Using Fractal Theory to Study the Influence of Movable Oil on the Pore Structure of Different Types of Shale: A Case Study of the Fengcheng Formation Shale in Well X of Mahu Sag, Junggar Basin, China
Abstract
1. Introduction
2. Geological Setting and Sample
3. Experimental Methods
3.1. Mineral Composition Analysis
3.2. Geochemistry Analysis
3.3. Oil Extraction
3.4. N2 Adsorption/Desorption
3.5. Fractal Analysis
4. Results and Discussions
4.1. Mineral Compositions
4.2. Geochemical Properties
4.3. N2 Adsorption and Desorption Isotherms
- (1)
- The hysteresis loop was classified as a H3 type, characterized by the adsorption curve closely paralleling the desorption curve. It was narrow and gradually emerged during the mid to high-pressure stages (P/P0 > 0.80), sharply rising as it approached the saturated vapor pressure (observed in sample #12). This signifies the presence of slit-shaped pores with parallel plates in the sample, with minimal changes observed in the hysteresis loop before and after extraction.
- (2)
- The hysteresis loop fell within the H3–H4 category, featuring a narrow loop emerging at a relative pressure of 0.4. Similar to the first subcategory, there was minimal change observed in the hysteresis loop before and after extraction (observed in sample #14), corresponding to the pore morphology characterized by slit-like pores that are open all around.
- (3)
- The hysteresis loop was identified as the H2–H3 type, exhibiting a large loop. Notably, both the adsorption and desorption curves manifested a step-like rise at the relative pressure of 0.4~0.5. Following oil extraction, the hysteresis loop expanded significantly, with a more pronounced increase observed (observed in sample #19), indicative of ink-bottle-shaped pores in the pore morphology.
4.4. Fractal Analysis of Gas Adsorption
5. Conclusions
- (1)
- The extraction of organic solvents led to a significant decrease in TOC content. The impact of oil washing on organic matter in siliceous shale was greater compared to calcareous shale, indicating a higher content of movable oil in siliceous shale than in calcareous shale.
- (2)
- For shale samples predominantly composed of carbonate minerals (Type I), the prevalent H2–H3 type hysteresis loop suggests a preponderance of ink-bottle-shaped pores, indicative of a relatively uniform pore structure within calcareous shale. Conversely, samples dominated by quartz-feldspathic minerals (Type II) exhibited diverse hysteresis loop types both before and after oil washing, underscoring the complex pore structure inherent to siliceous shale, characterized by the presence of multiple pore types.
- (3)
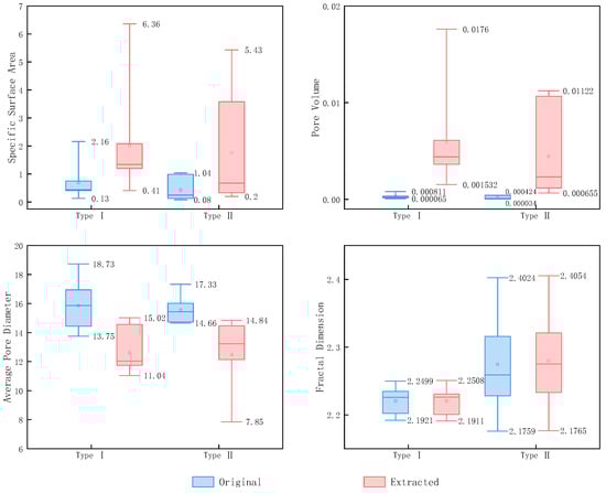
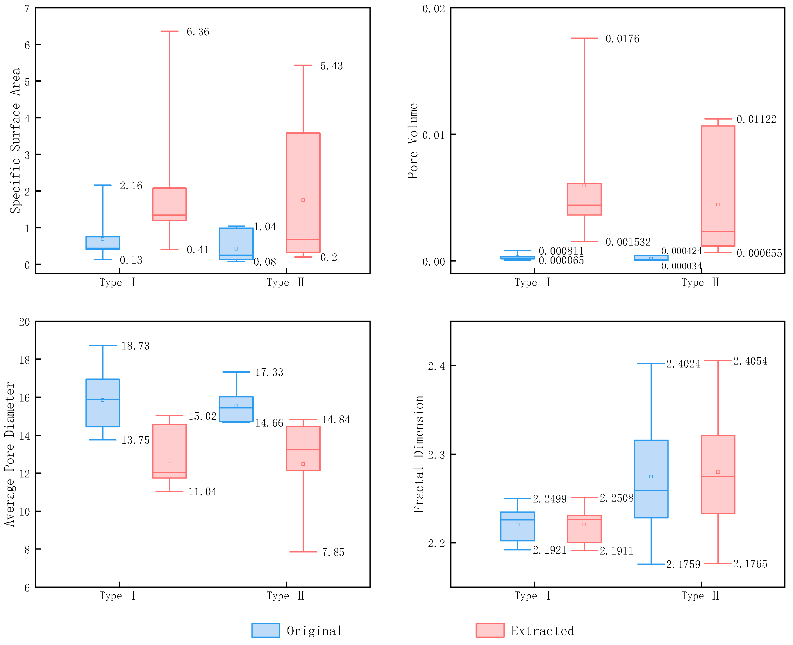
- After oil extraction, both Type I and Type II shale samples showed a significant increase in specific surface area and pore volume, indicating that the oil washing process released the pore space previously occupied by hydrocarbons, especially the shale dominated by quartz-feldspathic minerals containing more such of pores. Additionally, due to the limitations of nitrogen adsorption measurement technology, some large-diameter pores could not be effectively measured, leading to a trend of shrinking average pore diameter.
