Leader-Following Output Feedback H∞ Consensus of Fractional-Order Multi-Agent Systems with Input Saturation
Abstract
1. Introduction
- (i)
- Based on the real bound lemma of FOSs, sufficient conditions for leader-following output feedback consensus of FOMASs in and are provided. The Laplacian matrix precludes the direct design of controllers. In traditional methods, transformation and decomposition of the error system are invariably required, hindering the investigation of its robustness. The proposed method adopts a holistic analytical perspective to the entire error system, which differs from the decomposition of error systems using traditional methods in [17,19,20].
- (ii)
- For solving the QMIs, the ILMI algorithms are provided, which propose a calculation method for initial values. Based on the stability region of FOSs, the iterative conditions are designed to guarantee the consensus condition of FOMASs. This paper delves deeper into the issue of the input saturation, which is reframed as an LMI-based optimisation problem. The ILMI algorithms circumvent the necessity for matrix exchange conditions from the SVD method. Compared to the work in [20,24,25], no strong assumptions are required for feasible solutions, and this reduces the conservatism.
2. Problem Formulation and Preliminaries
3. Main Results
3.1. ILMI Algorithm for Output Feedback Consensus with
| Algorithm 1 ILMI algorithm for . |
| Step 1: Set and . Select and solve the Riccati equation: |
| Maximize subject to the following LMIs:
