Design of the Novel Fractional Order Hybrid Whale Optimizer for Thermal Wind Power Generation Systems with Integration of Chaos Infused Wind Power
Abstract
1. Introduction
- With the use of fractional derivatives, the search dynamics can be enhanced, providing a finer control over the search process. This improvement allows the algorithm to effectively avoid getting stuck in local optima and thoroughly explore the solution space.
- The inherent memory effect in FC enhances the ability to handle the unpredictable nature of wind behavior, resulting in a more resilient optimization process.
- The primary contribution of this paper is to design a novel fractional memetic evolution algorithm that synergies the integration of fractional calculus with meta-heuristic computational paradigm of WOA algorithm for optimizing combined thermal and wind power plant system.
- This study includes wind power plants into the integrated power plants system to minimize the total generation cost. Additionally, the optimization of these rigid scenarios will be tested using the FWOA and its hybrid scheme.
- The stability, accuracy, and efficiency of the proposed optimizer is validated through statistical analysis.
- The proposed FWOA and FWOA-IPA are evaluated for their competence and efficacy with other state of the art optimization techniques in terms of minimum fuel generation cost.
2. System Model: Formulation of ELD Involving Stochastic Wind
2.1. Overall Objective Function
2.2. Problem Constraints
2.2.1. Constraint of Power Balance
2.2.2. Capacity Checks of Generator’s Power
3. Design Methodology
3.1. Whale Optimization Algorithm (WOA)
3.1.1. Encircling Prey
3.1.2. Bubble Net Attacking Method
Shrinking Encircling Mechanism
Spiral Updating of Position
3.1.3. Search for Prey
3.1.4. Steps of WOA
3.2. Interior Point Algorithm
3.3. Fractional Order Whale Optimization Algorithm (FWOA)
3.4. The FWOA-IPA Method for Solving ELD Problem
| Algorithm 1: Pseudocode of FWOA-IPA |
| Set all parameters Evaluate each search agent based on their objective function value. X* = The best search agent Start optimization while (t < max iteration) For each distinct search generate random coefficient the C1 and C2 using fractional calculus with parameters if (p < 0.5) if ( < 1) Use Equation (15) to update the current search agent’s location. Else if () Select random search Xrand Use Equation (19) to update the current search agent’s location End if Else if (p ≥ 0.5) Use Equation (30) to update the current search agent’s location end if end for check if any search agents out of search space objective function evlautions of each search agent update X* if there is a best solution save the best solution and intial point for IPA t = t + 1 end while Return X* |
