Assessing Thermal Stress in Silver Barb (Barbonymus gonionotus): Oxidative Stress and Biochemical, Hematological, Hormonal, and Operculum Responses Within Survival Temperature Range
Abstract
1. Introduction
2. Materials and Methods
2.1. The Collection and Acclimation of B. gonionotus
2.2. Experimental Design for MDA Study
2.3. Oxidative Stress Analysis
2.4. Experimental Designs for Serum Biochemical Indices, Hematological Profiles, Cortisol Hormone, and Operculum Movement Studies
2.5. Serum Biochemistry Study
2.6. Hematological Indices
2.7. Cortisol Level
2.8. Operculum Movement
2.9. Statistical Analysis
3. Results
3.1. MDA Level from Different Sources
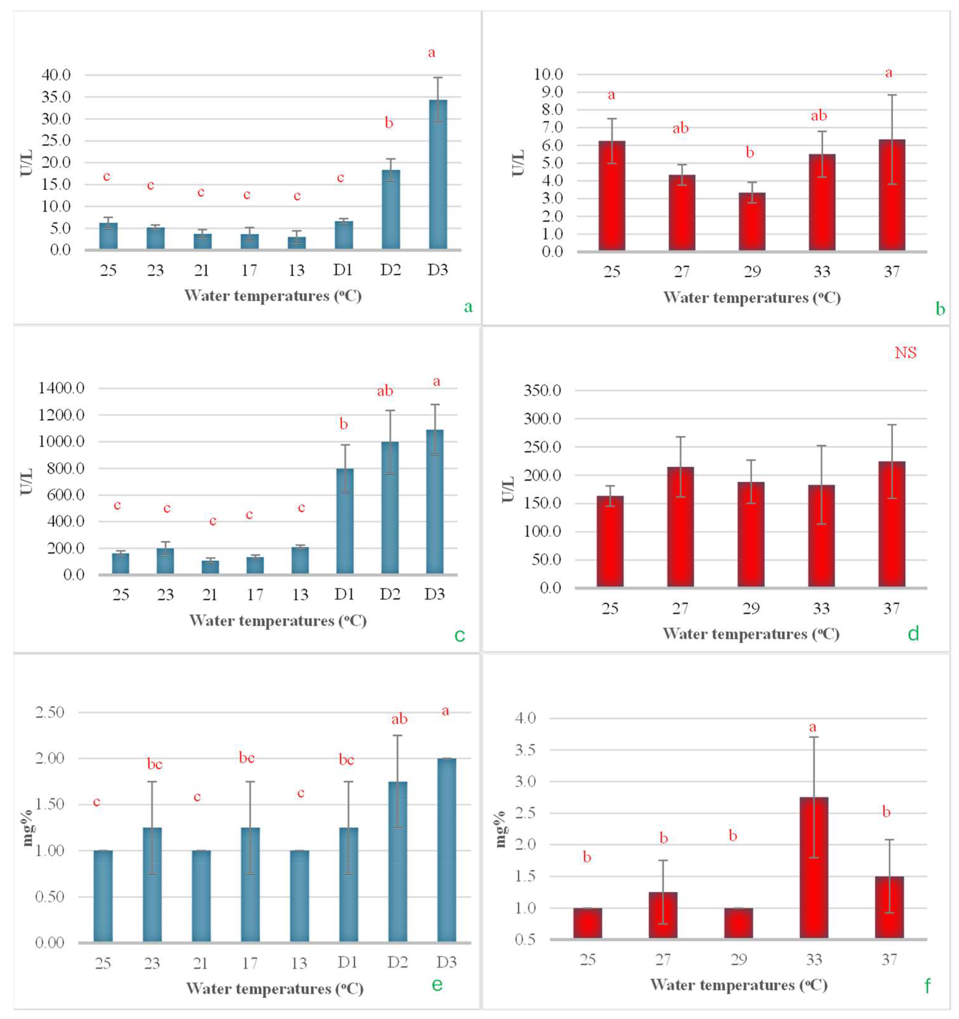
3.2. Serum Biochemical Indices
3.3. Hematological Indices
3.4. Cortisol Level
3.5. Operculum Movement
4. Discussion
5. Conclusions
Author Contributions
Funding
Institutional Review Board Statement
Informed Consent Statement
Data Availability Statement
Acknowledgments
Conflicts of Interest
References
- World Meteorological Organization. State of Climate in 2021. Extreme Events and Major Impacts. 2021. Available online: https://wmo.int/news/media-centre/state-of-climate-2021-extreme-events-and-major-impacts (accessed on 9 June 2024).
