Toward New Epidemiological Landscapes of Trypanosoma cruzi (Kinetoplastida, Trypanosomatidae) Transmission under Future Human-Modified Land Cover and Climatic Change in Mexico
Abstract
1. Introduction
2. Materials and Methods
2.1. Data of Wild and Domestic Cycles of T. cruzi
2.2. Land-Used/Cover-Change Datasets
2.3. Climate Datasets
2.4. Modelling Framework
2.4.1. Characterizing the Epidemiological Landscapes of T. cruzi Transmission
2.4.2. Geographic Models of Potential Distribution of T. cruzi Cycles
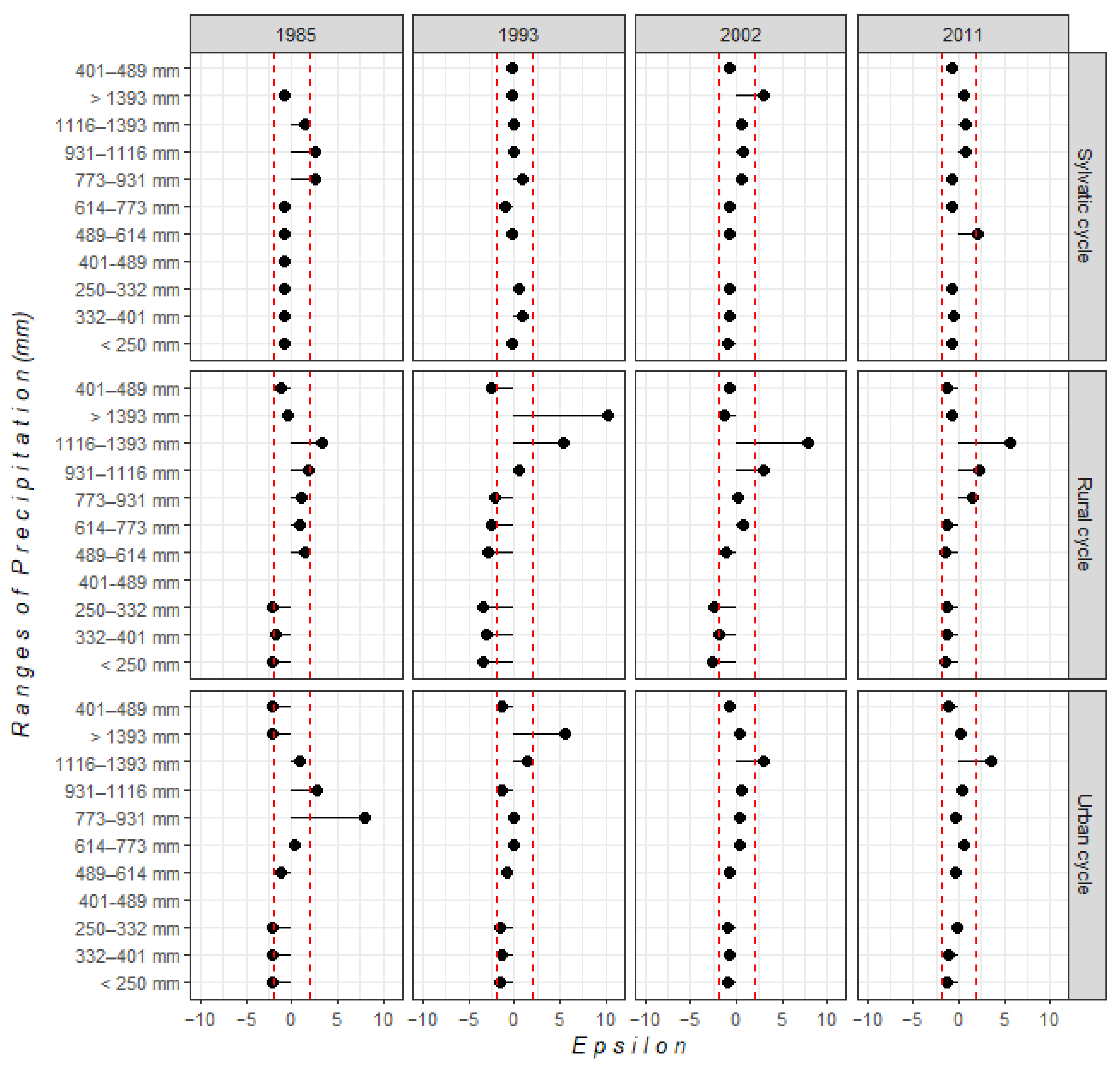
3. Results
4. Discussion
Supplementary Materials
Author Contributions
Funding
Institutional Review Board Statement
Informed Consent Statement
Data Availability Statement
Conflicts of Interest
References
- Coura, J.R.; Dias, J.C.P. Epidemiology, control and surveillance of Chagas disease—100 years after its discovery. Memórias do Instituto Oswaldo Cruz 2009, 104, 31–40. [Google Scholar] [CrossRef] [PubMed]
- World Health Organization (WHO). Chagas disease: Control and elimination. In Proceedings of the World Health Assembly Sixty-Third Session, Geneva, Switzerland, 21 May 2010. [Google Scholar]
- Carabarin-Lima, A.; González-Vázquez, M.C.; Rodríguez-Morales, O.; Baylón-Pacheco, L.; Rosales-Encina, J.L.; Reyes-López, P.A.; Arce-Fonseca, M. Chagas disease (American trypanosomiasis) in Mexico: An update. Acta Trop. 2013, 127, 126–135. [Google Scholar] [CrossRef] [PubMed]