- (4)
- Before and after oil extraction, the fractal dimension of shale samples predominantly composed of carbonate minerals was primarily influenced by pore structure, exhibiting no discernible correlation with TOC. Conversely, the changes in fractal dimension observed in shale samples dominated by quartz-feldspathic minerals did not exhibit a clear correlation with either TOC or pore structure. This suggests that alterations in fractal dimension may result from the combined effects of TOC and pore structure, with TOC potentially playing a more significant role in this study.
Author Contributions
Funding
Data Availability Statement
Acknowledgments
Conflicts of Interest
References
- Bai, G.; Qiu, H.; Deng, Z.; Wang, W.; Chen, J. Distribution and Main Controls for Shale Oil Resources in USA. Pet. Geol. Exp. 2020, 42, 524–532. [Google Scholar]
- Zhang, J.; Lin, L.; Li, Y.; Tang, X.; Zhu, L.; Xing, Y.; Jiang, S.; Jing, T.; Yang, S. Classification and evaluation of shale oil. Earth Sci. Front. 2012, 19, 322–331. [Google Scholar]
- Zou, C.; Tao, S.; Yang, Z.; Yuan, X.; Zhu, R.; Hou, L.; Jia, J.; Wang, L.; Wang, S.; Bai, B.; et al. New Advance in Unconventional Petroleum Exploration and Research in China. Bull. Mineral. Petrol. Geochem. 2012, 31, 312–322. [Google Scholar]
- Zou, C.; Yang, Z.; Cui, J.; Zhu, R.; Hou, L.; Tao, S.; Yuan, X.; Wu, S.; Lin, S.; Wang, L.; et al. Formation Mechanism, Geological Characteristics and Development Strategy of Nonmarine Shale Oil in China. Pet. Explor. Dev. 2013, 40, 15–27. [Google Scholar] [CrossRef]
- Loucks, R.G.; Reed, R.M.; Ruppel, S.C.; Hammes, U. Spectrum of Pore Types and Networks in Mudrocks and a Descriptive Classification for Matrix-Related Mudrock Pores. Bulletin 2012, 96, 1071–1098. [Google Scholar] [CrossRef]
- Li, J.; Zhou, S.; Li, Y.; Ma, Y.; Yang, Y.; Li, C. Effect of Organic Matter on Pore Structure of Mature Lacustrine Organic-Rich Shale: A Case Study of the Triassic Yanchang Shale, Ordos Basin, China. Fuel 2016, 185, 421–431. [Google Scholar] [CrossRef]
- Li, A.; Ding, W.; He, J.; Dai, P.; Yin, S.; Xie, F. Investigation of Pore Structure and Fractal Characteristics of Organic-Rich Shale Reservoirs: A Case Study of Lower Cambrian Qiongzhusi Formation in Malong Block of Eastern Yunnan Province, South China. Mar. Pet. Geol. 2016, 70, 46–57. [Google Scholar] [CrossRef]
- Xu, Y.; Lun, Z.; Pan, Z.; Wang, H.; Zhou, X.; Zhao, C.; Zhang, D. Occurrence Space and State of Shale Oil: A Review. J. Petrol. Sci. Eng. 2022, 211, 110183. [Google Scholar] [CrossRef]
- Qi, Y.; Ju, Y.; Cai, J.; Gao, Y.; Zhu, H.; Hunag, C.; Wu, J.; Meng, S.; Chen, W. The Effects of Solvent Extraction on Nanoporosity of Marine-Continental Coal and Mudstone. Fuel 2019, 235, 72–84. [Google Scholar] [CrossRef]
- Guo, H.; Jia, W.; Peng, P.; Lei, Y.; Luo, X.; Cheng, M.; Wang, X.; Zhang, L.; Jiang, C. The Composition and Its Impact on the Methane Sorption of Lacustrine Shales from the Upper Triassic Yanchang Formation, Ordos Basin, China. Mar. Pet. Geol. 2014, 57, 509–520. [Google Scholar] [CrossRef]
