Federated Learning with Multi-Method Adaptive Aggregation for Enhanced Defect Detection in Power Systems
Abstract
1. Introduction
- The SAPAA-MMF method integrates various algorithms by utilizing the average model variance as the pseudo-gradient for adaptive aggregation. This approach addresses the limitations of previous single-parameter aggregation algorithms, which often struggled to ensure both the convergence and stability of the global model. By leveraging the average model variance, SAPAA-MMF enables a more robust and stable parameter aggregation process, resulting in enhanced performance and generalization of the global model in federated learning scenarios.
- In this paper, we propose a weight balancing method that comprehensively considers factors such as client-side local data distribution and data quality in the aggregation process. This method ensures that different training nodes or devices can contribute effectively to the global model, thereby maximizing the advantages of various algorithms. By accounting for the variability in local data and the quality of client contributions, the weight balancing method improves the aggregation process, resulting in a more accurate and robust global model in federated learning.
- The SAPAA-MMF method proposed in this paper significantly improves defect detection in transmission lines. Extensive experiments against several state-of-the-art methods demonstrate the effectiveness and superiority of SAPAA-MMF. The results indicate that SAPAA-MMF outperforms existing methods by providing more accurate and reliable defect detection, thereby confirming its potential and advantages in practical applications.
2. Related Work
2.1. Defect Detection
2.2. Federated Learning
3. Proposed Method
3.1. Overall Algorithm Architecture
3.2. Objective Function
3.3. Algorithm Principle
3.3.1. Joint Mean Algorithm
3.3.2. Adaptive Aggregation Algorithm
3.3.3. A Server-Side Adaptive Parameter Aggregation Algorithm for Multi-Method Fusion
| Algorithm 1: Calculation of hierarchical differences in models |
![]() |
| Algorithm 2: A server-side adaptive parameter aggregation algorithm for multi-method fusion (SAPAA-MMF) |
![]() |
| Algorithm 3: Client update algorithm |
![]() |
3.3.4. Algorithm Flow
3.3.5. Algorithm Complexity Analysis
4. Experiments
4.1. Experiments Setup
4.2. Evaluation Metrics Definition
4.3. Comparison of Server Evaluation
4.4. Comparison of Client Evaluation
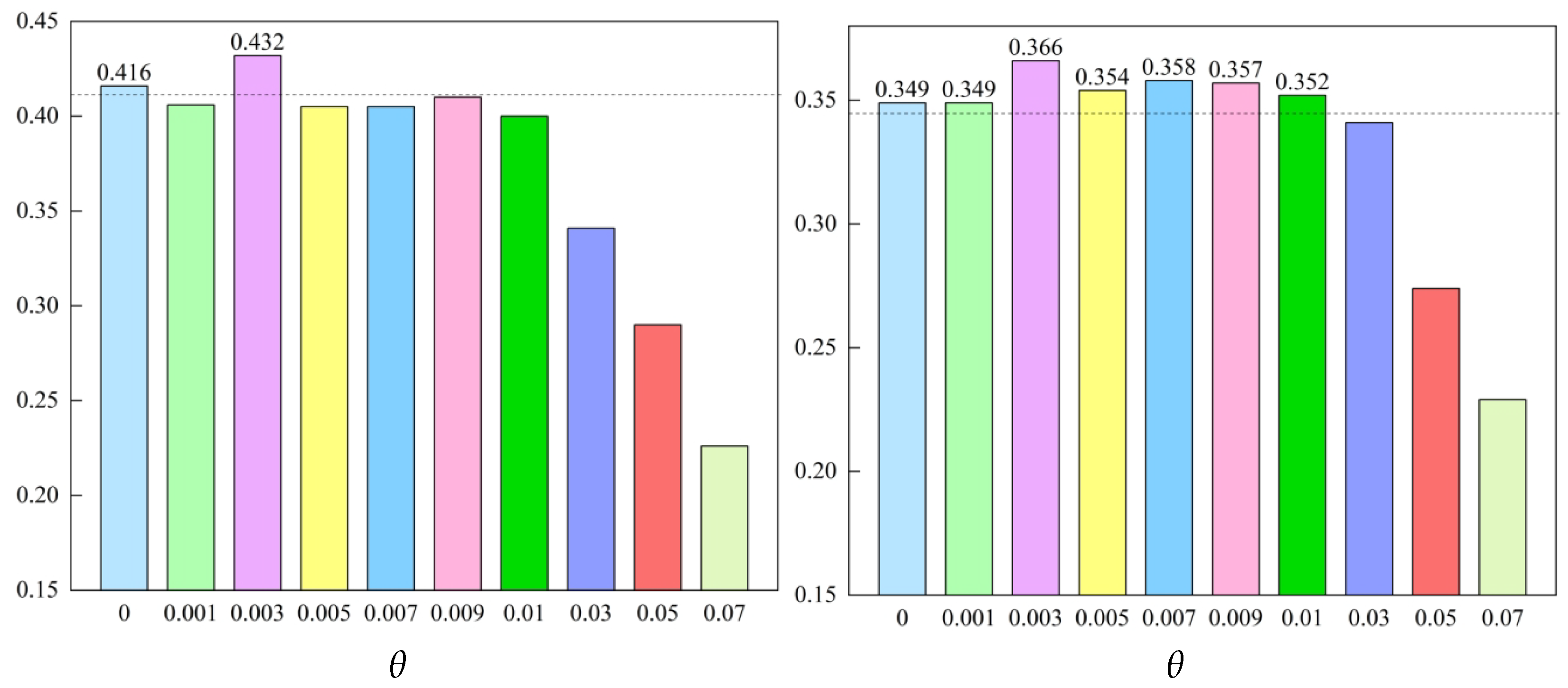
4.5. Hyper-Parameter Experimental Verification
4.6. Validation of Multi-Method Fusion
4.7. Training Effectiveness Experiment
4.8. Statistical Hypothesis Testing
5. Conclusions
Author Contributions
Funding
Institutional Review Board Statement
Informed Consent Statement