Step 4: Minimize trace subject to the LMIs (26) and (27) with until the minimized trace and the corresponding are obtained. Step 5: Give a small tolerance . If holds, then go to step 6; else, set , , , and return to step 2. Step 6: The leader-following consensus of the FOMAS in (1) and (2) may not be achieved by static output feedback, stop. Step 7: Maximize subject to (8), (22), and (23) with and obtain gain matrices K and F for stabilizing the system, stop. |
3.2. ILMI Algorithm for Output Feedback Consensus with
| Algorithm 2 ILMI algorithm for . |
| Step 1: Set and select , then solve the Riccati equation: Step 2: Set Maximize subject to the following LMIs: Step 4: Minimize trace subject to the LMIs (39) and (38) with until the minimized trace is obtained. Step 5: Give a small tolerance , if , then go to step 6; else, set and , and go back to step 2. Step 6: The leader-following consensus of the FOMAS in (1) and (2) may not be achieved by static output feedback, stop. Step 7: Maximize subject to (35), (23) with and obtain K and F for achieving consensus, stop. |
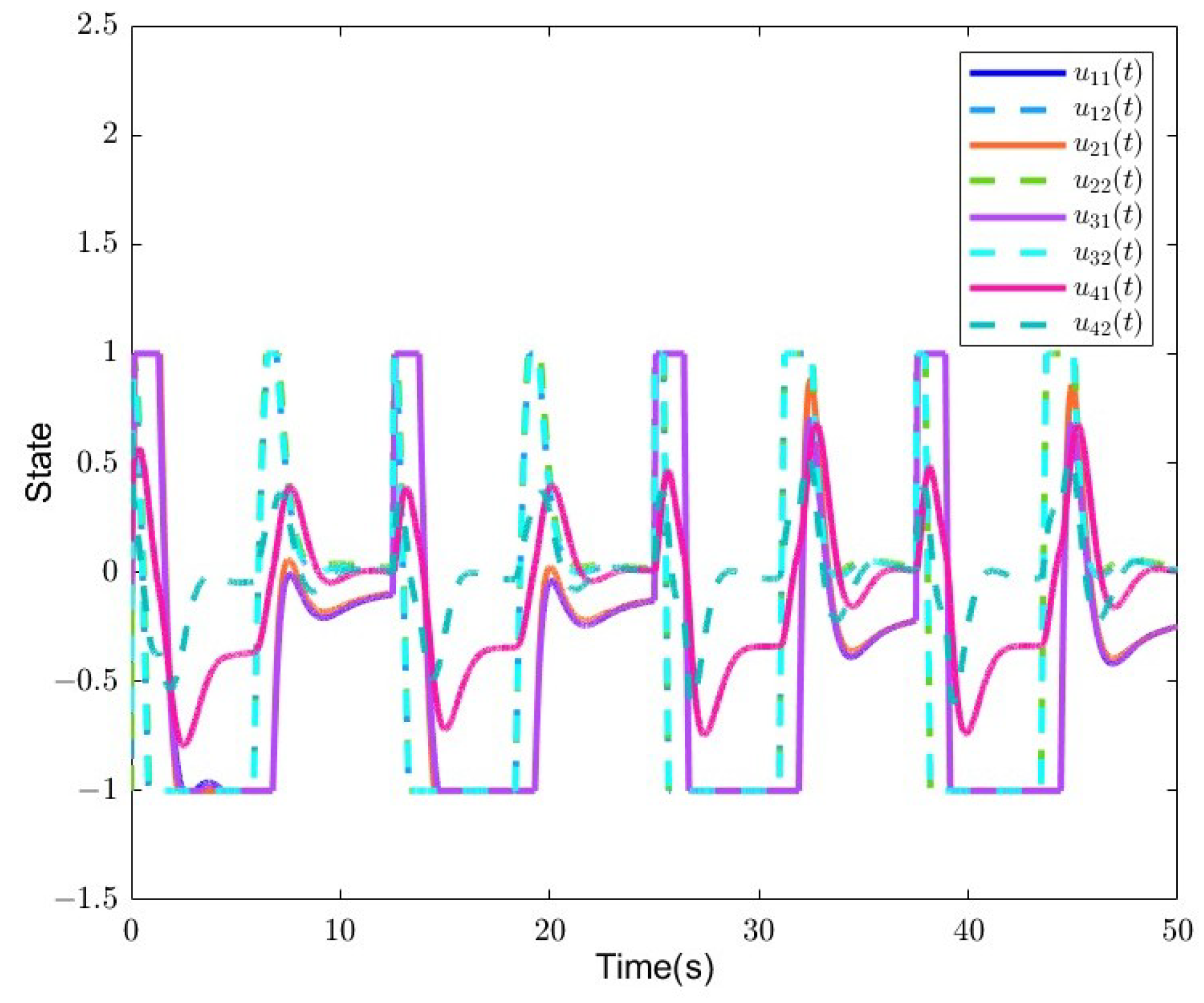
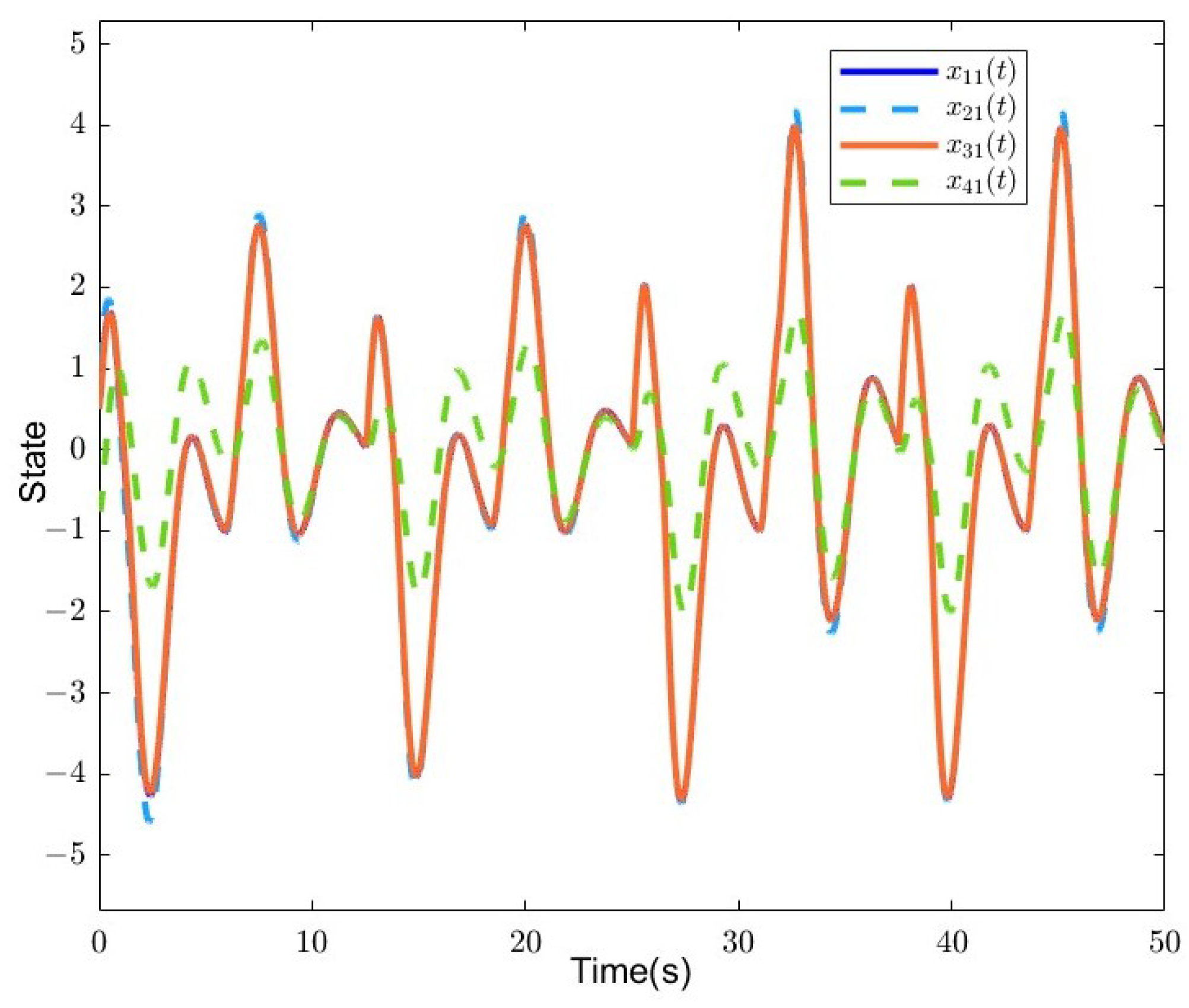
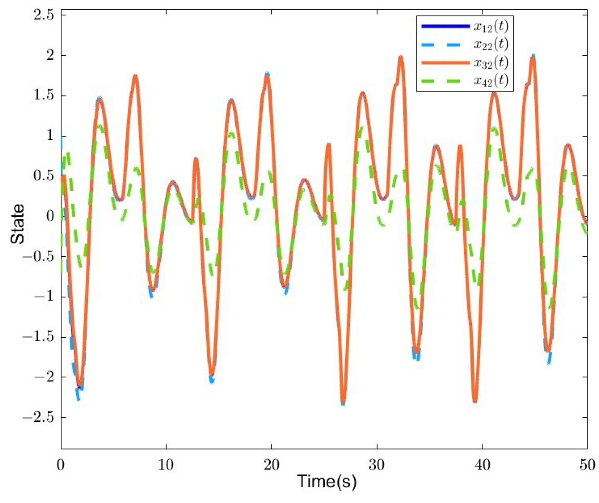
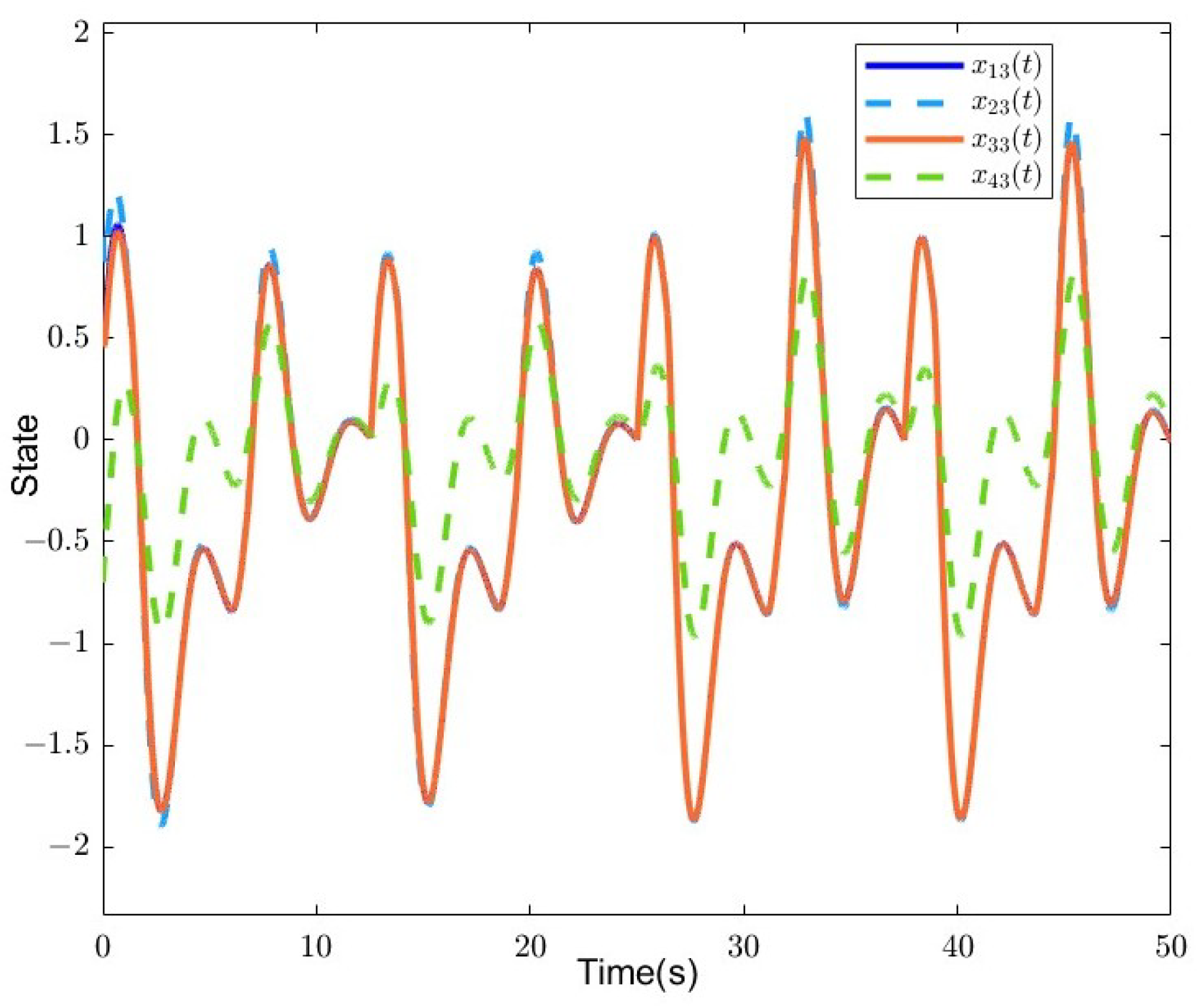
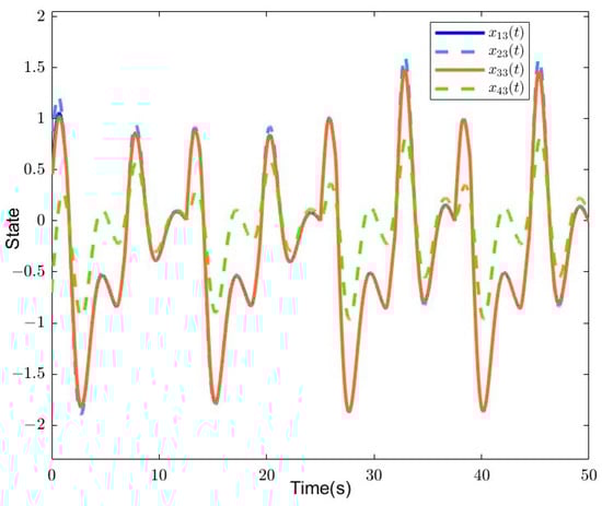
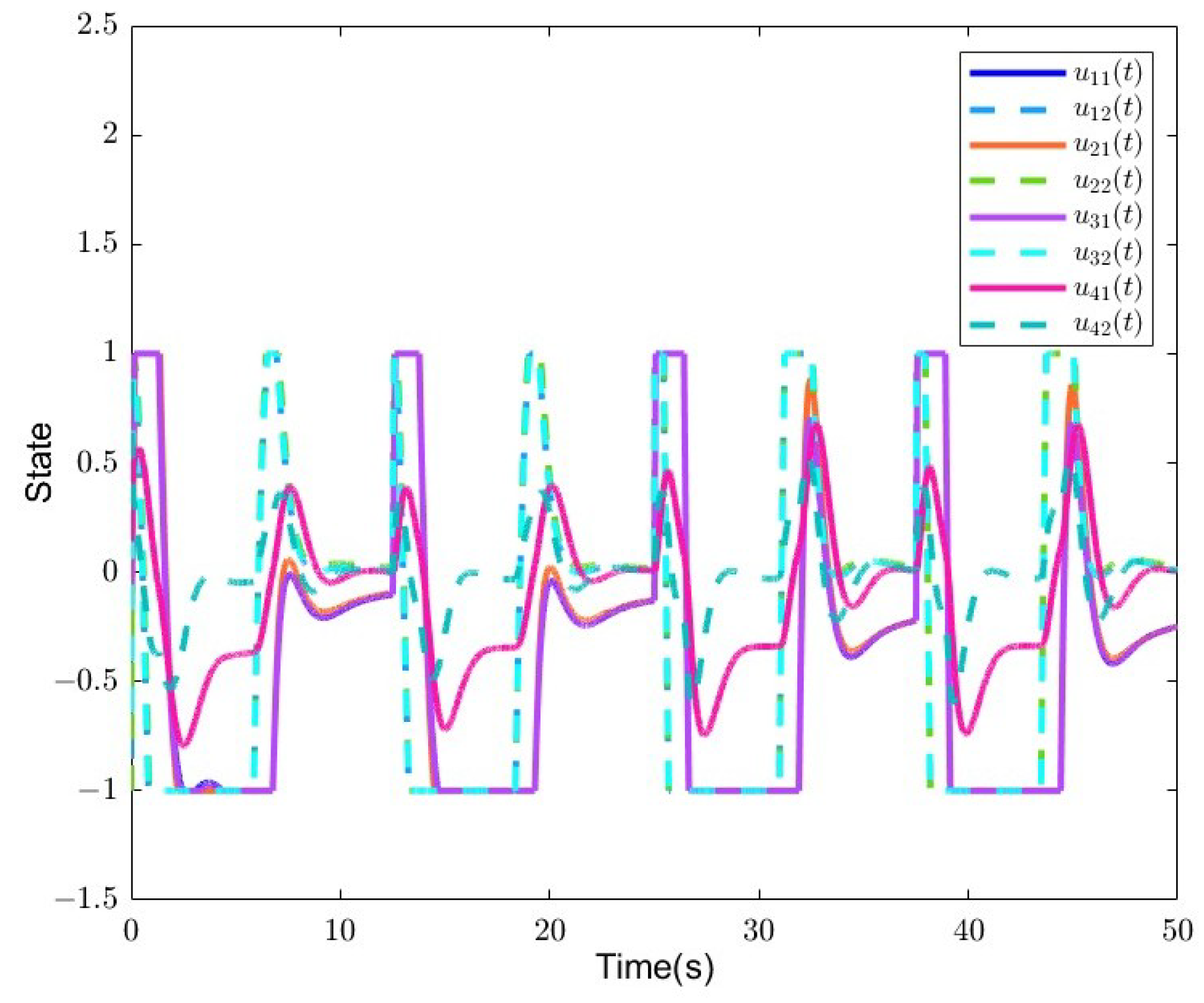
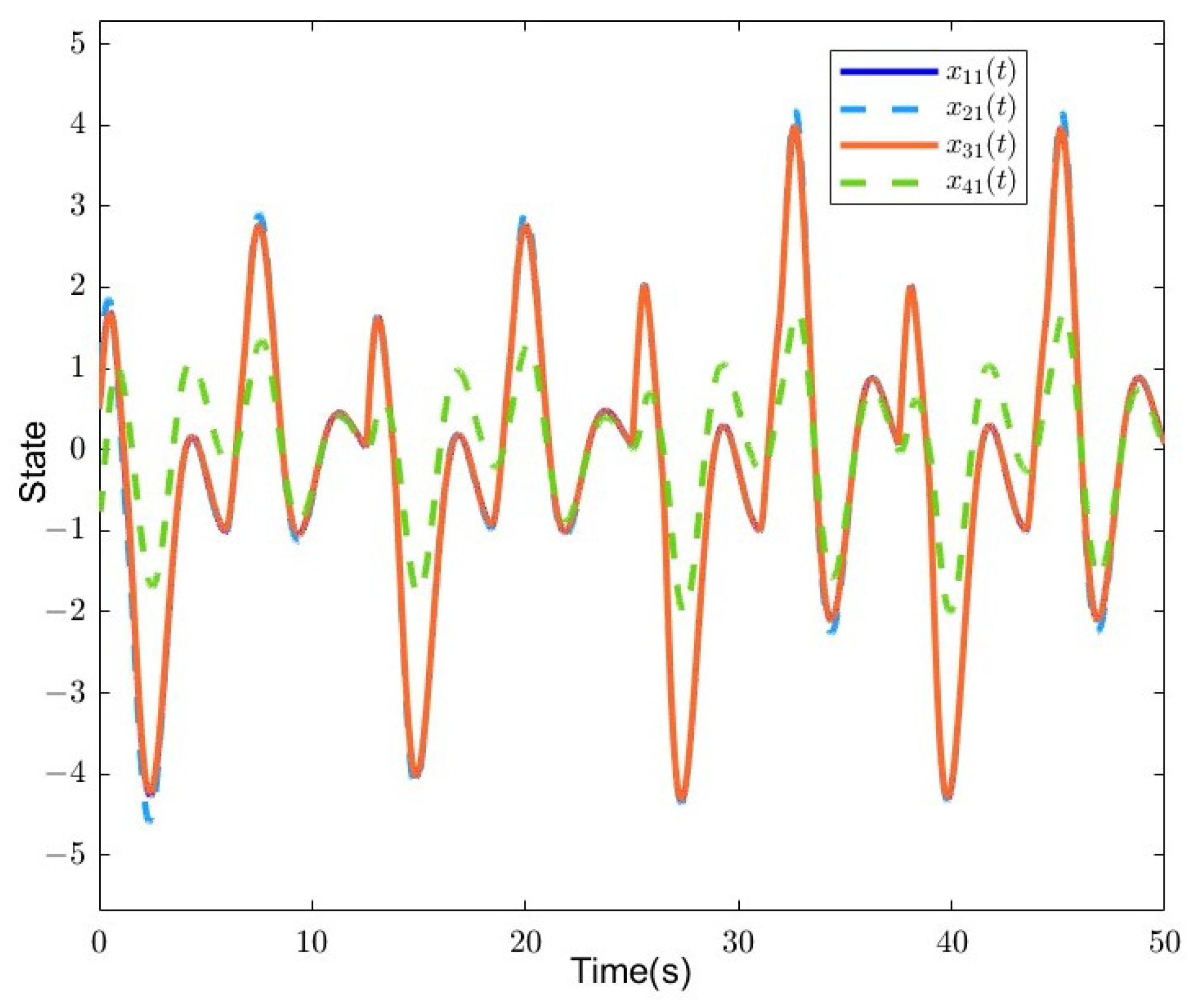
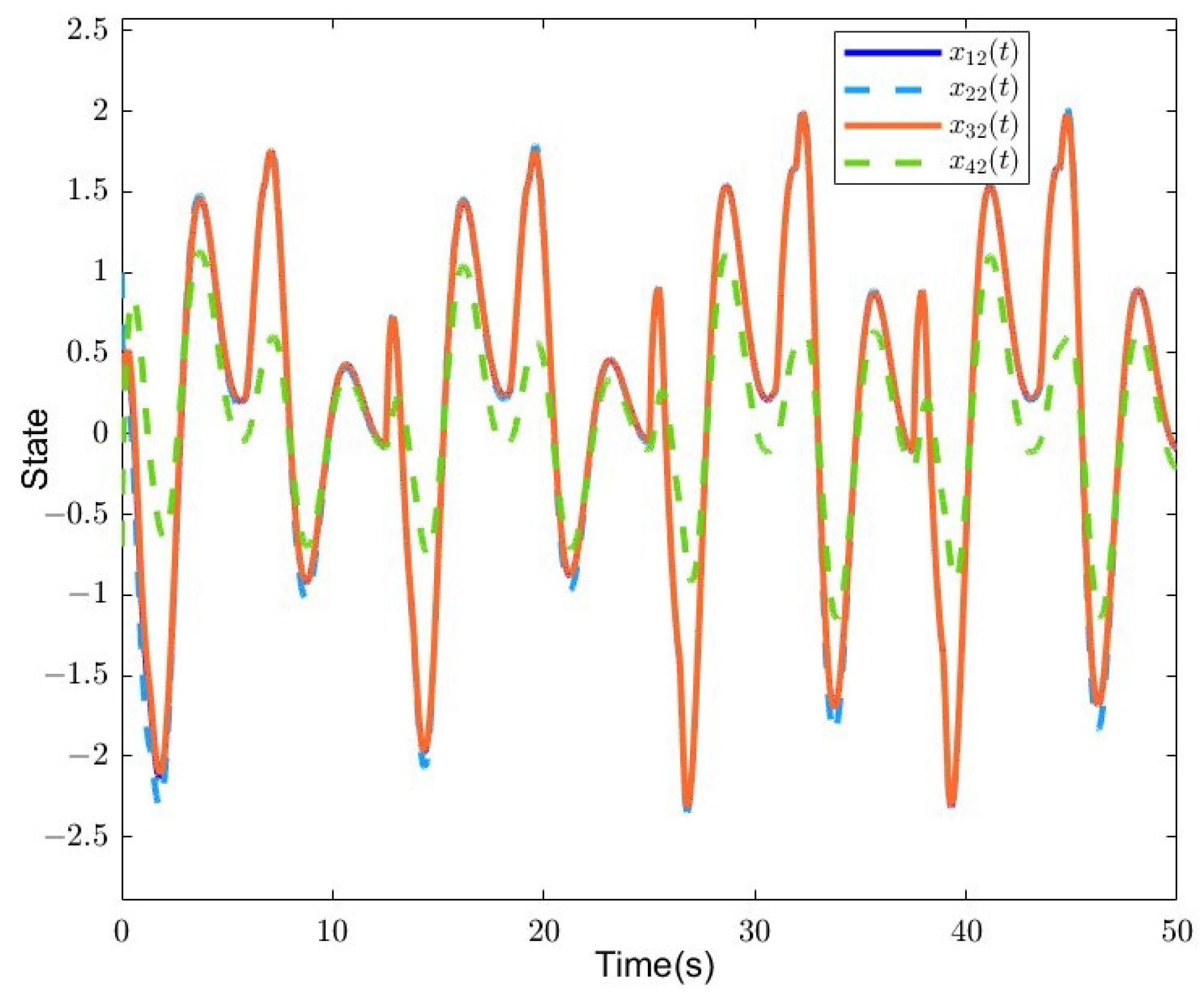
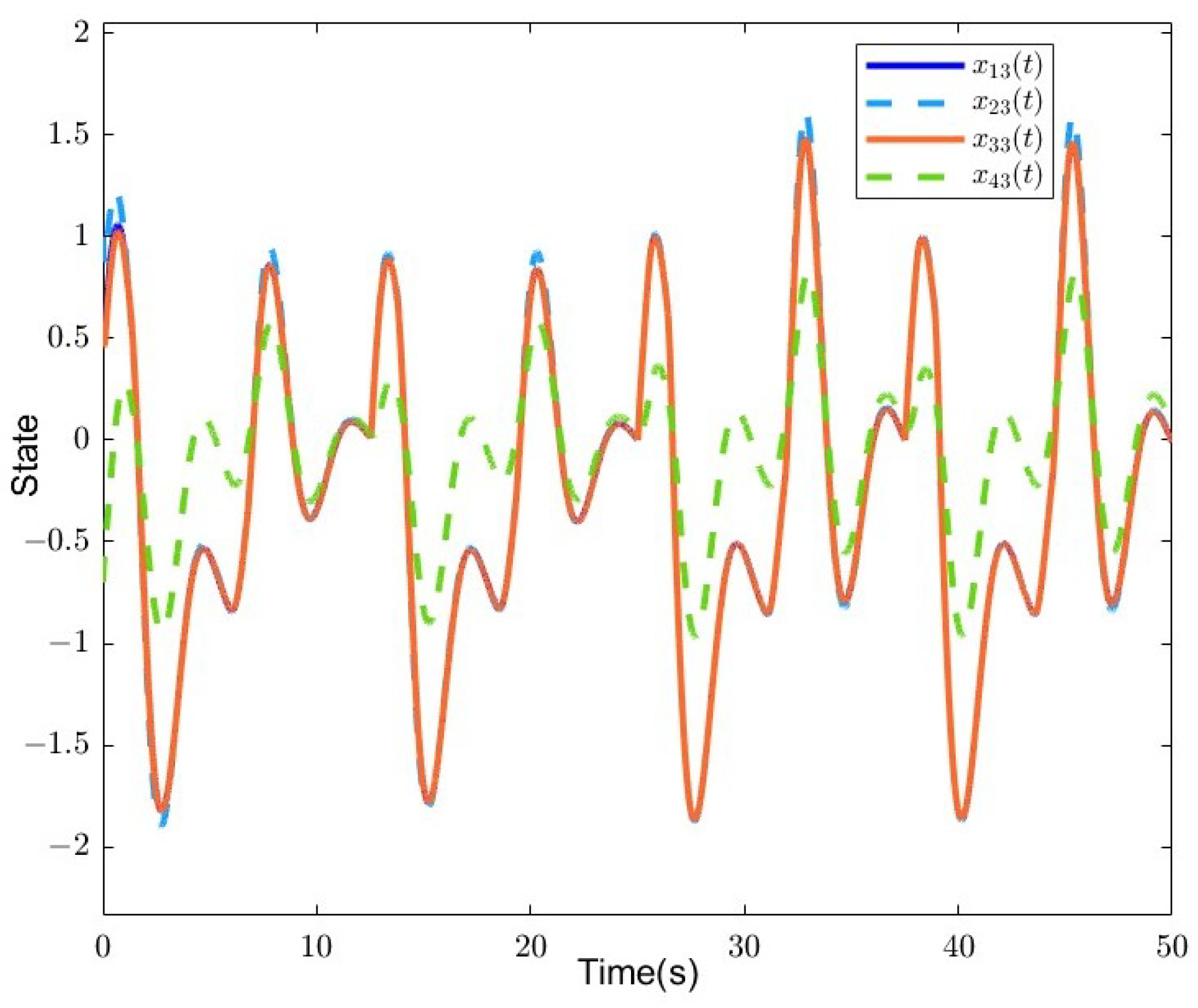
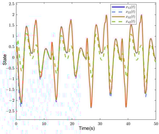
4. Numerical Examples
5. Conclusions
Author Contributions
Funding
Data Availability Statement
Acknowledgments
Conflicts of Interest
References
- Yang, J.; Zhang, J.; Wang, H. Urban traffic control in software defined internet of things via a multi-agent deep reinforcement learning approach. IEEE Trans. Intell. Transp. Syst. 2020, 22, 3742–3754. [Google Scholar] [CrossRef]
