relatively smooth, with fewer crossovers, indicating that they exhibit similar scaling behavior across most scales, with consistent trends or volatility. This generally suggests weaker multifractal cross correlation.
From an industry perspective, as a financial services company, JPM is more sensitive to broader economic and monetary policy changes. In contrast, XOM, as a company in the energy industry, is significantly influenced by fluctuations in energy prices, such as oil and natural gas. These factors are often subject to rapid and multi-scale variations, which may lead to stronger multifractal cross correlation between XOM and JPM over certain periods. On the other hand, SPG, representing the real estate industry, is more closely tied to the stability of the real estate market and long-term economic cycles. The smoothness of the log–log plots between JPM and SPG reflects these more stable and predictable dynamics, resulting in weaker multifractal cross correlation. The slope of the double-logarithmic curve in Figure 7 indicates the Hurst exponent H ( q ) for various orders of q, with the results presented in Figure 8. We examine the Hurst exponent to determine whether the cross-correlation is a random walk or exhibits a multifractal structure. Empirical results show that the H ( q ) for all stock pairs exceeds 0.5, indicating that the cross correlation between the JPM and the other seven stocks is not a random walk.
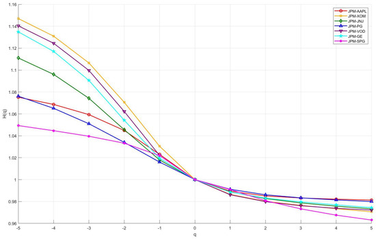
As is commonly understood, multifractality is observed when the scaling exponent H ( q ) varies with different q values, while, conversely, it is monofractal when this exponent remains constant. Figure 8 illustrates the decrease in H ( q ) as the value of q increases, indicating apparent multifractal characteristics. The causes of these multifractal characteristics may involve several aspects. Firstly, the price fluctuations between these stocks exhibit a certain degree of long-range correlation, which persists across different time scales. Secondly, the diversity of market participants and the information asymmetry impact the long-range correlations between different time series, thereby leading to multifractal phenomena. Finally, the impact of extreme events, such as market crashes or rapid rebounds, also plays a crucial role. Since these stocks come from different industries and have distinct risk characteristics, extreme events may have varying effects on them, thus resulting in cross correlations of multifractality. The varying trends of the H ( q ) curves for different stock pairs indicate that their multifractal characteristics are distinct. This may reflect the differences in factors such as the industries and scales to which these stocks belong.
Further, we investigate the direction of multifractal cross correlations with the Hurst exponent at q = 2 . The Hurst exponent H ( 2 ) for JPM and the other seven stocks is more significant than 0.5, indicating the long-range persistent multifractal cross correlation. For 5 q 5 , the cross-correlation index H ( q ) for JPM and the other seven stocks pair consistently exceeds 0.5, so cross correlation between these series persists irrespective of the magnitude of fluctuations. This indicates that when one stock price series experiences small fluctuations, the corresponding other stock price series also exhibits small fluctuations. Similarly, when one stock price series encounters large fluctuations, the other shares follow suit with large fluctuations.
In addition to the findings on the power law relationship of the fluctuation function and time scale and the generalized Hurst exponent, we present multifractal spectrum f ( α ) in Figure 9. Figure 9 presents the singularity strength α and multifractal spectrum f ( α ) . The multifractal spectrum curves for the JPM stock and the other seven stocks all exhibit a concave function shape, a typical characteristic of a multifractal system. The concave function reflects the multi-scale nonlinearity and heterogeneity present in the time series. The varying trends of the multifractal spectrum curves for different stocks indicate that their multifractal characteristics are distinct. This may be attributed to differences in factors such as the industries, scales, and trading mechanisms to which these stocks belong. The width of the curves reflects the strength of the multifractal features. The wider the curve, the stronger the sequence’s multifractal properties. As can be seen from Figure 9, the curve widths differ significantly across the stock pairs. Therefore, we can further conclude that there is a strongly fractal cross correlation between JPM and the other seven stocks.
We compute the multifractality degree Δ H ( q ) and the multifractality spectrum width Δ α using Equation (2) and Equation (6), respectively, in order to assess the mulfractality cross correlations. The strength of the multifractal cross correlation is positively correlated with Δ H ( q ) and Δ α . The results are shown in Figure 10. It is evident from the results that the rank of Δ H ( q ) is as follows: Δ H J P M X O M > Δ H J P M V O D > Δ H J P M G E > Δ H J P M J N J > Δ H J P M A A P L > Δ H J P M P G > Δ H J P M S P G . The ranking of Δ α is the same as the ranking of Δ H , except that Δ α J P M V O D < Δ α J P M G E , which is the opposite. This indicates a strong multifractal cross correlation between JPM and XOM, suggesting that the relationship between JPM and XOM is more complex. The more intricate the interaction between assets, the lower the stability of their price fluctuations may be, leading to greater risks. In contrast, the weaker multifractal cross correlation between JPM and SPG suggests a lower multifractal strength between them, making JPM and SPG a more favorable choice for investors. Selecting a JPM-SPG combination in a portfolio could reduce financial risk and increase the profit potential. Additionally, the multifractal cross correlation between JPM and VOD, as well as between JPM and GE, is also strong.

