Improving Green Literacy and Environmental Culture Associated with Youth Participation in the Circular Economy: A Case Study of Vietnam
Abstract
1. Introduction
2. Literature Review and Hypotheses
3. Conceptual Framework and Study Approach
3.1. Conceptual Framework
- (i)
- Awareness: basic knowledge about the concept of the circular economy and its benefits.
- (ii)
- Knowledge: either fundamental or in-depth understanding of the principles of the circular economy and sustainable consumption.
- (iii)
- Care: genuine concern for environmental protection.
- (i)
- A 5% higher price: individuals are willing to pay a small premium for the products or services that align with circular economy principles.
- (ii)
- A 10% higher price: individuals are willing to pay a moderate premium to support sustainable practices and circular economy initiatives.
- (iii)
- A 15% higher price: individuals are highly committed and willing to pay a significant premium to promote circular economy practices.
3.2. Study Approach
- Bayesian Mindsponge Framework (BMF)
- Bayesian Mindsponge Mindspongeconomics (BMM) framework
4. Materials and Methods
4.1. Bayesian Model
4.2. Data
5. Results
6. Discussion
6.1. Key Findings
6.2. Contributions
6.3. Limitations and Potential Follow-Up Research
7. Conclusions
Author Contributions
Funding
Data Availability Statement
Acknowledgments
Conflicts of Interest
References
- United Nations. The Sustainable Development Goals 2023 Report; United Nations: New York, NY, USA, 2023; Available online: https://unstats.un.org/sdgs/report/2023/The-Sustainable-Development-Goals-Report-2023.pdf (accessed on 3 October 2023).
- Hallegatte, S.; Fay, M.; Barbier, E.B. Poverty and climate change: Introduction. Environ. Dev. Econ. 2018, 23, 217–233. [Google Scholar] [CrossRef]
- Hallegatte, S.; Rozenberg, J. Climate change through a poverty lens. Nat. Clim. Change 2017, 7, 250–256. [Google Scholar] [CrossRef]
- Geissdoerfer, M.; Savaget, P.; Bocken, N.M.P.; Hultink, E.J. The Circular Economy—A new sustainability paradigm? J. Clean. Prod. 2017, 143, 757–768. [Google Scholar] [CrossRef]
- Bocken, N.M.P.; de Pauw, I.; Bakker, C.; van der Grinten, B. Product design and business model strategies for a circular economy. J. Ind. Prod. Eng. 2016, 33, 308–320. [Google Scholar] [CrossRef]
- Manh, N. Circular economy towards environmental protection and sustainability in Vietnam (Phát triển kinh tế tuần hoàn hướng tới bảo vệ môi trường, phát triển bền vững ở Việt Nam). Communist Rev. 2022, 35, 381–386. Available online: https://www.tapchicongsan.org.vn/web/guest/bao-ve-moi-truong/-/2018/825771/phat-trien-kinh-te-tuan-hoan-huong-toi-bao-ve-moi-truong%2C-phat-trien-ben-vung-o-viet-nam.aspx (accessed on 3 October 2023).
- Duong, T. Government and Business Community Join Hands to Promote Green Growth. Government News. 20 March 2023, pp. 22–24. Available online: https://en.baochinhphu.vn/government-and-business-community-join-hands-to-promote-green-growth-111230320162702567.htm (accessed on 22 October 2023).
- The Vietnam Prime Minister. Decision 687/QD-TTg: Approving the Project of developing Circular Economy in Viet Nam. 2022. Available online: https://thuvienphapluat.vn/van-ban/EN/Thuong-mai/Decision-687-QD-TTg-2022-the-scheme-for-circular-economy-development-in-Vietnam/516871/tieng-anh.aspx (accessed on 3 September 2023).
- Herrador, M.; Dat, T.T.; Truong, D.D.; Hoa, L.T.; Łobacz, K. The Unique Case Study of Circular Economy in Vietnam Remarking Recycling Craft Villages. SAGE Open 2023, 13, 1–17. [Google Scholar] [CrossRef]
- The National Assembly. Law 72/2020/QH14 on Environmental Protection in Vietnam. 2020. Available online: https://thuvienphapluat.vn/van-ban/EN/Tai-nguyen-Moi-truong/Law-72-2020-QH14-on-Environmental-Protection/463512/tieng-anh.aspx (accessed on 13 October 2023).
- Do, T. Sorting Waste at Source: Difficult but Necessary (Phân loại rác tại nguồn: Khó nhưng cần thực hiện). 2023. Available online: https://baophapluat.vn/phan-loai-rac-tai-nguon-kho-nhung-can-thuc-hien-post491768.html (accessed on 10 May 2023).
- European Commission. A New Circular Economy Action Plan for a Cleaner and More Competitive Europe; European Commission: Brussels, Belgium, 2020; Available online: https://eur-lex.europa.eu/legal-content/EN/TXT/?qid=1583933814386&uri=COM:2020:98:FIN (accessed on 13 October 2023).
