The Global Mean First-Passage Time for Degree-Dependent Random Walks in a Class of Fractal Scale-Free Trees
Abstract
1. Introduction
2. Preliminaries
2.1. Fractal Scale-Free Trees
- For , is an edge whose two endpoints are labeled as A and B.
- For , can be obtained from as follows: replacing each edge of by a path of 2 links, with both endpoints of the path remaining as the endpoints of the original edge and adding new nodes to each path, one half is linked to one endpoint of the path and the other half is linked to another endpoint of the path.
2.2. Two Degree-Dependent Random Walk Strategies
2.3. Method to Evaluate the GMFPT for the Degree-Dependent Random Walk Strategies
3. GMFPT for Degree-Dependent Biased Random Walk Strategy 1 on the FSFTs
3.1. Derivation of for the Weighted FSFTs
3.2. Derivation of for the Weighted FSFTs
3.3. GMFPT for Degree-Dependent Biased Random Walk Strategy 1 on the FSFTs
4. GMFPT for Degree-Dependent Biased Random Walk Strategy 2 on the FSFTs
4.1. Exact Result of for the Weighted FSFTs
4.2. Derivation of for the Weighted FSFTs
4.3. GMFPT for Degree-Dependent Biased Random Walk Strategy 2 on the FSFTs
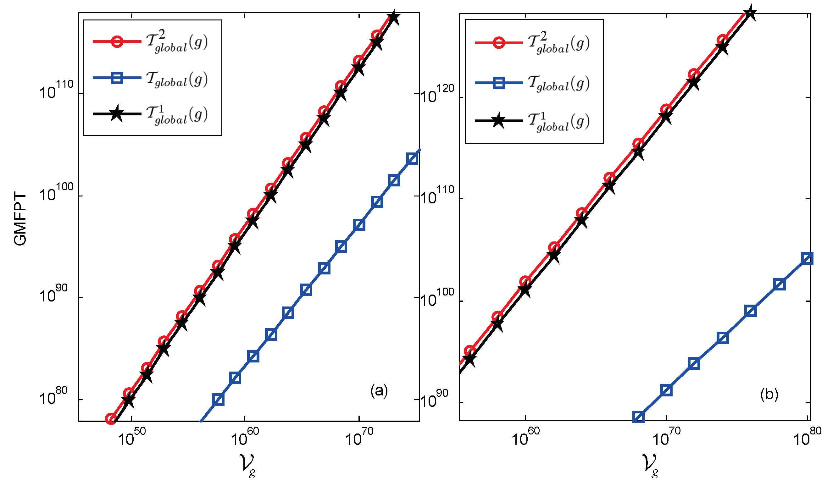
5. Comparison
6. Conclusions
Author Contributions
Funding
Institutional Review Board Statement
Informed Consent Statement
Data Availability Statement
Acknowledgments
Conflicts of Interest
Abbreviations
| MDPI | Multidisciplinary Digital Publishing Institute |
| DOAJ | Directory of open access journals |
| TLA | Three letter acronym |
| LD | Linear dichroism |
Appendix A. The Derivation of Equations (11) and (12)
- In , the repetition frequency of is which means the node and node .
- In , the repetition frequency of is which means the node and node .
- In , the repetition frequency of is which means the node and node .