- Goicochea-Del Rosal, G.; Nogueda-Torres, B.; Villagrán, M.E.; de Diego-Cabrera, J.A.; Montañez-Valdez, O.D.; Martínez-Ibarra, J.A. Chagas disease: Importance of rats as reservoir hosts of Trypanosoma cruzi (Chagas, 1909) in western Mexico. J. Infect. Public Health 2018, 11, 230–233. [Google Scholar] [CrossRef] [PubMed]
- Ramsey, J.M.; Peterson, A.T.; Carmona-Castro, O.; Moo-Llanes, D.A.; Nakazawa, Y.; Butrick, M.; Tun-Ku, E.; de la Cruz-Félix, K.; Ibarra-Cerdeña, C.N. Atlas of Mexican Triatominae (Reduviidae: Hemiptera) and vector transmission of Chagas disease. Memórias do Instituto Oswaldo Cruz 2015, 110, 339–352. [Google Scholar] [CrossRef]
- Arce-Fonseca, M.; Carrillo-Sánchez, S.C.; Molina-Barrios, R.M.; Martínez-Cruz, M.; Cedillo-Cobián, J.R.; Henao-Díaz, Y.A.; Rodríguez-Morales, O. Seropositivity for Trypanosoma cruzi in domestic dogs from Sonora, Mexico. Infect. Dis. Poverty 2017, 6, 3–9. [Google Scholar] [CrossRef]
- Macedo, A.M.; Machado, C.R.; Oliveira, R.P.; Pena, S.D.J. Trypanosoma cruzi: Genetic structure of populations and relevance of genetic variability to the pathogenesis of Chagas disease. Memórias do Instituto Oswaldo Cruz 2004, 99, 1–12. [Google Scholar] [CrossRef]
- Rengifo-Correa, L.; Stephens, C.R.; Morrone, J.J.; Téllez-Rendón, J.L.; González-Salazar, C. Understanding transmissibility patterns of Chagas disease through complex vector–host networks. Parasitology 2017, 144, 760–772. [Google Scholar] [CrossRef]
- Pan American Health Organization. Chagas’ Disease. Epidemiol. Bull. 1982, 3, 1–5. Available online: https://www3.paho.org/nglish/dd/ais/EB_v2n3.pdf (accessed on 20 September 2021).