- Hickman, C.; Marks, E.; Pihkala, P.; Clayton, S.; Lewandowski, R.E.; Mayall, E.E.; Wray, B.; Mellor, C.; van Susteren, L. Climate anxiety in children and young people and their beliefs about government responses to climate change: A global survey. Lancet Planet. Health 2021, 5, e863–e873. [Google Scholar] [CrossRef] [PubMed]
- Krajnc, D.; Kovačič, D.; Žunec, E.; Brglez, K.; Kovačič Lukman, R. Youth Awareness and Attitudes towards a Circular Economy to Achieve the Green Deal Goals. Sustainability 2022, 14, 12050. [Google Scholar] [CrossRef]
- World Bank. The Circular Economy: Could It Provide Opportunities for Greener and Better Jobs? World Bank: Washington, DC, USA, 2021; pp. 1–43. Available online: http://documents.worldbank.org/curated/en/099707203152315359/IDU0e4d857ef0761b048d00af3b03ad74920e264 (accessed on 13 October 2023).
- Nguyen, T.X.H.; Tran, T.-B.-N.; Dao, T.-B.; Barysheva, G.; Nguyen, C.-T.; Nguyen, A.-H.; Lam, T.-S. Elderly People’s Adaptation to the Evolving Digital Society: A Case Study in Vietnam. Soc. Sci. 2022, 11, 324. [Google Scholar] [CrossRef]
- Arslan, S.; Panitsara, N.; Lerwen, L. Youth Leadership in a Circular Economy: Education Enabled by STEAM Platform. In An Introduction to Circular Economy; Springer: Singapore, 2020; pp. 597–622. [Google Scholar] [CrossRef]
- Kirchherr, J.; Yang, N.H.N.; Schulze-Spüntrup, F.; Heerink, M.J.; Hartley, K. Conceptualizing the Circular Economy (Revisited): An Analysis of 221 Definitions. Resour. Conserv. Recycl. 2023, 194, 107001. [Google Scholar] [CrossRef]
- Homrich, A.S.; Galvão, G.; Abadia, L.G.; Carvalho, M.M. The circular economy umbrella: Trends and gaps on integrating pathways. J. Clean. Prod. 2018, 175, 525–543. [Google Scholar] [CrossRef]
- European Parliament. Circular Economy: Definition, Importance and Benefits; European Parliament: Strasbourg, France, 2023; pp. 23–26. Available online: https://www.europarl.europa.eu/news/en/headlines/economy/20151201STO05603/circular-economy-definition-importance-and-benefits (accessed on 3 October 2023).
- Dardanoni, V.; Guerriero, C. Young people’s willingness to pay for environmental protection. Ecol. Econ. 2021, 179, 106853. [Google Scholar] [CrossRef]
- Franzen, A.; Vogl, D. Acquiescence and the Willingness to Pay for Environmental Protection: A Comparison of the ISSP, WVS, and EVS*. Soc. Sci. Q. 2013, 94, 637–659. [Google Scholar] [CrossRef]
- Laroche, M.; Bergeron, J.; Barbaro-Forleo, G. Targeting consumers who are willing to pay more for environmentally friendly products. J. Consum. Mark. 2001, 18, 503–520. [Google Scholar] [CrossRef]
- Demirbas, A. Waste management, waste resource facilities and waste conversion processes. Energy Convers. Manag. 2011, 52, 1280–1287. [Google Scholar] [CrossRef]
- Ghisellini, P.; Cialani, C.; Ulgiati, S. A review on circular economy: The expected transition to a balanced interplay of environmental and economic systems. J. Clean. Prod. 2016, 114, 11–32. [Google Scholar] [CrossRef]
- Mazur-Wierzbicka, E. Circular economy: Advancement of European Union countries. Environ. Sci. Eur. 2021, 33, 111. [Google Scholar] [CrossRef]
- European Commission. Amending Directive 2008/98/EC on Waste; COM/2015/0595 Final; European Commission: Brussels, Belgium, 2015; pp. 1–5. [Google Scholar]
- Mayer, A.; Haas, W.; Wiedenhofer, D.; Krausmann, F.; Nuss, P.; Blengini, G.A. Measuring progress towards a Circular Economy—A monitoring framework for economy-wide material loop closing in the EU28. J. Ind. Ecol. 2019, 23, 62–76. [Google Scholar] [CrossRef] [PubMed]
- Nguyen, T.P.L. Circular economy towards sustainability in Vietnam (Kinh tế tuần hoàn hướng tới phát triển bền vững ở Việt Nam). Communist Rev. 2022. Available online: https://tapchicongsan.org.vn/web/guest/kinh-te/-/2018/825071/kinh-te-tuan-hoan-huong-toi-phat-trien-ben-vung-o-viet-nam.aspx (accessed on 22 October 2023).
- Pham, T.H. Circular economy has gradually replaced linear economy (Kinh tế tuần hoàn từng bước thay thế kinh tế tuyến tính). Vietnam Econ. J. 2023, 31, 16–17. Available online: https://vneconomy.vn/kinh-te-tuan-hoan-tung-buoc-thay-the-kinh-te-tuyen-tinh.htm (accessed on 30 April 2024).