- Liu, Z.; Liu, D.; Cai, Y.; Yao, Y.; Pan, Z.; Zhou, Y. Application of Nuclear Magnetic Resonance (NMR) in Coalbed Methane and Shale Reservoirs: A Review. Int. J. Coal Geol. 2020, 218, 103261. [Google Scholar] [CrossRef]
- Xiao, L.; Li, Z.; Yang, Y.; Tang, L.; Wan, C.; Liang, Z.; Yu, H.; Hou, Y.; Wang, L. Pore Evolution Model and Influencing Factors of Continental Shale in Yanchang Formation, Ordos Basin. Sci. Technol. Eng. 2020, 20, 8122–8132. [Google Scholar]
- Yang, F.; Meng, X.; Yu, X.; Yu, P.; Shao, G.; Chen, H. Micro-Pore Characteristics and Influencing Factors of Fengcheng Formation Shale in Well Maye-1. Xinjiang Pet. Geol. 2022, 43, 1. [Google Scholar]
- Li, Z.; Shen, X.; Qi, Z.; Hu, R. Study on the Pore Structure and Fractal Characteristics of Marine and Continental Shale Based on Mercury Porosimetry, N2 Adsorption and NMR Methods. J. Nat. Gas Sci. Eng. 2018, 53, 12–21. [Google Scholar] [CrossRef]
- Clarkson, C.R.; Solano, N.; Bustin, R.M.; Bustin, A.M.M.; Chalmers, G.R.L.; He, L.; Melnichenko, Y.B.; Radliński, A.P.; Blach, T.P. Pore Structure Characterization of North American Shale Gas Reservoirs Using USANS/SANS, Gas Adsorption, and Mercury Intrusion. Fuel 2013, 103, 606–616. [Google Scholar] [CrossRef]
- Liu, K.; Ostadhassan, M.; Sun, L.; Zou, J.; Yuan, Y.; Gentzis, T.; Zhang, Y.; Carvajal-Ortiz, H.; Rezaee, R. A Comprehensive Pore Structure Study of the Bakken Shale with SANS, N2 Adsorption and Mercury Intrusion. Fuel 2019, 245, 274–285. [Google Scholar] [CrossRef]
- Yang, F.; Ning, Z.; Liu, H. Fractal Characteristics of Shales from a Shale Gas Reservoir in the Sichuan Basin, China. Fuel 2014, 115, 378–384. [Google Scholar] [CrossRef]
- Liu, X.; Xiong, J.; Liang, L. Investigation of Pore Structure and Fractal Characteristics of Organic-Rich Yanchang Formation Shale in Central China by Nitrogen Adsorption/Desorption Analysis. J. Nat. Gas Sci. Eng. 2015, 22, 62–72. [Google Scholar] [CrossRef]
- Liu, K.; Ostadhassan, M.; Jang, H.W.; Zakharova, N.V.; Shokouhimehr, M. Comparison of Fractal Dimensions from Nitrogen Adsorption Data in Shale via Different Models. RSC Adv. 2021, 11, 2298–2306. [Google Scholar] [CrossRef] [PubMed]
- Neimark, A. A New Approach to the Determination of the Surface Fractal Dimension of Porous Solids. Phys. A 1992, 191, 258–262. [Google Scholar] [CrossRef]
- Wang, F.; Li, S. Determination of the Surface Fractal Dimension for Porous Media by Capillary Condensation. Ind. Eng. Chem. Res. 1997, 36, 1598–1602. [Google Scholar] [CrossRef]
- Wu, Y.; Liu, C.; Jiang, F.; Hu, T.; Lv, J.; Zhang, C.; Guo, X.; Huang, L.; Hu, M.; Huang, R.; et al. Geological Characteristics and Shale Oil Potential of Alkaline Lacustrine Source Rock in Fengcheng Formation of the Mahu Sag, Junggar Basin, Western China. J. Petrol. Sci. Eng. 2022, 216, 110823. [Google Scholar] [CrossRef]
- Hu, T.; Pang, X.; Yu, S.; Wang, X.; Pang, H.; Guo, J.; Jiang, F.; Shen, W.; Wang, Q.; Xu, J. Hydrocarbon Generation and Expulsion Characteristics of Lower Permian P1f Source Rocks in the Fengcheng Area, Northwest Margin, Junggar Basin, NW China: Implications for Tight Oil Accumulation Potential Assessment. Geol. J. 2016, 51, 880–900. [Google Scholar] [CrossRef]