Data Availability Statement
Conflicts of Interest
References
- Miao, X.; Liu, X.; Chen, J.; Zhuang, S.; Fan, J.; Jiang, H. Insulator detection in aerial images for transmission line inspection using single shot multibox detector. IEEE Access 2019, 7, 9945–9956. [Google Scholar] [CrossRef]
- Zhao, Z.; Zhen, Z.; Zhang, L.; Qi, Y.; Kong, Y.; Zhang, K. Insulator detection method in inspection image based on improved faster r-cnn. Energies 2019, 12, 1204. [Google Scholar] [CrossRef]
- Feng, Z.; Guo, L.; Huang, D.; Li, R. Electrical insulator defects detection method based on yolov5. In Proceedings of the 2021 IEEE 10th Data Driven Control and Learning Systems Conference, Suzhou, China, 14–16 May 2021; pp. 979–984. [Google Scholar]
- Ju, M.; Yoo, C.D. Detection of bird’s nest in real time based on relation with electric pole using deep neural network. In Proceedings of the 2019 34th International Technical Conference on Circuits/Systems, Computers and Communications, Jeju, Republic of Korea, 23–26 June 2019; pp. 1–4. [Google Scholar]
- Zhang, C.; Xie, Y.; Bai, H.; Yu, B.; Li, W.; Gao, Y. A survey on federated learning. Knowl.-Based Syst. 2021, 216, 106775. [Google Scholar] [CrossRef]
- McMahan, B.; Moore, E.; Ramage, D.; Hampson, S.; Arcas, B.A.Y. Communication-efficient learning of deep networks from decentralized data. In Proceedings of the 20th International Conference on Artificial Intelligence and Statistics, Fort Lauderdale, FL, USA, 20–22 April 2017; pp. 1273–1282. [Google Scholar]
- Li, L.; Fan, Y.; Tse, M.; Lin, K.-Y. A review of applications in federated Learning. Comput. Ind. Eng. 2020, 149, 106854. [Google Scholar] [CrossRef]
- Hong, J.; Zhu, Z.; Yu, S.; Wang, Z.; Dodge, H.H.; Zhou, J. Federated adversarial debiasing for fair and transferable representations. In Proceedings of the 27th ACM SIGKDD Conference on Knowledge Discovery & Data Mining, Virtual Event, 14–18 August 2021; pp. 617–627. [Google Scholar]
- Karimireddy, S.P.; Kale, S.; Mohri, M.; Reddi, S.; Stich, S.; Suresh, A.T. Scaffold: Stochastic controlled averaging for federated learning. In Proceedings of the International Conference on Machine Learning, Virtual Event, 13–18 July 2020; pp. 5132–5143. [Google Scholar]
- Yuan, H.; Zaheer, M.; Reddi, S. Federated composite optimization. In Proceedings of the 38th International Conference on Machine Learning, Virtual Event, 18–24 July 2021; pp. 12253–12266. [Google Scholar]
- Reddi, S.; Charles, Z.; Zaheer, M.; Garrett, Z.; Rush, K.; Konečnỳ, J.; Kumar, S.; McMahan, H.B. Adaptive federated optimization. arXiv 2020, arXiv:2003.00295. [Google Scholar]
- Wu, Q.; An, J. An active contour model based on texture distribution for extracting inhomogeneous insulators from aerial images. IEEE Trans. Geosci. Remote Sens. 2013, 52, 3613–3626. [Google Scholar] [CrossRef]