4. Case Study and Simulation Results
4.1. Case Study 1: Three Thermal Generating Units Test System
4.2. Case Study 2: Thirteen Thermal Generating Units Test System
5. Conclusions
- The total generation cost of hybrid energy generating units, which includes the costs of fuel generation and stochastically varying wind power, can be efficiently optimized using fractional order calculus. This optimization is achieved by utilizing the exploration and exploitation searching ability of the conventional WOA algorithm, which memorizes all past events and employs optimal mathematical modelling.
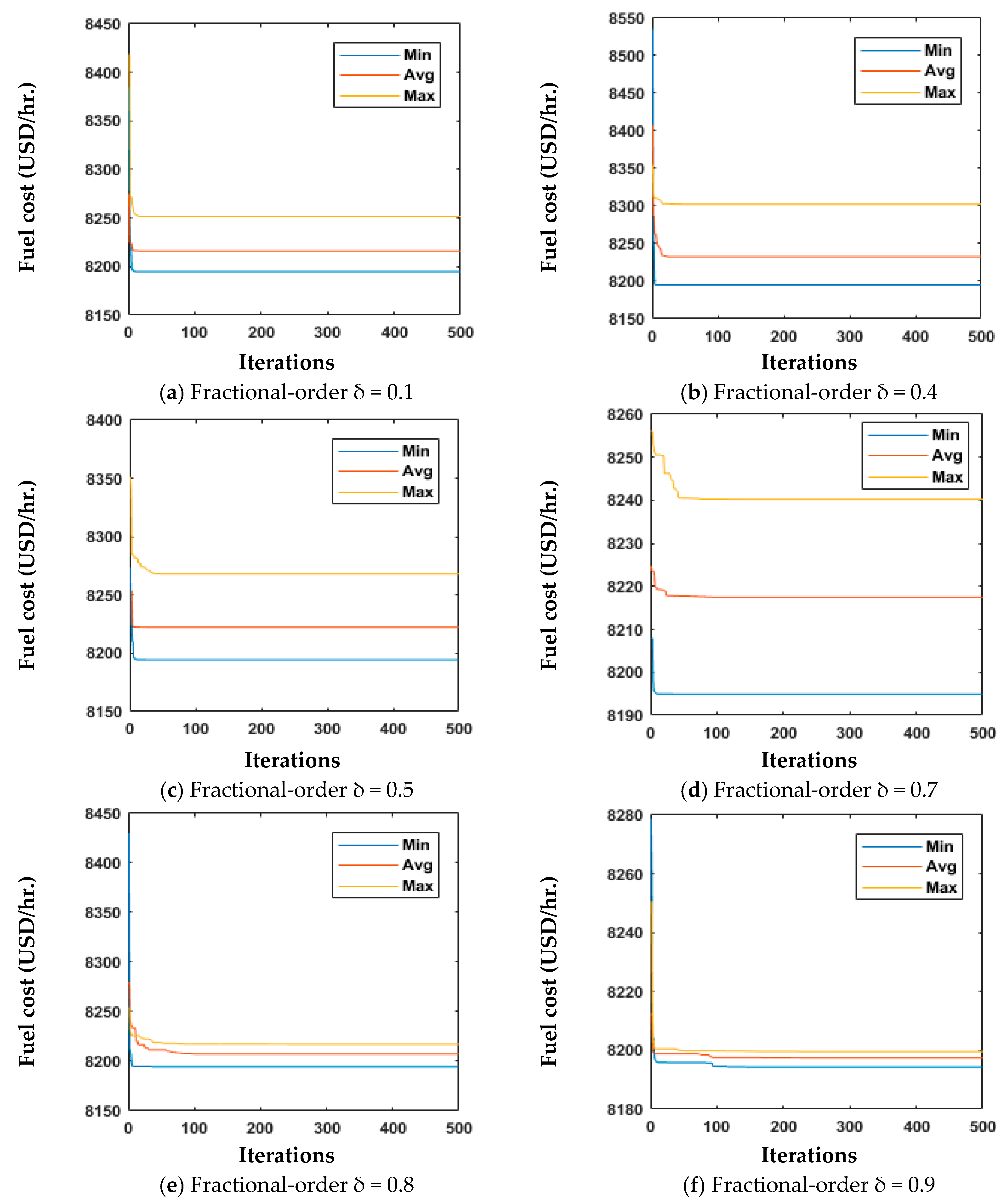
- Various variants of the proposed FWOA algorithm are utilized to evaluate its efficacy. Every set of FWOA variants is determined by the extent of the fractional order values ranging from 0.1 to 0.9. To achieve additional refinement, the local search-based algorithms IPA utilize the global outcomes of the FWOA algorithm as initial values. A total of three case studies have been considered to show the effectiveness of proposed scheme i-e case study 1 involves 3 thermal generating units test system, case 2 involves 13 thermal generating units test system, and case 3 involves 37 thermal generators and 3 wind power generators.
- For case study 1, the FWOA-IX variant produced a total fuel generation cost of 8194.376 USD per hour. The percentage fuel cost reduction of 0.23% for NSS, GA, GSA, GAB, and 0.22% for EP, whereas 0.71% fuel cost reduction was observed for the proposed FWOA.
- For case study 2, the FWOA-VIII variant produced a total fuel generation cost of 23,313.53 USD per hour. The percentage fuel cost reduction was 2% for PSO, 2.3% for FO-FA, 0.76% for FA, 2.6% for CSA, 3.21% for GA-SQP, and 3.6% for FMFO, whereas a 6.15% fuel cost reduction was observed for the proposed FWOA.
- For case study 3, the FWOA-IPA-IX variant produced a cost of 135,045.4390 USD per hour. The fuel cost reduction percentages for several algorithms, including HIC-SQP (5%), PWTED1 (3.9%), DWTED1 (4.45%), GA-SQP (4.8%), PSO (3.19%), COOT (3.2%), and the suggested FWOA method (5.95%), was observed for the proposed FWOA.
- The performance of the proposed case studies is evaluated using statistical, histogram, boxplot, and CDF-based analyses on the results of twenty independent trials for minimum objective function evaluation.