- Song, J. Factors Influencing Factors and Evaluation of Mobility of the Fengcheng Formation Shale Oil in the Maye 1 Well Block, Mahu Sag. Master’s Thesis, China University of Petroleum (Beijing), Beijing, China, 2023. [Google Scholar]
- Zhu, R.; Zhang, L.; Li, Z.; Wang, R.; Zhang, S.; Zhang, L. Evaluation of Shale Oil Resource Potential in Continental Rift Basin: A Case Study of Lower Es3 Member in Dongying Sag. Pet. Geol. Recovery Effic. 2019, 26, 129–136. [Google Scholar]
- Guan, Z.; Liu, W.; Chen, X.; Ma, W.; Guo, S.; Tang, X. Oil Mobility of Low-Mature Lacustrine Shale and Controlling Factors: A Case Study from the Upper Cretaceous Nenjiang Formation, Gulong Sag, in the Songliao Basin. Energy Fuels 2023, 37, 3605–3621. [Google Scholar] [CrossRef]
- Xiao, Y.; Ye, Z.; Wang, H.; Yang, H.; Mu, N.; Ji, X.; Zhao, H. Pore Structure Characteristics of Shale Oil Reservoirs with Different Lithofacies and Their Effects on Mobility of Movable Fluids: A Case Study of the Chang 7 Member in the Ordos Basin, China. Energies 2024, 17, 862. [Google Scholar] [CrossRef]
- Wang, Y.; Tang, D. Geological Characteristics of Typi- Cal Shale Profile in a Saline Lacustrine Rift Basin: A Case Study of Dongying Sag. Reserv. Eval. Dev. 2022, 12, 181–191. [Google Scholar]
- Wu, Y.; Liu, C.; Jiang, F.; Hu, T.; Awan, R.S.; Chen, Z.; Lv, J.; Zhang, C.; Hu, M.; Huang, R.; et al. Occurrence Space and State of Petroleum in Lacustrine Shale: Insights from Two-Step Pyrolysis and the N2 Adsorption Experiment. Energy Fuels 2022, 36, 10920–10933. [Google Scholar] [CrossRef]
- Gong, D.; Bai, L.; Gao, Z.; Qin, Z.; Wang, Z.; Wei, W.; Yang, A.; Wang, R. Occurrence Mechanisms of Laminated-Type and Sandwich-Type Shale Oil in the Fengcheng Formation of Mahu Sag, Junggar Basin. Energy Fuels 2023, 37, 13960–13975. [Google Scholar] [CrossRef]
- Jiang, F.; Hu, M.; Hu, T.; Lyu, J.; Huang, L.; Liu, C.; Jiang, Z.; Huang, R.; Zhang, C.; Wu, G.; et al. Controlling Factors and Models of Shale Oil Enrichment in Lower Permian Fengcheng Formation, Mahu Sag, Junggar Basin, NW China. Pet. Explor. Dev. 2023, 50, 812–825. [Google Scholar] [CrossRef]
- Zhi, D.; Tang, Y.; He, W.; Guo, X.; Zheng, M.; Huang, L. Orderly Coexistence and Accumulation Models of Conventional and Unconventional Hydrocarbons in Lower Permian Fengcheng Formation, Mahu Sag, Junggar Basin. Pet. Explor. Dev. 2021, 48, 43–59. [Google Scholar] [CrossRef]
- Zhang, Z.; Yuan, X.; Wang, M.; Zhou, C.; Tang, Y.; Chen, X.; Lin, M.; Cheng, D. Alkaline-Lacustrine Deposition and Paleoenvironmental Evolution in Permian Fengcheng Formation at the Mahu Sag, Junggar Basin, NW China. Pet. Explor. Dev. 2018, 45, 1036–1049. [Google Scholar] [CrossRef]
- Wang, Z.; Gao, Z.; He, W.; Yang, L.; Huang, L.; Jiang, Z.; Chang, J.; Zheng, G.; Wei, W.; Duan, L.; et al. Using Spontaneous Imbibition to Evaluate the Hydrocarbon Migration and Accumulation Potential of Shale Reservoirs: A Case Study of the Permian Fengcheng Formation in the Mahu Sag, Junggar Basin. Energy Fuels 2023, 37, 360–372. [Google Scholar] [CrossRef]