- Wang, W.; Wang, Y.; Han, J.; Liu, Y. Recognition and drop-off detection of insulator based on aerial image. In Proceedings of the 2016 9th International Symposium on Computational Intelligence and Design, Hangzhou, China, 10–11 December 2016; pp. 162–167. [Google Scholar]
- Yan, S.; Jin, L.; Duan, S.; Zhao, L.; Yao, C.; Zhang, W. Power line image segmentation and extra matter recognition based on improved otsu algorithm. In Proceedings of the 2013 2nd International Conference on Electric Power Equipment-Switching Technology, Matsue, Japan, 20–23 October 2013; pp. 1–4. [Google Scholar]
- Chen, J.; Wen, Y.; Nanehkaran, Y.A.; Zhang, D.; Zeb, A. Multiscale attention networks for pavement defect detection. IEEE Trans. Instrum. Meas. 2023, 72, 1–12. [Google Scholar] [CrossRef]
- Yu, Y.; He, Y.; Karimi, H.R.; Gelman, L.; Cetin, A.E. A two-stage importance-aware subgraph convolutional network based on multi-source sensors for cross-domain fault diagnosis. Neural Netw. 2024, 179, 106518. [Google Scholar] [CrossRef] [PubMed]
- LeCun, Y.; Bengio, Y.; Hinton, G. Deep learning. Nature 2015, 521, 436–444. [Google Scholar] [CrossRef] [PubMed]
- Li, F.; Xin, J.; Chen, T.; Xin, L.; Wei, Z.; Li, Y.; Zhang, Y.; Jin, H.; Tu, Y.; Zhou, X.; et al. An automatic detection method of bird’s nest on transmission line tower based on faster_rcnn. IEEE Access 2020, 8, 164214–164221. [Google Scholar] [CrossRef]
- Li, L.; Wang, Z.; Zhang, T. Gbh-yolov5: Ghost convolution with bottleneckcsp and tiny target prediction head incorporating yolov5 for pv panel defect detection. Electronics 2023, 12, 561. [Google Scholar] [CrossRef]
- Wang, X.; Gao, H.; Jia, Z.; Li, Z. Bl-yolov8: An improved road defect detection model based on yolov8. Sensors 2023, 23, 8361. [Google Scholar] [CrossRef] [PubMed]
- Blanchard, P.; El Mhamdi, E.M.; Guerraoui, R.; Stainer, J. Machine learning with adversaries: Byzantine tolerant gradient descent. Adv. Neural Inf. Process. Syst. 2017, 30, 119–129. [Google Scholar]
- Yin, D.; Chen, Y.; Kannan, R.; Bartlett, P. Byzantine-robust distributed learning: Towards optimal statistical rates. In Proceedings of the 35th International Conference on Machine Learning, Stockholm, Sweden, 10–15 July 2018; pp. 5650–5659. [Google Scholar]
- Pan, Z.; Geng, H.; Wei, L.; Zhao, W. Adaptive client model update with reinforcement learning in synchronous federated learning. In Proceedings of the 2022 32nd International Telecommunication Networks and Applications Conference, Wellington, New Zealand, 30 November–2 December 2022; pp. 1–3. [Google Scholar]
