Abstract
Culture has traditionally been considered as a set of knowledge, beliefs, arts, laws, norms, and morals, acquired by a human being as a member of a group. Some anthropologists interpret this as a set of abstract representations, such as information or knowledge, while others interpret it as behavioral control mechanisms. These views assume that the contents of a particular culture must be processed by the minds of individuals, either in a direct way or by resorting to learned mental structures in processes of symbolic socialization. Some critics suggest a problem with these perspectives since they do not provide a convincing explanation of the enculturation process beyond metaphorical images of transfer or internalization of symbolic cultural contents through linguistic transmission. The new embodied theories of cognition, especially enactivism, could give new ideas about what enculturation processes are like, through the concept of participatory sense-making in material culture environments. In this essay, we discuss how an enactive vision of culture could be, and what advantages it would have, as well as the challenges and weaknesses in explaining the culture and its learning processes.
1. Introduction
The classic anthropological definition of culture is inspired by the English anthropologist Edward B. Tylor (1832–1917), who considered it as a set of knowledge, beliefs, norms, techniques, customs, values, etc., that are learned and shared in a group and that at the same time makes them distinctive [1]. Culture would be a set of public elements learned and shared through social interaction consciously or unconsciously [2]. However, there is not a single way to conceive of culture or a single way to study it. The classic discussions of anthropology about the fundamental aspects of culture and the most appropriate forms and methods to review it are well known. Thus, some authors focus on the role of meanings and their interpretation [3]; others understand it as a set of knowledge or information that comes from practices [4,5,6], and others focus on the sociobiological elements that influence practices or their material aspects [7], among others. This essay intends to ask for the details of the socio-cognitive process of enculturation in which the individuals of a human group, through social interaction with their peers and with the material environment, manage to develop skills and abilities, learn knowledge, norms, and values, and create worldviews that generate individual and collective identities.
According to Porter and Fitz, enculturation processes are socio-cognitive procedures learned consciously or unconsciously through interaction with others and with the environment; in which both the representational contents of a particular culture and the ways and patterns of action in said group are learned ([8], pp. 833–834) ([9], p. 547). However, there are no details about what this process is like, the nature of the contents learned culturally, nor the role of material objects in enabling such socialization practices. Various approaches take for granted various details of how these enculturation processes take place.
We believe that several traditional perspectives of the study of culture presuppose processes of enculturation that deserve to be reviewed according to the new theories of embodied cognition [10,11], especially with enactivism [12,13,14,15]. An enactive conception of culture can significantly change the explanation of how socio-cognitive enculturation processes are carried out. In this sense, we explore its main advantages and challenges in explaining enculturation processes and the culture itself.
2. Enactivism: A Form of Embodied Cognition
Embodied cognition is a set of research programs in psychology, neuroscience, philosophy, linguistics, ethology, robotics, and artificial intelligence with a different approach to traditional cognitive sciences. Traditionally, cognitive sciences start from a conception of the mind associated with the computationalism model; they consider that mental processes are computational processes in the brain. In contrast, embodied cognition programs reject or reformulate various computational commitments of cognitive science, emphasizing the importance of an agent’s physical body in cognitive abilities [10]. Embodied cognition researchers view the body, and the body’s interactions with the environment, as constituting or contributing to cognition in ways that require a new investigation framework. Mental processes are not (or are not only) computational processes [10].
Within this field of research, a recognition label such as “4E cognition” has become popular because various programs affirm that the mind and cognition are: (1) embodied, (2) embedded, (3) extended, and (4) enactive [11]. The “4E cognition” programs coincide in opposing to consider the brain as the central place of cognition and they give an important place to the body organism and the elements of its environment. However, they are not identical programs, and there are significant conceptual and methodological differences between them. For instance, the “extended mind” program usually assumes that cognition is supported or extended in extraorganic environmental or social processes that enhance its capabilities [16,17], while “enactivism approaches” abandon any conception of information processing in favor of an active sensorimotor regulation between an embodied agent and its environment. This regulation with the environment is constitutive and not just an exception [18] (p. 13).