- Yu, K.; Cao, Y.; Qiu, L.; Sun, P. The Hydrocarbon Generation Potential and Migration in an Alkaline Evaporite Basin: The Early Permian Fengcheng Formation in the Junggar Basin, Northwestern China. Mar. Pet. Geol. 2018, 98, 12–32. [Google Scholar] [CrossRef]
- Song, Y.; Yang, Z.; He, W.; Gan, R.; Zhang, R.; Huang, L.; Xu, P.; Zhao, X.; Chen, Z. Exploration Progress of Alkaline Lake Type Shale Oil of the Permian Fengcheng Formation in Mahu Sag, Junggar Basin. China Pet. Explor. 2022, 27, 60. [Google Scholar]
- Yang, Z.; Tang, Y.; Guo, X.; Huang, L.; Wang, Z.; Zhao, X. Occurrence States and Potential Influencing Factors of Shale Oil in the Permian Fengcheng Formation of Mahu Sag, Junggar Basin. Pet. Geol. Exp. 2021, 43, 784–796. [Google Scholar]
- Qian, C.; Li, X.; Shen, W.; Zhang, Q.; Guo, W.; Hu, Y.; Cui, Y.; Jia, Y. Study on the Pore Structure and Fractal Characteristics of Different Lithofacies of Wufeng–Longmaxi Formation Shale in Southern Sichuan Basin, China. ACS Omega 2022, 7, 8724–8738. [Google Scholar] [CrossRef] [PubMed]
- Cao, J.; Zhang, Y.; Hu, W.; Yao, S.; Wang, X.; Zhang, Y.; Tang, Y. The Permian Hybrid Petroleum System in the Northwest Margin of the Junggar Basin, Northwest China. Mar. Pet. Geol. 2005, 22, 331–349. [Google Scholar] [CrossRef]
- Shifa, Z.; Xiaomin, Z.; Xin, L.; Dong, W.; Dongna, Z. Authigenic Minerals and Diagenetic Evolution in Altered Volcanic Materials and Their Impacts on Hydrocarbon Reservoirs: Evidence from the Lower Permian in the Northwestern Margin of Junggar Basin, China. Arab. J. Geosci. 2016, 9, 97. [Google Scholar] [CrossRef]
- Wang, M.; Zhang, Z.; Zhou, C.; Yuan, X.; Lin, M.; Liu, Y.; Cheng, D. Litholo-Gical Characteristics and Origin of Alkaline Lacustrine of the Lower Permian Fengcheng Formation in Mahu Sag, Junggar Basin. J. Palaeogeogr. 2018, 20, 147–162. [Google Scholar]
- Liu, B.; Bai, L.; Chi, Y.; Jia, R.; Fu, X.; Yang, L. Geochemical Characterization and Quantitative Evaluation of Shale Oil Reservoir by Two-Dimensional Nuclear Magnetic Resonance and Quantitative Grain Fluorescence on Extract: A Case Study from the Qingshankou Formation in Southern Songliao Basin, Northeast China. Mar. Pet. Geol. 2019, 109, 561–573. [Google Scholar] [CrossRef]
- SY/T 6210-1996; X-ray Diffraction Analysis Method of Clay Minerals and Common Non-Clay Minerals in Sedimentary Rocks. National Energy Administration: Beijing, China, 2010.
- GB/T 19145-2003; Determination of Total Organic Carbon in Sedimentary Rocks. General Administration of Quality Supervision. Inspection and Quarantine of the People’s Republic of China: Beijing, China, 2003.
- GB/T 18602-2012; Rock Pyrolysis Analysis. General Administration of Quality Supervision. Inspection and Quarantine of the People’s Republic of China: Beijing, China, 2012.
- SY/T 6154-1995; Static Nitrogen Adsorption Capacity Method for Determination of Rock Specific Surface and Pore Size Distribution. National Energy Administration: Beijing, China, 1995.
