Theoretical Treatment of Limitations Inherent in Simple 3D Stimuli: Triangles and the P3P Problem
Abstract
1. Introduction
2. Analysis
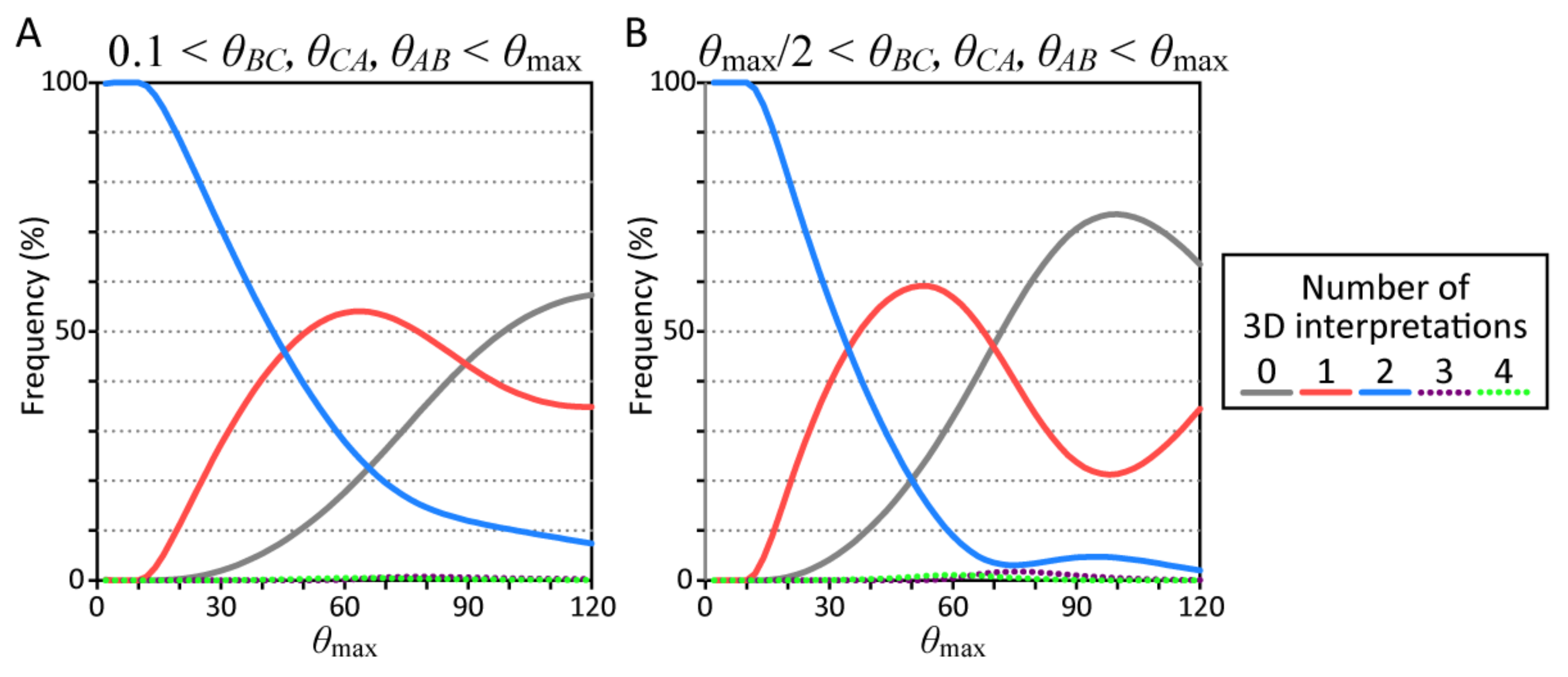
2.1. Monte-Carlo Simulation
2.2. Analyzing the Retinal Images of Triangles That Have Served as Visual Stimuli
3. General Discussion
Author Contributions
Funding
Data Availability Statement
Conflicts of Interest
Appendix A
| Algorithms | ε | % Failed Trial | Processing Time |
|---|---|---|---|
| Minkov & Sawada | 45° | 0% | 2.7 s |
| 85° | 0% | 2.6 s | |
| Gao, Hou, Tang, & Chang [22] | 45° | 0.034% | 20 s |
| 85° | 0.025% | 18 s | |
| Ke & Roumeliotis [25] | 45° | 21% | 25 s |
| 85° | 25% | 26 s | |
| Banno [27] | 45° | 29% | 8.7 s |
| 85° | 22% | 7.8 s |
References
- Watt, R.J. Towards a general theory of the visual acuities for shape and spatial arrangement. Vis. Res. 1984, 24, 1377–1386. [Google Scholar] [CrossRef]
- Campbell, F.W.; Robson, J.G. Application of Fourier analysis to the visibility of gratings. J. Physiol. 1968, 197, 551–566. [Google Scholar] [CrossRef]
- Pizlo, Z. 3D Shape: Its Unique Place in Visual Perception; MIT Press: Cambridge, MA, USA, 2008. [Google Scholar]
- Pizlo, Z.; Li, Y.; Sawada, T.; Steinman, R.M. Making a Machine That Sees Like Us; Oxford University Press: New York, NY, USA, 2014. [Google Scholar]
- Pizlo, Z.; Sawada, T.; Li, Y.; Kropatsch, W.; Steinman, R.M. New approach to the perception of 3D shape based on veridicality. Complexity, Symmetry and Volume. Vis. Res. 2010, 50, 1–11. [Google Scholar] [CrossRef]
- Sawada, T.; Li, Y.; Pizlo, Z. Shape perception. In Oxford Handbook of Computational and Mathematical Psychology; Busemeyer, J., Townsend, J., Wang, Z.J., Eidels, A., Eds.; Oxford University Press: New York, NY, USA, 2015; pp. 255–276. [Google Scholar]