Although there are important previous references, the enactive approach was introduced with the book by Francisco Varela, Evan Thompson, and Eleanor Rosch called The Embodied Mind: Cognitive Science and Human Experience [19], which contains a synthesis of ideas coming from phenomenology, cognitive sciences, evolutionary biology, psychology, and Buddhist philosophy. The authors defend a vision in which cognition is active, embodied, and embedded.
The term action emphasizes that sensory and motor processes, perception, and action, are fundamentally inseparable in lived cognition. Indeed, the two are not merely contingently linked in individuals; they have also evolved together. The chapter then discusses action. In a nutshell, the enactive approach consists of two points: (1) perception consists in perceptually guided action, and (2) cognitive structures emerge from the recurrent sensorimotor patterns that allow action to be perceptually guided.[19] (p. 173)
For traditional cognitivism, the cognitive structures of interest are internal states that represent specific properties of the environment. On the other hand, for enactivism, the cognitive structures are emergent, the result of the self-organization of the interactions between the organism and the environment. In this way, cognition is understood as the constant sense-making that characterizes the embodied agent in interaction with their physical and social environment. Instead of relying on the computational manipulation of mental representations, enactive logic proposes that cognition is constituted by the types of dynamic coupling between an autonomous agent and its environment [18] (p. 1).
According to Ezequiel Di Paolo, enactivism considers cognition as a way of regulating the relationship between the agent and his environment following rules that are sustained by his living body, as a precarious, self-constituted, and autonomous system but in need of constant interaction with the middle [18] (p. 2). For example, “breathing” is a continuous action (enaction) of most heterotrophic organisms that is essential to maintain their self-organization and autopoiesis [20], that is, to stay alive. From this point of view, there is a continuity between cognition and life since the precarious organism “cognizes” to stay alive.
Enactivism is a different approach to other forms of embodied cognition because it does not consider the body or cognitive processes in the same way. From the enactive point of view, the body has an identity linked to autonomous processes of material self-individuation in which metabolic and physiological processes [20] are intertwined and occur at different levels (activities of the nervous system, immune system, lymphatic system, etc.) that they are historically situated and self-sustaining in cycles of interaction with the world (habits, networks of sensorimotor schemes, social relations, etc.) [13] (pp. 21–22). For human beings, some authors argue that these constitutive processes also include arrangements and sensitivities that transform the human body into a linguistic body [14,21].
To clarify the distinctive characteristics of enactivism, we cite Figure 1 based on [13], in which there are two regions of tension between traditional cognitive functionalism and nonrepresentationalism conceptions. We observe that there are theories that share the idea of the embodiment of cognition, but do not necessarily abandon the functionalist model of information processing. In Figure 1, we find approaches such as the model of the extended mind [16,17,22]; the cognitive linguistics of George Lakoff and Mark Johnson [23]; the SMCT (sensorimotor contingencies theory) of J. Kevin O’Regan and Alva Noë [24,25], the autonomous robotics [26,27] and, of course, the enactivism that changes or abandons the idea of representational content [21,28,29,30].
Figure 1.
Schematic figure of the state of contemporary cognitive sciences, based on [13].
For embodied functionalists (theorists of the “extended mind” or “cognitive linguistics”), the study of the body (and the coupling of the body with extensions) is important since it has important consequences on how the mind organizes information processing. Of course, both embodied functionalism and enactivism agree with the rejection of the concept of abstract and disembodied mind typical of classical cognitivist approaches, but enactivism differs from the idea that the information processing of the brain is the constitutive process of cognition [13] (p. 23). For enactivists, minds are inherent attributes of the body in the world in which the brain is inseparable from other spatially and historically situated bodily systems. According to Thomas Fuchs, the brain in the enactive approach would have the role of «a mediating organ» i.e., as a plastic system of open loops formed in the process of life and close to complete functional cycles in each interaction with the environment. According to this author, each time a new arrangement of coherent neuronal activity is produced, formed through repeated experiences, the structures of the mind are imprinted on the brain; thus, this is a mediating organ or a “window to the mind”, since it is structured by the mind itself [31] (p. 196) [32]. In this way, the brain would regulate the sensorimotor loops of the body to adapt it to the instances that best synchronize according to the current situation.