- Brunauer, S.; Emmett, P.H.; Teller, E. Adsorption of Gases in Multimolecular Layers. J. Am. Chem. Soc. 1938, 60, 309–319. [Google Scholar] [CrossRef]
- Barrett, E.P.; Joyner, L.G.; Halenda, P.P. The Determination of Pore Volume and Area Distributions in Porous Substances. I. Computations from Nitrogen Isotherms. J. Am. Chem. Soc. 1951, 73, 373–380. [Google Scholar] [CrossRef]
- Pfeifer, P.; Avnir, D. Chemistry in Noninteger Dimensions between Two and Three. I. Fractal Theory of Heterogeneous Surfaces. J. Chem. Phys. 1983, 79, 3558–3565. [Google Scholar] [CrossRef]
- Li, Y.; Wang, Z.; Pan, Z.; Niu, X.; Yu, Y.; Meng, S. Pore Structure and Its Fractal Dimensions of Transitional Shale: A Cross-Section from East Margin of the Ordos Basin, China. Fuel 2019, 241, 417–431. [Google Scholar] [CrossRef]
- Li, Z.; Song, M.; Li, Y.; Liu, H.; Xu, C.; Wang, D.; Kong, F.; Han, Q. Petrographic Classification of Lacustrine Fine-Grained Rocks Using a Two-Level Index Division Method and a Case Study of Its Application. Geoscience 2021, 35, 365. [Google Scholar]
- Tissot, B.P.; Welte, D.H. Petroleum Formation and Occurrence; Springer Science & Business Media: Berlin/Heidelberg, Germany, 2013. [Google Scholar]
- Zhi, D.; Cao, J.; Xiang, B.; Qin, Z.; Wang, T. Fengcheng Alkaline Lacustrine Source Rocks of Lower Permian in Mahu Sag in Junggar Basin: Hydrocarbon Generation Mechanism and Petroleum Resources Reestimation. Xinjiang Pet. Geol. 2016, 37, 1. [Google Scholar]
- Jiang, F.; Huang, R.; Hu, T.; Lv, J.; Huang, L.; Jiang, Z.; Hu, M.; Zhang, C.; Wu, G.; Wu, Y. Geological Characteristics and Classification Evaluation of Shale Oil in Fengcheng Formation in Mahu Sag, Junggar Basin. Acta Pet. Sin. 2022, 43, 899. [Google Scholar]
- Li, T.; Jiang, Z.; Xu, C.; Liu, B.; Liu, G.; Wang, P.; Li, X.; Chen, W.; Ning, C.; Wang, Z. Effect of Pore Structure on Shale Oil Accumulation in the Lower Third Member of the Shahejie Formation, Zhanhua Sag, Eastern China: Evidence from Gas Adsorption and Nuclear Magnetic Resonance. Mar. Pet. Geol. 2017, 88, 932–949. [Google Scholar] [CrossRef]
- Sing, K.S. Reporting Physisorption Data for Gas/Solid Systems with Special Reference to the Determination of Surface Area and Porosity (Recommendations 1984). Pure Appl. Chem. 1985, 57, 603–619. [Google Scholar] [CrossRef]
- Liu, S.; Cai, J.; Liu, H.; Li, X.; Li, Z.; Bao, Y. A New Classification Method of Shale Reservoirs Based on the Relationship between Pore Volume and Surface Area: Shahejie Formation, Jiyang Depression, and Bohai Bay Basin. Energy Fuels 2023, 37, 13785–13798. [Google Scholar] [CrossRef]
- Yao, Y.; Liu, D.; Tang, D.; Tang, S.; Huang, W. Fractal Characterization of Adsorption-Pores of Coals from North China: An Investigation on CH4 Adsorption Capacity of Coals. Int. J. Coal Geol. 2008, 73, 27–42. [Google Scholar] [CrossRef]
- Lei, H.; Qi, J.; Zhou, N.; Chen, J.; Meng, Y.; Zhang, X.; Chen, R. Genesis and Petroleum Significance of Silica-Rich Shale in Fengcheng Formation of Well Maye-1, Mahu Sag. Xinjiang Pet. Geol. 2022, 43, 724. [Google Scholar]