- Bui, Q.-T.; Pham, H.-N. Some solutions to promote the development of a circular economy in Vietnam (Một số giải pháp thúc đẩy phát triển nền kinh tế tuần hoàn tại Việt Nam). Financ. J. 2020, 3, 1–9. Available online: https://iced.org.vn/mot-so-giai-phap-thuc-day-phat-trien-nen-kinh-te-tuan-hoan-tai-viet-nam/ (accessed on 22 October 2023).
- UNDP. Promoting Effective Solutions to Address the Problem of Plastic Pollution in the Agricultural Sector in a Systematic and Comprehensive Way; UNDP: New York, NY, USA, 2023; pp. 1–8. Available online: https://www.undp.org/vi/vietnam/press-releases/thuc-day-cac-giai-phap-hieu-qua-giai-quyet-van-de-o-nhiem-nhua-nganh-nong-nghiep-mot-cach-he-thong-va-toan-dien (accessed on 22 October 2023).
- UNDP. Experience Sharing from Pilot Projects Implemented with Female Informal Workers in Vietnam; UNDP: New York, NY, USA, 2022; pp. 1–9. Available online: https://www.undp.org/vi/vietnam/press-releases/chia-sẻ-kinh-nghiệm-từ-các-dự-án-thí-điểm-triển-khai-cùng-với-các-nữ-lao-động-phi-chính-thức-tại-việt-nam (accessed on 22 October 2023).
- Nam, H. Promoting Circular Economy: Developing a National Action Plan (Thúc đẩy kinh tế tuần hoàn: Xây dựng kế hoạch hành động quốc gia); National Institue for Finance: Hanoi, Vietnam, 2022; pp. 22–24. Available online: https://mof.gov.vn/webcenter/portal/vclvcstc/pages_r/l/chi-tiet-tin?dDocName=MOFUCM237965 (accessed on 12 March 2024).
- Linh, K. Proposal of a sandbox for developing circular economy (Đề xuất Cơ chế thử nghiệm phát triển kinh tế tuần hoàn). Government News. 8 September 2023, pp. 11–14. Available online: https://baochinhphu.vn/de-xuat-co-che-thu-nghiem-phat-trien-kinh-te-tuan-hoan-102230908164020756.htm (accessed on 22 October 2023).
- The National Assembly. Laws on Environmental Protection; The National Assembly: Paris, France, 2020; pp. 1–56. Available online: https://thuvienphapluat.vn/van-ban/Tai-nguyen-Moi-truong/Luat-so-72-2020-QH14-Bao-ve-moi-truong-2020-431147.aspx (accessed on 22 October 2023).
- Opoku, A. The Role of Culture in a Sustainable Built Environment. In Sustainable Operations Management: Advances in Strategy and Methodology; Chiarini, A., Ed.; Springer International Publishing: Cham, Switzerland, 2015; pp. 37–52. ISBN 978-3-319-14002-5. [Google Scholar] [CrossRef]
- Suhartanto, D.; Dean, D.; Amalia, F.A.; Triyuni, N.N. Attitude formation towards green products evidence in Indonesia: Integrating environment, culture, and religion. Asia Pac. Bus. Rev. 2024, 30, 94–114. [Google Scholar] [CrossRef]
- Macklin, J.; Kaufman, S. How Do We Change What We Cannot Describe? A Comprehensive Framework of User Behaviours in a Materials’ Circular Economy. Circ. Econ. Sustain. 2024, 4, 387–412. [Google Scholar] [CrossRef]
- Ejibe, I.; Nwankwo, T.C.; Nwankwo, E.E.; Okoye, C.C.; Scholastica, U.C. Advancing environmental sustainability in the creative sectors: A strategic HR framework based on data analytics and eco-innovation. World J. Adv. Res. Rev. 2024, 21, 050–060. [Google Scholar] [CrossRef]
- Liu, L.; Tobias, G.R. The impact of environmental literacy on residents’ green consumption: Experimental evidence from China. Clean. Responsible Consum. 2024, 12, 100165. [Google Scholar] [CrossRef]
- Law, J.W.; Lye, C.T.; Ng, T.H. Can environmental literacy and integrated behavioral factors encourage green practices at home? Evidence from Malaysia. Clean. Responsible Consum. 2023, 10, 100134. [Google Scholar] [CrossRef]
- Beny, B.; Wendy, W.; Saleh, M.; Giriati, G. The effect of financial literacy and green innovation technology on green economic sustainability in emerging countries. Int. J. Data Netw. Sci. 2023, 7, 1829–1838. [Google Scholar] [CrossRef]