- Yan, Z.; Xu, Y. A multi-agent deep reinforcement learning method for cooperative load frequency control of a multi-area power system. IEEE Trans. Power Syst. 2020, 35, 4599–4608. [Google Scholar] [CrossRef]
- Xu, X.; Jia, Y.; Xu, Y.; Xu, Z.; Chai, S.; Lai, C.S. A multi-agent reinforcement learning-based data-driven method for home energy management. IEEE Trans. Smart Grid 2020, 11, 3201–3211. [Google Scholar] [CrossRef]
- Amirkhani, A.; Barshooi, A.H. Consensus in multi-agent systems: A review. Artif. Intell. Rev. 2022, 55, 3897–3935. [Google Scholar] [CrossRef]
- Zhang, J.X.; Ding, J.; Chai, T. Fault-tolerant prescribed performance control of wheeled mobile robots: A mixed-gain adaption approach. IEEE Trans. Autom. Control. 2024, 69, 5500–5507. [Google Scholar] [CrossRef]
- Zhang, J.X.; Wang, Q.G.; Ding, W. Global output-feedback prescribed performance control of nonlinear systems with unknown virtual control coefficients. IEEE Trans. Autom. Control. 2021, 67, 6904–6911. [Google Scholar] [CrossRef]
- Zhang, J.X.; Xu, K.D.; Wang, Q.G. Prescribed performance tracking control of time-delay nonlinear systems with output constraints. IEEE/CAA J. Autom. Sin. 2024, 11, 1557–1565. [Google Scholar] [CrossRef]
- Rana, M.; Pande, R.; Kukreti, K. Design of RF MEMS piezoelectric disk resonator for 5G communication. Mater. Today Proc. 2023, 73, 13–17. [Google Scholar] [CrossRef]
- Radwan, A.G.; Emira, A.A.; AbdelAty, A.M.; Azar, A.T. Modeling and analysis of fractional order DC-DC converter. ISA Trans. 2018, 82, 184–199. [Google Scholar] [CrossRef]
- Li, Z.; Liu, Z.; Khan, M.A. Fractional investigation of bank data with fractal-fractional Caputo derivative. Chaos Solitons Fractals 2020, 131, 109528. [Google Scholar] [CrossRef]
