Joint Battery State of Charge Estimation Method Based on a Fractional-Order Model with an Improved Unscented Kalman Filter and Extended Kalman Filter for Full Parameter Updating
Abstract
1. Introduction
- (1)
- A proposed method for estimating battery SOC based on a fractional-order model, which better explains electrochemical behavior and long-term memory effects.
- (2)
- Improved estimation accuracy and robustness in the battery’s dynamic response through multi-innovation filtering and full-tracking strong tracking. The introduction of an adaptive UKF further enhances the system’s ability to adjust to model uncertainties and noise variations.
- (3)
- Online updates of the battery’s full parameters using the EKF, which dynamically corrects the critical parameters in the battery model, ensuring long-term accuracy in SOC estimation.
2. Fractional-Order Modeling
2.1. Fractional-Order Calculus
2.2. Fractional-Order Model
2.3. Fractional-Order Model Parameter Identification
2.4. Analysis of Fractional-Order Model Parameter Identification Results
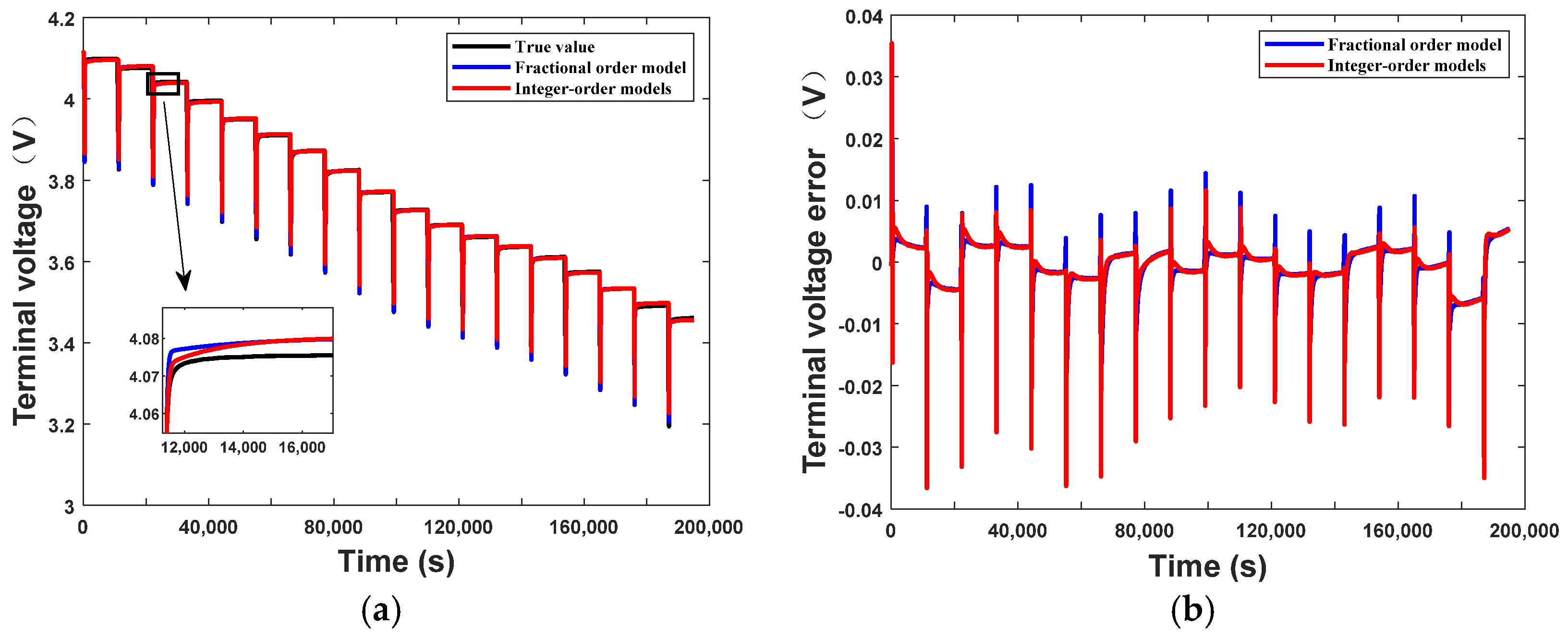
2.5. Model Accuracy Validation
3. Fractional-Order-Model-Based Strong Tracking Multi-Neo-Interest Adaptive Untraceable Kalman Method (FOMIST-AUKF-EKF)
3.1. Fractional-Order Traceless Kalman Filter Algorithm
- (1)
- Update prior estimation.