- Humans Rights Watch. Canada: Disastrous Impact of Extreme Heat: Failure to Protect Older People, People with Disabilities in British Columbia. 2021. Available online: https://www.hrw.org/news/2021/10/05/canada-disastrous-impact-extreme-heat (accessed on 9 June 2024).
- National Weather Service. Arctic Outbreak. 2021; p. 50. Available online: https://www.weather.gov/shv/ArcticOutbreak2021 (accessed on 9 June 2024).
- Eckstein, D.; Kȕnzel, V.; Schȁfer, L. Global Climate Risk Index 2021. Germanwatch e.V.: Berlin, Germany, 2021; Available online: https://www.germanwatch.org/sites/default/files/Global%20Climate%20Risk%20Index%202021_2.pdf (accessed on 9 June 2024).
- Thai Meteorological Department. Thailand Climate for March-April-May from 30-year Normal (A.D. 1991–2020 or B.E. 2534–2563 Baseline Average); Ministry of Digital Economy and Society: Bangkok, Thailand, 2022. [Google Scholar]
- Mariana, S.; Alfons; Badr, G. Impact of Heat Stress on the Immune Response of Fishes. J. Surv. Fish. Sci. 2019, 5, 149–159. Available online: https://sifisheriessciences.com/index.php/journal/article/view/181/164 (accessed on 9 June 2024). [CrossRef]
- Rossi, A.; Bacchetta, C.; Cazenave, J. Effect of Thermal stress on metabolic and oxidative stress biomarkers of Hoplosternum littorale (Teleostei, Callichthyidae). Ecol. Indic. 2017, 79, 361–370. [Google Scholar] [CrossRef]
- Meng, X.; Liu, P.; Li, J.; Gao, B.; Chen, P. Physiological responses of swimming crab Portunus trituberculatus under cold acclimation: Antioxidant defense and heat shock proteins. Aquaculture 2014, 434, 11–17. [Google Scholar] [CrossRef]
- Mas-Bargues, C.; Escrivá, C.; Dromant, M.; Borrás, C.; Viña, J. Lipid peroxidation as measured by chromatographic determination of malondialdehyde. Human plasma reference values in health and disease. Arch. Biochem. Biophys. 2021, 709, 108941. [Google Scholar] [CrossRef]
- Ozcan, O.E.; Under, N.; Tame, R.L. Comparison of Na+K+-ATPase activities and malondialdehyde contents in liver tissue for three fish species exposed to azinphosmethyl. Bull. Environ. Contam. Toxicol. 2002, 69, 271–277. [Google Scholar] [CrossRef]
- Dragun, Z.; Filipović, M.V.; Krasnići, N. Malondialdehyde concentrations in the intestine and gills of Vardar chub (Squalius vardarensis Karaman) as indicator of lipid peroxidation. Environ. Sci. Pollut. Res. 2017, 24, 16917–16926. [Google Scholar] [CrossRef]
- Panase, P.; Saenphet, S.; Saenphet, K. Biochemical and physiological responses of Nile tilapia Oreochromis niloticus Lin subjected to cold shock of water temperature. Aquac. Rep. 2018, 11, 17–23. [Google Scholar] [CrossRef]
- Panase, P.; Saenphet, S.; Saenphet, K.; Pathike, P.; Thainum, R. Biochemical and physiological responses of Nile tilapia (Oreochromis niloticus Linn.) subjected to rapid increases of water temperature. Comp. Clin. Pathol. 2019, 28, 493–499. [Google Scholar] [CrossRef]
- Hur, J.W. Stress response of olive flounder, Paralichthys olivaceus and Japanese croaker, Nibea japonica on changes of water temperature. Fish. Aquat. Sci. 2022, 25, 441–449. [Google Scholar] [CrossRef]
- Phinrub, W.; Lunjirapan, T.; Srirum, T.; Kumjumrern, K.; Srisuttha, P.; Panase, A.; Panase, P. Alterations of serum electrolytes and biochemical indices of Panagasianodon gigas subjected to different water temperatures and the appropriate temperature range for sustaining life. J. Appl. Anim. Res. 2023, 51, 342–349. [Google Scholar] [CrossRef]