Author Contributions
Funding
Data Availability Statement
Acknowledgments
Conflicts of Interest
Appendix A
| Units | FWOA-I | FWOA-II | FWOA-III | FWOA-IV | FWOA-V | FWOA-VI | FWOA-VII | FWOA-VIII | FWOA-IX |
|---|---|---|---|---|---|---|---|---|---|
| 1 | 114 | 114 | 114 | 114 | 114 | 114 | 114 | 114 | 114 |
| 2 | 114 | 114 | 114 | 114 | 114 | 114 | 114 | 114 | 114 |
| 3 | 120 | 60 | 120 | 120 | 60 | 101 | 110 | 105 | 120 |
| 4 | 80 | 190 | 190 | 190 | 190 | 190 | 190 | 190 | 190 |
| 5 | 97 | 97 | 97 | 97 | 97 | 97 | 97 | 97 | 97 |
| 6 | 140 | 140 | 140 | 140 | 140 | 140 | 140 | 139 | 140 |
| 7 | 300 | 300 | 300 | 300 | 300 | 300 | 291 | 300 | 300 |
| 8 | 300 | 300 | 300 | 300 | 300 | 284 | 300 | 300 | 300 |
| 9 | 300 | 300 | 300 | 284 | 300 | 300 | 300 | 300 | 300 |
| 10 | 130 | 130 | 130 | 130 | 130 | 130 | 130 | 130 | 130 |
| 11 | 94 | 94 | 94 | 94 | 94 | 94 | 94 | 94 | 96 |
| 12 | 94 | 94 | 94 | 94 | 94 | 94 | 94 | 94 | 94 |
| 13 | 125 | 125 | 125 | 125 | 125 | 125 | 125 | 125 | 125 |
| 14 | 393 | 321 | 305 | 125 | 125 | 125 | 306 | 303 | 307 |
| 15 | 394 | 218 | 300 | 215 | 397 | 215 | 306 | 305 | 305 |
| 16 | 125 | 301 | 125 | 500 | 296 | 500 | 125 | 125 | 125 |
| 17 | 500 | 500 | 500 | 500 | 500 | 500 | 500 | 500 | 488 |
| 18 | 500 | 500 | 500 | 500 | 500 | 500 | 500 | 500 | 500 |
| 19 | 550 | 550 | 550 | 550 | 550 | 550 | 550 | 550 | 550 |
| 20 | 550 | 550 | 550 | 504 | 511 | 508 | 550 | 550 | 550 |
| 21 | 550 | 550 | 550 | 550 | 550 | 550 | 550 | 550 | 540 |
| 22 | 550 | 550 | 550 | 549 | 550 | 530 | 550 | 550 | 550 |
| 23 | 550 | 550 | 550 | 550 | 550 | 550 | 550 | 550 | 550 |
| 24 | 550 | 550 | 550 | 550 | 550 | 550 | 550 | 550 | 550 |
| 25 | 550 | 550 | 550 | 542 | 550 | 550 | 550 | 550 | 550 |
| 26 | 550 | 522 | 550 | 550 | 550 | 524 | 550 | 550 | 550 |
| 27 | 97 | 87 | 97 | 97 | 97 | 97 | 96 | 97 | 97 |
| 28 | 190 | 190 | 190 | 190 | 190 | 190 | 190 | 190 | 190 |
| 29 | 190 | 190 | 190 | 190 | 190 | 190 | 190 | 190 | 190 |
| 30 | 190 | 190 | 190 | 190 | 190 | 190 | 190 | 190 | 190 |
| 31 | 200 | 200 | 200 | 198 | 200 | 200 | 200 | 200 | 200 |
| 32 | 200 | 200 | 200 | 198 | 200 | 200 | 200 | 200 | 200 |
| 33 | 200 | 200 | 200 | 166 | 200 | 200 | 200 | 200 | 200 |
| 34 | 25 | 110 | 110 | 110 | 110 | 110 | 110 | 110 | 110 |
| 35 | 110 | 110 | 110 | 96 | 110 | 110 | 110 | 110 | 110 |
| 36 | 110 | 85 | 110 | 110 | 108 | 110 | 110 | 110 | 110 |
| 37 | 550 | 550 | 537 | 550 | 550 | 550 | 550 | 550 | 550 |
| 38 | 18 | 18 | 18 | 18 | 18 | 18 | 18 | 18 | 18 |
| 39 | 46 | 46 | 46 | 46 | 46 | 46 | 46 | 46 | 46 |
| 40 | 54 | 54 | 54 | 54 | 54 | 54 | 54 | 54 | 54 |
| Power Demand | 10,500 | 10,500 | 10,500 | 10,500 | 10,500 | 10,500 | 10,500 | 10,500 | 10,500 |
| Units | FWOA-IPA-1 | FWOA-IPA-II | FWOA-IPA-III | FWOA-IPA-IV | FWOA-IPA-V | FWOA-IPA-VI | FWOA-IPA-VII | FWOA-IPA-VIII | FWOA-IPA-IX |
|---|---|---|---|---|---|---|---|---|---|
| 1 | 114 | 114 | 114 | 114 | 114 | 114 | 111 | 114 | 114 |
| 2 | 114 | 114 | 114 | 114 | 114 | 114 | 114 | 114 | 114 |
| 3 | 120 | 97 | 120 | 120 | 120 | 120 | 97 | 115 | 120 |
| 4 | 180 | 180 | 180 | 190 | 180 | 180 | 180 | 180 | 190 |
| 5 | 97 | 97 | 97 | 88 | 97 | 88 | 88 | 98 | 88 |
| 6 | 140 | 140 | 140 | 140 | 140 | 140 | 140 | 140 | 140 |
| 7 | 300 | 300 | 300 | 260 | 300 | 260 | 300 | 300 | 300 |
| 8 | 300 | 285 | 290 | 285 | 300 | 285 | 285 | 300 | 298 |
| 9 | 300 | 285 | 290 | 300 | 300 | 300 | 285 | 300 | 285 |
| 10 | 130 | 130 | 130 | 130 | 130 | 130 | 130 | 130 | 130 |
| 11 | 94 | 94 | 94 | 94 | 94 | 240 | 94 | 94 | 94 |
| 12 | 94 | 94 | 94 | 94 | 94 | 94 | 94 | 94 | 94 |
| 13 | 125 | 125 | 125 | 125 | 125 | 125 | 125 | 125 | 125 |
| 14 | 485 | 484 | 125 | 475 | 394 | 394 | 125 | 395 | 395 |