- Bai, L.-H.; Liu, B.; Du, Y.-J.; Wang, B.-Y.; Tian, S.-S.; Wang, L.; Xue, Z.-Q. Distribution Characteristics and Oil Mobility Thresholds in Lacustrine Shale Reservoir: Insights from N2 Adsorption Experiments on Samples Prior to and Following Hydrocarbon Extraction. Pet. Sci. 2022, 19, 486–497. [Google Scholar] [CrossRef]
- Kuila, U.; McCarty, D.K.; Derkowski, A.; Fischer, T.B.; Topór, T.; Prasad, M. Nano-Scale Texture and Porosity of Organic Matter and Clay Minerals in Organic-Rich Mudrocks. Fuel 2014, 135, 359–373. [Google Scholar] [CrossRef]









| Sample Number | Depth | Lithology | Qtz + Fsp | Total Carb | Total Clay | Pyrite | Type |
|---|---|---|---|---|---|---|---|
| (m) | (wt.%) | (wt.%) | (wt.%) | (wt.%) | (wt.%) | ||
| 1 | 4716.34 | Argillaceous silty dolomite | 29.7 | 62.5 | 4.2 | 3.6 | I |
| 2 | 4738.73 | Dolomitic mudstone | 45.1 | 40.6 | 9.5 | 4.8 | III |
| 3 | 4740.43 | Silty argillaceous dolomite | 50.9 | 39.2 | 6.4 | 3.5 | II |
| 4 | 4744.9 | Silty dolomitic mudstone | 61.6 | 33.1 | 2.5 | 2.7 | II |
| 5 | 4751.36 | Dolomitic mudstone | 38 | 50.5 | 9.9 | 1.7 | I |
| 6 | 4759.42 | Argillaceous dolomite | 41.5 | 52.5 | 4.4 | 1.5 | I |
| 7 | 4766.56 | mudstone | 54.7 | 38.7 | 3.7 | 3.0 | II |
| 8 | 4773.99 | Silty argillaceous fine sandstone | 66.6 | 22.6 | 3.2 | 7.6 | II |
| 9 | 4790.94 | Dolomite argillaceous fine sandstone | 66 | 25.6 | 2.9 | 4.4 | II |
| 10 | 4799.67 | Dolomite silty mudstone | 39.9 | 56 | 3.1 | 1.1 | I |
| 11 | 4800.45 | Dolomitic mudstone | 46.7 | 49.8 | 2.3 | 1.2 | I |
| 12 | 4800.98 | Silty mudstone | 57 | 33.1 | 4.3 | 5.5 | II |
| 13 | 4802.2 | Argillaceous dolomitic fine sandstone | 36.1 | 44 | 13.7 | 3.8 | III |
| 14 | 4804.95 | Dolomitic fine sandstone | 69.9 | 15.5 | 6.6 | 6.8 | II |
| 15 | 4816.79 | Calcareous mudstone | 40.8 | 55.3 | 1.2 | 2.7 | I |
| 16 | 4830.31 | Fine sandy dolomite | 56.4 | 32.6 | 5.7 | 3.8 | II |
| 17 | 4835.28 | Silty dolomite | 37.9 | 50.4 | 7.4 | 4.3 | I |
| 18 | 4850.43 | Silty argillaceous fine sandstone | 61.3 | 16.8 | 9.2 | 7.6 | II |
| 19 | 4851.11 | Dolomitic silty mudstone | 61.6 | 16.3 | 9 | 7.2 | II |
| Type | Sample Number | TOC-Original | TOC-Extracted | S1 | S2 | Tmax | HI |
|---|---|---|---|---|---|---|---|
| (wt.%) | (wt.%) | (mgHC/grock) | (mgHC/grock) | (°C) | (mgHC/gTOC) | ||
| I | 1 | 0.83 | 0.5 | 0.88 | 1.09 | 424.1 | 131.71 |
| 5 | 0.92 | 0.68 | 0.42 | 1.93 | 440.1 | 209.23 | |
| 6 | 0.62 | 0.38 | 0.27 | 0.87 | 432.1 | 140.42 | |
| 10 | 0.72 | 0.56 | 0.75 | 2.19 | 436.8 | 302.86 | |
| 11 | 0.54 | 0.45 | 0.35 | 1.47 | 438.2 | 273.12 | |
| 15 | 0.76 | 0.57 | 4.29 | 2.55 | 421.6 | 335.47 | |
| 17 | 1.04 | 0.94 | 0.12 | 0.87 | 424.6 | 83.45 | |
| Average | 0.78 | 0.58 | / | / | / | / | |
| II | 3 | 1.07 | 0.64 | 0.21 | 1.58 | 431.1 | 147.49 |
| 4 | 1.42 | 0.84 | 0.52 | 2.33 | 437.1 | 164.4 | |
| 7 | 0.72 | 0.44 | 0.97 | 1.42 | 432.3 | 198.05 | |
| 8 | 1.06 | 0.85 | 0.16 | 2.36 | 440.1 | 223.09 | |
| 9 | 0.46 | 0.27 | 0.82 | 0.89 | 420.7 | 193.86 | |
| 12 | 1.33 | 0.83 | 1.21 | 2.01 | 431.3 | 150.84 | |
| 14 | 0.82 | 0.56 | 0.31 | 1.85 | 433.6 | 226.98 | |