- Yang, F.; Wang, P.; Wei, K.; Wang, F. Investigation on nonlinear and fractional derivative Zener model of coupled vehicle-track system. Veh. Syst. Dyn. 2020, 58, 864–889. [Google Scholar] [CrossRef]
- Kumar, S.; Kumar, R.; Cattani, C.; Samet, B. Chaotic behaviour of fractional predator-prey dynamical system. Chaos Solitons Fractals 2020, 135, 109811. [Google Scholar] [CrossRef]
- Ghanbari, B. A fractional system of delay differential equation with nonsingular kernels in modeling hand-foot-mouth disease. Adv. Differ. Equations 2020, 2020, 536. [Google Scholar] [CrossRef] [PubMed]
- Farges, C.; Moze, M.; Sabatier, J. Pseudo state feedback stabilization of commensurate fractional order systems. In Proceedings of the 2009 European Control Conference (ECC), Budapest, Hungary, 23–26 August 2009; pp. 3395–3400. [Google Scholar]
- Zhang, X.; Lin, C.; Chen, Y.Q.; Boutat, D. A unified framework of stability theorems for LTI fractional order systems with 0< α < 2. IEEE Trans. Circuits Syst. II Express Briefs 2020, 67, 3237–3241. [Google Scholar]
- Cheng, Y.; Hu, T.; Li, Y.; Zhang, X.; Zhong, S. Delay-dependent consensus criteria for fractional-order Takagi-Sugeno fuzzy multi-agent systems with time delay. Inf. Sci. 2021, 560, 456–475. [Google Scholar] [CrossRef]
- Wang, Y.; Zhang, J.X.; Zhang, X. Fuzzy control of singular fractional order multi-agent systems with actuator saturation. Inf. Sci. 2024, 665, 120397. [Google Scholar] [CrossRef]
- Zamani, H.; Khandani, K.; Majd, V.J. Fixed-time sliding-mode distributed consensus and formation control of disturbed fractional-order multi-agent systems. ISA Trans. 2023, 138, 37–48. [Google Scholar] [CrossRef]
- Wang, X.; Zhang, X.; Pedrycz, W.; Yang, S.H.; Boutat, D. Consensus of TS fuzzy fractional-Order, singular perturbation, multi-agent systems. Fractal Fract. 2024, 8, 523. [Google Scholar] [CrossRef]