4.3. TE Based on KNN

Although Multifractal Detrended Cross-Correlation Analysis (MFDCCA) can quantify the multifractal cross correlation between two stocks, it has certain limitations, such as the inability to determine the direction and strength of information transfer. Therefore, this paper further employs transfer entropy to analyze the information flow among the eight stocks comprehensively. In this study, we calculate the transfer entropy between every pair of the eight stocks, with each sequence having a length of 3720. After iterating through each pair, we obtain the corresponding 8 × 8 transfer entropy matrix A as detailed in Table 4.
Observing Table 4, the main information source for each stock is listed from the perspective of information inflow.
  • JNJ→JPM, indicating a certain level of correlation between the two stocks, where fluctuations in JNJ may influence the performance of JPM. Therefore, when holding both stocks in an investment portfolio, investors should be aware of the risk transmission between them, avoid excessive concentration, and appropriately allocate assets with lower correlations to diversify risk.
  • JPM→AAPL, suggesting that JPM has a significant influence on AAPL. This relationship suggests that investors need to pay close attention to the interconnection between JPM and AAPL, particularly during periods of market volatility, as capital flows from JPM may amplify the price movements of AAPL.
  • PG→XOM, indicating that PG has a significant influence on XOM. This may be due to the substantial demand for energy in the production and transportation of consumer goods, especially as PG, a major player in the consumer goods industry, may be impacted by fluctuations in energy prices.
  • AAPL→JNJ, showing that the influence of AAPL on JNJ should not be overlooked. Technological innovations in medical devices, digital health, and health management are transforming the operations of the traditional healthcare industry, which in turn affects JNJ.
  • AAPL→PG, indicating that the influence AAPL on PG is growing. With the rise in e-commerce and digital marketing, AAPL provides PG with new sales channels and operational models, driving its transformation and development.
  • PG→VOD, suggests PG has a strong influence on VOD. This may be because PG relies on telecommunications services for market promotion and communication with consumers, and the quality and cost of telecom services can impact the stock price fluctuations of VOD.
  • JNJ→GE, indicating that JNJ has a significant impact on GE. Advances in medical devices and technology are driving innovation, and the demand from JNJ directly influences production activities, thereby affecting GE.
  • AAPL→SPG, demonstrating that AAPL has a significant impact on SPG. The application of Apple’s technologies in the real estate industry is becoming increasingly widespread, with developments such as smart homes and building automation changing the operational models and market demands of the real estate.
In addition, from the perspective of information outflow, the maximum information outflows for the eight stocks are as follows: JPM → XOM, AAPL → XOM, XOM → SPG, JNJ → GE, PG → XOM, VOD → XOM, GE → XOM, SPG → XOM.
In summary, the largest information outflow from AAPL can be attributed to the following reasons: As one of the largest technology companies in the world, AAPL holds significant market influence. Known for its continuous innovation, AAPL consistently introduces new technologies and products that drive development across various areas and impact the operations of other companies. Its products and services are widely applied, leading to more frequent information flow between AAPL and other stocks, thereby enhancing its role as an information bridge. At the same time, the largest information inflow for XOM can be attributed to the following reasons: As one of the world’s largest oil and gas companies, the XOM stock price is highly dependent on energy prices, particularly those of oil and natural gas. Global energy price fluctuations are typically influenced by various factors, including international supply and demand dynamics, decisions made by OPEC (the Organization of the Petroleum Exporting Countries), geopolitical events (such as conflicts in the Middle East), and changes in the global economy. For instance, when global economic growth slows or political conflicts arise in certain regions, the energy demand and supply chains may be significantly affected, leading to sharp price fluctuations. Additionally, the OPEC production cut agreements or decisions to increase production can directly impact the global oil supply, further causing the XOM stock price volatility. Consequently, the XOM stock price is highly sensitive to these factors. This sensitivity links the XOM stock performance closely to other stocks, reflected in the transfer entropy calculations as higher information inflow. The heatmap below also reaches similar conclusions.
Figure 11 is a heatmap of transfer entropy among the eight stocks. The darker the color, the greater the transfer entropy value between the two stocks, indicating stronger information flow. XOM, GE, and SPG receive more information flow, while AAPL receives less. In contrast, AAPL has more outgoing information, suggesting that AAPL may be an important source of information in the entire network. For a more refined analysis, this paper constructs a directed weighted network using these eight stocks as nodes and the transfer entropy matrix as the weights as shown in Figure 12. Additionally, the weighted out-degree, weighted in-degree, weighted degree, net transfer entropy, and clustering coefficients of each node are calculated and listed in Table 5.