- De Guimarães, J.C.F.; Severo, E.A.; Klein, L.L.; Dorion, E.C.H.; Lazzari, F. Antecedents of sustainable consumption of remanufactured products: A circular economy experiment in the Brazilian context. J. Clean. Prod. 2023, 385, 135571. [Google Scholar] [CrossRef]
- Shevchenko, T.; Saidani, M.; Ranjbari, M.; Kronenberg, J.; Danko, Y.; Laitala, K. Consumer behavior in the circular economy: Developing a product-centric framework. J. Clean. Prod. 2023, 384, 135568. [Google Scholar] [CrossRef]
- Sun, S.; Wu, Q.; Tian, X. How does sharing economy advance cleaner production? Evidence from the product life cycle design perspective. Environ. Impact Assess. Rev. 2023, 99, 107016. [Google Scholar] [CrossRef]
- Durrani, S.; Sohail, M.; Rana, M.W. The Influence of Shopping Motivation on Sustainable Consumption: A Study Related to Eco-Friendly Apparel. J. Soc. Sci. Rev. 2023, 3, 248–268. [Google Scholar] [CrossRef]
- Ur Rahman, S.; Chwialkowska, A.; Hussain, N.; Bhatti, W.A.; Luomala, H. Cross-cultural perspective on sustainable consumption: Implications for consumer motivations and promotion. Environ. Dev. Sustain. 2023, 25, 997–1016. [Google Scholar] [CrossRef]
- Mayer, A.; Carter, E. Social norms, pro-environmental identity, and finances: What motivates households to participate in energy efficiency programs? Energy Effic. 2024, 17, 30. [Google Scholar] [CrossRef]
- Sierra-Barón, W.; Olivos-Jara, P.; Gómez-Acosta, A.; Navarro, O. Environmental Identity, Connectedness with Nature, and Well-Being as Predictors of Pro-Environmental Behavior, and Their Comparison between Inhabitants of Rural and Urban Areas. Sustainability 2023, 15, 4525. [Google Scholar] [CrossRef]
- Colombo, S.L.; Chiarella, S.G.; Raffone, A.; Simione, L. Understanding the Environmental Attitude-Behaviour Gap: The Moderating Role of Dispositional Mindfulness. Sustainability 2023, 15, 7285. [Google Scholar] [CrossRef]
- Gifford, R.D.; Chen, A.K.S. Why aren’t we taking action? Psychological barriers to climate-positive food choices. Clim. Change 2017, 140, 165–178. [Google Scholar] [CrossRef]
- Wyss, A.M.; Knoch, D.; Berger, S. When and how pro-environmental attitudes turn into behavior: The role of costs, benefits, and self-control. J. Environ. Psychol. 2022, 79, 101748. [Google Scholar] [CrossRef]
- Koval, V.; Havrychenko, D.; Filipishyna, L.; Udovychenko, I.; Prystupa, L.; Mikhno, I. Behavioral Economic Model of Environmental Conservation in Human Resource Management. Intellect. Econ. 2023, 17, 435–456. [Google Scholar] [CrossRef]
- Kollmus, A.; Agyeman, J. Mind the Gap: Why Do People Act Environmentally and What Are the Barriers to Pro-Environmental Behavior? Environ. Educ. Res. 2002, 8, 239–260. [Google Scholar] [CrossRef]
- Smol, M.; Avdiushchenko, A.; Kulczycka, J.; Nowaczek, A. Public awareness of circular economy in southern Poland: Case of the Malopolska region. J. Clean. Prod. 2018, 197, 1035–1045. [Google Scholar] [CrossRef]
- Kousar, S.; Afzal, M.; Ahmed, F.; Bojnec, Š. Environmental Awareness and Air Quality: The Mediating Role of Environmental Protective Behaviors. Sustainability 2022, 14, 3138. [Google Scholar] [CrossRef]
- Li, F.; Zhang, K.; Yang, P.; Jiao, J.; Yin, Y.; Zhang, Y.; Yin, C. Information exposure incentivizes consumers to pay a premium for emerging pro-environmental food: Evidence from China. J. Clean. Prod. 2022, 363, 132412. [Google Scholar] [CrossRef]
- Han, Z.; Zeng, D.; Li, Q.; Cheng, C.; Shi, G.; Mou, Z. Public willingness to pay and participate in domestic waste management in rural areas of China. Resour. Conserv. Recycl. 2019, 140, 166–174. [Google Scholar] [CrossRef]
- Mukherji, S.B.; Sekiyama, M.; Mino, T.; Chaturvedi, B. Resident knowledge and willingness to engage in waste management in Delhi, India. Sustainability 2016, 8, 1065. [Google Scholar] [CrossRef]