- Li, T.; Sahu, A.K.; Zaheer, M.; Sanjabi, M.; Talwalkar, A.; Smith, V. Federated optimization in heterogeneous networks. Proc. Mach. Learn. Syst. 2020, 2, 429–450. [Google Scholar]
- Li, Q.; He, B.; Song, D. Model-contrastive federated learning. In Proceedings of the IEEE/CVF Conference on Computer Vision and Pattern Recognition, Nashville, TN, USA, 20–25 June 2021; pp. 10713–10722. [Google Scholar]
- Zhu, Z.; Hong, J.; Zhou, J. Data-free knowledge distillation for heterogeneous federated learning. In Proceedings of the 38th International Conference on Machine Learning, Virtual Event, 18–24 July 2021; pp. 12878–12889. [Google Scholar]
- Fallah, A.; Mokhtari, A.; Ozdaglar, A. Personalized federated learning with theoretical guarantees: A model-agnostic meta-learning approach. Adv. Neural Inf. Process. Syst. 2020, 33, 3557–3568. [Google Scholar]
- Li, X.-C.; Zhan, D.-C.; Shao, Y.; Li, B.; Song, S. Fedphp: Federated personalization with inherited private models. In Joint European Conference on Machine Learning and Knowledge Discovery in Databases; Springer: Cham, Switzerland, 2021; pp. 587–602. [Google Scholar]
- Chen, J.; Zhang, R.; Guo, J.; Fan, Y.; Cheng, X. Fedmatch: Federated learning over heterogeneous question answering data. In Proceedings of the 30th ACM International Conference on Information & Knowledge Management, Virtual Event, 1–5 November 2021; pp. 181–190. [Google Scholar]
- Niu, Y.; Deng, W. Federated learning for face recognition with gradient correction. In Proceedings of the AAAI Conference on Artificial Intelligence, Vancouver, BC, Canada, 28 February–1 March 2022; pp. 1999–2007. [Google Scholar]
- Collins, L.; Hassani, H.; Mokhtari, A.; Shakkottai, S. Exploiting shared representations for personalized federated learning. In Proceedings of the 38th International Conference on Machine Learning, Virtual Event, 18–24 July 2021; pp. 2089–2099. [Google Scholar]
- Shen, T.; Zhang, J.; Jia, X.; Zhang, F.; Lv, Z.; Kuang, K.; Wu, C.; Wu, F. Federated mutual learning: A collaborative machine learning method for heterogeneous data, models, and objectives. Front. Inf. Technol. Electron. Eng. 2023, 24, 1390–1402. [Google Scholar] [CrossRef]
- Shi, C.; Shen, C.; Yang, J. Federated multi-armed bandits with personalization. In Proceedings of the 24th International Conference on Artificial Intelligence and Statistics, Virtual Event, 13–15 April 2021; pp. 2917–2925. [Google Scholar]
- Kingma, D.P.; Ba, J. Adam: A method for stochastic optimization. arXiv 2014, arXiv:1412.6980. [Google Scholar]
- Hsu, T.-M.H.; Qi, H.; Brown, M. Federated visual classification with real-world data distribution. In Computer Vision–ECCV 2020: 16th European Conference, Glasgow, UK, 23–28 August 2020, Proceedings, Part X 16; Springer: Berlin/Heidelberg, Germany, 2020; pp. 76–92. [Google Scholar]