4.4. Complex Networks

In this section, the transfer entropy matrix in Table 4 is used as the adjacency matrix of the network, and the eight stocks in the example of this paper—JPM, AAPL, XOM, JNJ, PG, VOD, GE, and SPG—are used as nodes of the network to construct a directed weighted network graph.
Figure 12 shows the information flow relationships among the eight stocks. The positions of the nodes and connections reflect the magnitude and direction of the transfer entropy between different stocks. The color of the connections represents the strength of information interaction: yellow lines indicate minor information flow, with transfer entropy values less than or equal to 0.1; red lines represent medium information flow, with transfer entropy values between (0.1, 0.2]; and purple lines denote the strongest information flow, with transfer entropy values greater than 0.2.
Observing Figure 12, we can see that the XOM and GE nodes have the most purple lines, indicating they have the strongest inbound and outbound information flows among all the stocks. This suggests that these two stocks are highly active and play important hub roles within the financial network. A set of metrics for this directed weighted network is shown in Table 5.
Observing Table 5, the elevated ω o u t value of AAPL indicates its significant influence and broad impact on other stocks. In contrast, XOM exhibits the highest ω i n value, suggesting the sensitivity of XOM to fluctuations in other stocks. The high WD values of XOM and GE indicate that they are important components of the overall network and actively participate in the supply chain. This may be due to XOM’s involvement in the energy supply chain, which could have cascading effects on multiple stocks during market fluctuations. Similarly, GE’s role in the industrial and technological sectors could shape broader market trends. From an investor’s perspective, these central positions highlight opportunities to leverage their influence for portfolio optimization while recognizing the risks associated with their systemic importance.
The positive NTE values for JPM, AAPL, JNJ, and PG indicate their positive predictive capacity or influence over other stocks. Notably, AAPL’s NTE value of 0.751 further solidifies its leadership role, suggesting that its market performance and strategic decisions have a significant positive impact on other stocks. In contrast, the negative NTE values for XOM, VOD, GE, and SPG indicate that these stocks are more sensitive to fluctuations in other stocks. XOM’s NTE value of 0.7019 may suggest XOM’s sensitivity to external factors, such as policy changes and fluctuations in market demand. Furthermore, the high WCC values for AAPL and JNJ indicate their strong competitive presence and influence in the market, while XOM and GE exhibit lower WCC.

5. Conclusions

The chaotic and fractal characteristics of the financial stock market and the information flow between stocks have long been a research hotspot. However, traditional research methods are often too one-sided, lacking a comprehensive analytical perspective, and fail to reveal the complexity and dynamic features of the market entirely. This paper integrates multiple advanced techniques, such as Multifractal Detrended Cross-Correlation Analysis (MFDCCA), transfer entropy, and complex networks, to provide a robust and multidimensional approach aimed at exploring the dynamic features of the stock market in greater depth.
Firstly, the EEMD method decomposes the stocks under study into several intrinsic mode functions (IMFs) and residual sequences, effectively removing noise and extracting the primary trends. A reconstructed sequence of stocks is obtained by combining various indicators derived from the selected IMF sequences. Next, the reconstructed sequence undergoes DCCA coefficient testing: if the DCCA coefficient indicates no cross correlation between the stocks, the study is deemed meaningless, necessitating a change in data; if cross correlation is found, the next step involves MFDCCA to conduct multifractal cross-correlation analysis, quantitatively examining the long-term persistence of cross-correlation among stocks and their multifractal characteristics. The transfer entropy values between the reconstructed sequences are further calculated to capture the magnitude and direction of information flow, resulting in a transfer entropy matrix. Finally, the reconstructed sequences serve as nodes in a network, while the transfer entropy matrix acts as the adjacency matrix to construct a weighted directed network. By analyzing network metrics such as node degree and clustering coefficients, this study investigates the information flow patterns between stocks and the complex dynamic features of the stock market. Through this comprehensive analysis, the paper reveals the complexity, long-term dependence, and inherent nonlinear and multifractal properties of the stock market, providing new perspectives and methods for further understanding and predicting stock market behavior.
The above outlines the specific process of the technical combination proposed in this paper. A case study is also provided to demonstrate its application and effectiveness. Applying the technical combination reveals the long-term persistence of the cross-correlation and multifractal characteristics among the eight stocks under study, with the strongest long-range correlation observed between JPM and XOM. The technical combination also captures the magnitude and direction of information flow between the two stocks. This technical combination has significant implications for portfolio management.
Generally, the JPM-SPG pair exhibits the lowest persistent cross correlation for portfolio implications. Therefore, these two assets can be combined for diversification in long positions. Since the JPM-XOM pair shows higher and persistent cross correlation for short traders, they can be considered as opposite positions. However, investors may consider other assets depending on their risk preferences. Based on the distribution of transfer entropy, one can identify which stocks have strong correlations. Over-reliance on stocks with high transfer entropy may lead to concentrated risk. Therefore, selectively including stocks with low transfer entropy can help diversify risk when constructing a portfolio.
The main contribution of this paper lies in providing a robust and multifaceted approach aimed at studying the dynamic characteristics of the stock market. This combined approach offers a new research perspective and provides a comprehensive analysis of the complexity of the stock market, with significant implications for portfolio construction and risk management. In the future, if the research is to be expanded to a more macro level, such as exploring the interrelationships between industries, it is suggested to aggregate industry-level indices, including additional macroeconomic variables, or attempt randomization and robustness analysis. Another potential avenue for research could involve examining multifractal dynamics through time-varying analysis. Our study primarily focuses on a full-sample analysis; however, it is essential to acknowledge that complex dynamics may undergo variations over time. Investigating these dynamics across different periods could provide valuable insights into the evolving nature of the multifractal characteristics associated with stocks.