- Savari, M.; Damaneh, H.E.; Damaneh, H.E.; Cotton, M. Integrating the norm activation model and theory of planned behaviour to investigate farmer pro-environmental behavioural intention. Sci. Rep. 2023, 13, 5584. [Google Scholar] [CrossRef] [PubMed]
- Khan, Y.; Hameed, I.; Akram, U. What drives attitude, purchase intention and consumer buying behavior toward organic food? A self-determination theory and theory of planned behavior perspective. Br. Food J. 2023, 125, 2572–2587. [Google Scholar] [CrossRef]
- Arkorful, V.E.; Shuliang, Z.; Lugu, B.K. Investigating household waste separation behavior: The salience of an integrated norm activation model and the theory of planned behavior. J. Environ. Plan. Manag. 2023, 66, 2195–2221. [Google Scholar] [CrossRef]
- Kowalska-Pyzalska, A. Do consumers want to pay for green electricity? A case study from Poland. Sustainability 2019, 11, 1310. [Google Scholar] [CrossRef]
- Wang, X.; Li, W.; Song, J.; Duan, H.; Fang, K.; Diao, W. Urban consumers’ willingness to pay for higher-level energy-saving appliances: Focusing on a less developed region. Resour. Conserv. Recycl. 2020, 157, 104760. [Google Scholar] [CrossRef]
- Zhang, Y.; Xiao, C.; Zhou, G. Willingness to pay a price premium for energy-saving appliances: Role of perceived value and energy efficiency labeling. J. Clean. Prod. 2020, 242, 118555. [Google Scholar] [CrossRef]
- Almulhim, A.I.; Abubakar, I.R. Understanding public environmental awareness and attitudes toward circular economy transition in saudi arabia. Sustainability 2021, 13, 10157. [Google Scholar] [CrossRef]
- Pascual, U.; Muradian, R.; Brander, L.; Gómez-Baggethun, E.; Martín-López, B.; Verma, M.; Armsworth, P.; Christie, M.; Cornelissen, H.; Eppink, F.; et al. The economics of valuing ecosystem services and biodiversity. In The Economics of Ecosystems and Biodiversity: The Ecological and Economic Foundations; Routledge: London, UK, 2012; pp. 183–256. [Google Scholar] [CrossRef]
- Schaub, S.; Ghazoul, J.; Huber, R.; Zhang, W.; Sander, A.; Rees, C.; Banerjee, S.; Finger, R. The role of behavioural factors and opportunity costs in farmers’ participation in voluntary agri-environmental schemes: A systematic review. J. Agric. Econ. 2023, 74, 617–660. [Google Scholar] [CrossRef]
- Dold, M.; Lewis, P. A neglected topos in behavioural normative economics: The opportunity and process aspect of freedom. Behav. Public Policy 2023, 7, 943–953. [Google Scholar] [CrossRef]
- Wan Ab Rashid, W.N.A.; Mohamad, J.; Kesumo Wardhani, N. Government Valuers’ Perception on the Current Practice of Ecosystem Service Valuation in Malaysia. Environ. Proc. J. 2024, 9, 59–66. [Google Scholar] [CrossRef]
- Martino, S.; Kenter, J.O. Economic valuation of wildlife conservation. Eur. J. Wildl. Res. 2023, 69, 32. [Google Scholar] [CrossRef] [PubMed]
- Khuc, V.Q. Culture Tower. SSRN 2023. VIETKAP-SCDM WPS No. 2023/6. Available online: https://doi.org/10.2139/ssrn.4559667 (accessed on 13 May 2024).
- Khuc, Q.V.; Pham, L.; Tran, M.; Nguyen, T.; Tran, B.; Hoang, T.; Ngo, T.; Tran, T.-D. Understanding of Vietnam farmers’ perception toward forest importance and perceived willingness-to-participate in REDD + program: A case study in Nghe An province. Forests 2021, 12, 521. [Google Scholar] [CrossRef]
- Tuyet, A. Experts Forecast That Vietnam’s Inflation Rate in 2023 Will Revolve around 3.5% (Chuyên gia dự báo lạm phát Việt Nam năm 2023 xoay quanh 3,5%). VnEconomy. 2023. Available online: https://vneconomy.vn/chuyen-gia-du-bao-lam-phat-viet-nam-nam-2023-xoay-quanh-3-5.htm (accessed on 13 May 2024).
- Thanh, P. How Has Vietnam’s Inflation Rate Changed over the Years? (Tỷ lệ lạm phát của Việt nam qua các năm đã thay đổi ra sao?). DNSE. 2024. Available online: https://www.dnse.com.vn/hoc/ty-le-lam-phat-cua-viet-nam-qua-cac-nam (accessed on 13 May 2024).