- Poggio, T.; Torre, V.; Koch, C. Computational vision and regularization theory. Nature 1985, 317, 314–319. [Google Scholar] [CrossRef]
- Howard, I.P. Perceiving in Depth. In Other Mechanisms of Depth Perception; Oxford University Press: Oxford, UK, 2012. [Google Scholar]
- Mishkin, M.; Ungerleider, L.G.; Macko, K.A. Object vision and spatial vision: Two cortical pathways. Trends Neurosci. 1983, 6, 414–417. [Google Scholar] [CrossRef]
- Kravitz, D.J.; Saleem, K.S.; Baker, C.I.; Mishkin, M. A new neural framework for visuospatial processing. Nat. Rev. Neurosci. 2011, 12, 217–230. [Google Scholar] [CrossRef] [PubMed]
- Scharff, A.; Palmer, J.; Moore, C.M. Divided attention limits perception of 3-D object shapes. J. Vis. 2013, 13, 18. [Google Scholar] [CrossRef]
- Pentland, A.P. Perceptual organization and the representation of natural form. Artif. Intell. 1986, 28, 293–331. [Google Scholar] [CrossRef]
- Marr, D. Vision; W.H. Freeman: New York, NY, USA, 1982. [Google Scholar]
- Biederman, I. Recognition-by-components: A theory of human image understanding. Psychol. Rev. 1987, 94, 115–147. [Google Scholar] [CrossRef]
- Leeuwenberg, E.; van der Helm, P.A. Structural Information Theory: The Simplicity of Visual Form; Cambridge University Press: New York, NY, USA, 2013. [Google Scholar]
- Bogen, J. Theory and Observation in Science. In The Stanford Encyclopedia of Philosophy, Winter 2020 ed.; Zalta, E.N., Ed.; Stanford University: Stanford, CA, USA, 2020; Available online: https://plato.stanford.edu/archives/win2020/entries/science-theory-observation/ (accessed on 28 December 2020).