Author Contributions

Conceptualization, J.H.; methodology, J.H.; software, W.Z.; validation, J.H. and W.Z.; formal analysis, W.Z.; investigation, J.H. and W.Z.; resources, M.W.; data curation, W.Z.; writing—original draft preparation, W.Z.; writing—review and editing, J.H. and M.W.; visualization, J.H. and W.Z.; supervision, J.H. and M.W.; project administration, M.W.; funding acquisition, M.W.; All authors have read and agreed to the published version of the manuscript.

Funding

This research was partially funding supported by the National Natural Science Foundation of China (No. 12272058 and No. 42164002).

Data Availability Statement

Publicly available datasets were analyzed in this paper. These data can be found here: https://finance.yahoo.com (accessed on 14 October 2024).

Acknowledgments

The authors gratefully acknowledge the support of the funding sources.

Conflicts of Interest

The authors declare no conflicts of interest.

References

  1. Kuhlmann, M. Explaining financial markets in terms of complex systems. Philos. Sci. 2014, 81, 1117–1130. [Google Scholar] [CrossRef]
  2. Figliola, A.; Zunino, L.; Serrano, E. Multifractal Characterization of the Stock Market Inefficiency Using the Wavelet Leaders Method. Adv. Appl. Stat. Sci. 2010, 2, 287–302. [Google Scholar]
  3. Surez-Garca, P.; Gmez-Ullate, D. Multifractality and Long Memory of a Financial Index. Phys. A 2014, 394, 226–234. [Google Scholar] [CrossRef]
  4. Qiu, L.; Yang, H. Transfer Entropy Calculation for Short Time Sequences with Application to Stock Markets. Phys. Stat. Mech. Its Appl. 2020, 559, 125121. [Google Scholar] [CrossRef]
  5. Vicente, R.; Wibral, M.; Lindner, M.; Pipa, G. Transfer Entropy: A Model-Free Measure of Effective Connectivity for the Neurosciences. J. Comput. Neurosci. 2011, 30, 45–67. [Google Scholar] [CrossRef] [PubMed]
  6. Zou, K.H.; Tuncali, K.; Silverman, S.G. Correlation and simple linear regression. Radiology 2003, 227, 617–628. [Google Scholar] [CrossRef] [PubMed]
  7. Zhang, Z.; Zhang, Y.; Shen, D.; Zhang, W. The dynamic cross-correlations between mass media news, new media news, and stock returns. Complexity 2018, 2018, 7619494. [Google Scholar] [CrossRef]
  8. Shan, J.; Pappas, N. The relative impacts of Japanese and US interest rates on local interest rates in Australia and Singapore. Appl. Financ. Econ. 2000, 10, 291–298. [Google Scholar] [CrossRef]
  9. Abigail, J. A complex network model for seismicity based on mutual information. Phys. A 2013, 392, 2498–2506. [Google Scholar]
  10. Fiedor, P. Networks in financial markets based on the mutual information rate. Phys. Rev. E 2014, 89, 052801. [Google Scholar] [CrossRef] [PubMed]
  11. Bland, J.M.; Altman, D.G. Statistical methods for assessing agreement between two methods of clinical measurement. Lancet 1986, 327, 307–310. [Google Scholar] [CrossRef]
  12. Ghysels, E.; Hill, J.B.; Motegi, K. Testing for Granger causality with mixed frequency data. J. Econom. 2016, 192, 207–230. [Google Scholar] [CrossRef]
  13. Shojaie, A.; Fox, E.B. Granger causality: A review and recent advances. Ann. Rev. Stat. Appl. 2022, 9, 289–319. [Google Scholar] [CrossRef]
  14. Dionisio, A.; Menezes, R.; Mendes, D.A. Mutual information: A measure of dependency for nonlinear time series. Phys. Stat. Mech. Its Appl. 2004, 344, 326–329. [Google Scholar] [CrossRef]
  15. Pan, Y.; Hou, L.; Pan, X. Interplay between stock trading volume, policy, and investor sentiment: A multifractal approach. Phys. A Stat. Mech. Its Appl. 2022, 603, 127706. [Google Scholar] [CrossRef]
  16. Peng, C.-K.; Buldyrev, S.V.; Havlin, S.; Simons, M.; Stanley, H.E.; Goldberger, A.L. Mosaic organization of DNA nucleotides. Phys. Rev. E 1994, 49, 1685–1689. [Google Scholar] [CrossRef] [PubMed]
  17. Kantelhardt, J.W.; Zschiegner, S.A.; Koscielny-Bunde, E.; Havlin, S.; Bunde, A.; Stanley, H.E. Multifractal detrended fluctuation analysis of nonstationary time series. Phys. A Stat. Mech. Its Appl. 2002, 316, 87–114. [Google Scholar] [CrossRef]
  18. Podobnik, B.; Stanley, H.E. Detrended cross-correlation analysis: A new method for analyzing two nonstationary time series. Phys. Rev. Lett. 2008, 100, 84102. [Google Scholar] [CrossRef]