- (2)
- Create sigma points at time step k − 1:where is the time step, is the scaling factor, is a scale factor, and is the quantity of state variables. Particularly, = 0.01.
- (3)
- Calculate the weights:where is the coefficient corresponding to the type of noise.
- (4)
- Update prior state value :
- (5)
- Update state error covariance :
3.2. Improved SOC Prediction Method Based on Fractional-Order Model
3.2.1. Multi-Innovation-Based FOUKF (FOMI-UKF)
3.2.2. Fractional-Order Strong-Tracking Multi-Neo-Interest Traceless Kalman Filter Algorithm (FOMIST-UKF)
3.2.3. Fractional-Order Multi-Innovation Strongly Tracking Adaptive Traceless Kalman Filter Algorithm (FOMIST-AUKF)
3.3. Fractional-Order Strong-Tracking Multi-Neo-Interest Adaptive Traceless Kalman Filter Algorithm with EKF Joint Estimation (FOMIST-AUKF-EKF)
4. Experimental Simulation Verification of Working Conditions
4.1. Experimental Platforms
4.2. Condition Test
5. Conclusions
Author Contributions
Funding
Data Availability Statement
Conflicts of Interest
Nomenclature
| BMS | Battery management system | NEDC | New European Driving Cycle |
| SOC | State of charge | DST | Dynamic stress test |
| SOH | State of health | OCV | Open-circuit voltage |
| KF | Kalman filter | 2RC | Second-order RC |
| UKF | Unscented Kalman filter | RMSE | Root mean square error |
| HKF | Hybrid Kalman filter | MAE | Mean absolute error |
| EKF | Extended Kalman filter | ME | Mean error |
| AUKF | Adaptive unscented Kalman filter | FO-MIST | Fractional-order multiple innovation strong tracking |
| HPPC | Hybrid pulse power characterization |
References
- Amrouche, S.O.; Rekioua, D.; Rekioua, T.; Bacha, S. Overview of energy storage in renewable energy systems. Int. J. Hydrogen Energy 2016, 41, 20914–20927. [Google Scholar] [CrossRef]
- Diouf, B.; Pode, R. Potential of lithium-ion batteries in renewable energy. Renew. Energy 2015, 76, 375–380. [Google Scholar] [CrossRef]
- Gabbar, H.A.; Othman, A.M.; Abdussami, M.R. Review of battery management systems (BMS) development and industrial standards. Technologies 2021, 9, 28. [Google Scholar] [CrossRef]
- Chen, L.; Wu, X.; Machado, J.A.T.; Lopes, A.M.; Li, P.; Dong, X. State-of-charge estimation of lithium-ion batteries based on fractional-order square-root unscented Kalman filter. Fractal Fract. 2022, 6, 52. [Google Scholar] [CrossRef]
- Wu, L.; Lyu, Z.; Huang, Z.; Zhang, C.; Wei, C. Physics-based battery SOC estimation methods: Recent advances and future perspectives. J. Energy Chem. 2023, 89, 27–40. [Google Scholar] [CrossRef]
- Zou, C.; Klintberg, A.; Wei, Z.; Fridholm, B.; Wik, T.; Egardt, B. Power capability prediction for lithium-ion batteries using economic nonlinear model predictive control. J. Power Sources 2018, 396, 580–589. [Google Scholar] [CrossRef]
- Allagui, A.; Freeborn, T.J.; Elwakil, A.S.; Fouda, M.E.; Maundy, B.J.; Radwan, A.G.; Said, Z.; Abdelkareem, M.A. Review of fractional-order electrical characterization of supercapacitors. J. Power Sources 2018, 400, 457–467. [Google Scholar] [CrossRef]
- Sabatier, J.; Cugnet, M.; Laruelle, S.; Grugeon, S.; Sahut, B.; Oustaloup, A.; Tarascon, J. A fractional order model for lead-acid battery crankability estimation. Commun. Nonlinear Sci. Numer. Simul. 2010, 15, 1308–1317. [Google Scholar] [CrossRef]