- Gao, Z.; Zhang, H.; Wang, Y.; Zhang, K. Leader-following consensus conditions for fractional-order descriptor uncertain multi-agent systems with 0< α< 2 via output feedback control. J. Frankl. Inst. 2020, 357, 2263–2281. [Google Scholar]
- Zhang, X.; Han, Z. Static and dynamic output feedback control for polytopic uncertain fractional order systems with 0 < μ < 1. Int. J. Control. Autom. Syst. 2023, 21, 52–60. [Google Scholar]
- N’doye, I.; Voos, H.; Darouach, M.; Schneider, J.G. Static output feedback H∞ control for a fractional-order glucose-insulin system. Int. J. Control. Autom. Syst. 2015, 13, 798–807. [Google Scholar] [CrossRef]
- Sadabadi, M.S.; Peaucelle, D. From static output feedback to structured robust static output feedback: A survey. Annu. Rev. Control. 2016, 42, 11–26. [Google Scholar] [CrossRef]
- Wei, Y.; Peter, W.T.; Yao, Z.; Wang, Y. The output feedback control synthesis for a class of singular fractional order systems. ISA Trans. 2017, 69, 1–9. [Google Scholar] [CrossRef] [PubMed]
- Wang, Z.; Xue, D.; Pan, F. Output consensus for fuzzy singular multi-agent fractional order systems with actuator saturation. IEEE Trans. Circuits Syst. II Express Briefs 2022, 69, 3465–3469. [Google Scholar] [CrossRef]
- Liang, S.; Wei, Y.H.; Pan, J.W.; Gao, Q.; Wang, Y. Bounded real lemmas for fractional order systems. Int. J. Autom. Comput. 2015, 12, 192–198. [Google Scholar] [CrossRef]
- Padula, F.; Alcántara, S.; Vilanova, R.; Visioli, A. H∞ control of fractional linear systems. Automatica 2013, 49, 2276–2280. [Google Scholar] [CrossRef]
- Li, H.; Yang, G.H. Dynamic output feedback H∞ control for fractional-order linear uncertain systems with actuator faults. J. Frankl. Inst. 2019, 356, 4442–4466. [Google Scholar] [CrossRef]