3. Enculturation Depends on the Enactive Coupling of Human Beings with Their Material Culture
For enactivism, cognition is the continuous sense-making that an agent performs in the domain of interactions with the environment [18] (p. 7); therefore, the unit of study for the enculturation process should focus on the agent as an active autonomous system. To define a cognitive agent beyond a mere recipient of cultural content, we must first appeal to the “enactive concept of agency” that Barandiaran, Di Paolo, and Rohde already proposed a few years ago (2009). For these authors, an agent is a self-individualized autonomous system capable of asymmetrically regulating its coupling with the environment following intrinsic norms [33] (p. 367). These are the conditions of minimal agency that all living beings meet, which is why they are all “sense makers”. Of course, in this essay, we investigate humans and their culture: what kind of agents are humans? We believe that humans are agents supported by scaffolding offered by material cultures i.e., sense-makers in artificial environments.
Traditionally, “material culture” has been understood as the set of studies that come from anthropology that aims to study the culture of a particular human group from the analysis of its artifacts and associated practices [2]. In our case, the term “material culture” refers to the same thing, but considers that it is not a set of simple isolated objects but an environment, almost like an ecosystem, of networks of material and intentionally designed objects that open and close possibilities of action for an individual in a human group [34]. The artifacts of material culture are the scaffolding that serves as a coupling for certain human actions that would not be possible without these networks of publicly available objects. Then, the entire set of tools, everyday objects, images, texts, information processors, infrastructures, etc., are part of a particular material culture that organizes, as Bruno Latour says, a social order [35] and constitutes the substratum of the other elements of a culture.
One of the first authors who spoke of a conception with enactive characteristics of the enculturation process was Tim Ingold [36], who considered enculturation processes from the skills of human individuals through practice and training in materially modified environments. He was one of the first to consider active engagement of this processes. However, we must refer to the recently published (2017) compilation book Embodiment, Enaction, and Culture [14], which investigates the role of culture in a multidisciplinary way for embodied and enactive explanations of cognition and that encompasses fundamental philosophical considerations, as well as the most recent developments in the field. The compilers of the work, Christoph Durt, Thomas Fuchs, and Christian Tewes, point out that the constitution of the shared world is understood in terms of broader participatory and collective processes of sense-making that are manifested in dynamic forms of intercorporeality, collective body memory, artifacts, affordances, scaffolding, use of symbols, etc.; how preconscious and conscious achievements work together in empathy, interactivity, identification of oneself with others through emotions, and hermeneutical understanding of others’ thoughts [14] (pp. 1–2).
Of the whole set of approaches, we would like to point out two promising theoretical lines to understand culture under an enactive system: the first one tries to understand social action between human agents through the “participatory sense-making” mediated by an embodied language, and the second one examines the relationship of enactive engagement with culturalized material environments (Material Engagement Theory—MET). Let us examine them in detail.
Cuffari, Di Paolo, and De Jaegher understand social action between human agents with the concept of participatory sense-making [13], which refers to how sense is created in the context of social interaction since such interaction is affected by patterns of co-ordination, ruptures, and recoveries suffered during social encounters. The participatory construction of meaning is how people understand each other and how they understand and act together in the world [21]. In the book Linguistic Bodies (2018), Ezequiel Di Paolo and his colleagues [21] attempt to postulate an explanation of why, for human beings, there is a continuity between life and language by drawing on key enactive concepts that are mutually related and that encompass the organic, sensorimotor, and intersubjective dimensions of incarnation. They propose new categories to understand how human bodies are constitutively linguistic-based on participatory sense-making processes. The authors introduce a dialectical method that tries to show that it is possible to build new categories from previous ones without deflating or reducing the language. They start from a general and relatively abstract situation of embodied agents acting and seeking meaning together during social interactions. They seek to demonstrate that each movement towards a concept of linguistic agency, in turn, affects and even redefines previous movements [21] (p. 9).