- Hussein, H.M.; Esoofally, M.; Donekal, A.; Rafin, S.M.S.H.; Mohammed, O. Comparative Study-Based Data-Driven Models for Lithium-Ion Battery State-of-Charge Estimation. Batteries 2024, 10, 89. [Google Scholar] [CrossRef]
- Koehler, J.; Soloperto, R.; Muller, M.A.; Allgower, F. A computationally efficient robust model predictive control framework for uncertain nonlinear systems. IEEE Trans. Autom. Control 2020, 66, 794–801. [Google Scholar] [CrossRef]
- Nguyen, T.H.; Bui, D.Q.; Dao, P.N. An efficient Min/Max Robust Model Predictive Control for nonlinear discrete-time systems with dynamic disturbance. Chaos Solitons Fractals 2024, 180, 114551. [Google Scholar] [CrossRef]
- Chai, X.; Li, S.; Liang, F. A novel battery SOC estimation method based on random search optimized LSTM neural network. Energy 2024, 306, 132583. [Google Scholar] [CrossRef]
- Mastali, M.; Vazquez-Arenas, J.; Fraser, R.; Fowler, M.; Afshar, S.; Stevens, M. Battery state of the charge estimation using Kalman filtering. J. Power Sources 2013, 239, 294–307. [Google Scholar] [CrossRef]
- Sepasi, S.; Ghorbani, R.; Liaw, B.Y. Improved extended Kalman filter for state of charge estimation of battery pack. J. Power Sources 2014, 255, 368–376. [Google Scholar] [CrossRef]
- He, H.; Xiong, R.; Peng, J. Real-time estimation of battery state-of-charge with unscented Kalman filter and RTOS μCOS-II platform. Appl. Energy 2016, 162, 1410–1418. [Google Scholar] [CrossRef]
- Lee, J.; Nam, O.; Cho, B.H. Li-ion battery SOC estimation method based on the reduced order extended Kalman filtering. J. Power Sources 2007, 174, 9–15. [Google Scholar] [CrossRef]
- Chen, C.; Xiong, R.; Yang, R.; Shen, W.; Sun, F. State-of-charge estimation of lithium-ion battery using an improved neural network model and extended Kalman filter. J. Clean. Prod. 2019, 234, 1153–1164. [Google Scholar] [CrossRef]
- Mu, H.; Xiong, R.; Zheng, H.; Chang, Y.; Chen, Z. A novel fractional order model based state-of-charge estimation method for lithium-ion battery. Appl. Energy 2017, 207, 384–393. [Google Scholar] [CrossRef]
- Jin, G.; Li, L.; Xu, Y.; Hu, M.; Fu, C.; Qin, D. Comparison of SOC estimation between the integer-order model and fractional-order model under different operating conditions. Energies 2020, 13, 1785. [Google Scholar] [CrossRef]
- Lai, X.; He, L.; Wang, S.; Zhou, L.; Zhang, Y.; Sun, T.; Zheng, Y. Co-estimation of state of charge and state of power for lithium-ion batteries based on fractional variable-order model. J. Clean. Prod. 2020, 255, 120203. [Google Scholar] [CrossRef]
- Sethia, G.; Nayak, S.K.; Majhi, S. An approach to estimate lithium-ion battery state of charge based on adaptive Lyapunov super twisting observer. IEEE Trans. Circuits Syst. I Regul. Pap. 2020, 68, 1319–1329. [Google Scholar] [CrossRef]
- Geng, X.; He, X.; Hu, M.; Bi, M.; Teng, X.; Wu, C. Multi-attention network with redundant information filtering for multi-horizon forecasting in multivariate time series. Expert Syst. Appl. 2024, 257, 125062. [Google Scholar] [CrossRef]