- Marir, S.; Chadli, M.; Basin, M.V. Bounded real lemma for singular linear continuous-time fractional-order systems. Automatica 2022, 135, 109962. [Google Scholar] [CrossRef]
- Wang, Z.; Xue, D.; Pan, F. Admissible H∞ control of fuzzy singular fractional order multi-agent systems with external disturbances. IEEE Trans. Autom. Sci. Eng. 2023, 21, 2469–2477. [Google Scholar] [CrossRef]
- An, C.; Su, H.; Chen, S. H∞ consensus for discrete-time fractional-order multi-agent systems with disturbance via Q-learning in zero-sum games. IEEE Trans. Netw. Sci. Eng. 2022, 9, 2803–2814. [Google Scholar] [CrossRef]
- Yuan, Y.; Wang, Z.; Yu, Y.; Guo, L.; Yang, H. Active disturbance rejection control for a pneumatic motion platform subject to actuator saturation: An extended state observer approach. Automatica 2019, 107, 353–361. [Google Scholar] [CrossRef]
- Selvaraj, P.; Sakthivel, R.; Ahn, C.K. Observer-based synchronization of complex dynamical networks under actuator saturation and probabilistic faults. IEEE Trans. Syst. Man Cybern. Syst. 2018, 49, 1516–1526. [Google Scholar] [CrossRef]
- Yan, Y.; Zhang, H.; Mu, Y.; Sun, J. Fault-tolerant fuzzy-resilient control for fractional-order stochastic underactuated system with unmodeled dynamics and actuator saturation. IEEE Trans. Cybern. 2023, 54, 988–998. [Google Scholar] [CrossRef] [PubMed]
- Pan, H.; Yu, X.; Guo, L. Admissible leader-following consensus of fractional-order singular multiagent system via observer-based protocol. IEEE Trans. Circuits Syst. II Express Briefs 2018, 66, 1406–1410. [Google Scholar] [CrossRef]
- Fang, H.; Lin, Z.; Hu, T. Analysis of linear systems in the presence of actuator saturation and L2-disturbances. Automatica 2004, 40, 1229–1238. [Google Scholar] [CrossRef]