- Brewer, W.F.; Lambert, B.L. The theory-ladenness of observation and the theory-ladenness of the rest of the scientific process. Philos. Sci. 2000, 68, S176–S186. [Google Scholar] [CrossRef]
- Runeson, S. On the possibility of “smart” perceptual mechanisms. Scand. J. Psychol. 1977, 18, 172–179. [Google Scholar] [CrossRef]
- Lu, X.X. A review of solutions for perspective-n-point problem in camera pose estimation. J. Phys. Conf. Ser. 2018, 1087, 052009. [Google Scholar] [CrossRef]
- Haralick, B.M.; Lee, C.N.; Ottenberg, K.; Nölle, M. Review and analysis of solutions of the three point perspective pose estimation problem. Int. J. Comput. Vis. 1994, 13, 331–356. [Google Scholar] [CrossRef]
- Fischler, M.A.; Bolles, R.C. Random sample consensus: A paradigm for model fitting with applications to image analysis and automated cartography. Commun. ACM 1981, 24, 381–395. [Google Scholar] [CrossRef]
- Gao, X.; Hou, X.; Tang, J.; Cheng, H. Complete solution classification for the perspective-three-point problem. IEEE Trans. Pattern Anal. Mach. Intell. 2003, 25, 930–943. [Google Scholar]
- Li, S.; Xu, C. A stable direct solution of perspective-three-point problem. Int. J. Pattern Recognit. Artif. Intell. 2011, 25, 627–642. [Google Scholar] [CrossRef]
- Grafarend, E.W.; Shan, J. Closed-form solution of P4P or the three-dimensional resection problem in terms of Möbius barycentric coordinates. J. Geod. 1997, 71, 217–231. [Google Scholar] [CrossRef]
- Ke, T.; Roumeliotis, S.I. An efficient algebraic solution to the perspective-three-point problem. In Proceedings of the IEEE Conference on Computer Vision and Pattern Recognition (CVPR), Honolulu, HI, USA, 21–26 July 2017; pp. 4618–4626. [Google Scholar] [CrossRef]
- Nakano, G. A Simple Direct Solution to the Perspective-Three-Point Problem, Proceedings of the 30th British Machine Vision Conference (BMVC 2019), Cardiff, UK, 9–12 September 2019; BMVA Press: Durham, UK, 2019; Volume 26, pp. 1–12. [Google Scholar]
- Banno, A. A P3P problem solver representing all parameters as a linear combination. Image Vis. Comput. 2018, 70, 55–62. [Google Scholar] [CrossRef]
- Persson, M.; Nordberg, K. Lambda twist: An accurate fast robust perspective three point (P3P) solver. In Proceedings of the European Conference on Computer Vision (ECCV), Munich, Germany, 8–14 September 2018; pp. 318–332. [Google Scholar]
- DeMenthon, D.; Davis, L.S. Exact and approximate solutions of the perspective-three-point problem. IEEE Trans. Pattern Anal. Mach. Intell. 1992, 14, 1100–1105. [Google Scholar] [CrossRef]
- Beck, J.; Gibson, J.J. The relation of apparent shape to apparent slant in the perception of objects. J. Exp. Psychol. 1955, 50, 125–133. [Google Scholar] [CrossRef]
- Watanabe, T. The estimation of the curvature of visual space with a visual triangle. Jpn. J. Psychol. 1996, 67, 278–284. [Google Scholar] [CrossRef] [PubMed][Green Version]
- Indow, T. The Global Structure of Visual Space; World Scientific: River Edge, NJ, USA, 2004; Volume 1. [Google Scholar]
- Gottheil, E.; Bitterman, M.E. The measurement of shape-constancy. Am. J. Psychol. 1951, 64, 406–408. [Google Scholar] [CrossRef] [PubMed]
- Epstein, W.; Bontrager, H.; Park, J. The induction of nonveridical slant and the perception of shape. J. Exp. Psychol. 1962, 63, 472–479. [Google Scholar] [CrossRef]
- Wallach, H.; Moore, M.E. The role of slant in the perception of shape. Am. J. Psychol. 1962, 75, 289–293. [Google Scholar] [CrossRef]
- Gao, X.S.; Tang, J. On the probability of the number of solutions for the P4P problem. J. Math. Imag. Vis. 2006, 25, 79–86. [Google Scholar] [CrossRef]
- Abidi, M.A.; Chandra, T. A new efficient and direct solution for pose estimation using quadrangular targets: Algorithm and evaluation. IEEE Trans. Pattern Anal. Mach. Intell. 1995, 17, 534–538. [Google Scholar] [CrossRef]
- Pizlo, Z. A theory of shape constancy based on perspective invariants. Vis. Res. 1994, 34, 1637–1658. [Google Scholar] [CrossRef]
- Longuet-Higgins, H.C. The reconstruction of a plane surface from two perspective projections. Proc. R. Soc. Lond. Ser. B. Biol. Sci. 1986, 227, 399–410. [Google Scholar]