- Ren, X.; Li, C.; Ma, X.; Chen, F.; Wang, H.; Sharma, A.; Gaba, G.; Masud, M. Design of multi-information fusion based intelligent electrical fire detection system for green buildings. Sustainability 2021, 13, 3405. [Google Scholar] [CrossRef]
- Baros, J.; Sotola, V.; Bilik, P.; Martinek, R.; Jaros, R.; Danys, L.; Simonik, P. Review of fundamental active current extraction techniques for SAPF. Sensors 2022, 22, 7985. [Google Scholar] [CrossRef] [PubMed]
- Wang, J.; Wen, T.; Cai, B.; Roberts, C. A high-order strong tracking filter based on a compensated adaptive model for predicting sudden changes in remaining useful life of a lithium-ion battery. J. Energy Storage 2024, 88, 111494. [Google Scholar] [CrossRef]
- Ghosh, S.; Das, S.; Roy, S.; Islam, S.M.; Suganthan, P. A differential covariance matrix adaptation evolutionary algorithm for real parameter optimization. Inf. Sci. 2012, 182, 199–219. [Google Scholar] [CrossRef]
- Fan, X.; Feng, H.; Yun, X.; Wang, C.; Zhang, X. SOC estimation for lithium-ion battery based on AGA-optimized AUKF. J. Energy Storage 2024, 75, 109689. [Google Scholar] [CrossRef]
- Fu, Y.; Zhai, B.; Shi, Z.; Liang, J.; Peng, Z. State of charge estimation of lithium-ion batteries based on an adaptive iterative extended Kalman filter for AUVs. Sensors 2022, 22, 9277. [Google Scholar] [CrossRef]
- Zeng, J.; Wang, S.; Zhang, M.; Cao, W.; Fernandez, C.; Guerrero, J.M. Battery multi-time scale fractional-order modeling method for state of charge estimation adaptive to full parameters updating. J. Energy Storage 2024, 86, 111283. [Google Scholar] [CrossRef]
- Beelen, H.; Bergveld, H.J.; Donkers MC, F. Joint estimation of battery parameters and state of charge using an extended Kalman filter: A single-parameter tuning approach. IEEE Trans. Control Syst. Technol. 2020, 29, 1087–1101. [Google Scholar] [CrossRef]
- Li, L.; Liu, J.G. A generalized definition of Caputo derivatives and its application to fractional ODEs. SIAM J. Math. Anal. 2018, 50, 2867–2900. [Google Scholar] [CrossRef]
- Jiang, Y.; Zhang, B. Comparative study of Riemann–Liouville and Caputo derivative definitions in time-domain analysis of fractional-order capacitor. IEEE Trans. Circuits Syst. II Express Briefs 2019, 67, 2184–2188. [Google Scholar] [CrossRef]
- Chatterjee, S.; Biswas, S.; Majee, A.; Sen, S.; Oliva, D.; Sarkar, R. Breast cancer detection from thermal images using a Grunwald-Letnikov-aided Dragonfly algorithm-based deep feature selection method. Comput. Biol. Med. 2022, 141, 105027. [Google Scholar] [CrossRef] [PubMed]
- Verma, P.; Kumar, M. Analytical solution with existence and uniqueness conditions of non-linear initial value multi-order fractional differential equations using Caputo derivative. Eng. Comput. 2022, 38, 661–678. [Google Scholar] [CrossRef]
- Sarfraz, M.; Zhou, J.; Ali, F. An 8D Hyperchaotic System of Fractional-Order Systems Using the Memory Effect of Grünwald–Letnikov Derivatives. Fractal Fract. 2024, 8, 530. [Google Scholar] [CrossRef]
- Zafar, Z.U.A.; Ali, N.; Zaman, G.; Thounthong, P.; Tunç, C. Analysis and numerical simulations of fractional order Vallis system. Alex. Eng. J. 2020, 59, 2591–2605. [Google Scholar] [CrossRef]
