Introducing an Enhanced Cumulative Size Distribution Model to Unearth the Origins of Macropore Heterogeneity of the Chang-7 Shale Oil Reservoirs in the Ordos Basin
Abstract
1. Introduction
2. Geological Setting
3. Samples and Experiments
3.1. Sample Preparation
3.2. Experimental Procedures
4. Development of Macropore Fractal Models
4.1. Fractal Model Based on MICP Analysis
4.2. Fractal Models Based on SEM Analysis
4.2.1. Traditional Cumulative-Size Distribution Model and Its Limitations
4.2.2. An Enhanced Cumulative-Size Distribution Model
5. Results and Discussion
5.1. Petrological Characteristics
5.2. Macropore Fractal Analysis for Whole Rocks
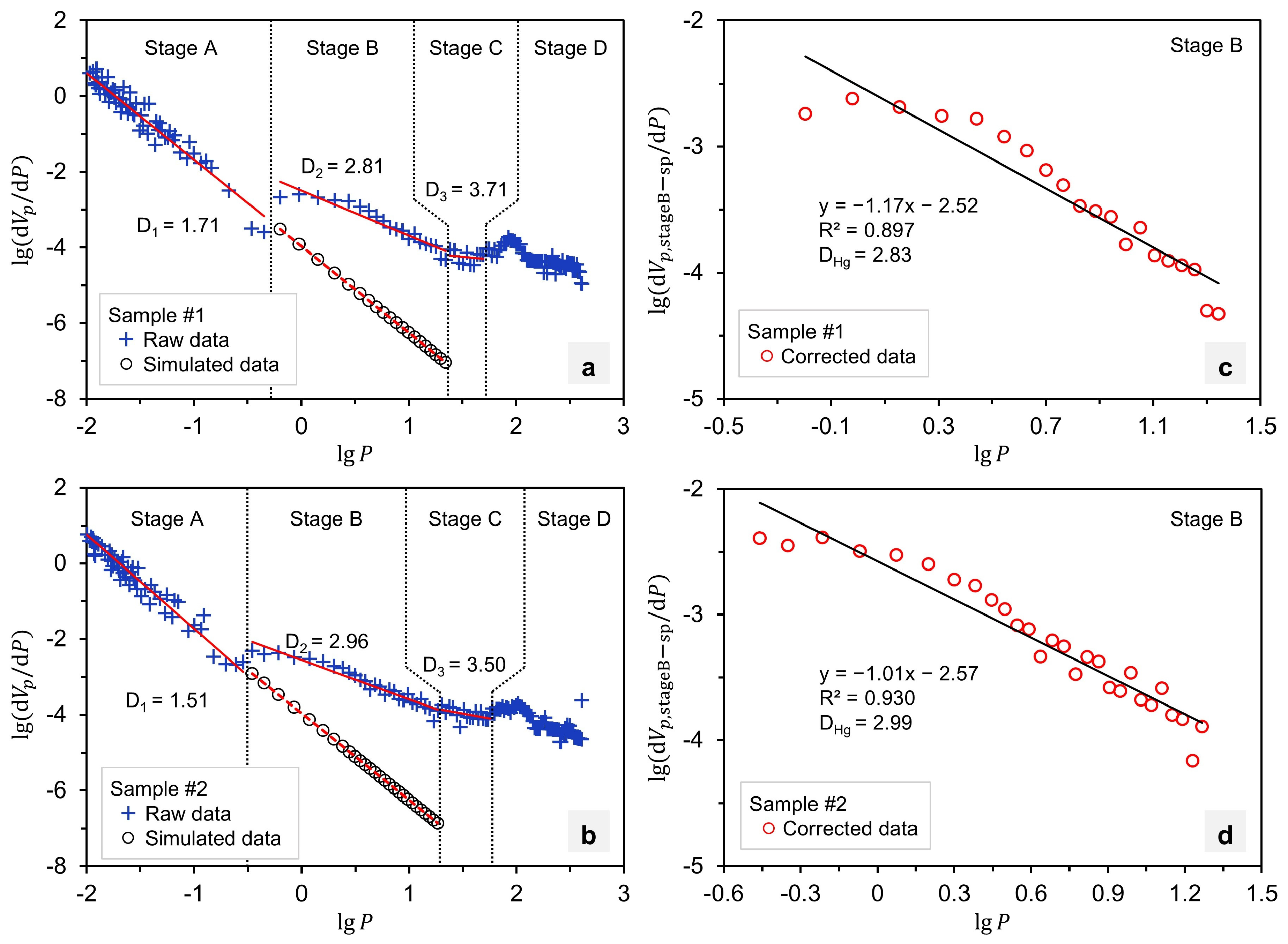
5.2.1. Determination of Fractal Dimensions Using MICP
5.2.2. Relationship Between Fractal Dimensions and Petrological Properties
5.3. Fractal Nature of Multi-Type Macropores Across Various Lithologies
5.3.1. Macropore Types and Count-Size Distribution
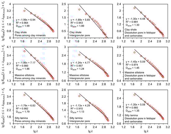
5.3.2. Fractal Dimension Assessment by SEM Analysis
5.4. Mechanistic Insights into Macropores Heterogeneity in the Chang-7 Shale Oil Reservoirs
5.5. Implications for Methodology: Applicability, Advantages, and Limitations
6. Conclusions
Supplementary Materials
Author Contributions
Funding
Data Availability Statement
Conflicts of Interest
References
- Yang, J.; Wang, M.; Wu, L.; Liu, Y.; Qiu, S.; Xu, P. A Novel Monte Carlo Simulation on Gas Flow in Fractal Shale Reservoir. Energy 2021, 236, 121513. [Google Scholar] [CrossRef]
- Song, W.; Yao, J.; Zhang, K.; Yang, Y.; Sun, H. Understanding Gas Transport Mechanisms in Shale Gas Reservoir: Pore Network Modelling Approach. Adv. Geo-Energy Res. 2022, 6, 359–360. [Google Scholar] [CrossRef]
- Yang, Y.; Xiao, W.; Zheng, L.; Lei, Q.; Qin, C.; He, Y.; Liu, S.; Li, M.; Li, Y.; Zhao, J.; et al. Pore Throat Structure Heterogeneity and Its Effect on Gas-Phase Seepage Capacity in Tight Sandstone Reservoirs: A Case Study from the Triassic Yanchang Formation, Ordos Basin. Pet. Sci. 2023, 20, 2892–2907. [Google Scholar] [CrossRef]
- Ozotta, O.; Ostadhassan, M.; Liu, K.; Lee, H.; Pu, H.; Kolawole, O.; Malki, M.L. Time-Dependent Impact of CO2-Shale Interaction on CO2 Storage. In Proceedings of the 15th International Conference on Greenhouse Gas Control Technologies, Abu Dhabi, United Arab Emirates, 15–18 March 2021; pp. 15–18. [Google Scholar]