Appendix B. The Derivation of
References
- Rozenfeld, H.D.; Havlin, S.; ben Avraham, D. Fractal and transfractal recursive scale-free nets. New J. Phys. 2007, 9, 175. [Google Scholar] [CrossRef]
- Kousuke, Y.; Yuka, F. A genaral model of hierarchical fractal scale-free networks. PLoS ONE 2022, 17, 3. [Google Scholar]
- Erciyes, K. Graph-Theoretical Analysis of Biological Networks: A Survey. Computation 2023, 11, 188. [Google Scholar] [CrossRef]
- Barabási, A.L.; Albert, R. Emergence of scaling in random networks. Science 1999, 286, 509–512. [Google Scholar] [CrossRef] [PubMed]
- Mandelbrot, B.B. The Fractal Geometry of Nature; W. H. Freeman: San Francisco, CA, USA, 1982. [Google Scholar]
- Feng, Q.Q.; Hu, Z.S. Phase Changes in the Topological Indices of Scale-Free Trees. J. Appl. Probab. 2013, 50, 516–532. [Google Scholar] [CrossRef][Green Version]
- Carreras, B.A.; Lybch, V.E.; Sachtjen, M.L.; Dobson, I.; Newman, D.E. Modeling blackout dynamics in power transmission networks with simple structure. In Proceedings of the 34th Annual Hawaii International Conference on System Sciences, Maui, HI, USA, 6 January 2001; pp. 719–727. [Google Scholar]
- McHugh, J.; Perl, Y. Best location of service centers in a treelike network under budget constraints. Discrete Math. 1991, 48, 199–214. [Google Scholar]
- Kim, D.H.; Noh, J.D.; Jeong, H. Scale-free trees: The skeletons of complex networks. Phys. Rev. E 2004, 70, 046126. [Google Scholar] [CrossRef]
- Smythe, R.T.; Mahmoud, H. A survey of recursive trees. Theory Probab. Math. Stat. 1995, 51, 1–27. [Google Scholar]
- Zhang, Z.Z.; Lin, Y.; Ma, Y.J. Effect of trap position on the efficiency of trapping in treelike scale-free networks. J. Phys. A 2011, 44, 075102. [Google Scholar]
- Redner, S. A Guide to First-Passage Processes; Cambridge University Press: Cambridge, UK, 2007. [Google Scholar]
- Barrat, A.; Barthélemy, M.; Vespignani, A. Dynamical Processes on Complex Networks; Cambridge University Press: Cambridge, UK, 2008. [Google Scholar]
- Metzler, R.; Oshanin, G.; Redner, S. First-Passage Phenomena and Their Applications; World Scientific: Singapore, 2014. [Google Scholar]
- Ben-Avraham, D.; Havlin, S. Diffusion and Reactions in Fractals and Disordered Systems; Cambridge University Press: Cambridge, UK, 2000. [Google Scholar]
- Chen, T.J.; Yuan, Z.H.; Peng, J.H. The normalized Laplacian spectrum of n-polygon graphs and applications. Linear Multilinear Algebra 2024, 72, 234–260. [Google Scholar] [CrossRef]
- Haynes, C.P.; Roberts, A.P. Global first-passage times of fractal lattices. Phys. Rev. E 2008, 78, 041111. [Google Scholar] [CrossRef] [PubMed]
- Bénichou, O.; Voituriez, R. From first-passage times of random walks in confinement to geometry-controlled kinetics. Phys. Rep. 2014, 539, 225–284. [Google Scholar] [CrossRef]
- Bénichou, O.; Chevalier, C.; Klafter, J.; Meyer, B.; Voituriez, R. Geometry-controlled kinetics. Nat. Chem. 2010, 2, 472–477. [Google Scholar] [CrossRef] [PubMed]
- Noh, J.D.; Rieger, H. Random Walks on Complex Networks. Phys. Rev. Lett. 2004, 92, 118701. [Google Scholar] [CrossRef] [PubMed]
- Jeon, J.; Tejedor, V.; Burov, S.; Barkai, E.; Selhuber-Unkel, C.; Berg-Sørensen, K.; Oddershede, L.; Metzler, R. In Vivo Anomalous Diffusion and weak Ergodicity Breaking of Lipid Granules. Phys. Rev. Lett. 2011, 106, 048103. [Google Scholar] [CrossRef] [PubMed]
- Banavar, J.R.; Maritan, A.; Rinaldo, A. Size and form in efficient transportation networks. Nature 1999, 399, 130–132. [Google Scholar] [CrossRef]