- Nguyen, M.H.; La, V.P.; Le, T.T.; Vuong, Q.H. Introduction to Bayesian Mindsponge Framework analytics: An innovative method for social and psychological research. MethodsX 2022, 9, 101808. [Google Scholar] [CrossRef]
- Müller, N.F.; Stolz, U.; Dudas, G.; Stadler, T.; Vaughan, T.G. Bayesian inference of reassortment networks reveals fitness benefits of reassortment in human influenza viruses. Proc. Natl. Acad. Sci. USA 2020, 117, 17104–17111. [Google Scholar] [CrossRef] [PubMed]
- Vuong, Q.H.; La, V.P.; Nguyen, M.H.; Ho, M.T.; Tran, T.; Ho, M.T. Bayesian analysis for social data: A step-by-step protocol and interpretation. MethodsX 2020, 7, 100924. [Google Scholar] [CrossRef] [PubMed]
- Vuong, Q.; La, V.; Nguyen, M.; Ho, M. Improving Bayesian statistics understanding in the age of Big Data with the bayesvl R package. Softw. Impacts 2020, 4, 100016. [Google Scholar] [CrossRef]
- Vuong, Q.-H. Mindsponge Theory; Sciendo: Warsaw, Poland, 2023; ISBN 978-83-67405-15-7. [Google Scholar]
- Nguyen, M.H.; Vuong, Q.H.; Ho, M.T.; Le, T.T. Mindsponge mechanism. SSRN Electron. J. 2021. [Google Scholar] [CrossRef]
- Khuc, Q.; Tran, M.; Nguyen, T.; Thinh, N.A.; Dang, T.; Tuyen, D.T.; Pham, P.; Dat, L.Q. Improving Energy Literacy to Facilitate Energy Transition and Nurture Environmental Culture in Vietnam. Urban Sci. 2023, 7, 13. [Google Scholar] [CrossRef]
- Khuc, V.-Q.; Nguyen, M.; Le, T.-T.; Nguyen, T.-L.; Nguyen, T.; Hoang, K.-L.; Quan-Hoang, V. Brain Drain out of the Blue: Pollution-Induced Migration in Vietnam. Int. J. Environ. Res. Public Health 2022, 19, 3645. [Google Scholar] [CrossRef] [PubMed]
- Nguyen, M.H. Multifaceted interactions between urban humans and biodiversity-related concepts: A developing-country data set. Data Intell. 2021, 3, 578–605. [Google Scholar] [CrossRef]
- Rognli, E.W.; Zahl-Olsen, R.; Rekdal, S.S.; Hoffart, A.; Bertelsen, T.B. Editorial perspective: Bayesian statistical methods are useful for researchers in child and adolescent mental health. J. Child Psychol. Psychiatry Allied Discip. 2022, 64, 339–342. [Google Scholar] [CrossRef] [PubMed]
- Piironen, J.; Vehtari, A. Comparison of Bayesian predictive methods for model selection. Stat. Comput. 2017, 27, 711–735. [Google Scholar] [CrossRef]
- Dunson, D.B. Commentary: Practical advantages of Bayesian analysis of epidemiologic data. Am. J. Epidemiol. 2001, 153, 1222–1226. [Google Scholar] [CrossRef] [PubMed]
- McElreath, R. Statistical Rethinking: A Bayesian Course with Examples in R and Stan, 2nd ed.; CRC Press: Boca Raton, FL, USA, 2020. [Google Scholar] [CrossRef]
- Vuong, Q.H.; Nguyen, M.H.; Ho, M.T. Bayesvl: An R package for user-friendly Bayesian regression modelling. VMOST J. Soc. Sci. Humanit. 2022, 64, 85–96. [Google Scholar] [CrossRef]
- Vuong, Q.H.; La, V.P.; Vuong, T.T.; Nguyen, H.K.T.; Ho, M.T.; Ho, M.T. What have Vietnamese scholars learned from researching entrepreneurship? A Systematic review. Heliyon 2020, 6, e03808. [Google Scholar] [CrossRef] [PubMed]
- Khuc, V.Q. Mindspongeconomics. SSRN Electron. J. 2022, 1–11. [Google Scholar] [CrossRef]
- Poortinga, W.; Demski, C.; Steentjes, K. Generational differences in climate-related beliefs, risk perceptions and emotions in the UK. Commun. Earth Environ. 2023, 4, 229. [Google Scholar] [CrossRef]
- Concordia University. Youth Adapt Faster than Seniors to Unexpected Events, Study Finds. ScienceDaily. 18 January 2011. Available online: www.sciencedaily.com/releases/2011/01/110118113453.htm (accessed on 12 March 2024).
- Shairp, R.; Veríssimo, D.; Fraser, I.; Challender, D.; Macmillan, D. Understanding urban demand for wild meat in Vietnam: Implications for conservation actions. PLoS ONE 2016, 11, e0134787. [Google Scholar] [CrossRef] [PubMed]
- Nguyen, M.H.; Le, T.T.; Nguyen, H.K.T.; Ho, M.T.; Thanh Nguyen, H.T.; Vuong, Q.H. Alice in suicideland: Exploring the suicidal ideation mechanism through the sense of connectedness and help-seeking behaviors. Int. J. Environ. Res. Public Health 2021, 18, 3681. [Google Scholar] [CrossRef] [PubMed]
- Khuc, V.Q. Primary data survey: A step-by-step procedure for researchers in social sciences and humanities. OSF Prepr. 2021, 1–51. [Google Scholar] [CrossRef]
- Joshi, A.; Kale, S.; Chandel, S.; Pa, D.K. Likert Scale: Explored and Explained. Br. J. Appl. Sci. Technol. 2015, 7, 396–403. [Google Scholar] [CrossRef]
- Prime Minister. Decision 687/QD-TTg 2022 the Scheme for Circular Economy Development in Vietnam. 2022. Available online: https://english.luatvietnam.vn/decision-no-687-qd-ttg-dated-june-07-2022-of-the-prime-minister-approving-the-scheme-on-development-of-circular-economy-in-vietnam-222265-doc1.html (accessed on 5 February 2024).