- Mandelbrot, B.B. Stochastic Models for the Earth’s Relief, the Shape and the Fractal Dimension of the Coastlines, and the Number Area Rule for Islands. Proc. Natl. Acad. Sci. USA 1975, 72, 3825–3828. [Google Scholar] [CrossRef]
- Peng, C.; Zou, C.; Yang, Y.; Zhang, G.; Wang, W. Fractal Analysis of High Rank Coal from Southeast Qinshui Basin by Using Gas Adsorption and Mercury Porosimetry. J. Pet. Sci. Eng. 2017, 156, 235–249. [Google Scholar] [CrossRef]
- Yang, F.; Ning, Z.; Liu, H. Fractal Characteristics of Shales from a Shale Gas Reservoir in the Sichuan Basin, China. Fuel 2014, 115, 378–384. [Google Scholar] [CrossRef]
- Yao, Y.; Liu, D.; Tang, D.; Tang, S.; Huang, W.; Liu, Z.; Che, Y. Fractal Characterization of Seepage-Pores of Coals from China: An Investigation on Permeability of Coals. Comput. Geosci. 2009, 35, 1159–1166. [Google Scholar] [CrossRef]
- Chandra, D.; Bakshi, T.; Bahadur, J.; Hazra, B.; Vishal, V.; Kumar, S.; Sen, D.; Singh, T.N. Pore Morphology in Thermally-Treated Shales and Its Implication on CO2 Storage Applications: A Gas Sorption, SEM, and Small-Angle Scattering Study. Fuel 2023, 331, 125877. [Google Scholar] [CrossRef]
- Zhang, J.; Tang, Y.; Ge, D.; Sun, P.; Zou, X. Full-Scale Nanopore System and Fractal Characteristics of Clay-Rich Lacustrine Shale Combining FE-SEM, Nano-CT, Gas Adsorption and Mercury Intrusion Porosimetry. Appl. Clay Sci. 2020, 196, 105758. [Google Scholar] [CrossRef]
- Liu, Y.; Zhang, H.; Zhang, Z.; Jing, L.; Liu, K. Quantifying the Pore Heterogeneity of Alkaline Lake Shale during Hydrous Pyrolysis by Using the Multifractal Method. Fractal Fract. 2024, 8, 335. [Google Scholar] [CrossRef]
- Zhang, Q.; Dong, Y.; Tong, S. Pore-Type-Dependent Fractal Features of Shales and Implications on Permeability. Fractal Fract. 2023, 7, 803. [Google Scholar] [CrossRef]
- Yu, Y.; Luo, X.; Wang, Z.; Cheng, M.; Lei, Y.; Zhang, L.; Yin, J. A New Correction Method for Mercury Injection Capillary Pressure (MICP)to Characterize the Pore Structure of Shale. J. Nat. Gas Sci. Eng. 2019, 68, 102896. [Google Scholar] [CrossRef]
- Zhang, N.; Wang, X.; Wang, S.; Wang, R.; Wu, J.; Li, Z.; Song, Y. Multifractal Characteristics on Pore Structure of Longmaxi Shale Using Nuclear Magnetic Resonance (NMR). Geoenergy Sci. Eng. 2024, 241, 213176. [Google Scholar] [CrossRef]
- Lu, H.; Li, Q.; Yue, D.; Wu, Y.; Gao, J.; Wu, S.; Wang, W.; Li, M.; An, K. Quantitative Characterization and Formation Mechanism of the Pore System Heterogeneity: Examples from Organic-Rich Laminated and Organic-Poor Layered Shales of the Upper Triassic Chang 7 Member in the Southern Ordos Basin, China. Mar. Pet. Geol. 2023, 147, 105999. [Google Scholar] [CrossRef]