  19. Zhou, W.-X. Multifractal detrended cross-correlation analysis for two nonstationary signals. Phys. Rev. E 2008, 77, 66211. [Google Scholar] [CrossRef]
  20. Shadkhoo, S.; Jafari, G.R. Multifractal detrended cross-correlation analysis of temporal and spatial seismic data. Eur. Phys. J. B 2009, 72, 679–683. [Google Scholar] [CrossRef]
  21. Zhuang, X.; Wei, Y.; Zhang, B. Multifractal detrended cross-correlation analysis of carbon and crude oil markets. Phys. A Stat. Mech. Its Appl. 2014, 399, 113–125. [Google Scholar] [CrossRef]
  22. Gong, X.; Jia, G.Z. Exploring the Cross-Correlations between Tesla Stock Price, New Energy Vehicles and Oil Prices: A Multifractal and Causality Analysis. Fluct. Noise Lett. 2024, 23, 2450024. [Google Scholar] [CrossRef]
  23. Ahmed, H.; Aslam, F.; Ferreira, P. Navigating Choppy Waters: Interplay between Financial Stress and Commodity Market Indices. Fractal Fract. 2024, 8, 96. [Google Scholar] [CrossRef]
  24. Acikgoz, T.; Gokten, S.; Soylu, A.B. Multifractal Detrended Cross-Correlations between Green Bonds and Commodity Markets: An Exploration of the Complex Connections between Green Finance and Commodities from the Econophysics Perspective. Fractal Fract. 2024, 8, 117. [Google Scholar] [CrossRef]
  25. Ma, J.; Wang, T.; Zhao, R. Quantifying cross-correlations between economic policy uncertainty and Bitcoin market: Evidence from multifractal analysis. Discret. Dyn. Nat. Soc. 2022, 2022, 1072836. [Google Scholar] [CrossRef]
  26. Zhao, X.; Shang, P.; Shi, W. Multifractal cross-correlation spectra analysis on Chinese stock markets. Phys. A Stat. Mech. Its Appl. 2014, 402, 84–92. [Google Scholar] [CrossRef]
  27. Yin, Y.; Shang, P. Modified cross sample entropy and surrogate data analysis method for financial time series. Phys. A Stat. Mech. Its Appl. 2015, 433, 17–25. [Google Scholar] [CrossRef]
  28. Gu, D.; Huang, J. Multifractal detrended cross-correlation analysis of high-frequency stock series based on ensemble empirical mode decomposition. Fractals 2020, 28, 2050035. [Google Scholar] [CrossRef]
  29. Schreiber, T. Measuring information transfer. Phys. Rev. Lett. 2000, 85, 461. [Google Scholar] [CrossRef] [PubMed]
  30. Servadio, J.L.; Convertino, M. Optimal information networks: Application for data-driven integrated health in populations. Sci. Adv. 2018, 4, e1701088. [Google Scholar] [CrossRef] [PubMed]
  31. Tongal, H.; Sivakumar, B. Forecasting rainfall using transfer entropy coupled directed-weighted complex networks. Atmos. Res. 2021, 255, 105531. [Google Scholar] [CrossRef]
  32. Gao, Y.; Su, H.; Li, R.; Zhang, Y. Synchronous analysis of brain regions based on multi-scale permutation transfer entropy. Comput. Biol. Med. 2019, 109, 272–279. [Google Scholar] [CrossRef] [PubMed]
  33. Sandoval, L., Jr. Structure of a global network of financial companies based on transfer entropy. Entropy 2014, 16, 4443–4482. [Google Scholar] [CrossRef]
  34. Wang, X.; Gao, X.; Wu, T.; Sun, X. Dynamic multiscale analysis of causality among mining stock prices. Resour. Policy 2022, 77, 102708. [Google Scholar] [CrossRef]
  35. Gao, A.; Sun, M.; Han, D.; Shen, C. Multiresolution analysis of information flows from international carbon trading market to the clean energy stock market. J. Renew. Sustain. Energy 2020, 12, 055901. [Google Scholar] [CrossRef]
  36. Seong, N.; Nam, K. Forecasting price movements of global financial indexes using complex quantitative financial networks. Knowl. Based Syst. 2022, 235, 107608. [Google Scholar] [CrossRef]
  37. Chen, T.; Li, Y.; Jiang, X.; Shao, L. Spatiotemporal patterns of risk propagation in complex financial networks. Appl. Sci. 2023, 13, 1129. [Google Scholar] [CrossRef]
  38. Wu, Z.; Huang, N.E. Ensemble empirical mode decomposition: A noise-assisted data analysis method. Adv. Adapt. Data Anal. 2009, 1, 1–41. [Google Scholar] [CrossRef]
  39. Podobnik, B.; Jiang, Z.Q.; Zhou, W.X.; Stanley, H.E. Statistical tests for power-law cross-correlated processes. Phys. Rev. E 2011, 84, 066118. [Google Scholar] [CrossRef] [PubMed]
  40. Zou, S.; Zhang, T. Multifractal Detrended Cross-Correlation Analysis of the Relation between Price and Volume in European Carbon Futures Markets. Phys. A Stat. Mech. Its Appl. 2020, 537, 122310. [Google Scholar] [CrossRef]