- Kottelat, M. Fishes of the Nam Theun and Xe Bangfai basins, Laos, with diagnoses of twenty-two new species (Teleostei: Cyprinidae, Balitoridae, Cobitidae, Coiidae and Odontobutidae). Ichthyol. Explor. Freshw. 1998, 9, 1–128. [Google Scholar]
- Mohsin, A.K.M.; Ambak, M.A. Freshwater Fishes of Peninsular Malaysia; Penerbit Universiti Pertanian Malaysia: Serdang, Malaysia, 1983; 284p. [Google Scholar]
- Shamsuzzaman, M.M.; Mozumder, M.M.H.; Mitu, S.J.; Ahamad, A.F.; Bhyuian, M.S. The economic contribution of fish and fish trade in Bangladesh. Aquac. Fish. 2020, 5, 174. [Google Scholar] [CrossRef]
- Uchiyama, M.; Mihara, M. Determination of malonaldehyde precursor in tissues by thiobarbituric acid test. Anal. Biochem. 1978, 86, 271–278. [Google Scholar] [CrossRef] [PubMed]
- Brown, E.S.; Varghese, F.P.; McEwen, B.S. Association of depression with medical illness: Does cortisol play a role? Biol. Psychiatry 2004, 55, 1–9. [Google Scholar] [CrossRef] [PubMed]
- Repetto, M.; Semprine, J.; Boveris, A. Lipid Peroxidation: Chemical Mechanism, Biological Implications and Analytical Determination. In Lipid Peroxidation; Tech: Carlsbad, CA, USA, 2012; pp. 2–29. [Google Scholar] [CrossRef]
- Morales, M.; Munné-Bosch, S. Malondialdehyde: Facts and artifacts. Plant Physiol. 2019, 180, 1246–1250. [Google Scholar] [CrossRef]
- Lorente, L.; Martín, M.M.; Abreu-González, P.; Domínguez-Rodriguez, A.; Labarta, L.; Díaz, C.; Solé-Violán, J.; Ferreres, J.; Cabrera, J.; Igeño, J.C.; et al. Sustained high serum malondialdehyde levels are associated with severity and mortality in septic patients. Crit. Care 2013, 17, R290. [Google Scholar] [CrossRef]
- El-Yassin, H.D.; Hasso, N.M.A.; Al-Rubayi, H.A. Lipid profile and lipid peroxidation pattern pre and post exercise in coronary artery disease. Turk. J. Med. Sci. 2005, 35, 223–228. [Google Scholar]
- Wadhwa, N.; Mathew, B.B.; Jatawa, S.K.; Tiwari, A. Lipid peroxidation: Mechanism, models and significance. Int. J. Curr. Sci. 2012, 3, 29–38. [Google Scholar]
- Golovanov, V.K.; Smirnov, A.K.; Garina, D.V. Teleosts: Evolutionary Development, Diversity and Behavioral Ecology; Nova Science Publishers: New York, NY, USA, 2014. [Google Scholar]
- Dringen, R. Oxidative and antioxidative potential of brain microglial cells. Antioxid. Redox Signal. 2005, 7, 9–10. [Google Scholar] [CrossRef]
- Stori, E.M.; Rocha, M.L.C.F.; Santos, C.E.I.; Souza, C.; Amaral, L.; Dias, J.F. Elemental characterization of injuries in fish liver. Nucl. Instrum. Methods Phys. Res. Sect. B: Beam Interact. Mater. At. 2014, 318, 83–87. [Google Scholar] [CrossRef]
- Long, S.; Dong, X.; Liu, H.; Yan, X.; Tan, B.; Zhang, S.; Chi, S.; Yang, Q.; Liu, H.; Yang, Y.; et al. Effect of dietary oxidized fish oil on liver function in hybrid grouper (♀ Epinephelus fuscoguttatus × ♂ Epinephelus lanceolatus). Aquacult. Rep. 2022, 22, 101000. [Google Scholar] [CrossRef]
- Sies, H.; Stahl, W. Vitamins E and C, beta-carotene, and other carotenoids as antioxidants. Am. J. Clin. Nutr. 1995, 62, 1315S–1321S. [Google Scholar] [CrossRef] [PubMed]
- Sutthi, N.; Panase, A.; Phinrub, W.; Srisuttha, P.; Panase, P. Cold shock and its effect on biochemical indices, cortisol and electrolyte changes in Chao Phraya catfish, Pangasius sanitwongsei Smith 1931. Comp. Clin. Pathol. 2022, 31, 757–764. [Google Scholar] [CrossRef]
- Huang, X.J.; Choi, Y.K.; Im, H.S.; Yarimaga, O.; Yoon, E.; Kim, H.S. Aspartate Aminotransferase (AST/GOT) and Alanine Aminotransferase (ALT/GPT) detection techniques. Sensors 2006, 6, 756–782. [Google Scholar] [CrossRef]