- Lin, T.-Y.; Maire, M.; Belongie, S.J.; Hays, J.; Perona, P.; Ramanan, D.; Dollár, P.; Zitnick, C.L. Microsoft coco: Common objects in context. In European Conference on Computer Vision; Springer: Berlin/Heidelberg, Germany, 2014; pp. 740–755. [Google Scholar]






| Dataset | client_1 | client_2 | client_3 | client_4 | Total |
|---|---|---|---|---|---|
| Bird’s nest foreign bodies | 115 | 115 | 115 | 36 | 381 |
| Cement rod damage | 90 | 100 | 110 | 23 | 323 |
| Shockproof hammer slip | 85 | 105 | 115 | 29 | 334 |
| Insulator self-explosion | 114 | 93 | 106 | 26 | 339 |
| Mixed dataset | 175 | 175 | 175 | 54 | 579 |
| Algorithm | Indicator | |||||
|---|---|---|---|---|---|---|
| FedAvg | 0.166 | 0.497 | 0.070 | 0.260 | 0.265 | 0.252 |
| FedAvgM | 0.185 | 0.455 | 0.114 | 0.265 | 0.265 | 0.257 |
| FedYogi | 0.182 | 0.483 | 0.079 | 0.240 | 0.240 | 0.245 |
| FedAdam | 0.174 | 0.506 | 0.063 | 0.247 | 0.247 | 0.247 |
| FedAdagrad | 0.196 | 0.503 | 0.074 | 0.255 | 0.255 | 0.257 |
| FedMedia | 0.171 | 0.496 | 0.094 | 0.243 | 0.243 | 0.249 |
| TrimmedAvg | 0.197 | 0.469 | 0.156 | 0.265 | 0.265 | 0.270 |
| Krum | 0.138 | 0.443 | 0.047 | 0.217 | 0.232 | 0.215 |
| SAPAA-MMF | 0.202 | 0.509 | 0.123 | 0.267 | 0.267 | 0.274 |
| Algorithm | Indicator | |||||
|---|---|---|---|---|---|---|
| FedAvg | 0.601 | 0.783 | 0.752 | 0.633 | 0.650 | 0.684 |
| FedAvgM | 0.543 | 0.776 | 0.703 | 0.588 | 0.588 | 0.640 |
| FedYogi | 0.597 | 0.793 | 0.754 | 0.642 | 0.642 | 0.686 |
| FedAdam | 0.602 | 0.776 | 0.752 | 0.604 | 0.604 | 0.668 |
| FedAdagrad | 0.534 | 0.771 | 0.567 | 0.567 | 0.567 | 0.601 |
| FedMedia | 0.577 | 0.763 | 0.752 | 0.613 | 0.613 | 0.664 |
| TrimmedAvg | 0.540 | 0.786 | 0.621 | 0.596 | 0.596 | 0.628 |
| Krum | 0.522 | 0.727 | 0.655 | 0.567 | 0.567 | 0.608 |
| SAPAA-MMF | 0.614 | 0.795 | 0.752 | 0.654 | 0.654 | 0.694 |
| Algorithm | Indicator | |||||
|---|---|---|---|---|---|---|
| FedAvg | 0.443 | 0.692 | 0.499 | 0.521 | 0.521 | 0.535 |
| FedAvgM | 0.440 | 0.691 | 0.478 | 0.514 | 0.514 | 0.527 |
| FedYogi | 0.445 | 0.700 | 0.498 | 0.545 | 0.545 | 0.547 |
| FedAdam | 0.438 | 0.703 | 0.521 | 0.521 | 0.534 | 0.543 |
| FedAdagrad | 0.264 | 0.629 | 0.116 | 0.393 | 0.393 | 0.359 |
| FedMedia | 0.398 | 0.714 | 0.414 | 0.497 | 0.497 | 0.504 |
| TrimmedAvg | 0.439 | 0.699 | 0.554 | 0.507 | 0.507 | 0.541 |
| Krum | 0.310 | 0.673 | 0.288 | 0.393 | 0.400 | 0.412 |
| SAPAA-MMF | 0.446 | 0.716 | 0.586 | 0.552 | 0.552 | 0.570 |
| Algorithm | Indicator | |||||
|---|---|---|---|---|---|---|
| FedAvg | 0.261 | 0.463 | 0.273 | 0.355 | 0.370 | 0.344 |
| FedAvgM | 0.293 | 0.523 | 0.349 | 0.385 | 0.391 | 0.388 |
| FedYogi | 0.346 | 0.528 | 0.381 | 0.391 | 0.391 | 0.407 |
| FedAdam | 0.330 | 0.517 | 0.407 | 0.370 | 0.376 | 0.400 |