- Jiao, K.; Yao, S.; Liu, C.; Gao, Y.; Wu, H.; Li, M.; Tang, Z. The Characterization and Quantitative Analysis of Nanopores in Unconventional Gas Reservoirs Utilizing FESEM-FIB and Image Processing: An Example from the Lower Silurian Longmaxi Shale, Upper Yangtze Region, China. Int. J. Coal Geol. 2014, 128–129, 1–11. [Google Scholar] [CrossRef]
- Pan, J.; Wang, K.; Hou, Q.; Niu, Q.; Wang, H.; Ji, Z. Micro-Pores and Fractures of Coals Analysed by Field Emission Scanning Electron Microscopy and Fractal Theory. Fuel 2016, 164, 277–285. [Google Scholar] [CrossRef]
- Yu, B.; Li, J.; Li, Z.; Zou, M. Permeabilities of Unsaturated Fractal Porous Media. Int. J. Multiph. Flow 2003, 29, 1625–1642. [Google Scholar] [CrossRef]
- Yu, B.; Cheng, P. A Fractal Permeability Model for Bi-Dispersed Porous Media. Int. J. Heat Mass Transf. 2002, 45, 2983–2993. [Google Scholar] [CrossRef]
- Zuo, M.; Chen, H.; Liu, X.; Liu, H.; Wu, Y.; Qi, X. Fractal Model of Spontaneous Imbibition in Low-Permeability Reservoirs Coupled with Heterogeneity of Pore Seepage Channels and Threshold Pressure. Pet. Sci. 2024, 21, 1002–1017. [Google Scholar] [CrossRef]
- Hu, T.; Pang, X.; Jiang, F. Advances in Whole Petroleum System Theory and New Directions for Petroleum Geology Development. Adv. Geo-Energy Res. 2024, 11, 1–5. [Google Scholar] [CrossRef]
- Gao, C.; Chen, Y.; Yin, J.; Liang, Q.; Hao, S.; Zhang, L.; Zhao, Q.; Sun, J.; Xu, J. Experimental Study on Reservoir Characteristics and Oil-Bearing Properties of Chang 7 Lacustrine Oil Shale in Yan’an Area, China. Open Geosci. 2022, 14, 234–251. [Google Scholar] [CrossRef]
- Wang, Z.; Dong, L.; Jin, Z.; Zou, S.; Fu, J.; Zhu, R. Efforts to Untie the Multicollinearity Knot and Identify Factors Controlling Macropore Structures in Shale Oil Reservoirs. Adv. Geo-Energy Res. 2024, 11, 194–207. [Google Scholar] [CrossRef]
- Sing, K.S.W.; Everett, D.H.; Haul, R.A.W.; Moscou, L.; Pierotti, R.A.; Rouquerol, J.; Siemieniewska, T. Reporting Physisorption Data for Gas/Solid Systems with Special Reference to the Determination of Surface Area and Porosity (Recommendations 1984). Pure Appl. Chem. 1985, 57, 603–619. [Google Scholar] [CrossRef]
- Li, J.; Lu, S.; Cai, J.; Zhang, P.; Xue, H.; Zhao, X. Adsorbed and Free Oil in Lacustrine Nanoporous Shale: A Theoretical Model and a Case Study. Energy Fuels 2018, 32, 12247–12258. [Google Scholar] [CrossRef]
