K562 Chronic Myeloid Leukemia Cells as a Dual β3-Expressing Functional Cell Line Model to Investigate the Effects of Combined αIIbβ3 and αvβ3 Antagonism
Abstract
1. Introduction
2. Materials and Methods
2.1. Cell Culture and Reagents
2.2. Immunofluorescence Analysis
2.3. Flow Cytometry Analysis
2.4. MTT (3-(4,5-Dimethylthiazol-2-yl)-2,5-diphenyl Tetrazolium Bromide) Assay
2.5. Optimisation of Cell Adhesion Assay
2.6. Adhesion and Detachment Assays to Investigate Integrin Targeted Agents
2.7. Statistical Analysis
3. Results
3.1. Effect of PMA Treatment on Integrin Expression in K562 Cells
3.1.1. Effect of PMA on K562 Cell Viability
3.1.2. Induction of αIIb Expression over Time in K562 Cells Treated with 0.04 µM PMA
3.2. Evaluation of K562 Cell Adhesion to Fibrinogen
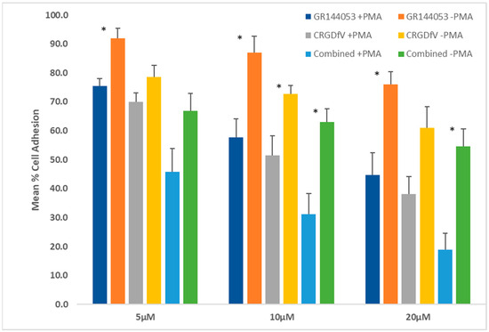
3.3. β3 Antagonists Inhibit K562 Adhesion to Fibrinogen
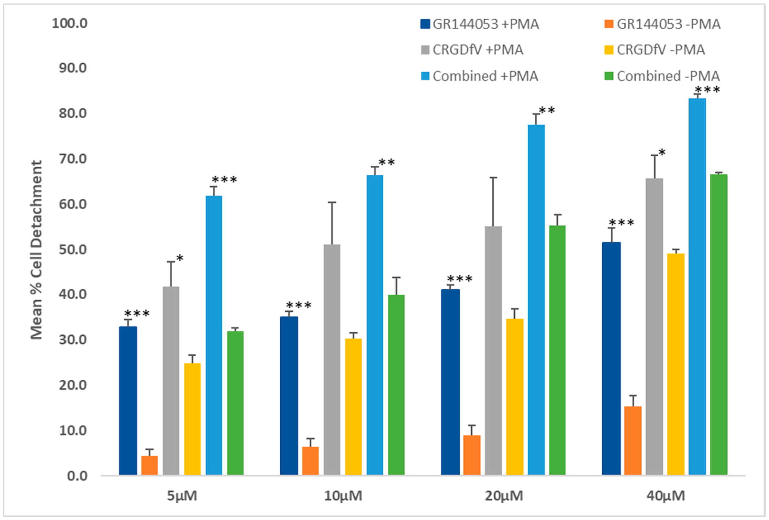
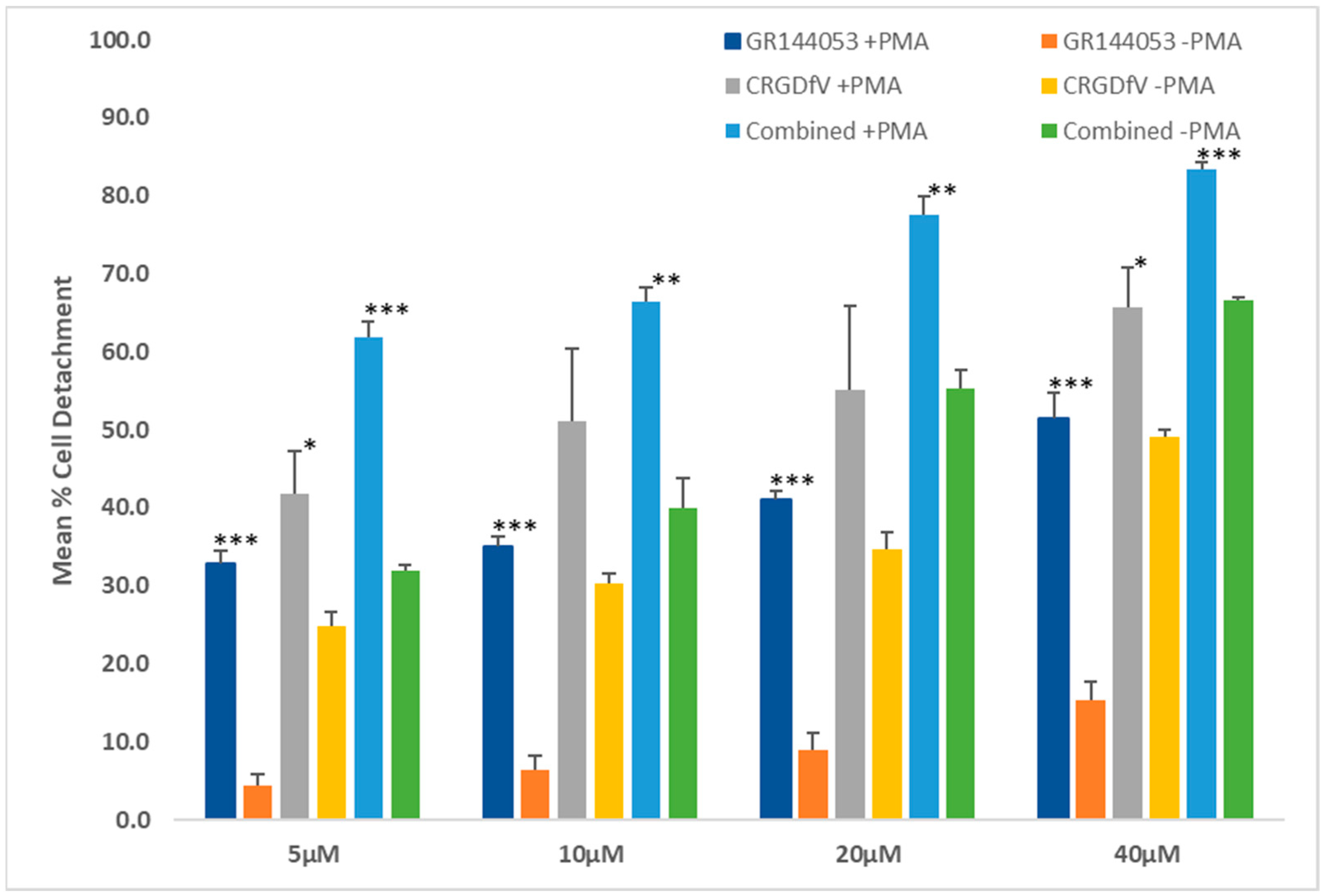
3.4. β3 Antagonists Promote Cell Detachment from Fibrinogen
4. Discussion
5. Conclusions
Author Contributions
Funding
Institutional Review Board Statement