- Phrompanya, P.; Panase, P.; Saenphet, S.; Saenphet, K. Histopathology and oxidative stress responses of Nile tilapia Oreochromis niloticus exposed to temperature shocks. Fish. Sci. 2021, 87, 491–502. [Google Scholar] [CrossRef]
- Mergenthaler, P.; Lindauer, U.; Dienel, G.A.; Meisel, A. Sugar for the brain: The role of glucose in physiological and pathological brain function. Trends Neurosci. 2013, 36, 587–597. [Google Scholar] [CrossRef]
- Roychowdhury, P.; Aftabuddin, M.; Pati, M.K. A review on the impact of thermal stress on fish biochemistry. Aquat. Sci. Eng. 2024, 39, 121–129. [Google Scholar] [CrossRef]
- Reid, C.H.; Patrick, P.H.; Rytwinski, T.; Taylor, J.J.; Willmore, W.G.; Reesor, B.; Cooke, S.J. An updated review of cold shock and cold stress in fish. J. Fish Biol. 2022, 100, 1102–1137. [Google Scholar] [CrossRef]
- Liu, S.M.; Zang, X.N.; Liu, B.; Zhang, X.C.; Arunakumara, K.K.I.U.; Zhang, X.Q.; Liang, B. Effect of growth hormone transgenic synechocystis on growth, feed efficiency, muscle composition, haematology and histology of turbot (Scophthalmus maximus L.). Aquac. Res 2007, 38, 1283–1292. [Google Scholar] [CrossRef]
- Liqin, J.; Keyong, J.; Mei, L.; Baojie, W.; Longjiang, H.; Mingming, Z.; Lei, W. Low temperature stress on the hematological parameters and HSP gene expression in the turbot Scophthalmus maximus. Chin. J. Oceanol. Limnol 2016, 34, 430–440. [Google Scholar] [CrossRef]
- Shahsavani, D.; Mohri, M.; Kanani, H.G. Determination of normal values of some blood serum enzymes in Acipenser stellatus Pallas. Fish Physiol. Biochem. 2010, 36, 39–43. [Google Scholar] [CrossRef] [PubMed]
- Yang, S.; Zhao, T.; Ma, A.; Huang, Z.; Liu, Z.; Cui, W.; Zhang, J.; Zhu, C.; Guo, X.; Yuan, C. Metabolic responses in Scophthalmus maximus kidney subjected to thermal stress. Fish Shellfish Immunol. 2020, 103, 37–46. [Google Scholar] [CrossRef] [PubMed]
- Shumin, L.; Kuang, J.; Ji, S.; Chen, Q.; Deng, W.; Min, T.; Shan, W.; Chen, J.; Lu, W. The membrane lipid metabolism in horticultural products suffering chilling injury. Food Qual. Saf. 2020, 4, 9. [Google Scholar] [CrossRef]
- Wu, G.; Baumeister, R.; Heimbucher, T. Molecular mechanisms of lipid-based metabolic adaptation strategies in response to cold. Cells 2023, 12, 1353. [Google Scholar] [CrossRef]
- Chai, Y.-J.; Cheng, C.-Y.; Liao, Y.; Lin, C.; Hsieh, C. Heterogeneous nanoscopic lipid diffusion in the live cell membrane and its dependency on cholesterol. Biophys. J. 2022, 121, 3146. [Google Scholar] [CrossRef]
- Karunanithi, S.; Brown, I.R. Heat shock response and homeostatic plasticity. Front. Cell. Neurosci. 2015, 9, 68. [Google Scholar] [CrossRef]
- Havlíková, M.; Szabová, J.; Mravcová, L.; Venerová, T.; Chang, C.; Pekař, M.; Jugl, A.; Mravec, F. Cholesterol effect on membrane properties of cationic ion pair amphiphile vesicles at different temperatures. Langmuir 2021, 37, 2436. [Google Scholar] [CrossRef]
- Choi, C.Y.; Kim, T.H.; Choi, Y.J.; Choi, J.Y.; Oh, S.Y.; Kim, B.S. Effects of various wavelengths of light on physiological stress and non-specific immune responses in black rockfish Sebastes schlegelii subjected to water temperature change. Fish. Sci. 2017, 83, 997–1006. [Google Scholar] [CrossRef]
- Abram, Q.H.; Dixon, B.; Katzenback, B.A. Impacts of low temperature on the teleost immune system. Biology 2017, 6, 39. [Google Scholar] [CrossRef]
- Ochokwu, I.J.; Taiwo, M.A.; Bashir, S.Y. Haematological indices and carcass composition of African catfish Clarias gariepinus (Burchell, 1822) fingerlings fed with fluted pumpkin leaf (Telfairia occidentalis) as feed additives. Niger. J. Biotechnol. 2021, 38, 83. [Google Scholar] [CrossRef]