| 15 | 305 | 125 | 395 | 480 | 125 | 484 | 485 | 125 | 485 |
| 16 | 215 | 485 | 396 | 127 | 396 | 125 | 484 | 485 | 125 |
| 17 | 489 | 500 | 489 | 489 | 489 | 500 | 489 | 489 | 489 |
| 18 | 489 | 489 | 489 | 489 | 489 | 500 | 489 | 489 | 489 |
| 19 | 511 | 511 | 511 | 511 | 511 | 511 | 511 | 511 | 550 |
| 20 | 511 | 511 | 550 | 511 | 550 | 511 | 550 | 511 | 511 |
| 21 | 533 | 523 | 523 | 523 | 523 | 523 | 523 | 523 | 523 |
| 22 | 530 | 523 | 523 | 523 | 523 | 523 | 523 | 523 | 523 |
| 23 | 526 | 523 | 550 | 523 | 550 | 523 | 523 | 523 | 523 |
| 24 | 526 | 523 | 550 | 523 | 531 | 523 | 523 | 550 | 523 |
| 25 | 523 | 523 | 523 | 523 | 523 | 523 | 523 | 523 | 523 |
| 26 | 523 | 523 | 523 | 523 | 523 | 523 | 523 | 523 | 523 |
| 27 | 97 | 97 | 97 | 97 | 97 | 88 | 88 | 97 | 97 |
| 28 | 190 | 190 | 190 | 190 | 190 | 190 | 190 | 190 | 190 |
| 29 | 190 | 190 | 190 | 190 | 190 | 190 | 190 | 190 | 190 |
| 30 | 190 | 190 | 190 | 190 | 190 | 190 | 190 | 190 | 190 |
| 31 | 200 | 200 | 200 | 200 | 200 | 200 | 200 | 200 | 200 |
| 32 | 200 | 200 | 200 | 200 | 200 | 165 | 165 | 200 | 200 |
| 33 | 200 | 175 | 200 | 200 | 200 | 165 | 165 | 200 | 200 |
| 34 | 110 | 110 | 110 | 110 | 110 | 110 | 110 | 110 | 110 |
| 35 | 110 | 110 | 110 | 110 | 110 | 110 | 110 | 110 | 110 |
| 36 | 110 | 110 | 110 | 110 | 110 | 110 | 110 | 110 | 110 |
| 37 | 511 | 512 | 550 | 511 | 550 | 511 | 550 | 511 | 511 |
| 38 | 18 | 18 | 18 | 18 | 18 | 18 | 18 | 18 | 18 |
| 39 | 46 | 46 | 46 | 46 | 46 | 46 | 46 | 46 | 46 |
| 40 | 54 | 54 | 54 | 54 | 54 | 54 | 54 | 54 | 54 |
| Power Demand | 10,500 | 10,500 | 10,500 | 10,500 | 10,500 | 10,500 | 10,500 | 10,500 | 10,500 |
References
- Qu, B.-Y.; Zhu, Y.; Jiao, Y.; Wu, M.; Suganthan, P.N.; Liang, J. A survey on multi-objective evolutionary algorithms for the solution of the environmental/economic dispatch problems. Swarm Evol. Comput. 2018, 38, 1–11. [Google Scholar] [CrossRef]
- Lin, C.E.; Viviani, G.L. Hierarchical Economic Dispatch for Piecewise Quadratic Cost Functions. IEEE Trans. Power Appar. Syst. 1984, PAS-103, 1170–1175. [Google Scholar] [CrossRef]
- Parikh, J.; Chattopadhyay, D. A multi-area linear programming approach for analysis of economic operation of the Indian power system. IEEE Trans. Power Syst. 1996, 11, 52–58. [Google Scholar] [CrossRef]
- Zhu, J.; Momoh, J.A. Multi-area power systems economic dispatch using nonlinear convex network flow programming. Electr. Power Syst. Res. 2001, 59, 13–20. [Google Scholar] [CrossRef]
- Ding, T.; Bo, R.; Li, F.; Sun, H. A bi-level branch and bound method for economic dispatch with disjoint prohibited zones considering network losses. IEEE Trans. Power Syst. 2014, 30, 2841–2855. [Google Scholar] [CrossRef]
- El-Keib, A.; Ma, H.; Hart, J. Environmentally constrained economic dispatch using the LaGrangian relaxation method. IEEE Trans. Power Syst. 1994, 9, 1723–1729. [Google Scholar] [CrossRef]
- He, X.S.; Fan, Q.-W.; Karamanoglu, M.; Yang, X.-S. Comparison of constraint-handling techniques for metaheuristic optimization. In Proceedings of the International Conference on Computational Science, Faro, Portugal, 12–14 June 2019; Springer: Berlin/Heidelberg, Germany, 2019; pp. 357–366. [Google Scholar]
- Powell, D.; Skolnick, M.M. Using genetic algorithms in engineering design optimization with non-linear constraints. In Proceedings of the 5th International conference on Genetic Algorithms, Urbana-Champaign, IL, USA, 17–21 July 1993; pp. 424–431. [Google Scholar]
- Runarsson, T.; Yao, X. Stochastic ranking for constrained evolutionary optimization. IEEE Trans. Evol. Comput. 2000, 4, 284–294. [Google Scholar] [CrossRef]