- Rassi, A.; Rassi, A.; Marin-Neto, J.A. Chagas disease. Lancet 2010, 375, 1388–1402. [Google Scholar] [CrossRef]
- Guzmán-Bracho, C. Epidemiology of Chagas disease in Mexico: An update. Trends Parasitol. 2001, 17, 372–376. [Google Scholar] [CrossRef]
- Dumonteil, E. Update on Chagas’ disease in Mexico. Salud Pública de México 1999, 41, 322–327. [Google Scholar] [CrossRef] [PubMed]
- Tay, J.; Bucio, M.I.; Zarate, R.; Zarate, L. Estado actual de nuestros conocimientos sobre la enfermedad de Chagas en la República Mexicana. Revista da Sociedade Brasileira de Medicina Tropical 1981, 14, 29–67. [Google Scholar] [CrossRef]
- López-Cancino, S.A.; Tun-Ku, E.; De la Cruz-Felix, H.K.; Ibarra-Cerdeña, C.N.; Izeta-Alberdi, A.; Pech-May, A.; Mazariegos-Hidalgo, C.J.; Valdez-Tah, A.; Ramsey, J.M. Landscape ecology of Trypanosoma cruzi in the southern Yucatan Peninsula. Acta Trop. 2015, 151, 58–72. [Google Scholar] [CrossRef] [PubMed]
- Teixeira, A.R.L.; Gomes, C.; Lozzi, S.P.; Hecht, M.M.; Bussacos, A.C.; Nitz, N.; McManus, C. Environment, interactions between Trypanosoma cruzi and its host, and health. Cadernos de Saude Publica 2009, 25, s32–s44. [Google Scholar] [CrossRef]
- Hernández-Cortazar, I.; Guardia, K.C.A.; Torres-Castro, M.; Acosta-Viana, K.; Guzmán-Marin, E.; Chan-Pérez, J.I.; Ortega-Pacheco, A.; Rodriguez-Vivas, R.I.; Medina-Pinto, R.; Jiménez-Coello, M. Frequency of Trypanosoma cruzi infection in synanthropic and wild rodents captured in a rural community in southeast of Mexico. Vet. Med. Int. 2018, 2018, 8059613. [Google Scholar] [CrossRef]
- Rovirosa-Hernández, M.D.J.; Cortes-Ortíz, L.; García-Orduña, F.; Guzmán-Gómez, D.; López-Monteon, A.; Caba, M.; Ramos-Ligonio, A. Seroprevalence of Trypanosoma cruzi and Leishmania mexicana in Free-Ranging Howler Monkeys in Southeastern Mexico. Am. J. Primatol. 2013, 75, 161–169. [Google Scholar] [CrossRef]
- Coura, J.R.; Viñas, P.A.; Junqueira, A.C.V. Ecoepidemiology, Short history and control of chagas disease in the endemic countries and the new challenge for non-endemic countries. Memórias do Instituto Oswaldo Cruz 2014, 109, 856–862. [Google Scholar] [CrossRef]
- Roque, A.L.R.; Xavier, S.C.C.; Da Rocha, M.G.; Duarte, A.C.M.; D’Andrea, P.S.; Jansen, A.M. Trypanosoma cruzi transmission cycle among wild and domestic mammals in three areas of orally transmitted chagas disease outbreaks. Am. J. Trop. Med. Hyg. 2008, 79, 742–749. [Google Scholar] [CrossRef]
- Briceño-León, R. La enfermedad de Chagas en las Américas: Una perspectiva de ecosalud. Cadernos de Saude Publica 2009, 25, S71–S82. [Google Scholar] [CrossRef]
- González-Salazar, C.; Stephens, C.R.; Sánchez-Cordero, V. Predicting the Potential Role of Non-human Hosts in Zika Virus Maintenance. Ecohealth 2017, 14, 171–177. [Google Scholar] [CrossRef]
- Pan American Health Organization. Chagas Disease in the Americas: A Review of the Current Public Health Situation and Its Vision for the Future. 2018. Available online: https://www.who.int/publications/i/item/Chagas-Disease-in-the-Americas-conclusions-recommendations-2018 (accessed on 23 September 2021).