The enactive concept of “linguistic body” is a very recent proposal (2018), and it should demonstrate its explanatory qualities but has the advantage of trying to explain the complex problem of social interaction and its dynamic, embodied intersubjective and linguistic character. However, there is a constitutive element to enable these participatory meaning-seeking encounters that, although the authors mention [21] (pp. 296–297), they do not develop in-depth. This element in the explanation is the set of functional material modifications that we commonly call material culture. Objects, images, shapes, colors, and textures that generate experiences also participate in the search for meaning. The couplings between human agents and material environments also take on a “life of their own”, in which emergent relational patterns emerge.
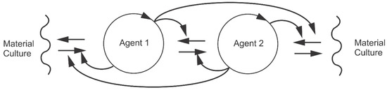
Therefore, it is essential to mention the second theoretical line of enactive inspiration to take into account in a possible enactive conception of culture, the so-called Material Engagement Theory (MET) [37,38,39,40] that affirms that the human mind has always been inextricably coupled to the material forms that people create; for this reason, human cognitive and social life is a genuinely mediated process and, often, constituted by material culture environments [40] (p. 755). MET takes elements from extended functionalism when it says that material things are consubstantial and coextensive parts of the mind in action; of the notion of material agency when it affirms that things have causal efficacy in human thought and action. Of course, in the enactive ideas, objects are material symbols that represent signifiers and become significant when they enact with an agent [40] (p. 757). It uses the play on words Thing-ing to draw attention to modes of cognitive life exemplified in acts of thinking and feeling with, through, and about things [37]. In general terms, enactivism could rethink the way we conceive culture with this framework of new concepts. Next, we present a schematic figure of the relationship map of a human agent with others, and cultured environments based on the idea of correlation between primary agents and their habitats.
In the Figure 2, the horizontal arrows indicate the coupling between each agent and its environment (wavy lines) and between them. The curved arrows represent each agent’s regulation on their couplings and those of the other [21] (p. 68). However, this scheme allows several precisions to be made to show the socio-material practices in particular niches that offer human agency in these cultured environments. The agents incorporate certain artifacts into their capacities and identities with which they make possible social, cognitive, and practical feats that they would not be able to accomplish without them [41]. In enactive terms, the enculturation processes would be the participatory sense-making in environments with material affordances that, in turn, are products of collective technical feats.
Figure 2.
Coregulation of couplings in prosthetic-mediated agents and cultured material environments, based on [21].
An enactive conception of culture would consist of considering it not only as a set of knowledge, beliefs, norms, techniques, customs, and values, as has traditionally been considered, but as a causally and materially created “practice environment”, inherited from other generations and continuously maintained and recreated by current generations. This environment is an analogy to an ecological niche enriched with affordances that stimulate cognitive and practical capacities between individuals and serve as a repository of collective memory [41]. This landscape is not only made up of sets of tools at hand, texts, or images, but also self-regulated artificial systems and infrastructures (electrical, telecommunications, urban plans, etc.), which, although they are almost always invisible to human agents, are also action mediators. These practice environments consist of landscape modifications, artifacts, and other human beings. Why does this environment shape human beings’ identity and cognitive and practical capacities and not that of other animals? Social interaction with other human agents is essential because only when they respond intelligently to gestures, words, suggestions, etc., can they overcome the socio-cognitive learning challenges offered by a given culture. If there is no social interaction with others in enriched learning environments, the development of abilities considered «normal» does not occur in the stages of greater mental plasticity, as we see in the cases of children who grow up in confinement or who are raised and cared for by other social animals.
Why does this environment shape the identity and the cognitive and practical capacities of human beings and not that of other animals? The answer that is most often mentioned is the idea of mindshaping [42,43]. According to Zawidzki, mindshaping is a product of the evolutionary history of our species and is the key to understanding the distinctively human social cognition [42]. Our “capacities would be impossible without traditions of social learning, enabling the preservation and gradual improvement, over historical time, of techniques of resource extraction, processing, and distribution, and of social communication and interaction.” [42] (p. 735). This allows a cumulative cultural evolution [43]. The Zawidzki’s mindshaping hypothesis is conceptualized as the emergence of embodied and embedded practices of tracking and shaping behavioral dispositions in sociohistorical situations located in culturally specific human populations instead of conceptualizing as the achievement of computational processes implemented in the brains of individuals that involve mental representations, [42] (p. 737).