- Takahama, T.; Sakai, S. Solving constrained optimization problems by the econstrained particle swarm optimizer with adaptive velocity limit control. In Proceedings of the 2006 IEEE Conference on Cybernetics and Intelligent Systems, Bangkok, Thailand, 7–9 June 2006; IEEE: Piscataway, NJ, USA, 2006; pp. 1–7. [Google Scholar]
- Yu, X.; Yu, X.; Lu, Y.; Sheng, J. Economic and emission dispatch using ensemble multi-objective differential evolution algorithm. Sustainability 2018, 10, 418. [Google Scholar] [CrossRef]
- Jiang, S.; Ji, Z.; Wang, Y. A novel gravitational acceleration enhanced particle swarm optimization algorithm for wind–thermal economic emission dispatch problem considering wind power availability. Int. J. Electr. Power Energy Syst. 2015, 73, 1035–1050. [Google Scholar] [CrossRef]
- Jadoun, V.K.; Pandey, V.C.; Gupta, N.; Niazi, K.R.; Swarnkar, A. Integration of renewable energy sources in dynamic economic load dispatch problem using an improved fireworks algorithm. IET Renew. Power Gener. 2018, 12, 1004–1011. [Google Scholar] [CrossRef]
- Chopra, L.; Kaur, R. Economic load dispatch using simple and refined genetic algorithm. Int. J. Adv. Eng. Technol. 2012, 5, 584–590. [Google Scholar]
- Gopalakrishnan, R.; Krishnan, A. An efficient technique to solve combined economic and emission dispatch problem using modified Ant colony optimization. Sadhana 2013, 38, 545–556. [Google Scholar] [CrossRef]
- Sinha, N.; Chakrabarti, R.; Chattopadhyay, P. Evolutionary programming techniques for economic load dispatch. IEEE Trans. Evol. Comput. 2003, 7, 83–94. [Google Scholar] [CrossRef]
- Balamurugan, K.; Muralisachithnndam, R.; Krishnan, S.R. Differential evolution based solution for combined economic and emission power dispatch with valve loading effect. Int. J. Electr. Eng. Inform. 2014, 6, 74. [Google Scholar] [CrossRef]
- Santra, D.; Sarker, K.; Mukherjee, A.; Mondal, S. Combined economic emission and load dispatch using hybrid metaheuristics. Int. J. Hybrid Intell. 2019, 1, 211–238. [Google Scholar] [CrossRef]
- Senthil, K.; Manikandan, K. Economic Thermal Power Dispatch with Emission Constraint and Valve Point Effect Loading Using Improved Tabu Search Algorithm. Int. J. Comput. Appl. 2010, 3, 6–11. [Google Scholar] [CrossRef]
- Jeyakumar, D.N.; Jayabarathi, T.; Raghunathan, T. Particle swarm optimization for various types of economic dispatch problems. Int. J. Electr. Power Energy Syst. 2006, 28, 36–42. [Google Scholar] [CrossRef]
- Pandit, M.; Chaudhary, V.; Dubey, H.M.; Panigrahi, B. Multi-period wind integrated optimal dispatch using series PSO-DE with time-varying Gaussian membership function based fuzzy selection. Int. J. Electr. Power Energy Syst. 2015, 73, 259–272. [Google Scholar] [CrossRef]
- Eberhart, R.; Kennedy, J. A new optimizer using particle swarm theory. In Proceedings of the Sixth International Symposium on Micro Machine and Human Science (MHS’95), Nagoya, Japan, 4–6 October 1995; IEEE: Piscataway, NJ, USA, 1995; pp. 39–43. [Google Scholar]
- Morshed, M.J.; Asgharpour, A. Hybrid imperialist competitive-sequential quadratic programming (HIC-SQP) algorithm for solving economic load dispatch with incorporating stochastic wind power: A comparative study on heuristic optimization techniques. Energy Convers. Manag. 2014, 84, 30–40. [Google Scholar] [CrossRef]
- Ghamisi, P.; Couceiro, M.S.; Benediktsson, J.A. A Novel Feature Selection Approach Based on FODPSO and SVM. IEEE Trans. Geosci. Remote Sens. 2014, 53, 2935–2947. [Google Scholar] [CrossRef]
- Ates, A.; Alagoz, B.B.; Kavuran, G.; Yeroglu, C. Implementation of fractional order filters discretized by modified Fractional Order Darwinian Particle Swarm Optimization. Measurement 2017, 107, 153–164. [Google Scholar] [CrossRef]