- Ocaña-Mayorga, S.; Bustillos, J.J.; Villacís, A.G.; Pinto, C.M.; Brenière, S.F.; Grijalva, M.J. Triatomine feeding profiles and Trypanosoma cruzi infection, implications in domestic and sylvatic transmission cycles in Ecuador. Pathogens 2021, 10, 42. [Google Scholar] [CrossRef] [PubMed]
- Bautista, N.L.; García De La Torre, G.S.; De Haro Arteaga, I.; Salazar Schettino, P.M. Importance of Triatoma pallidipennis (Hemiptera: Reduviidae) as a vector of Trypanosoma cruzi (Kinetoplastida: Trypanosomatidae) in the state of Morelos, Mexico, and possible ecotopes. J. Med. Entomol. 1999, 36, 233–235. [Google Scholar] [CrossRef]
- Guhl, F.; Ramírez, J.D. Poverty, Migration, and Chagas Disease. Curr. Trop. Med. Rep. 2021, 8, 52–58. [Google Scholar] [CrossRef]
- Ghersi, B.M.; Peterson, A.C.; Gibson, N.L.; Dash, A.; Elmayan, A.; Schwartzenburg, H.; Tu, W.; Riegel, C.; Herrera, C.; Blum, M.J. In the heart of the city: Trypanosoma cruzi infection prevalence in rodents across New Orleans. Parasites Vectors 2020, 13, 1–10. [Google Scholar] [CrossRef]
- Tamay-Segovia, P.; Blum-Domínguez, S.C.; Núñez-Oreza, L.A.; Martínez-Hernández, F.; Gómez-Solano, M.I.; Maldonado-Velázquez, M.G.; Retana-Guiascón, O.G. Presence of Virginia opossum (Didelphis virginiana) and pic (Triatoma dimidiata) infected with Trypanosoma cruzi in urban areas: Preliminary evaluation in the city of Campeche, Mexico. Austral J. Vet. Sci. 2017, 49, 35–38. [Google Scholar] [CrossRef]
- Cortés-Jiménez, M.; Nogueda-Torres, B.; Alejandre-Aguilar, R.; Isita-Tornell, L.; Ramírez-Moreno, E. Frequency of Triatomines Infected with Trypanosoma cruzi Collected in Cuernavaca City, Morelos, México. Rev. Latinoam. Microbiol. 1996, 38, 115–119. [Google Scholar] [PubMed]
- Asin, S.; Catalá, S. Development of Trypanosoma cruzi in Triatoma infestans: Influence of Temperature and Blood Consumption. J. Parasitol. 1995, 81, 1–7. [Google Scholar] [CrossRef]
- Tamayo, L.D.; Guhl, F.; Vallejo, G.A.; Ramírez, J.D. The effect of temperature increases on the development of Rhodnius prolixus and the course of Trypanosoma cruzi metacyclogenesis. PLoS Negl. Trop. Dis. 2018, 12, e0006735. [Google Scholar] [CrossRef]
- Carcavallo, R.U. Climatic Factors Related to Chagas Disease Transmission. Memórias do Instituto Oswaldo Cruz 1999, 94, 367–369. [Google Scholar] [CrossRef]
- Carcavallo, R.U.; de Casas, S.C. Some Health Impacts of Global Warming in South America: Vector-borne diseases. J. Epidemiol. 1996, 6, 153–157. [Google Scholar] [CrossRef][Green Version]
- Lafferty, K.D. The ecology of climate change and infectious diseases. Ecology 2009, 90, 888–900. [Google Scholar] [CrossRef] [PubMed]
- Short, E.E.; Caminade, C.; Thomas, B.N. Climate Change Contribution to the Emergence or Re-Emergence of Parasitic Diseases. Infect. Dis. Res. Treat. 2017, 10, 117863361773229. [Google Scholar] [CrossRef] [PubMed]