  41. Shannon, C.E. A mathematical theory of communication. Bell Syst. Tech. J. 1948, 27, 379–423. [Google Scholar] [CrossRef]
  42. Pluim, J.P.; Maintz, J.A.; Viergever, M.A. Mutual-information-based registration of medical images: A survey. IEEE Trans. Med. Imaging 2003, 22, 986–1004. [Google Scholar] [CrossRef] [PubMed]
  43. Kraskov, A.; Stögbauer, H.; Grassberger, P. Estimating mutual information. Phys. Rev. E 2004, 69, 066138. [Google Scholar] [CrossRef] [PubMed]
  44. Grassberger, P. Generalizations of the Hausdorff dimension of fractal measures. Phys. Rev. Lett. 1985, 107A, 101. [Google Scholar] [CrossRef]
  45. Somorjai, R.L. Methods for estimating the intrinsic dimensionality of high-dimensional point sets. In Dimensions and Entropies in Chaotic Systems; Mayer-Kress, G., Ed.; Springer: Berlin/Heidelberg, Germany, 1986. [Google Scholar]
  46. Kozachenko, L.F.; Leonenko, N.N. Problems of Information Transmission. Probl. Peredachi Informatsii 1987, 23, 95. [Google Scholar]
  47. Lee, J.; Nemati, S.; Silva, I.; Edwards, B.A.; Butler, J.P.; Malhotra, A. Transfer entropy estimation and directional coupling change detection in biomedical time series. Biomed. Eng. Online 2012, 11, 1–17. [Google Scholar] [CrossRef] [PubMed]
  48. Neto, D. Examining interconnectedness between media attention and cryptocurrency markets: A transfer entropy story. Econ. Lett. 2022, 214, 110460. [Google Scholar] [CrossRef]
  49. Bekiros, S.; Nguyen, D.K.; Junior, L.S.; Uddin, G.S. Information diffusion, cluster formation and entropy-based network dynamics in equity and commodity markets. Eur. J. Oper. Res. 2017, 256, 945–961. [Google Scholar] [CrossRef]
  50. Kaiser, A.; Schreiber, T. Information transfer in continuous processes. Phys. D Nonlinear Phenom. 2002, 166, 43–62. [Google Scholar] [CrossRef]
  51. Unicomb, S.; Iñiguez, G.; Karsai, M. Threshold driven contagion on weighted networks. Sci. Rep. 2018, 8, 3094. [Google Scholar] [CrossRef] [PubMed]
  52. Albert, R.; Barabási, A.L. Statistical mechanics of complex networks. Rev. Mod. Phys. 2002, 74, 47–97. [Google Scholar] [CrossRef]
  53. He, J.; Shang, P. Comparison of transfer entropy methods for financial time series. Phys. A Stat. Mech. Appl. 2017, 482, 772–785. [Google Scholar] [CrossRef]
  54. Wang, M. Analyzing the non-linearity of Chinese stock market using R/S method. Forecasting 2002, 21, 42–45. [Google Scholar]
  55. Li, Y.; Vilela, A.L.M.; Stanley, H.E. The institutional characteristics of multifractal spectrum of China’s stock market. Phys. Stat. Mech. Appl. 2020, 550, 124129. [Google Scholar] [CrossRef]
  56. Zebende, G.F. DCCA Cross-Correlation Coefficient: Quantifying Level of Cross-Correlation. Phys. A Stat. Mech. Its Appl. 2011, 390, 614–618. [Google Scholar] [CrossRef]
  57. Rizvi, S.A.R.; Dewandaru, G.; Bacha, O.I.; Masih, M. An analysis of stock market efficiency: Developed vs Islamic stock markets using MF-DFA. Phys. A Stat. Mech. Its Appl. 2014, 407, 86–99. [Google Scholar] [CrossRef]
  58. Kantelhardt, J.W.; Koscielny-Bunde, E.; Rego, H.H.; Havlin, S.; Bunde, A. Detecting long-range correlations with detrended fluctuation analysis. Phys. A Stat. Mech. Its Appl. 2001, 295, 441–454. [Google Scholar] [CrossRef]
  59. Hu, K.; Ivanov, P.C.; Chen, Z.; Carpena, P.; Stanley, H.E. Effect of trends on detrended fluctuation analysis. Phys. Rev. E 2001, 64, 011114. [Google Scholar] [CrossRef] [PubMed]
Figure 1. The flowchart of the combination of techniques.
Figure 1. The flowchart of the combination of techniques.
Fractalfract 09 00014 g001
Figure 2. EEMD decomposition results of AAPL.
Figure 2. EEMD decomposition results of AAPL.
Fractalfract 09 00014 g002
Figure 3. The significance testing of IMF based on lnE and lnT.
Figure 3. The significance testing of IMF based on lnE and lnT.
Fractalfract 09 00014 g003
Figure 4. Normalized original time series 3D chart of eight stocks.
Figure 4. Normalized original time series 3D chart of eight stocks.
Fractalfract 09 00014 g004
Figure 5. Normalized reconstructed time series 3D chart of eight stocks.
Figure 5. Normalized reconstructed time series 3D chart of eight stocks.
Fractalfract 09 00014 g005
Figure 6. DCCA coefficients of JPM versus the other seven stocks.