| FedAdagrad | 0.256 | 0.531 | 0.260 | 0.300 | 0.300 | 0.329 |
| FedMedia | 0.264 | 0.445 | 0.333 | 0.370 | 0.370 | 0.356 |
| TrimmedAvg | 0.314 | 0.526 | 0.371 | 0.397 | 0.397 | 0.401 |
| Krum | 0.274 | 0.526 | 0.304 | 0.373 | 0.376 | 0.371 |
| SAPAA-MMF | 0.349 | 0.533 | 0.394 | 0.398 | 0.398 | 0.414 |
| Algorithm | Indicator | |||||
|---|---|---|---|---|---|---|
| FedAvg | 0.320 | 0.598 | 0.344 | 0.394 | 0.394 | 0.410 |
| FedAvgM | 0.311 | 0.570 | 0.301 | 0.394 | 0.394 | 0.394 |
| FedYogi | 0.290 | 0.581 | 0.262 | 0.356 | 0.356 | 0.369 |
| FedAdam | 0.332 | 0.628 | 0.365 | 0.368 | 0.368 | 0.412 |
| FedAdagrad | 0.342 | 0.651 | 0.299 | 0.368 | 0.368 | 0.406 |
| FedMedia | 0.290 | 0.562 | 0.321 | 0.397 | 0.397 | 0.393 |
| TrimmedAvg | 0.284 | 0.580 | 0.301 | 0.392 | 0.397 | 0.391 |
| Krum | 0.263 | 0.564 | 0.252 | 0.363 | 0.365 | 0.361 |
| SAPAA-MMF | 0.346 | 0.653 | 0.370 | 0.396 | 0.396 | 0.432 |
| Algorithm | Indicator | |||||
|---|---|---|---|---|---|---|
| FedAvg | 0.214 | 0.571 | 0.121 | 0.287 | 0.289 | 0.296 |
| FedAvgM | 0.224 | 0.585 | 0.175 | 0.318 | 0.318 | 0.324 |
| FedYogi | 0.203 | 0.551 | 0.147 | 0.303 | 0.303 | 0.302 |
| FedAdam | 0.214 | 0.564 | 0.140 | 0.281 | 0.282 | 0.296 |
| FedAdagrad | 0.219 | 0.589 | 0.155 | 0.281 | 0.281 | 0.305 |
| FedMedia | 0.217 | 0.587 | 0.136 | 0.316 | 0.316 | 0.314 |
| TrimmedAvg | 0.224 | 0.562 | 0.160 | 0.316 | 0.319 | 0.316 |
| Krum | 0.203 | 0.518 | 0.135 | 0.295 | 0.305 | 0.291 |
| SAPAA-MMF | 0.244 | 0.597 | 0.178 | 0.317 | 0.317 | 0.331 |
| Algorithm | Indicator | |||||
|---|---|---|---|---|---|---|
| FedAvg | 0.611 | 0.837 | 0.720 | 0.659 | 0.659 | 0.697 |
| FedAvgM | 0.609 | 0.811 | 0.749 | 0.653 | 0.655 | 0.695 |
| FedYogi | 0.605 | 0.847 | 0.718 | 0.667 | 0.667 | 0.701 |
| FedAdam | 0.564 | 0.853 | 0.703 | 0.631 | 0.631 | 0.676 |
| FedAdagrad | 0.516 | 0.822 | 0.546 | 0.566 | 0.566 | 0.603 |
| FedMedia | 0.604 | 0.851 | 0.683 | 0.671 | 0.674 | 0.697 |
| TrimmedAvg | 0.597 | 0.853 | 0.692 | 0.650 | 0.650 | 0.688 |
| Krum | 0.569 | 0.780 | 0.708 | 0.618 | 0.619 | 0.659 |
| SAPAA-MMF | 0.621 | 0.867 | 0.758 | 0.677 | 0.678 | 0.720 |
| Algorithm | Indicator | |||||
|---|---|---|---|---|---|---|
| FedAvg | 0.473 | 0.751 | 0.500 | 0.544 | 0.544 | 0.562 |
| FedAvgM | 0.465 | 0.746 | 0.554 | 0.541 | 0.541 | 0.569 |
| FedYogi | 0.470 | 0.771 | 0.567 | 0.532 | 0.532 | 0.574 |
| FedAdam | 0.436 | 0.707 | 0.506 | 0.523 | 0.523 | 0.539 |
| FedAdagrad | 0.276 | 0.641 | 0.178 | 0.370 | 0.376 | 0.368 |
| FedMedia | 0.466 | 0.767 | 0.499 | 0.534 | 0.534 | 0.560 |
| TrimmedAvg | 0.441 | 0.732 | 0.471 | 0.505 | 0.505 | 0.531 |
| Krum | 0.403 | 0.730 | 0.425 | 0.504 | 0.504 | 0.513 |
| SAPAA-MMF | 0.473 | 0.772 | 0.559 | 0.553 | 0.553 | 0.582 |