- Heijs, D.J.; Malyshev, V.A.; Knoester, J. Trapping time statistics and efficiency of transport of optical excitations in dendrimers. J. Chem Phys. 2004, 121, 4884–4892. [Google Scholar] [CrossRef]
- Guimerȧ, R.; Amaral, L. Functional Cartography of Complex Metabolic Networks. Nature 2005, 433, 895–900. [Google Scholar] [CrossRef]
- Viswanathan, G.M.; Buldyrev, S.V.; Havlin, S.; da Luz, M.G.E.; Raposo, E.P.; Stanley, H.E. Optimizing the success of random searches. Nature 1999, 401, 911–914. [Google Scholar] [CrossRef]
- Bartumeus, F.; Levin, S.A. Fractal reorientation clocks: Linking animal behavior to statistical patterns of search. Proc. Natl. Acad. Sci. USA 2008, 105, 19072–19077. [Google Scholar] [CrossRef]
- Zolaktaf, S.; Dannenberg, F.; Schmidt, M.; Condon, A.; Winfree, E. The pathway elaboration method for mean first passage time estimation in large continuous-time Markov chains with applications to nucleic acid kinetics. arXiv 2021, arXiv:2101.03657. [Google Scholar]
- Sims, D.W.; Southall, E.J.; Humphries, N.E.; Hays, G.C. Scaling laws of marine predator search behaviour. Nature 2008, 451, 1098–1102. [Google Scholar] [CrossRef] [PubMed]
- Bénichou, O.; Kafri, Y.; Sheinman, M.; Voituriez, R. Searching Fast for a Target on DNA without Falling to Traps. Phys. Rev. Lett. 2009, 103, 138102. [Google Scholar] [CrossRef] [PubMed]
- Zhang, Z.Z.; Gao, S.Y. Scaling of mean first-passage time as efficiency measure of nodes sending information on scale-free Koch networks. Eur. Phys. J. B 2011, 80, 209–216. [Google Scholar] [CrossRef]
- Zhang, Z.Z.; Li, X.T.; Lin, Y.; Chen, G.R. Random walks in small-world exponential treelike networks. J. Stat. Mech. 2011, 2011, P08013. [Google Scholar] [CrossRef]
- Lin, Y.; Zhang, Z.Z. Influence of trap location on the efficiency of trapping in dendrimers and regular hyperbranched polymers. J. Chem. Phys. 2013, 138, 094905. [Google Scholar] [CrossRef]
- Ma, F.; Wang, X.; Wang, P.; Luo, X. Random walks on the generalized Vicsek fractal. Europhys. Lett. 2021, 133, 40004. [Google Scholar] [CrossRef]
- Peng, J.H.; Xu, G.A. Effects of node position on diffusion and trapping efficiency for random walks on fractal scale-free trees. J. Stat. Mech. 2014, 2014, P04032. [Google Scholar] [CrossRef]
- Zhang, Z.Z.; Qi, Y.; Zhou, S.G.; Xie, W.L.; Guan, J.H. Exact solution for mean first-passage time on a pseudofractal scale-free web. Phys. Rev. E 2009, 79, 021127. [Google Scholar] [CrossRef]
- Peng, J.H.; Agliari, E.; Zhang, Z.Z. Exact calculations of first-passage properties on the pseudofractal scale-free web. Chaos 2015, 25, 073118. [Google Scholar] [CrossRef]
- Niu, Y.W.; Liu, H.; Wang, G.H.; Yan, G.Y. Maximal entropy random walk on heterogenous network for MIRNA-disease Association prediction. Math. Biosci. 2018, 306, 1–9. [Google Scholar] [CrossRef] [PubMed]
- Peng, X.; Zhang, Z.Z. Maximal entropy random walk improves efficiency of trapping in dendrimers. J. Chem. Phys. 2014, 140, 138. [Google Scholar] [CrossRef] [PubMed]
- Agliari, E.; Burioni, R.; Uguzzoni, G. The true reinforced random walk with bias. New J. Phys. 2012, 14, 063027. [Google Scholar] [CrossRef]
- Flavia, T.; Elena, A. First-passage phenomena in hierarchical networks. Phys. Rev. E 2016, 93, 022133. [Google Scholar]
- Lin, Y.; Zhang, Z.Z. Random walks in weighted networks with a perfect trap: An application of Laplacian spectra. Phys. Rev. E 2013, 87, 062140. [Google Scholar] [CrossRef]