- Saravanakumar, T.; Lee, S. Improved results on H∞ performance for semi-markovian jump LPV systems under actuator saturation and faults. Int. J. Control. Autom. Syst. 2024, 22, 1807–1818. [Google Scholar] [CrossRef]
- Matignon, D. Stability results for fractional differential equations with applications to control processing. In Proceedings of the Computational Engineering in Systems Applications, Lille, France, 9–12 July 1996; Volume 2, pp. 963–968. [Google Scholar]
- Lim, Y.H.; Oh, K.K.; Ahn, H.S. Stability and stabilization of fractional-order linear systems subject to input saturation. IEEE Trans. Autom. Control. 2013, 58, 1062–1067. [Google Scholar] [CrossRef]
- Zhang, L.; Zhang, J.X.; Zhang, X. Generalized criteria for admissibility of singular fractional order systems. Fractal Fract. 2023, 7, 363. [Google Scholar] [CrossRef]
- Xiong, M.; Tan, Y.; Du, D.; Zhang, B.; Fei, S. Observer-based event-triggered output feedback control for fractional-order cyber–physical systems subject to stochastic network attacks. ISA Trans. 2020, 104, 15–25. [Google Scholar] [CrossRef]
- Jin, K.; Zhang, X. Output feedback stabilization of type 2 fuzzy singular fractional-order systems with mismatched membership functions. Soft Comput. 2023, 27, 4917–4929. [Google Scholar] [CrossRef]
- Ji, Y.; Qiu, J. Stabilization of fractional-order singular uncertain systems. ISA Trans. 2015, 56, 53–64. [Google Scholar] [CrossRef] [PubMed]
- Zhang, X.; Huang, W. Robust H∞ adaptive output feedback sliding mode control for interval type-2 fuzzy fractional-order systems with actuator faults. Nonlinear Dyn. 2021, 104, 537–550. [Google Scholar] [CrossRef]