- Stephens, C.R.; Sierra-Alcocer, R.; González-Salazar, C.; Barrios, J.M.; Salazar Carrillo, J.C.; Robredo Ezquivelzeta, E.; del Callejo Canal, E. SPECIES: A platform for the exploration of ecological data. Ecol. Evol. 2019, 9, 1638–1653. [Google Scholar] [CrossRef] [PubMed]
- González-Salazar, C.; Stephens, C.R.; Marquet, P.A. Comparing the relative contributions of biotic and abiotic factors as mediators of species’ distributions. Ecol. Modell. 2013, 248, 57–70. [Google Scholar] [CrossRef]
- Mendoza-Ponce, A.V.; Corona-Núñez, R.O.; Kraxner, F.; Estrada, F. Spatial prioritization for biodiversity conservation in a megadiverse country. Anthropocene 2020, 32, 100267. [Google Scholar] [CrossRef]
- Mendoza-Ponce, A.; Corona-Núñez, R.; Kraxner, F.; Leduc, S.; Patrizio, P. Identifying effects of land use cover changes and climate change on terrestrial ecosystems and carbon stocks in Mexico. Glob. Environ. Chang. 2018, 53, 12–23. [Google Scholar] [CrossRef]
- Abdi, H. Binomial test. In The Concise Encyclopedia of Statistics; Springer: New York, NY, USA, 2008; pp. 47–49. [Google Scholar]
- Ramsey, J.M.; Gutiérrez-Cabrera, A.E.; Salgado-Ramírez, L.; Peterson, A.T.; Sánchez-Cordero, V.; Ibarra-Cerdeña, C.N. Ecological Connectivity of Trypanosoma cruzi Reservoirs and Triatoma pallidipennis Hosts in an Anthropogenic Landscape with Endemic Chagas Disease. PLoS ONE 2012, 2012, 46013. [Google Scholar] [CrossRef]
- Garza, M.; Feria Arroyo, T.P.; Casillas, E.A.; Sanchez-Cordero, V.; Rivaldi, C.-L.; Sarkar, S. Projected Future Distributions of Vectors of Trypanosoma cruzi in North America under Climate Change Scenarios. PLoS Negl. Trop. Dis. 2014, 8, e2818. [Google Scholar] [CrossRef] [PubMed]
- Gurgel-Gonçalves, R.; Galvão, C.; Costa, J.; Peterson, A.T. Geographic Distribution of Chagas Disease Vectors in Brazil Based on Ecological Niche Modeling. J. Trop. Med. 2012, 2012, 705326. [Google Scholar] [CrossRef]
- Carmona-Castro, O.; Moo-Llanes, D.A.; Ramsey, J.M. Impact of climate change on vector transmission of Trypanosoma cruzi (Chagas, 1909) in North America. Med. Vet. Entomol. 2018, 32, 84–101. [Google Scholar] [CrossRef]
- Dumonteil, E.; Tripet, F.; Ramirez-Sierra, M.J.; Payet, V.; Lanzaro, G.; Menu, F. Assessment of Triatoma dimidiata dispersal in the Yucatan Peninsula of Mexico by morphometry and microsatellite markers. Am. J. Trop. Med. Hyg. 2007, 76, 930–937. [Google Scholar] [CrossRef] [PubMed]
- Busselman, R.E.; Hamer, S.A. Chagas Disease Ecology in the United States: Recent Advances in Understanding Trypanosoma cruzi Transmission Among Triatomines, Wildlife, and Domestic Animals and a Quantitative Synthesis of Vector–Host Interactions. Annu. Rev. Anim. Biosci. 2022, 10, 325–348. [Google Scholar] [CrossRef] [PubMed]
- Dumonteil, E.; Desale, H.; Tu, W.; Duhon, B.; Wolfson, W.; Balsamo, G.; Herrera, C. Shelter cats host infections with multiple Trypanosoma cruzi discrete typing units in southern Louisiana. Vet. Res. 2021, 52, 4–11. [Google Scholar] [CrossRef]
- Catalá, S. The biting rate of Triatoma infestans in Argentina. Med. Vet. Entomol. 1991, 5, 325–334. [Google Scholar] [CrossRef] [PubMed]