- Couceiro, M.S.; Rocha, R.P.; Ferreira, N.F.; Machado, J.T. Introducing the fractional-order Darwinian PSO. Signal Image Video Process. 2012, 6, 343–350. [Google Scholar] [CrossRef]
- Shahri, E.S.A.; Alfi, A.; Machado, J.T. Fractional fixed-structure H∞ controller design using augmented Lagrangian particle swarm optimization with fractional order velocity. Appl. Soft Comput. 2019, 77, 688–695. [Google Scholar] [CrossRef]
- Machado, J.T.; Kiryakova, V. The chronicles of fractional calculus. Fract. Calc. Appl. Anal. 2017, 20, 307–336. [Google Scholar] [CrossRef]
- Kuttomparambil Abdulkhader, H.; Jacob, J.; Mathew, A.T. Fractional-order lead-lag compensator-based multi-band power system stabiliser design using a hybrid dynamic GA-PSO algorithm. IET Gener. Transm. Distrib. 2018, 12, 3248–3260. [Google Scholar] [CrossRef]
- Kosari, M.; Teshnehlab, M. Non-linear fractional-order chaotic systems identification with approximated fractional-order derivative based on a hybrid particle swarm optimization-genetic algorithm method. J. AI Data Min. 2018, 6, 365–373. [Google Scholar]
- Khan, B.S.; Qamar, A.; Wadood, A.; Almuhanna, K.; Al-Shamma, A.A. Integrating economic load dispatch information into the blockchain smart contracts based on the fractional-order swarming optimizer. Front. Energy Res. 2024, 12, 1350076. [Google Scholar] [CrossRef]
- Wadood, A.; Park, H. A Novel Application of Fractional Order Derivative Moth Flame Optimization Algorithm for Solving the Problem of Optimal Coordination of Directional Overcurrent Relays. Fractal Fract. 2024, 8, 251. [Google Scholar] [CrossRef]
- Wadood, A.; Ahmed, E.; Rhee, S.B.; Sattar Khan, B. A Fractional-Order Archimedean Spiral Moth–Flame Optimization Strategy to Solve Optimal Power Flows. Fractal Fract. 2024, 8, 225. [Google Scholar] [CrossRef]
- Mirjalili, S.; Lewis, A. The whale optimization algorithm. Adv. Eng. Softw. 2016, 95, 51–67. [Google Scholar] [CrossRef]
- Potra, F.A.; Wright, S.J. Interior-point methods. J. Comput. Appl. Math. 2000, 124, 281–302. [Google Scholar] [CrossRef]
- Teodoro, G.S.; Machado, J.T.; de Oliveira, E.C. A review of definitions of fractional derivatives and other operators. J. Comput. Phys. 2019, 388, 195–208. [Google Scholar] [CrossRef]
- Sabatier, J.A.T.M.J.; Agrawal, O.P.; Machado, J.T. Advances in Fractional Calculus; Springer: Dordrecht, The Netherlands, 2007; Volume 4. [Google Scholar]
- Kamboj, V.K.; Bath, S.; Kand Dhillon, J.S. Solution of non-convex economic load dispatch problem using Grey Wolf Optimizer. Neural Comput. Appl. 2016, 27, 1301–1316. [Google Scholar] [CrossRef]
- Tsai, M.T.; Gow, H.J.; Lin, W.M. A novel stochastic search method for the solution of economic dispatch problems with nonconvex fuel cost functions. Int. J. Electr. Power Energy Syst. 2011, 33, 1070–1076. [Google Scholar] [CrossRef]
- Duman, S.; Güvenç, U.; Yörükeren, N. Gravitational search algorithm for economic dispatch with valve-point effects. Int. Rev. Electr. Eng. 2010, 5, 2890–2895. [Google Scholar]
- Subhani, T.M.; Babu, C.S.; Reddy, A.S. Particle swarm optimization with time varying acceleration coefficients for economic dispatch considering valve point loading effects. In Proceedings of the 2012 Third International Conference on Computing, Communication and Networking Technologies (ICCCNT′12), Kharagpur, India, 6–8 July 2021; IEEE: Piscataway, NJ, USA, 2012; pp. 1–8. [Google Scholar]
- Mehmood, A.; Raja, M.A.Z.; Jalili, M. Optimization of integrated load dispatch in multi-fueled renewable rich power systems using fractal firefly algorithm. Energy 2023, 278, 127792. [Google Scholar] [CrossRef]