- Guo, H.; Jia, W.; Peng, P.; Lei, Y.; Luo, X.; Cheng, M.; Wang, X.; Zhang, L.; Jiang, C. The Composition and Its Impact on the Methane Sorption of Lacustrine Shales from the Upper Triassic Yanchang Formation, Ordos Basin, China. Mar. Pet. Geol. 2014, 57, 509–520. [Google Scholar] [CrossRef]
- Lin, S.; Hou, L.; Luo, X.; Wu, Y. A Millimeter-Scale Insight into Formation Mechanism of Lacustrine Black Shale in Tephra Deposition Background. Sci. Rep. 2022, 12, 11511. [Google Scholar] [CrossRef]
- Liu, C.; Zhao, H.; Gui, X.; Yue, L.; Zhao, J.; Wang, J. Space-Time Coordinate of the Evolution and Reformation and Mineralization Response in Ordos Basin. Acta Geol. Sin. 2006, 80, 617–638. [Google Scholar] [CrossRef]
- Fu, J.; Li, S.; Guo, Q.; Guo, W.; Zhou, X.; Liu, J. Enrichment Condition and Favorable Area Optimization of Continental Shale Oil in Ordos Basin. Acta Pet. Sin. 2022, 43, 1702–1716. [Google Scholar] [CrossRef]
- Cao, Z.; Liu, G.; Zhan, H.; Li, C.; You, Y.; Yang, C.; Jiang, H. Pore Structure Characterization of Chang-7 Tight Sandstone Using MICP Combined with N2GA Techniques and Its Geological Control Factors. Sci. Rep. 2016, 6, 36919. [Google Scholar] [CrossRef]
- Hou, L.; He, K.; Zhai, J.; Mi, J.; Weng, N. Compositional Kinetics for Hydrocarbon Evolution in the Pyrolysis of the Chang 7 Organic Matter: Implications for in-Situ Conversion of Oil Shale. J. Anal. Appl. Pyrolysis 2022, 162, 105434. [Google Scholar] [CrossRef]
- Zhao, W.; Hu, S.; Hou, L. Connotation and Strategic Role of In-Situ Conversion Processing of Shale Oil Underground in the Onshore China. Pet. Explor. Dev. 2018, 45, 563–572. [Google Scholar] [CrossRef]
- Zhao, W.; Zhu, R.; Hu, S.; Hou, L.; Wu, S. Accumulation Contribution Differences between Lacustrine Organic-Rich Shales and Mudstones and Their Significance in Shale Oil Evaluation. Pet. Explor. Dev. 2020, 47, 1079–1089. [Google Scholar] [CrossRef]
- Cui, J.; Zhu, R.; Li, S.; Qi, Y.; Shi, X.; Mao, Z. Development Patterns of Source Rocks in the Depression Lake Basin and Its Influence on Oil Accumulation: Case Study of the Chang 7 Member of the Triassic Yanchang Formation, Ordos Basin, China. J. Nat. Gas Geosci. 2019, 4, 191–204. [Google Scholar] [CrossRef]