| Algorithm | Indicator | |||||
|---|---|---|---|---|---|---|
| FedAvg | 0.263 | 0.485 | 0.262 | 0.357 | 0.361 | 0.346 |
| FedAvgM | 0.275 | 0.503 | 0.284 | 0.372 | 0.378 | 0.362 |
| FedYogi | 0.316 | 0.554 | 0.320 | 0.377 | 0.378 | 0.389 |
| FedAdam | 0.318 | 0.539 | 0.344 | 0.366 | 0.370 | 0.387 |
| FedAdagrad | 0.255 | 0.529 | 0.256 | 0.334 | 0.335 | 0.342 |
| FedMedia | 0.210 | 0.434 | 0.166 | 0.319 | 0.325 | 0.291 |
| TrimmedAvg | 0.275 | 0.522 | 0.300 | 0.353 | 0.360 | 0.362 |
| Krum | 0.233 | 0.461 | 0.236 | 0.340 | 0.348 | 0.324 |
| SAPAA-MMF | 0.328 | 0.539 | 0.348 | 0.381 | 0.389 | 0.397 |
| Algorithm | Indicator | |||||
|---|---|---|---|---|---|---|
| FedAvg | 0.263 | 0.534 | 0.208 | 0.379 | 0.381 | 0.353 |
| FedAvgM | 0.277 | 0.518 | 0.215 | 0.382 | 0.382 | 0.355 |
| FedYogi | 0.270 | 0.516 | 0.262 | 0.341 | 0.341 | 0.346 |
| FedAdam | 0.265 | 0.537 | 0.238 | 0.334 | 0.334 | 0.342 |
| FedAdagrad | 0.278 | 0.537 | 0.216 | 0.346 | 0.346 | 0.345 |
| FedMedia | 0.280 | 0.527 | 0.239 | 0.364 | 0.364 | 0.355 |
| TrimmedAvg | 0.264 | 0.514 | 0.230 | 0.369 | 0.372 | 0.350 |
| Krum | 0.227 | 0.498 | 0.181 | 0.333 | 0.333 | 0.314 |
| SAPAA-MMF | 0.285 | 0.540 | 0.240 | 0.383 | 0.384 | 0.366 |
| Parameter | Indicator | |||||
|---|---|---|---|---|---|---|
| 0.335 | 0.624 | 0.339 | 0.390 | 0.390 | 0.416 | |
| 0.304 | 0.649 | 0.275 | 0.400 | 0.400 | 0.406 | |
| 0.346 | 0.653 | 0.370 | 0.396 | 0.396 | 0.432 | |
| 0.329 | 0.550 | 0.352 | 0.397 | 0.397 | 0.405 | |
| 0.320 | 0.629 | 0.252 | 0.411 | 0.411 | 0.405 | |
| 0.316 | 0.626 | 0.303 | 0.403 | 0.403 | 0.410 | |
| 0.319 | 0.570 | 0.314 | 0.399 | 0.399 | 0.400 | |
| 0.244 | 0.515 | 0.196 | 0.373 | 0.378 | 0.341 | |
| 0.198 | 0.433 | 0.131 | 0.343 | 0.346 | 0.290 | |
| 0.131 | 0.339 | 0.112 | 0.273 | 0.273 | 0.226 | |
| 0.107 | 0.269 | 0.088 | 0.255 | 0.257 | 0.195 | |
| Parameter | Indicator | |||||
|---|---|---|---|---|---|---|
| 0.284 | 0.539 | 0.271 | 0.326 | 0.326 | 0.349 | |
| 0.278 | 0.533 | 0.271 | 0.331 | 0.331 | 0.349 | |
| 0.285 | 0.540 | 0.240 | 0.383 | 0.384 | 0.366 | |
| 0.287 | 0.520 | 0.259 | 0.352 | 0.352 | 0.354 | |
| 0.277 | 0.546 | 0.265 | 0.351 | 0.351 | 0.358 | |
| 0.275 | 0.534 | 0.281 | 0.347 | 0.347 | 0.357 | |
| 0.278 | 0.531 | 0.248 | 0.351 | 0.351 | 0.352 | |
| 0.251 | 0.546 | 0.190 | 0.358 | 0.358 | 0.341 | |
| 0.186 | 0.459 | 0.115 | 0.304 | 0.305 | 0.274 | |
| 0.135 | 0.358 | 0.070 | 0.291 | 0.291 | 0.229 | |
| 0.091 | 0.280 | 0.049 | 0.206 | 0.206 | 0.166 | |
| Dataset | No Fusion | Fusion () | ||||||||
|---|---|---|---|---|---|---|---|---|---|---|
| Bird’s nest foreign bodies | 0.174 | 0.506 | 0.063 | 0.247 | 0.247 | 0.190 | 0.491 | 0.084 | 0.255 | 0.255 |
| Cement rod damage | 0.602 | 0.776 | 0.752 | 0.604 | 0.604 | 0.614 | 0.792 | 0.752 | 0.642 | 0.642 |