- De, M.; Ghaffar, M.A.; Noor, N.M.; Cob, Z.C.; Bakar, Y.; Das, S.K. Effects of water temperature and diet on blood parameters and stress levels in hybrid grouper (Epinephelus fuscoguttatus ♀ × E. lanceolatus ♂) juveniles. Aquac. Rep. 2019, 15, 100219. [Google Scholar] [CrossRef]
- Donaldson, M.R.; Cooke, S.J.; Patterson, D.A.; Macdonald, J.S. Cold shock and fish. J. Fish Biol. 2008, 73, 1491–1530. [Google Scholar] [CrossRef]
- Djurichkovic, L.D.; Donelson, J.M.; Fowler, A.M.; Feary, D.A.; Booth, D.J. The effects of water temperature on the juvenile performance of two tropical damselfishes expatriating to temperate reefs. Sci. Rep. 2019, 9, 13937. [Google Scholar] [CrossRef] [PubMed]
- Islam, M.A.; Uddin, M.H.; Uddin, M.J.; Shahjahan, M. Temperature changes influenced the growth performance and physiological functions of Thai pangas Pangasianodon hypophthalmus. Aquac. Rep. 2019, 13, 100179. [Google Scholar] [CrossRef]
- Shokri, M.L.L.; Basset, A. The seasonal response of metabolic rate to projected climate change scenarios in aquatic amphipods. J. Therm. Biol. 2024, 124, 10394. [Google Scholar] [CrossRef]
- Herrera-Castillo, L.; Vallejo-Palma, G.; Saiz, N.; Sánchez-Jiménez, A.; Isorna, E.; Ruiz-Jarabo, I.; de Pedro, N. Metabolic rate of goldfish (Carassius auratus) in the face of common aquaculture challenges. Biology 2024, 13, 804. [Google Scholar] [CrossRef]












Disclaimer/Publisher’s Note: The statements, opinions and data contained in all publications are solely those of the individual author(s) and contributor(s) and not of MDPI and/or the editor(s). MDPI and/or the editor(s) disclaim responsibility for any injury to people or property resulting from any ideas, methods, instructions or products referred to in the content. |
© 2025 by the authors. Licensee MDPI, Basel, Switzerland. This article is an open access article distributed under the terms and conditions of the Creative Commons Attribution (CC BY) license (https://creativecommons.org/licenses/by/4.0/).
Share and Cite
Saenphet, K.; Saenphet, S.; Tanasrivaroottanun, N.; Srisuttha, P.; Phinrub, W.; Panprommin, D.; Panase, P. Assessing Thermal Stress in Silver Barb (Barbonymus gonionotus): Oxidative Stress and Biochemical, Hematological, Hormonal, and Operculum Responses Within Survival Temperature Range. Fishes 2025, 10, 287. https://doi.org/10.3390/fishes10060287
Saenphet K, Saenphet S, Tanasrivaroottanun N, Srisuttha P, Phinrub W, Panprommin D, Panase P. Assessing Thermal Stress in Silver Barb (Barbonymus gonionotus): Oxidative Stress and Biochemical, Hematological, Hormonal, and Operculum Responses Within Survival Temperature Range. Fishes. 2025; 10(6):287. https://doi.org/10.3390/fishes10060287
Chicago/Turabian StyleSaenphet, Kanokporn, Supap Saenphet, Nathamon Tanasrivaroottanun, Phanit Srisuttha, Wikit Phinrub, Dutrudi Panprommin, and Paiboon Panase. 2025. "Assessing Thermal Stress in Silver Barb (Barbonymus gonionotus): Oxidative Stress and Biochemical, Hematological, Hormonal, and Operculum Responses Within Survival Temperature Range" Fishes 10, no. 6: 287. https://doi.org/10.3390/fishes10060287
APA StyleSaenphet, K., Saenphet, S., Tanasrivaroottanun, N., Srisuttha, P., Phinrub, W., Panprommin, D., & Panase, P. (2025). Assessing Thermal Stress in Silver Barb (Barbonymus gonionotus): Oxidative Stress and Biochemical, Hematological, Hormonal, and Operculum Responses Within Survival Temperature Range. Fishes, 10(6), 287. https://doi.org/10.3390/fishes10060287