- Wang, Z.; Fu, J.; Liu, X.; Li, S.; Zhang, C.; Liang, X.; Dong, L. The Influence of Hydrothermal Activities on Shale Oil Reservoirs during the Burial Period of the Upper Triassic Chang 7 Member, Ordos Basin. Oil Gas Geol. 2023, 44, 899–909. [Google Scholar] [CrossRef]
- Ren, Z.; Zhang, S.; Gao, S.; Cui, J.; Liu, X. Research on Region of Maturation Anomaly and Formation Time in Ordos Basin. Acta Geol. Sin. 2006, 80, 675–684. [Google Scholar] [CrossRef]
- Comisky, J.T.; Santiago, M.; McCollom, B.; Buddhala, A.; Newsham, K.E. Sample Size Effects on the Application of Mercury Injection Capillary Pressure for Determining the Storage Capacity of Tight Gas and Oil Shales. In Proceedings of the Society of Petroleum Engineers—Canadian Unconventional Resources Conference 2011, CURC 2011, Calgary, AB, Canada, 19–21 October 2011; p. 149432. [Google Scholar]
- Washburn, E.W. The Dynamics of Capillary Flow. Phys. Rev. 1921, 18, 206–209. [Google Scholar] [CrossRef]
- Yu, Y.; Luo, X.; Cheng, M.; Lei, Y.; Wang, X.; Zhang, L.; Jiang, C.; Zhang, L. Study on the Distribution of Extractable Organic Matter in Pores of Lacustrine Shale: An Example of Zhangjiatan Shale from the Upper Triassic Yanchang Formation, Ordos Basin, China. Interpretation 2016, 5, SF109–SF126. [Google Scholar] [CrossRef]
- Abràmoff, M.D.; Magalhães, P.J.; Ram, S.J. Image Processing with ImageJ. Biophotonics Int. 2004, 11, 36–41. [Google Scholar] [CrossRef]
- Pfeifer, P.; Avnir, D.; Farin, D. Ideally Irregular Surfaces, of Dimension Greater than Two, in Theory and Practice. Surf. Sci. 1983, 126, 569–572. [Google Scholar] [CrossRef]
- Friesen, W.I.; Mikula, R.J. Fractal Dimensions of Coal Particles. J. Colloid Interface Sci. 1987, 120, 263–271. [Google Scholar] [CrossRef]
- Zhang, B.; Li, S. Determination of the Surface Fractal Dimension for Porous Media by Mercury Porosimetry. Ind. Eng. Chem. Res. 1995, 34, 1383–1386. [Google Scholar] [CrossRef]
- Li, Y.; Lu, G.; Rudolph, V. Compressibility and Fractal Dimension of Fine Coal Particles in Relation to Pore Structure Characterization Using Mercury Porosimetry. Part. Part. Syst. Charact. 1999, 16, 25–31. [Google Scholar] [CrossRef]
- Bustin, R.M.; Bustin, A.M.M.; Cui, X.; Ross, D.J.K.; Pathi, V.S.M. Impact of Shale Properties on Pore Structure and Storage Characteristics. In Proceedings of the Society of Petroleum Engineers—Shale Gas Production Conference 2008, Fort Worth, TX, USA, 16–18 November 2008; pp. 32–59. [Google Scholar]