- Vietnamnews. Green Skills Education for Youth Key to Green Transition in Vietnam. Vietnamnews. 12 August 2023, pp. 1–6. Available online: https://vietnamnews.vn/society/1582347/green-skills-education-for-youth-key-to-green-transition-in-viet-nam.html (accessed on 2 February 2024).
- Phan, T.-A.; Tran, N.-H.-D. Circular Economy in Vietnam. Rev. Financ. (Tap Chi Tai Chinh) 2023, 8–9. Available online: https://tapchitaichinh.vn/van-de-phat-trien-kinh-te-tuan-hoan-tai-viet-nam.html (accessed on 19 November 2023).
- VNA. Vietnamese Youth Take Climate Action Towards a ‘Green’ Future. VietnamPlus. 2 November 2022, pp. 2–5. Available online: https://en.vietnamplus.vn/vietnamese-youth-take-climate-action-towards-a-green-future/244299.vnp (accessed on 9 February 2024).
- Cogut, G.; Webster, N.J.; Marans, R.W.; Callewaert, J. Links between sustainability-related awareness and behavior: The moderating role of engagement. Int. J. Sustain. High. Educ. 2019, 20, 1240–1257. [Google Scholar] [CrossRef]
- Linda, T.; Bhishna, B. Sustainable campus: Engaging the community in sustainability. Int. J. Sustain. High. Educ. 2014, 15, 390–403. [Google Scholar] [CrossRef]
- Zaidi, N.; Dixit, S.; Maurya, M.; Dharwal, M. Willingness to pay for green products and factors affecting Buyer’s Behaviour: An empirical study. Mater. Today Proc. 2020, 49, 3595–3599. [Google Scholar] [CrossRef]
- Nguyen, T.C.; Nguyen, H.D.; Le, H.T.; Kaneko, S. Residents’ preferred measures and willingness-to-pay for improving urban air quality: A case study of Hanoi city, Vietnam. J. Econ. Dev. 2022, 24, 262–275. [Google Scholar] [CrossRef]
- Gomes, S.; Lopes, J.M.; Nogueira, S. Willingness to pay more for green products: A critical challenge for Gen Z. J. Clean. Prod. 2023, 390, 136092. [Google Scholar] [CrossRef]
- Vuong, Q.H. A New Theory of Serendipity: Nature, Emergence and Mechanism; Sciendo Migration: Warsaw, Poland, 2022. [Google Scholar] [CrossRef]
- McGinty, D. 5 Reasons to Shift from a ‘Throw-It-Away’ Consumption Model to a ‘Circular Economy’. World Economic Forum. 2021. Available online: https://www.weforum.org/agenda/2021/02/change-five-key-areas-circular-economy-sustainability/ (accessed on 17 November 2023).
- Dwortzan, M. Global Net-Zero Emissions Goals: Challenges and Opportunities. MIT Climate Portal. 2022. Available online: https://climate.mit.edu/posts/global-net-zero-emissions-goals-challenges-and-opportunities (accessed on 17 November 2023).
- Kasioumi, M.; Stengos, T. A Circular Model of Economic Growth and Waste Recycling. Circ. Econ. Sustain. 2023, 3, 321–346. [Google Scholar] [CrossRef]
- Vuong, Q.H. The semiconducting principle of monetary and environmental values exchange. Econ. Bus. Lett. 2021, 10, 284–290. [Google Scholar] [CrossRef]













| Variables | Meaning | Level | Code |
|---|---|---|---|
| WTP5 | Willingness to pay 5% more for green and energy-saving products compared to traditional products | data | 1, 0 |
| WTP10 | Willingness to pay 10% more for green and energy-saving products compared to traditional products | data | 1, 0 |
| WTP15 | Willingness to pay 15% more for green and energy-saving products compared to traditional products | data | 1, 0 |
| WasteClass_Bi | Daily waste classification status | data | 1, 0 |
| Energysave | Care about saving energy | data | 1, 2, 3, 4, 5 |
| Enviprotect | Care about protecting the environment | data | 1, 2, 3, 4, 5 |
| CEaware_Bi | Awareness of the circular economy | data | 1, 0 |
| CEknowledge | Knowledge about the circular economy | data | 1, 2, 3, 4, 5 |
| Variables | N | Mean | SD | Min | Max |
|---|---|---|---|---|---|