- Khan, B.S.; Raja, M.A.Z.; Qamar, A.; Chaudhary, N.I. Design of moth flame optimization heuristics for integrated power plant system containing stochastic wind. Appl. Soft Comput. 2021, 104, 107193. [Google Scholar] [CrossRef]




















| S No. | Parameters | Case Study 1 | Case Study 2 | Case Study 3 |
|---|---|---|---|---|
| 1 | Whales’ dimensions | 3 | 13 | 40 |
| 2 | Population/size of Whales | 50 | 100 | 150 |
| 3 | Fractional order of velocity | 0.1 to 0.9 | 0.1 to 0.9 | 0.1 to 0.9 |
| 4 | Cognitive/social behavior constant | 0.9/1.5 | 0.9/1.5 | 0.9/1.5 |
| 6 | Maximum iterations | 500 | 500 | 500 |
| 7 | Independent trials | 20 | 20 | 20 |
| 8 | Best fractional order recorded | 0.9 | 0.8 | 0.8 |
| GUs | FWOA-1 | FWOA-II | FWOA-III | FWOA-IV | FWOA-V | FWOA-VI | FWOA-VII | FWOA-VIII | FWOA-IX |
|---|---|---|---|---|---|---|---|---|---|
| P1 | 394.0739 | 415.8908 | 410.3593 | 390.7186 | 389.7112 | 410.9769 | 395.733 | 392.4914 | 395.6912 |
| P2 | 327.3618 | 325.4148 | 336.2801 | 347.3409 | 336.5474 | 311.308 | 323.6129 | 336.812 | 333.25 |
| P3 | 128.5643 | 108.6944 | 103.3605 | 111.9405 | 123.7414 | 127.7151 | 130.6541 | 120.6966 | 121.0588 |
| Fuel cost (USD/h) | 8194.6528 | 8196.2089 | 8196.5387 | 8195.1902 | 8194.3932 | 8196.0495 | 8194.9431 | 8194.3776 | 8194.3762 |
| Fuel Cost | FWOA-1 | FWOA-II | FWOA-III | FWOA-IV | FWOA-V | FWOA-VI | FWOA-VII | FWOA-VIII | FWOA-IX |
|---|---|---|---|---|---|---|---|---|---|
| Mean | 8209.50 | 8210.60 | 8217.20 | 8210.20 | 8213.20 | 8213.70 | 8205.70 | 8200.90 | 8195.80 |
| STD | 17.57 | 12.87 | 23.71 | 24.27 | 18.91 | 20.32 | 11.68 | 6.59 | 1.29 |
| Methodology | Base Value | NSS | GA | EP | GSA | GAB | PSO | FWOA |
|---|---|---|---|---|---|---|---|---|
| Fuel cost (USD/h) | 8253.11 | 8234.08 | 8234.41 | 8234.13 | 8234.12 | 8234.08 | 8234.07 | 8194.376 |
| % reduction | - | 0.23% | 0.22% | 0.22% | 0.23% | 0.23% | 0.23% | 0.71% |
| GUs | FWOA-1 | FWOA-II | FWOA-III | FWOA-IV | FWOA-V | FWOA-VI | FWOA-VII | FWOA-VIII | FWOA-IX |
|---|---|---|---|---|---|---|---|---|---|
| P1 | 628.5319 | 628.3788 | 628.37 | 628.3025 | 538.5587 | 628.2722 | 628.344 | 628.3185 | 628.314 |
| P2 | 305.2639 | 298.3773 | 299.1992 | 360 | 299.1525 | 300.9316 | 299.2011 | 299.1007 | 299.7845 |
| P3 | 301.5092 | 299.2027 | 299.1686 | 299.2 | 360 | 302.1408 | 299.2019 | 299.1799 | 225.4445 |
| P4 | 113.785 | 111.8825 | 106.1866 | 68.80905 | 160.0673 | 107.6447 | 109.8021 | 159.707 | 159.7373 |
| P5 | 174.478 | 144.2033 | 152.1364 | 159.68 | 109.8673 | 159.7123 | 152.2793 | 109.5505 | 159.735 |
| P6 | 124.6067 | 152.1011 | 168.9868 | 159.7342 | 159.7238 | 159.7112 | 109.8698 | 159.6849 | 159.7384 |
| P7 | 157.1252 | 162.6699 | 156.6032 | 109.8135 | 160.5028 | 111.1818 | 165.2748 | 159.1225 | 159.7765 |
| P8 | 148.9247 | 164.9059 | 109.1519 | 165.2016 | 180 | 161.56 | 159.7331 | 109.8665 | 60 |
| P9 | 109.766 | 161.8855 | 156.8283 | 109.8705 | 159.7331 | 180 | 159.648 | 159.5546 | 160.6708 |
| P10 | 82.1841 | 40.37595 | 57.4091 | 76.69072 | 40 | 83.58862 | 75.72689 | 75.79826 | 77.89201 |
| P11 | 83.13164 | 82.41732 | 69.725 | 77.29738 | 117.9004 | 41.08618 | 77.27297 | 77.26437 | 114.8267 |
| P12 | 95.67792 | 90.7912 | 115.8461 | 110.3379 | 79.49418 | 92.19063 | 91.55105 | 90.46423 | 94.08028 |
| P13 | 95.01561 | 82.80856 | 100.3888 | 95.06263 | 55 | 91.97988 | 92.09512 | 92.38799 | 120 |
| Fuel cost (USD/h) | 23,880.85 | 23,701.98 | 23,844.44 | 23,658.41 | 23,653.34 | 23,565.56 | 23,416.64 | 23,313.53 | 23,456.87 |
| Algorithms | Base Value | PSO | FO-FA | FA | CSA | GA-SQP | FMFO | FWOA |
|---|---|---|---|---|---|---|---|---|
| Fuel cost | 24,840.18 | 24,341 | 24,280.13 | 24,651 | 24,190 | 24,041 | 23,938.71 | 23,313.53 |