- Wang, P.; Jiang, Z.; Ji, W.; Zhang, C.; Yuan, Y.; Chen, L.; Yin, L. Heterogeneity of Intergranular, Intraparticle and Organic Pores in Longmaxi Shale in Sichuan Basin, South China: Evidence from SEM Digital Images and Fractal and Multifractal Geometries. Mar. Pet. Geol. 2016, 72, 122–138. [Google Scholar] [CrossRef]
- Xi, K.; Li, K.; Cao, Y.; Liu, M.; Niu, X.; Zhu, R.; Wei, X.; You, Y.; Liang, X.; Feng, S. Laminae Combination and Shale Oil Enrichment Patterns of Chang 73 Sub-Member Organic-Rich Shales in the Triassic Yanchang Formation, Ordos Basin, NW China. Pet. Explor. Dev. 2020, 47, 1342–1353. [Google Scholar] [CrossRef]













Disclaimer/Publisher’s Note: The statements, opinions and data contained in all publications are solely those of the individual author(s) and contributor(s) and not of MDPI and/or the editor(s). MDPI and/or the editor(s) disclaim responsibility for any injury to people or property resulting from any ideas, methods, instructions or products referred to in the content. |
© 2024 by the authors. Licensee MDPI, Basel, Switzerland. This article is an open access article distributed under the terms and conditions of the Creative Commons Attribution (CC BY) license (https://creativecommons.org/licenses/by/4.0/).
Share and Cite
Wang, Z.; Dong, L.; Jin, Z.; Wang, X.; Fu, J.; Liu, X.; Zhu, R. Introducing an Enhanced Cumulative Size Distribution Model to Unearth the Origins of Macropore Heterogeneity of the Chang-7 Shale Oil Reservoirs in the Ordos Basin. Fractal Fract. 2024, 8, 732. https://doi.org/10.3390/fractalfract8120732
Wang Z, Dong L, Jin Z, Wang X, Fu J, Liu X, Zhu R. Introducing an Enhanced Cumulative Size Distribution Model to Unearth the Origins of Macropore Heterogeneity of the Chang-7 Shale Oil Reservoirs in the Ordos Basin. Fractal and Fractional. 2024; 8(12):732. https://doi.org/10.3390/fractalfract8120732
Chicago/Turabian StyleWang, Ziyi, Lin Dong, Zhijun Jin, Xubin Wang, Jinhua Fu, Xianyang Liu, and Rukai Zhu. 2024. "Introducing an Enhanced Cumulative Size Distribution Model to Unearth the Origins of Macropore Heterogeneity of the Chang-7 Shale Oil Reservoirs in the Ordos Basin" Fractal and Fractional 8, no. 12: 732. https://doi.org/10.3390/fractalfract8120732
APA StyleWang, Z., Dong, L., Jin, Z., Wang, X., Fu, J., Liu, X., & Zhu, R. (2024). Introducing an Enhanced Cumulative Size Distribution Model to Unearth the Origins of Macropore Heterogeneity of the Chang-7 Shale Oil Reservoirs in the Ordos Basin. Fractal and Fractional, 8(12), 732. https://doi.org/10.3390/fractalfract8120732