| 16 | 0.58 | 0.43 | 0.26 | 1.18 | 436.8 | 205.72 | |
| 18 | 0.77 | 0.3 | 1.06 | 1.39 | 425.7 | 181.26 | |
| 19 | 0.78 | 0.38 | 0.72 | 1.24 | 429.7 | 159.57 | |
| Average | 0.90 | 0.55 | / | / | / | / |
| Type I | Type II | ||||||
|---|---|---|---|---|---|---|---|
| Samples | Doriginal | Dextracted | ΔD | Samples | Doriginal | Dextracted | ΔD |
| 1 | 2.2298 | 2.2306 | 0.0008 | 3 | 2.2425 | 2.2406 | −0.0019 |
| 5 | 2.2499 | 2.2508 | 0.0009 | 4 | 2.3157 | 2.3093 | −0.0064 |
| 6 | 2.2099 | 2.2131 | 0.0032 | 7 | 2.226 | 2.2256 | −0.0004 |
| 10 | 2.2257 | 2.2261 | 0.0004 | 8 | 2.2756 | 2.321 | 0.0454 |
| 11 | 2.1921 | 2.1911 | −0.001 | 9 | 2.2282 | 2.234 | 0.0058 |
| 15 | 2.2347 | 2.2307 | −0.004 | 12 | 2.4024 | 2.4054 | 0.003 |
| 17 | 2.2022 | 2.2004 | −0.0018 | 14 | 2.2335 | 2.2329 | −0.0006 |
| 16 | 2.1759 | 2.1765 | 0.0006 | ||||
| 18 | 2.3096 | 2.3124 | 0.0028 | ||||
| 19 | 2.3367 | 2.3373 | 0.0006 | ||||
| Average | 2.2206 | 2.2204 | −0.0002 | Average | 2.2746 | 2.2795 | 0.0049 |
Disclaimer/Publisher’s Note: The statements, opinions and data contained in all publications are solely those of the individual author(s) and contributor(s) and not of MDPI and/or the editor(s). MDPI and/or the editor(s) disclaim responsibility for any injury to people or property resulting from any ideas, methods, instructions or products referred to in the content. |
© 2024 by the authors. Licensee MDPI, Basel, Switzerland. This article is an open access article distributed under the terms and conditions of the Creative Commons Attribution (CC BY) license (https://creativecommons.org/licenses/by/4.0/).
Share and Cite
Zhang, H.; Zhang, Z.; Wang, Z.; Wang, Y.; Yang, R.; Zhu, T.; Luo, F.; Liu, K. Using Fractal Theory to Study the Influence of Movable Oil on the Pore Structure of Different Types of Shale: A Case Study of the Fengcheng Formation Shale in Well X of Mahu Sag, Junggar Basin, China. Fractal Fract. 2024, 8, 242. https://doi.org/10.3390/fractalfract8040242
Zhang H, Zhang Z, Wang Z, Wang Y, Yang R, Zhu T, Luo F, Liu K. Using Fractal Theory to Study the Influence of Movable Oil on the Pore Structure of Different Types of Shale: A Case Study of the Fengcheng Formation Shale in Well X of Mahu Sag, Junggar Basin, China. Fractal and Fractional. 2024; 8(4):242. https://doi.org/10.3390/fractalfract8040242
Chicago/Turabian StyleZhang, Hong, Zhengchen Zhang, Zhenlin Wang, Yamin Wang, Rui Yang, Tao Zhu, Feifei Luo, and Kouqi Liu. 2024. "Using Fractal Theory to Study the Influence of Movable Oil on the Pore Structure of Different Types of Shale: A Case Study of the Fengcheng Formation Shale in Well X of Mahu Sag, Junggar Basin, China" Fractal and Fractional 8, no. 4: 242. https://doi.org/10.3390/fractalfract8040242
APA StyleZhang, H., Zhang, Z., Wang, Z., Wang, Y., Yang, R., Zhu, T., Luo, F., & Liu, K. (2024). Using Fractal Theory to Study the Influence of Movable Oil on the Pore Structure of Different Types of Shale: A Case Study of the Fengcheng Formation Shale in Well X of Mahu Sag, Junggar Basin, China. Fractal and Fractional, 8(4), 242. https://doi.org/10.3390/fractalfract8040242