Material cultures are not a set of entities decoupled from the natural world since they modify specific material elements of these natural environments to redirect causal flows that enable certain daily practices and lifestyles by allowing their repetition through rites and rituals. These practices are reproduced because we consider them valuable. Material culture enables a flexible repertoire of action possibilities permanently submerged within a structural and functional logic related to an environment’s abilities and possibilities. However, these actions are not univocal but are subject to variability according to circumstances [13]. Consistent with an enactive notion of culture, cultural symbols are necessarily material, as they serve as cues for human agents to engage in acts of participatory sense-making. Material symbols can offer access to enriched experiences that trigger mental experiences in context. Being external, these symbols usefully delimit and condense the type of cognitive meaning accessed, while at the same time serving as external co-ordinators of both evocation and sense-making episodes. That is why it is stated that these cultural symbols are scaffoldings that support the evocation of meanings. Once a practice is reproduced or ritualized, these symbols will be significant [44].
4. Challenges of an Enactive Approach to Enculturation
Enactivism faces many important challenges, as well as criticism, both from traditional cognitive sciences and extended functionalism [22,45]. A good part of these criticisms come from the lack of precision of the operational definitions that they use, such as autonomy, autopoiesis, search for meaning, etc., [18], but that could be remedied because it is a paradigm in growth and because theoretical development and applied case studies may lead to specifying the terminology.
However, in the case of the explanation of enculturation processes, enactivism has an important challenge, which is to demonstrate that representationalism is not necessary to explain higher mental faculties such as meditation, reflection, and creativity. These faculties have something fundamental in common: the ability to have long-term memory. How to explain long-term memory without resorting to representations? Is there a place for the memory of both mental images and abilities and skills of the body? Traditional cognitivism has explanations for these questions based on functionalist cognitive processes. There is evidence that long-term memory (memory that takes more than 15 s) is due to neurons establishing new physical connections and synapsing with each other when a new memory is formed. According to cognitivism, memorization processes take place in the hippocampus, in which a piece of information is encoded in a logical order, forming new synapses. However, not all information is the same for the hippocampus, since it prioritizes those that have been rehearsed repeatedly or with a strong emotional component and not so much for routine activities or incomprehensible information [46]. However, where is long-term memory stored? According to a study by Kitamura et al. [46], newer memories reside in the hippocampus for a while, but as more memories are formed, the neural connections that represent a specific memory migrate to the cerebral cortex; although, similar memories tend to cluster together (speech memories, visual memories, etc.). For this reason, our memory does not have a specific place but is constantly processed and updated as our mind reconstructs or assembles memories on demand. This would explain why our memory is flexible and can change with each new reassembly.
This is a functionalist explanation in which information processing is fundamental to the processes that occur in the hippocampus, and the question that remains open is: could enactivism provide an answer to long-term memory without resorting to the idea representation or information processing? It is an important challenge that, so far, we have not found in the literature review.
Another important challenge for an enactive approach to culture is how it is distinguished or merged with ecological psychology and the theory of affordances [47]. What elements do they share? What differences do they have? Are they compatible? These two approaches appear to share several key theoretical and methodological commitments, including a conception of cognitive activity performed as involving an agent and a rich and complex environment. Another similarity is that they resort to explanations that do not depend on computational processes or other forms of representations to have explanatory power. Despite these shared commitments and other apparent resonances between approaches, communication between these two groups of researchers has been surprisingly sparse [48]. However, in a compilation of recent publications, conflicting positions are found, and some consider that there are insoluble conceptual incompatibilities between these two approaches [49] or that ecological psychology is realistic while enactivism is constructivist [50]. In any case, several authors are committed to the complementarity of these two approaches, assuming that the differences may be merely apparent [49].
5. Conclusions
Traditional notions of culture have not described, in detail, the socio-cognitive processes of cultural learning, which makes them assume that culture is a set of abstract representations that the minds of individuals must process, either in a direct way or by resorting to the mental structures learned by the processes of symbolic socialization. For this reason, it is important to reconsider what enculturation processes are like, considering the new embodied theories of cognition.