- Vazquez-Prokopec, G.M.; Spillmann, C.; Zaidenberg, M.; Gürtler, R.E.; Kitron, U. Spatial Heterogeneity and Risk Maps of Community Infestation by Triatoma infestans in Rural Northwestern Argentina. PLoS Negl. Trop. Dis. 2012, 2012, e1788. [Google Scholar] [CrossRef] [PubMed]
- Tarleton, R.L.; Gürtler, R.E.; Urbina, J.A.; Ramsey, J.; Viotti, R. Chagas Disease and the London Declaration on Neglected Tropical Diseases. PLoS Negl. Trop. Dis. 2014, 8, 8–13. [Google Scholar] [CrossRef] [PubMed]
- Gürtler, R.E. How is global change affecting Chagas disease landscapes? Memórias do Instituto Oswaldo Cruz 2022, 117, e200479. [Google Scholar] [CrossRef]







Publisher’s Note: MDPI stays neutral with regard to jurisdictional claims in published maps and institutional affiliations. |
© 2022 by the authors. Licensee MDPI, Basel, Switzerland. This article is an open access article distributed under the terms and conditions of the Creative Commons Attribution (CC BY) license (https://creativecommons.org/licenses/by/4.0/).
Share and Cite
González-Salazar, C.; Meneses-Mosquera, A.K.; Aguirre-Peña, A.; Fernández-Castel, K.P.J.; Stephens, C.R.; Mendoza-Ponce, A.; Velasco, J.A.; Calderón-Bustamante, O.; Estrada, F. Toward New Epidemiological Landscapes of Trypanosoma cruzi (Kinetoplastida, Trypanosomatidae) Transmission under Future Human-Modified Land Cover and Climatic Change in Mexico. Trop. Med. Infect. Dis. 2022, 7, 221. https://doi.org/10.3390/tropicalmed7090221
González-Salazar C, Meneses-Mosquera AK, Aguirre-Peña A, Fernández-Castel KPJ, Stephens CR, Mendoza-Ponce A, Velasco JA, Calderón-Bustamante O, Estrada F. Toward New Epidemiological Landscapes of Trypanosoma cruzi (Kinetoplastida, Trypanosomatidae) Transmission under Future Human-Modified Land Cover and Climatic Change in Mexico. Tropical Medicine and Infectious Disease. 2022; 7(9):221. https://doi.org/10.3390/tropicalmed7090221
Chicago/Turabian StyleGonzález-Salazar, Constantino, Anny K. Meneses-Mosquera, Alejandra Aguirre-Peña, Karla Paola J. Fernández-Castel, Christopher R. Stephens, Alma Mendoza-Ponce, Julián A. Velasco, Oscar Calderón-Bustamante, and Francisco Estrada. 2022. "Toward New Epidemiological Landscapes of Trypanosoma cruzi (Kinetoplastida, Trypanosomatidae) Transmission under Future Human-Modified Land Cover and Climatic Change in Mexico" Tropical Medicine and Infectious Disease 7, no. 9: 221. https://doi.org/10.3390/tropicalmed7090221
APA StyleGonzález-Salazar, C., Meneses-Mosquera, A. K., Aguirre-Peña, A., Fernández-Castel, K. P. J., Stephens, C. R., Mendoza-Ponce, A., Velasco, J. A., Calderón-Bustamante, O., & Estrada, F. (2022). Toward New Epidemiological Landscapes of Trypanosoma cruzi (Kinetoplastida, Trypanosomatidae) Transmission under Future Human-Modified Land Cover and Climatic Change in Mexico. Tropical Medicine and Infectious Disease, 7(9), 221. https://doi.org/10.3390/tropicalmed7090221