- Gao, L.; Peng, J.H.; Tang, C.M.; Riascos, A.P. Trapping efficiency of random walks on weighted scale-free trees. J. Stat. Mech. 2021, 2021, 063405. [Google Scholar] [CrossRef]
- Wu, B.; Chen, Y.Y.; Zhang, Z.Z.; Su, W.Y. Average trapping time of weighted scale-free m-triangulation networks. J. Stat. Mech. 2019, 2019, 103207. [Google Scholar] [CrossRef]
- Wu, B. The average trapping time on the weighted pseudofractal scale-free web. J. Stat. Mech. 2020, 2020, 043209. [Google Scholar] [CrossRef]
- Gao, L.; Peng, J.H.; Tang, C.M. Optimizing the first-passage process on a class of fractal scale-free trees. Fractal Fract. 2021, 2021, 184. [Google Scholar] [CrossRef]
- Dai, M.F.; Ju, T.T.; Zong, Y.; Fie, J.J.; Shen, C.Y.; Su, W.Y. Trapping problem of the weighted scale-free triangulation networks for biased walks. Fractals 2019, 27, 1950028. [Google Scholar] [CrossRef]
- Dai, M.F.; Zong, Y.; He, J.J.; Sun, Y.; Shen, C.Y.; Su, W.Y. The trapping problem of the weighted scale-free treelike networks for two kinds of biased walks. Chaos 2018, 28, 113115. [Google Scholar] [PubMed]
- Tavani, L.A.; Lukose, R.M.; Puniyani, A.R.; Huberman, B.A. Search in power-law networks. Phys. Rev. E 2001, 64, 046135. [Google Scholar]
- Shigeo, S. Low-degree-preferential random walk for information search. In Proceedings of the 2017 IEEE International Conference on Communications Workshops, Paris, France, 21–25 May 2017; pp. 687–693. [Google Scholar]
- Jumg, S.; Kim, S.; Kahng, B. Geometric fractal growth model for scale-free networks. Phys. Rev. E 2002, 65, 065101. [Google Scholar]
- Peng, J.H.; Chen, T.J.; Xu, G.A. Optimizing the Trapping (Transport) Efficiency in Regular Branched Networks. IEEE Trans. Netw. Sci. Eng. 2022, 9, 1308–1318. [Google Scholar] [CrossRef]







Disclaimer/Publisher’s Note: The statements, opinions and data contained in all publications are solely those of the individual author(s) and contributor(s) and not of MDPI and/or the editor(s). MDPI and/or the editor(s) disclaim responsibility for any injury to people or property resulting from any ideas, methods, instructions or products referred to in the content. |
© 2024 by the authors. Licensee MDPI, Basel, Switzerland. This article is an open access article distributed under the terms and conditions of the Creative Commons Attribution (CC BY) license (https://creativecommons.org/licenses/by/4.0/).
Share and Cite
Gao, L.; Peng, J.; Tang, C.; Xu, Q.; Chen, Q. The Global Mean First-Passage Time for Degree-Dependent Random Walks in a Class of Fractal Scale-Free Trees. Fractal Fract. 2024, 8, 615. https://doi.org/10.3390/fractalfract8110615
Gao L, Peng J, Tang C, Xu Q, Chen Q. The Global Mean First-Passage Time for Degree-Dependent Random Walks in a Class of Fractal Scale-Free Trees. Fractal and Fractional. 2024; 8(11):615. https://doi.org/10.3390/fractalfract8110615
Chicago/Turabian StyleGao, Long, Junhao Peng, Chunming Tang, Qiuxia Xu, and Qi Chen. 2024. "The Global Mean First-Passage Time for Degree-Dependent Random Walks in a Class of Fractal Scale-Free Trees" Fractal and Fractional 8, no. 11: 615. https://doi.org/10.3390/fractalfract8110615
APA StyleGao, L., Peng, J., Tang, C., Xu, Q., & Chen, Q. (2024). The Global Mean First-Passage Time for Degree-Dependent Random Walks in a Class of Fractal Scale-Free Trees. Fractal and Fractional, 8(11), 615. https://doi.org/10.3390/fractalfract8110615