An interesting set of embodied theories of cognition (4E), principally enactivism, abandons any notion of information processing in favor of active sensorimotor regulation between an embodied agent and its environment and the abandonment of the use of representational content to explain cognition. From an enactive perspective, culture cannot be understood as a set of symbols or information that the brain internalizes or processes, but as participatory practices of sense-making in enriched environments of material affordances resulting from a historical process of multiple generations. There is no way these environments are not material since the “online” experiences of a living body necessarily take place in a material space.
Therefore, culture should be reconsidered as a niche of practices made possible by causal material landscape arrangements such as objects of use, living areas, images and texts, epistemic artifacts, information processing machines, etc., that create a favorable environment to develop cognitive and practical abilities and skills that characterize individuals and human groups. A feedback loop is created in which humans and cultural arrangements coevolve through the repetition and ritualization of practices. The symbolic content of culture is not information in the heads of individuals but is manifested through the living body in practice with others and with artifacts in materially modified environments. The more abstract content of culture, such as explicit representational content (theories, narratives, knowledge) and high-level cognition, emerges in individuals with explicit learning processes thanks to participatory meaning-seeking supported by writing systems, numbers, material symbols, and information processors. Some material elements of culture are embodied and constitutive parts of a human agent; they are not accessories; the constitution–interaction are circularly inter-related. There is sensorimotor co-ordination with the body and embodied prostheses with the environment: the co-ordination with the material environment organizes the same environment, and that environment influences the same sensorimotor activity.
Of course, an enactive view of culture is not problem-free and has considerable challenges to address. Enactive conceptions (particularly Hutto’s [29] radical enactivism) would have trouble explaining higher cognitive abilities, the enculturation processes, and additional studies demonstrating higher cognition forms such as meditation, reflection, and creativity beyond the sensorimotor coupling with the environment. It also has the challenge of establishing the common points and the differences between enactivism and the ecological approaches of psychology. As we have insisted, coupling agents with culturalized material environments is fundamental for both perspectives. In summary, an enactive conception of culture has yet to advance in answering the question of how to close the gap between the biological processes of the lived body and the apparent symbolic contents of culture without falling into a biological reductionism. The question remains open.
Author Contributions
Conceptualization, A.D.M.-R. and C.M.G.-A.; methodology, A.D.M.-R.; validation, A.D.M.-R. and C.M.G.-A.; investigation, A.D.M.-R.; writing—original draft preparation, A.D.M.-R.; writing—review and editing, A.D.M.-R. and C.M.G.-A.; visualization, C.M.G.-A. All authors have read and agreed to the published version of the manuscript.
Funding
This research received no external funding.
Institutional Review Board Statement
Not applicable.
Informed Consent Statement
Not applicable.
Data Availability Statement
Not applicable.
Acknowledgments
Olga Novikova provided constructive feedback on a draft in English of this manuscript.
Conflicts of Interest
The authors declare no conflict of interest.
References
- Kroeber, L.; Kluckhohn, C.; Untereiner, W. Culture: A Critical Review of Concepts and Definitions; Vintage Books: New York, NY, USA, 1957. [Google Scholar]
- Scupin, R. Cultural Anthropology: A Global Perspective; Prentice Hall: Hoboken, NJ, USA, 2012. [Google Scholar]
- D’Andrade, R.G. The Cultural Part of Cognition. Cogn. Sci. 1981, 5, 179–195. [Google Scholar] [CrossRef]
- Geertz, J. The Interpretation of Cultures: Selected Essays; Basic Books: New York, NY, USA, 1973. [Google Scholar]
- Dawkins, R. The Selfish Gene, 2nd ed.; Oxford University Press: Oxford, UK, 1989. [Google Scholar]
- Mosterín, J. Filosofía de la Cultura; Alianza Editorial: Madrid, Spain, 1993. [Google Scholar]
- Harris, M. The Rise of Anthropological Theory. A History of Theories of Culture; Thomas Y. Crowell Company: New York, NY, USA, 1968. [Google Scholar]
- Porter Poole, F.J. Socialization, enculturation and the development of personal identity. In Companion Encyclopedia of Anthopology; Routledge: London, UK, 2002; pp. 831–860. [Google Scholar]
- Grusec, J.; Hastings, P. Handbook of Socialization: Theory and Research; Guilford Press: London, UK, 2007. [Google Scholar]
- Shapiro, L.; Spaulding, S. The Stanford Encyclopedia of Philosophy (Fall 2021 Edition); Center for the Study of Language and Information (CSLI), Stanford University: Stanford, CA, USA, 2021; Available online: https://plato.stanford.edu/archives/fall2021/entries/embodied-cognition (accessed on 1 July 2021).