| % reduction | - | 2% | 2.3% | 0.76% | 2.6% | 3.21% | 3.6% | 6.15% |
| Methodology | Total Cost (USD/h) |
|---|---|
| FWOA-I | 149,598.9 |
| FWOA-II | 145,750.4 |
| FWOA-III | 142,413.4 |
| FWOA-IV | 141,195.7 |
| FWOA-V | 140,590.4 |
| FWOA-VI | 147,706.9 |
| FWOA-VII | 138,779.4 |
| FWOA-VIII | 137,472.4 |
| FWOA-IX | 137,712.3 |
| Variants | MEAN | STD |
|---|---|---|
| Total Cost (USD/h) | Total Cost (USD/h) | |
| FWOA-I | 154,260 | 4052.70 |
| FWOA-II | 150,890 | 2796.20 |
| FWOA-III | 150,300 | 4812.20 |
| FWOA-IV | 146,330 | 4464.70 |
| FWOA-V | 143,270 | 2817.80 |
| FWOA-VI | 141,750 | 2950.80 |
| FWOA-VII | 141,840 | 3300.90 |
| FWOA-VIII | 141,640 | 3165.00 |
| FWOA-IX | 140,420 | 1597.90 |
| Methodology | Including VPLE and SW | |||
|---|---|---|---|---|
| Time | Iterations | FC | Total Cost (USD/h) | |
| FWOA-IPA-I | 1.13 | 122 | 10,156 | 136,814.3540 |
| FWOA-IPA-II | 0.82 | 116 | 9576 | 136,174.9200 |
| FWOA-IPA-III | 0.69 | 96 | 7904 | 136,729.4964 |
| FWOA-IPA-IV | 0.99 | 137 | 11,311 | 136,291.7563 |
| FWOA-IPA-V | 0.87 | 113 | 9369 | 136,880.0738 |
| FWOA-IPA-VI | 0.87 | 117 | 9714 | 136,032.2434 |
| FWOA-IPA-VII | 0.73 | 114 | 9438 | 135,554.4397 |
| FWOA-IPA-VIII | 0.77 | 115 | 9449 | 135,586.3228 |
| FWOA-IPA-IX | 1.40 | 97 | 8122 | 135,045.4390 |
| Algorithm | Fuel Cost (USD/h) | Wind Power Cost (USD/h) | Total Cost (USD/h) | % Reduction |
|---|---|---|---|---|
| Base value [43] | - | - | 143,587.900 | - |
| HIC-SQP [23] | 119,664.5367 | 16,716.8463 | 136,381.3831 | 5% |
| PWTED1 [43] | - | - | 137,984.3800 | 3.9% |
| DWTED1 [43] | - | - | 137,190.3100 | 4.45% |
| GA-SQP [31] | - | - | 136,700.49 | 4.8% |
| PSO [31] | - | - | 139,000.03 | 3.19% |
| COOT [31] | - | - | 139,000.63 | 3.2% |
| FWOA-IPA-1X | 118,435.9957 | 16,609.4433 | 135,045.4390 | 5.95% |
Disclaimer/Publisher’s Note: The statements, opinions and data contained in all publications are solely those of the individual author(s) and contributor(s) and not of MDPI and/or the editor(s). MDPI and/or the editor(s) disclaim responsibility for any injury to people or property resulting from any ideas, methods, instructions or products referred to in the content. |
© 2024 by the authors. Licensee MDPI, Basel, Switzerland. This article is an open access article distributed under the terms and conditions of the Creative Commons Attribution (CC BY) license (https://creativecommons.org/licenses/by/4.0/).
Share and Cite
Wadood, A.; Sattar Khan, B.; Albalawi, H.; Alatwi, A.M. Design of the Novel Fractional Order Hybrid Whale Optimizer for Thermal Wind Power Generation Systems with Integration of Chaos Infused Wind Power. Fractal Fract. 2024, 8, 379. https://doi.org/10.3390/fractalfract8070379
Wadood A, Sattar Khan B, Albalawi H, Alatwi AM. Design of the Novel Fractional Order Hybrid Whale Optimizer for Thermal Wind Power Generation Systems with Integration of Chaos Infused Wind Power. Fractal and Fractional. 2024; 8(7):379. https://doi.org/10.3390/fractalfract8070379
Chicago/Turabian StyleWadood, Abdul, Babar Sattar Khan, Hani Albalawi, and Aadel Mohammed Alatwi. 2024. "Design of the Novel Fractional Order Hybrid Whale Optimizer for Thermal Wind Power Generation Systems with Integration of Chaos Infused Wind Power" Fractal and Fractional 8, no. 7: 379. https://doi.org/10.3390/fractalfract8070379
APA StyleWadood, A., Sattar Khan, B., Albalawi, H., & Alatwi, A. M. (2024). Design of the Novel Fractional Order Hybrid Whale Optimizer for Thermal Wind Power Generation Systems with Integration of Chaos Infused Wind Power. Fractal and Fractional, 8(7), 379. https://doi.org/10.3390/fractalfract8070379