- Kruppa, E. Zur Ermittlung eines Objektes aus zwei Perspektiven mit innerer Orientierung [To determine a 3D object from two perspective views with known inner orientation]. Sitz. Der Math. Nat. Kais. Akad. Wiss. 1939, 122, 1939–1948, (Translated by Gallego, G., Mueggler, E., Sturn, P. arXiv 2017, https://arxiv.org/abs/1801.01454).. [Google Scholar]
- Thompson, E.H. A rational algebraic formulation of the problem of relative orientation. Photogramm. Rec. 1959, 3, 152–159. [Google Scholar] [CrossRef]
- Sawada, T. A Computational Model that recovers depth from stereo-input without using any oculomotor information. J. Math. Psychol. under review. [CrossRef]
- Pizlo, Z.; Salach-Golyska, M. Is vision metric? Comment on Lappin and Love (1992). Percept. Psychophys. 1994, 55, 230–234. [Google Scholar] [CrossRef]
- Backus, B.; Banks, M.S.; van Ee, R.; Crowell, J.A. Horizontal and vertical disparity, eye position, and stereoscopic slant perception. Vis. Res. 1999, 39, 1143–1170. [Google Scholar] [CrossRef]
- Kwon, T.; Li, Y.; Sawada, T.; Pizlo, Z. Gestalt-like constraints produce veridical (Euclidean) percepts of 3D indoor scenes. Vis. Res. 2016, 126, 264–277. [Google Scholar] [CrossRef] [PubMed]
- Peek, S.A.; Mayhew, J.E.; Frisby, J.P. Obtaining viewing distance and angle of gaze from vertical disparity using a Hough-type accumulator. Image Vis. Comput. 1984, 2, 180–190. [Google Scholar] [CrossRef]
- Kaneko, H.; Howard, I.P. Spatial limitation of vertical-size disparity processing. Vis. Res. 1997, 37, 2871–2878. [Google Scholar] [CrossRef]
- Bradshaw, M.F.; Glennerster, A.; Rogers, B.J. The effect of display size on disparity scaling from differential perspective and vergence cues. Vis. Res. 1996, 36, 1255–1264. [Google Scholar] [CrossRef]
- Gantz, L.; Bedell, H.E. Variation of stereothreshold with random-dot stereogram density. Optom. Vis. Sci. 2011, 88, 1066–1071. [Google Scholar] [CrossRef] [PubMed]
- Erkelens, C.J. Evidence for obliqueness of angles as a cue to planar surface slant found in extremely simple symmetrical shapes. Symmetry 2015, 7, 241–254. [Google Scholar] [CrossRef]
- Sawada, T. P3P. 2020. Available online: https://github.com/TadamasaSawada/P3P (accessed on 22 January 2020).
- Weisstein, E.W. Quartic Equation. 2020. Available online: http://mathworld.wolfram.com/QuarticEquation.html (accessed on 13 February 2021).
- Khasin, S.I. Решение уравнения 3-й, 4-й и 5-й степеней на C++ [Solution of the 3rd, 4th, and 5th degree polynomial equations in C ++]. 2018. Available online: http://math.ivanovo.ac.ru/dalgebra/Khashin/cutil/poly34.html (accessed on 16 June 2018).
- Bradski, G. The OpenCV Library. Dr. Dobb’s J. Softw. Tools 2000. [Google Scholar]
- Itseez. Open Source Computer Vision Library. 2015. Available online: https://github.com/itseez/opencv (accessed on 7 January 2020).




Publisher’s Note: MDPI stays neutral with regard to jurisdictional claims in published maps and institutional affiliations. |
© 2021 by the authors. Licensee MDPI, Basel, Switzerland. This article is an open access article distributed under the terms and conditions of the Creative Commons Attribution (CC BY) license (http://creativecommons.org/licenses/by/4.0/).
Share and Cite
Minkov, V.; Sawada, T. Theoretical Treatment of Limitations Inherent in Simple 3D Stimuli: Triangles and the P3P Problem. Vision 2021, 5, 10. https://doi.org/10.3390/vision5010010
Minkov V, Sawada T. Theoretical Treatment of Limitations Inherent in Simple 3D Stimuli: Triangles and the P3P Problem. Vision. 2021; 5(1):10. https://doi.org/10.3390/vision5010010
Chicago/Turabian StyleMinkov, Vasiliy, and Tadamasa Sawada. 2021. "Theoretical Treatment of Limitations Inherent in Simple 3D Stimuli: Triangles and the P3P Problem" Vision 5, no. 1: 10. https://doi.org/10.3390/vision5010010
APA StyleMinkov, V., & Sawada, T. (2021). Theoretical Treatment of Limitations Inherent in Simple 3D Stimuli: Triangles and the P3P Problem. Vision, 5(1), 10. https://doi.org/10.3390/vision5010010