- Wilson, R.A.; Foglia, L. Embodied Cognition. 2017. Available online: https://plato.stanford.edu/archives/spr2017/entries/embodied-cognition (accessed on 26 June 2020).
- Di Paolo, E.; Buhrmann, T.; Barandiaran, X. Sensorimotor Life: An Enactive Proposal; Oxford University Press: Oxford, UK, 2017. [Google Scholar]
- Cuffari, E.C.; Di Paolo, E.; De Jaegher, H. From participatory sense-making to language: There and back again. Phenomenol. Cogn. Sci. 2015, 14, 1089–1125. [Google Scholar] [CrossRef] [Green Version]
- Durt, C.; Fuchs, T.; Tewes, C. Embodiment, Enaction, and Culture. Investigating the Constitution of the Shared World; The MIT Press: Cambridge, UK, 2017. [Google Scholar]
- Froese, T. Scientific Observation Is Socio-Materially Augmented Perception: Toward a Participatory Realism. Philosophies 2022, 7, 37. [Google Scholar] [CrossRef]
- Clark, A.; Chalmers, D.J. The Extended Mind. Analysis 1998, 58, 10–23. [Google Scholar] [CrossRef]
- Clark, A. Natural-Born Ciborgs. Minds, Technologies and the Future of Human Intelligence; Oxford University Press: Oxford, UK, 2003. [Google Scholar]
- Di Paolo, E. Enactivismo. In Diccionario Interdisciplinar Austral; Universidad Austral: Buenos Aires, Argentina, 2016. [Google Scholar]
- Varela, J.; Rosch, E.; Thompson, E. The Embodied Mind. Cognitive Science and Human Experience; The MIT Press: Cambridge, MA, USA, 1991. [Google Scholar]
- Maturana, H.A.; Varela, F.J. Autopoiesis and Cognition: The Realization of the Living; Reidel Publishing: Dordrecht, The Netherlands, 1980. [Google Scholar]
- Di Paolo, E.; Cuffari, E.C.; De Jaegher, H. Linguistic Bodies. The Continuity between Life and Language; The MIT Press: Cambridge, MA, USA, 2018. [Google Scholar]
- Wheeler, M. The revolution will not be optimised: Radical enactivism, extended functionalism and the extensive mind. Topoi 2017, 36, 457–472. [Google Scholar] [CrossRef]
- Lakoff, G.; Johnson, M. Metaphors We Live by; The University of Chicago Press: Chicago, IL, USA; London, UK, 1980. [Google Scholar]
- O’Regan, J.K.; Noë, A. A sensorimotor account of vision and visual consciousness. Behav. Brain Sci. 2001, 24, 939–973. [Google Scholar] [CrossRef] [PubMed] [Green Version]
- Nöe, A. Action in Perception; The MIT Press: Cambridge, MA, USA, 2004. [Google Scholar]
- Pfeifer, R.; Scheier, C. Sensory—Motor coordination: The metaphor and beyond. Robot. Auton. Syst. 1997, 20, 157–178. [Google Scholar] [CrossRef]
- Beer, R.D. The Dynamics of Active Categorical Perception in an Evolved Model Agent. Adapt. Behav. 2003, 11, 209–243. [Google Scholar] [CrossRef]
- Gallagher, S. Enactivist Interventions: Rethinking the Mind; Oxford University Press: Oxford, UK, 2017. [Google Scholar]
- Hutto, D.D.; Myin, E. Radicalizing Enactivism. Basic Minds without Content; The MIT Press: Cambridge, MA, USA, 2012. [Google Scholar]
- Ward, D.; Silverman, D.; Villalobos, M. Introduction: The varieties of enactivism. Topoi 2017, 36, 365–375. [Google Scholar] [CrossRef] [Green Version]
- Fuchs, T. The brain—A mediating organ. J. Conscious. Stud. 2011, 18, 196–221. [Google Scholar]