Figure 6. DCCA coefficients of JPM versus the other seven stocks.
Fractalfract 09 00014 g006
Figure 7. The log–log plot of fluctuation function F q ( s ) vs. time series scale s.
Figure 7. The log–log plot of fluctuation function F q ( s ) vs. time series scale s.
Fractalfract 09 00014 g007
Figure 8. The cross-correlation Hurst exponents H ( q ) vs. q.
Figure 8. The cross-correlation Hurst exponents H ( q ) vs. q.
Fractalfract 09 00014 g008
Figure 9. Singularity strength α vs. multifractal spectrum f ( α ) .
Figure 9. Singularity strength α vs. multifractal spectrum f ( α ) .
Fractalfract 09 00014 g009
Figure 10. The histogram line plot of Δ H ( q ) and Δ α .
Figure 10. The histogram line plot of Δ H ( q ) and Δ α .
Fractalfract 09 00014 g010
Figure 11. Transfer entropy heatmap between the eight stocks.
Figure 11. Transfer entropy heatmap between the eight stocks.
Fractalfract 09 00014 g011
Figure 12. Directed weighted network diagram with transfer entropy as weights.
Figure 12. Directed weighted network diagram with transfer entropy as weights.
Fractalfract 09 00014 g012
Table 1. Selected stocks along with their corresponding companies and industries affiliation.
Table 1. Selected stocks along with their corresponding companies and industries affiliation.
Ticker SymbolListed CompanyIndustry Affiliation
JPMJPMorgan Chase & Co.Financial
AAPLApple Inc.Technology
XOMExxon Mobil CorporationEnergy
JNJJohnson & JohnsonHealthcare
PGProcter & Gamble Co.Consumer staples
VODVodafone Group PlcTelecommunications
GEGeneral Electric CompanyManufacturing
SPGSimon Property Group, Inc.Real estate
Table 2. The descriptive statistics of eight stocks in the U.S.
Table 2. The descriptive statistics of eight stocks in the U.S.
JPMAAPLXOMJNJPGVODGESPG
Min28.386.8631.4557.0258.518.0627.3644.01
Max224.80234.82125.37186.01177.7941.57192.63227.60
Mean92.2267.3382.15118.82100.7923.5592.53141.62
Std46.0062.5417.8937.1633.448.4736.4037.27
Skewness0.610.99−0.35−0.160.60−0.180.23−0.32
Kurtosis−0.50−0.500.28−1.25−1.09−1.07−0.93−0.55
JB_test273.17 ***645.79 ***87.30 ***260.37 ***403.89 ***195.62 ***165.70 ***109.04 ***
Probability 4.80 × 10 60 5.87 × 10 141 1.10 × 10 19 2.90 × 10 57 1.98 × 10 88 3.32 × 10 43 1.04 × 10 36 2.10 × 10 24
JB denotes the Jarque–Bera test for normality. *** denotes the rejection of the null hypothesis at the 0.01 significance level.
Table 3. Indicators for assisting in IMF selection.
Table 3. Indicators for assisting in IMF selection.
IMF/ResPearson CorrKendall CorrlnElnTVar Contrib
IMF 10.01660.0063−0.82731.51790.0001
IMF 20.01930.0181−1.19652.56650.0001
IMF 30.02100.0074−0.45443.63710.0002
IMF 40.03990.01100.53494.70420.0004
IMF 50.01800.00052.14695.89110.0011
IMF 60.14600.03803.50856.93760.0029
IMF 7−0.02390.00963.94666.21600.0040
IMF 8−0.3526−0.05776.53769.56440.0230
IMF 90.37140.13715.732610.89550.0124
IMF 10−0.3299−0.34985.211111.83220.0081
Residual0.97500.8128N/AN/A1.1231
Table 4. Transfer entropy between eight U.S. stocks.
Table 4. Transfer entropy between eight U.S. stocks.
JPMAAPLXOMJNJPGVODGESPG
JPM00.09770.22640.11000.12060.16190.22540.2149
AAPL0.129200.23630.12310.14300.16060.22770.2155
XOM0.06670.072900.05740.10110.16270.18500.1980
JNJ0.13060.07700.218400.12000.16630.22880.2019
PG0.12510.07480.24150.111800.16760.21960.1981
VOD0.11180.04890.22290.09950.096000.21300.1922
GE0.10380.05820.22550.09510.09430.156000.1827
SPG0.06780.05440.17490.05700.08620.12710.16740
The information flow direction is from left to right.
Table 5. Network indicators.
Table 5. Network indicators.
ω out ω in WDNTEWCC
JPM1.15690.73511.89190.42180.1490
AAPL1.23480.48381.71870.75100.1532
XOM0.84391.54582.3898−0.70190.1372
JNJ1.14290.65401.79690.48890.1513
PG1.13830.76111.89950.37720.1489
VOD0.98431.10212.0864−0.11790.1444
GE0.91551.46622.3817−0.55060.1374
SPG0.73481.40342.1382−0.66850.1432
Disclaimer/Publisher’s Note: The statements, opinions and data contained in all publications are solely those of the individual author(s) and contributor(s) and not of MDPI and/or the editor(s). MDPI and/or the editor(s) disclaim responsibility for any injury to people or property resulting from any ideas, methods, instructions or products referred to in the content.