- Li, Z.; Duan, Z.; Chen, G. On H∞ and H2 performance regions of multi-agent systems. Automatica 2011, 47, 797–803. [Google Scholar] [CrossRef]













Disclaimer/Publisher’s Note: The statements, opinions and data contained in all publications are solely those of the individual author(s) and contributor(s) and not of MDPI and/or the editor(s). MDPI and/or the editor(s) disclaim responsibility for any injury to people or property resulting from any ideas, methods, instructions or products referred to in the content. |
© 2024 by the authors. Licensee MDPI, Basel, Switzerland. This article is an open access article distributed under the terms and conditions of the Creative Commons Attribution (CC BY) license (https://creativecommons.org/licenses/by/4.0/).
Share and Cite
Xing, H.-S.; Boutat, D.; Wang, Q.-G. Leader-Following Output Feedback H∞ Consensus of Fractional-Order Multi-Agent Systems with Input Saturation. Fractal Fract. 2024, 8, 667. https://doi.org/10.3390/fractalfract8110667
Xing H-S, Boutat D, Wang Q-G. Leader-Following Output Feedback H∞ Consensus of Fractional-Order Multi-Agent Systems with Input Saturation. Fractal and Fractional. 2024; 8(11):667. https://doi.org/10.3390/fractalfract8110667
Chicago/Turabian StyleXing, Hong-Shuo, Driss Boutat, and Qing-Guo Wang. 2024. "Leader-Following Output Feedback H∞ Consensus of Fractional-Order Multi-Agent Systems with Input Saturation" Fractal and Fractional 8, no. 11: 667. https://doi.org/10.3390/fractalfract8110667
APA StyleXing, H.-S., Boutat, D., & Wang, Q.-G. (2024). Leader-Following Output Feedback H∞ Consensus of Fractional-Order Multi-Agent Systems with Input Saturation. Fractal and Fractional, 8(11), 667. https://doi.org/10.3390/fractalfract8110667