| WTP5 | 480 | 0.867 | 0.340 | 0 | 1 |
| WTP10 | 480 | 0.456 | 0.499 | 0 | 1 |
| WTP15 | 480 | 0.198 | 0.399 | 0 | 1 |
| WasteClass_Bi | 480 | 0.235 | 0.425 | 0 | 1 |
| Energysave | 484 | 4.002 | 0.784 | 1 | 5 |
| Enviprotect | 484 | 4.324 | 0.722 | 1 | 5 |
| CEaware_Bi | 484 | 0.579 | 0.494 | 0 | 1 |
| CEknowledge | 476 | 2.235 | 0.994 | 1 | 5 |
| Parameters | Mean | SD | n_eff | Rhat |
|---|---|---|---|---|
| a_Wasteclass_Bi | −6.56 | 1.07 | 6686 | 1 |
| b_Energysave_Wasteclass_Bi | 0.45 | 0.21 | 7665 | 1 |
| b_Enviprotect_Wasteclass_Bi | 0.65 | 0.25 | 6301 | 1 |
| b_CEaware_Bi_Wasteclass_Bi | −0.54 | 0.33 | 7347 | 1 |
| b_CEknowledge_Wasteclass_Bi | 0.37 | 0.16 | 6992 | 1 |
| Parameters | Mean | SD | n_eff | Rhat |
|---|---|---|---|---|
| a_WTP5 | 0.06 | 0.97 | 7329 | 1 |
| b_Energysave_WTP5 | 0.25 | 0.24 | 7400 | 1 |
| b_Enviprotect_WTP5 | 0.19 | 0.25 | 6653 | 1 |
| b_CEaware_Bi_WTP5 | 0.85 | 0.41 | 7233 | 1 |
| b_CEknowledge_WTP5 | −0.18 | 0.21 | 7216 | 1 |
| b_Wasteclass_Bi_WTP5 | 0.62 | 0.46 | 9110 | 1 |
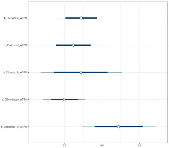
| Parameters | Mean | SD | n_eff | Rhat |
|---|---|---|---|---|
| a_WTP10 | −1.83 | 0.72 | 7637 | 1 |
| b_Energysave_WTP10 | 0.22 | 0.17 | 8533 | 1 |
| b_Enviprotect_WTP10 | 0.12 | 0.18 | 7062 | 1 |
| b_CEaware_Bi_WTP10 | 0.22 | 0.28 | 7902 | 1 |
| b_CEknowledge_WTP10 | −0.01 | 0.14 | 7796 | 1 |
| b_Wasteclass_Bi_WTP10 | 0.72 | 0.25 | 8618 | 1 |
| Parameters | Mean | SD | n_eff | Rhat |
|---|---|---|---|---|
| a_WTP15 | −4.46 | 1.02 | 8104 | 1 |
| b_Energysave_WTP15 | 0.20 | 0.21 | 9466 | 1 |
| b_Enviprotect_WTP15 | 0.48 | 0.25 | 7391 | 1 |
| b_CEaware_Bi_WTP15 | 0.40 | 0.33 | 7936 | 1 |
| b_CEknowledge_WTP15 | 0.10 | 0.16 | 7724 | 1 |
| b_Wasteclass_Bi_WTP15 | 0.22 | 0.29 | 8929 | 1 |
Disclaimer/Publisher’s Note: The statements, opinions and data contained in all publications are solely those of the individual author(s) and contributor(s) and not of MDPI and/or the editor(s). MDPI and/or the editor(s) disclaim responsibility for any injury to people or property resulting from any ideas, methods, instructions or products referred to in the content. |
© 2024 by the authors. Licensee MDPI, Basel, Switzerland. This article is an open access article distributed under the terms and conditions of the Creative Commons Attribution (CC BY) license (https://creativecommons.org/licenses/by/4.0/).
Share and Cite
Tran, P.M.; Nguyen, T.; Nguyen, H.-D.; Thinh, N.A.; Lam, N.D.; Huyen, N.T.; Khuc, V.Q. Improving Green Literacy and Environmental Culture Associated with Youth Participation in the Circular Economy: A Case Study of Vietnam. Urban Sci. 2024, 8, 63. https://doi.org/10.3390/urbansci8020063
Tran PM, Nguyen T, Nguyen H-D, Thinh NA, Lam ND, Huyen NT, Khuc VQ. Improving Green Literacy and Environmental Culture Associated with Youth Participation in the Circular Economy: A Case Study of Vietnam. Urban Science. 2024; 8(2):63. https://doi.org/10.3390/urbansci8020063
Chicago/Turabian StyleTran, Phuong Mai, Thuy Nguyen, Huu-Dung Nguyen, Nguyen An Thinh, Nguyen Duc Lam, Nguyen Thi Huyen, and Van Quy Khuc. 2024. "Improving Green Literacy and Environmental Culture Associated with Youth Participation in the Circular Economy: A Case Study of Vietnam" Urban Science 8, no. 2: 63. https://doi.org/10.3390/urbansci8020063
APA StyleTran, P. M., Nguyen, T., Nguyen, H.-D., Thinh, N. A., Lam, N. D., Huyen, N. T., & Khuc, V. Q. (2024). Improving Green Literacy and Environmental Culture Associated with Youth Participation in the Circular Economy: A Case Study of Vietnam. Urban Science, 8(2), 63. https://doi.org/10.3390/urbansci8020063