Share and Cite

MDPI and ACS Style

Zhou, W.; Huang, J.; Wang, M. Multifractal Characteristics and Information Flow Analysis of Stock Markets Based on Multifractal Detrended Cross-Correlation Analysis and Transfer Entropy. Fractal Fract. 2025, 9, 14. https://doi.org/10.3390/fractalfract9010014

AMA Style

Zhou W, Huang J, Wang M. Multifractal Characteristics and Information Flow Analysis of Stock Markets Based on Multifractal Detrended Cross-Correlation Analysis and Transfer Entropy. Fractal and Fractional. 2025; 9(1):14. https://doi.org/10.3390/fractalfract9010014

Chicago/Turabian Style

Zhou, Wenjuan, Jingjing Huang, and Maofa Wang. 2025. "Multifractal Characteristics and Information Flow Analysis of Stock Markets Based on Multifractal Detrended Cross-Correlation Analysis and Transfer Entropy" Fractal and Fractional 9, no. 1: 14. https://doi.org/10.3390/fractalfract9010014

APA Style

Zhou, W., Huang, J., & Wang, M. (2025). Multifractal Characteristics and Information Flow Analysis of Stock Markets Based on Multifractal Detrended Cross-Correlation Analysis and Transfer Entropy. Fractal and Fractional, 9(1), 14. https://doi.org/10.3390/fractalfract9010014

Article Metrics

Back to TopTop