| Shockproof hammer slip | 0.438 | 0.703 | 0.521 | 0.521 | 0.534 | 0.442 | 0.708 | 0.559 | 0.549 | 0.549 |
| Insulator self-explosion | 0.330 | 0.517 | 0.407 | 0.370 | 0.376 | 0.341 | 0.525 | 0.404 | 0.390 | 0.391 |
| Mixed | 0.332 | 0.628 | 0.365 | 0.368 | 0.368 | 0.335 | 0.624 | 0.339 | 0.390 | 0.390 |
| 0.375 | 0.626 | 0.422 | 0.422 | 0.426 | 0.384 | 0.628 | 0.428 | 0.445 | 0.445 | |
| Dataset | No Fusion | Fusion () | ||||||||
|---|---|---|---|---|---|---|---|---|---|---|
| Bird’s nest foreign bodies | 0.214 | 0.564 | 0.140 | 0.281 | 0.282 | 0.232 | 0.573 | 0.160 | 0.285 | 0.285 |
| Cement rod damage | 0.564 | 0.853 | 0.703 | 0.631 | 0.631 | 0.603 | 0.850 | 0.742 | 0.655 | 0.656 |
| Shockproof hammer slip | 0.436 | 0.707 | 0.506 | 0.523 | 0.523 | 0.467 | 0.763 | 0.498 | 0.548 | 0.548 |
| Insulator self-explosion | 0.318 | 0.539 | 0.344 | 0.366 | 0.370 | 0.327 | 0.554 | 0.387 | 0.376 | 0.377 |
| Mixed | 0.265 | 0.537 | 0.238 | 0.334 | 0.334 | 0.284 | 0.539 | 0.271 | 0.326 | 0.326 |
| 0.359 | 0.640 | 0.387 | 0.427 | 0.428 | 0.383 | 0.656 | 0.412 | 0.438 | 0.438 | |
Disclaimer/Publisher’s Note: The statements, opinions and data contained in all publications are solely those of the individual author(s) and contributor(s) and not of MDPI and/or the editor(s). MDPI and/or the editor(s) disclaim responsibility for any injury to people or property resulting from any ideas, methods, instructions or products referred to in the content. |
© 2024 by the authors. Licensee MDPI, Basel, Switzerland. This article is an open access article distributed under the terms and conditions of the Creative Commons Attribution (CC BY) license (https://creativecommons.org/licenses/by/4.0/).
Share and Cite
Zhang, L.; Bian, B.; Luo, L.; Li, S.; Wang, H. Federated Learning with Multi-Method Adaptive Aggregation for Enhanced Defect Detection in Power Systems. Big Data Cogn. Comput. 2024, 8, 102. https://doi.org/10.3390/bdcc8090102
Zhang L, Bian B, Luo L, Li S, Wang H. Federated Learning with Multi-Method Adaptive Aggregation for Enhanced Defect Detection in Power Systems. Big Data and Cognitive Computing. 2024; 8(9):102. https://doi.org/10.3390/bdcc8090102
Chicago/Turabian StyleZhang, Linghao, Bing Bian, Linyu Luo, Siyang Li, and Hongjun Wang. 2024. "Federated Learning with Multi-Method Adaptive Aggregation for Enhanced Defect Detection in Power Systems" Big Data and Cognitive Computing 8, no. 9: 102. https://doi.org/10.3390/bdcc8090102
APA StyleZhang, L., Bian, B., Luo, L., Li, S., & Wang, H. (2024). Federated Learning with Multi-Method Adaptive Aggregation for Enhanced Defect Detection in Power Systems. Big Data and Cognitive Computing, 8(9), 102. https://doi.org/10.3390/bdcc8090102