- Fuchs, T. Ecology of the Brain: The Phenomenology and Biology of the Embodied Mind; Oxford University Press: Oxford, UK, 2017. [Google Scholar]
- Barandiaran, X.E.; Di Paolo, E.; Rohde, M. Defining Agency: Individuality, Normativity, Asymmetry, and Spatio-temporality in Action. Adapt. Behav. 2009, 17, 367–386. [Google Scholar] [CrossRef]
- Broncano, F. In media res: Cultura material y artefactos. Artefactos 2008, 1, 18–32. [Google Scholar]
- Latour, B. Reassembling the Social. An Introduction to Actor-Network-Theory; Oxford University Press: Oxford, UK, 2005. [Google Scholar]
- Ingold, T. The Perception of the Environment. Essays on Livelihood, Dwelling and Skill; Routledge: London, UK, 2000. [Google Scholar]
- Malafouris, L. How Things Shape the Mind. A theory of Material Engagement; The MIT Press: Cambridge, MA, USA, 2013. [Google Scholar]
- Malafouris, L. Mind and material engagement. Phenomenol. Cogn. Sci. 2019, 18, 1–17. [Google Scholar] [CrossRef] [PubMed] [Green Version]
- Iliopoulos, A. Material Engagement Theory and its philosophical ties to pragmatism. Phenomenol. Cogn. Sci. 2019, 18, 39–63. [Google Scholar] [CrossRef]
- Malafouris, L. Bringing things to mind: 4Es and Material Engagement. In The Oxford Handbook of 4E Cognition; Oxford University Press: Cambridge, UK, 2018; pp. 755–771. [Google Scholar]
- Sterelny, K. Minds: Extended or scaffolded? Phenomenol. Cogn. Sci. 2010, 9, 465–481. [Google Scholar] [CrossRef]
- Zawidzki, T.W. Mindshaping. In The Oxford Handbook of 4E Cognition; Oxford University Press: Cambridge, UK, 2018; pp. 735–754. [Google Scholar]
- Boyd, R.; Richerson, P. Culture and the Evolutionary Process; The University of Chicago Press: Chicago, IL, USA, 1985. [Google Scholar]
- Krippendorff, K. The Semantic Turn: A New Foundation for Design; Taylor & Francis: London, UK, 2006. [Google Scholar]
- Clark, A. Being There: Putting Brain, Body and World Together Again; The MIT Press: London, UK, 1997. [Google Scholar]
- Kitamura, T.; Ogawa, S.K.; Roy, D.S.; Okuyama, T.; Morrissey, M.D.; Smith, L.M.; Redondo, R.L.; Tonegawa, S. Engrams and circuits crucial for systems consolidation of a memory. Science 2017, 356, 73–78. [Google Scholar] [CrossRef] [PubMed] [Green Version]
- Gibson, J.J. The Ecological Approach to Visual Perception—Classic Edition; Psychology Press: New York, NY, USA, 2015. [Google Scholar]
- McGann, M.; Di Paolo, E.A.; Heras-Escribano, M.; Chemero, A. Editorial: Enaction and Ecological Psychology: Convergences and Complementarities. Front. Psychol. 2021, 11, 5–9. [Google Scholar] [CrossRef] [PubMed]
- Heft, H. Ecological Psychology and Enaction Theory: Divergent Groundings. Front. Psychol. 2021, 11, 23–35. [Google Scholar] [CrossRef] [PubMed]
- Crippen, M. Enactive Pragmatism and Ecological Psychology. Front. Psychol. 2021, 11, 107–119. [Google Scholar] [CrossRef] [PubMed]
Publisher’s Note: MDPI stays neutral with regard to jurisdictional claims in published maps and institutional affiliations. |
© 2022 by the authors. Licensee MDPI, Basel, Switzerland. This article is an open access article distributed under the terms and conditions of the Creative Commons Attribution (CC BY) license (https://creativecommons.org/licenses/by/4.0/).