- Hannan, M.A.; Lipu, M.S.H.; Hussain, A.; Mohamed, A. A review of lithium-ion battery state of charge estimation and management system in electric vehicle applications: Challenges and recommendations. Renewable and Sustainable Energy Rev. 2017, 78, 834–854. [Google Scholar] [CrossRef]











| Step | Detailed Procedure |
|---|---|
| 1 | Charge the battery at constant current of 2 A and constant voltage of 4.2 V, respectively. |
| 2 | Discharge for 3 min with constant current of 6.5 A. |
| 3 | Leave the cell stationary for three hours to reach electrochemical equilibrium. |
| 4 | Repeat steps 2 and 3 until the cut-off voltage. |
| Model | |||||||
|---|---|---|---|---|---|---|---|
| FOM | 2.7626 kF | 280.54 kF | 0.9039 | 0.9819 |
| Model | Average Error | Maximum Error |
|---|---|---|
| IOM | 0.0027 V | 0.0366 V |
| FOM | 0.0340 V |
| Method | NEDC | ||||||
|---|---|---|---|---|---|---|---|
| FOMIASTFAUKF+EKF | FOMIASTFUKF | FOMISTFUKF | FOMIUKF | FOUKF | UKF | EKF | |
| Average Error (%) | 0.13 | 0.25 | 0.50 | 0.63 | 0.69 | 0.74 | 0.87 |
| Maximum Error (%) | 0.27 | 0.51 | 1.17 | 1.31 | 1.65 | 2.20 | 2.71 |
| Method | DST | ||||||
|---|---|---|---|---|---|---|---|
| FOMIASTFAUKF+EKF | FOMIASTFUKF | FOMISTFUKF | FOMIUKF | FOUKF | UKF | EKF | |
| Average Error (%) | 0.27 | 0.58 | 0.87 | 1.34 | 1.43 | 1.53 | 1.60 |
| Maximum Error (%) | 0.67 | 1.00 | 1.39 | 1.96 | 2.74 | 2.98 | 3.90 |
Disclaimer/Publisher’s Note: The statements, opinions and data contained in all publications are solely those of the individual author(s) and contributor(s) and not of MDPI and/or the editor(s). MDPI and/or the editor(s) disclaim responsibility for any injury to people or property resulting from any ideas, methods, instructions or products referred to in the content. |
© 2024 by the authors. Licensee MDPI, Basel, Switzerland. This article is an open access article distributed under the terms and conditions of the Creative Commons Attribution (CC BY) license (https://creativecommons.org/licenses/by/4.0/).
Share and Cite
Wu, J.; Li, Y.; Sun, Q.; Zhu, Y.; Xing, J.; Zhang, L. Joint Battery State of Charge Estimation Method Based on a Fractional-Order Model with an Improved Unscented Kalman Filter and Extended Kalman Filter for Full Parameter Updating. Fractal Fract. 2024, 8, 695. https://doi.org/10.3390/fractalfract8120695
Wu J, Li Y, Sun Q, Zhu Y, Xing J, Zhang L. Joint Battery State of Charge Estimation Method Based on a Fractional-Order Model with an Improved Unscented Kalman Filter and Extended Kalman Filter for Full Parameter Updating. Fractal and Fractional. 2024; 8(12):695. https://doi.org/10.3390/fractalfract8120695
Chicago/Turabian StyleWu, Jingjin, Yuhao Li, Qian Sun, Yu Zhu, Jiejie Xing, and Lina Zhang. 2024. "Joint Battery State of Charge Estimation Method Based on a Fractional-Order Model with an Improved Unscented Kalman Filter and Extended Kalman Filter for Full Parameter Updating" Fractal and Fractional 8, no. 12: 695. https://doi.org/10.3390/fractalfract8120695
APA StyleWu, J., Li, Y., Sun, Q., Zhu, Y., Xing, J., & Zhang, L. (2024). Joint Battery State of Charge Estimation Method Based on a Fractional-Order Model with an Improved Unscented Kalman Filter and Extended Kalman Filter for Full Parameter Updating. Fractal and Fractional, 8(12), 695. https://doi.org/10.3390/fractalfract8120695