Informed Consent Statement
Data Availability Statement
Conflicts of Interest
References
- Miyamoto, S.; Teramoti, H.; Coso, O.A.; Gutkind, J.S.; Burbelo, P.D.; Akiyama, S.K.; Yamada, K.M. Integrin function: Molecular hierarchies of cytoskeletal and signaling molecules. J. Cell Biol. 1995, 131, 791–805. [Google Scholar] [CrossRef] [PubMed]
- Sheldrake, H.M.; Patterson, L.H. Strategies to inhibit tumor associated integrin receptors: Rationale for dual and multi-antagonists. J. Med. Chem. 2014, 57, 6301–6315. [Google Scholar] [CrossRef] [PubMed]
- Hamidi, H.; Ivaska, J. Every step of the way: Integrins in cancer progression and metastasis. Nat. Rev. Cancer 2018, 18, 533–548. [Google Scholar] [CrossRef] [PubMed]
- Brooks, P.C. Requirement of Vascular Integrin alphaVbeta3 for Angiogenesis. Science 1994, 264, 569–571. [Google Scholar] [CrossRef]
- Hieken, T.J.; Farolan, M.; Ronan, S.G.; Shilkaitis, A.; Wild, L.; Das Gupta, T.K. β3 Integrin Expression in Melanoma Predicts Subsequent Metastasis. J. Surg. Res. 1996, 63, 169–173. [Google Scholar] [CrossRef]
- Yamada, S.; Bu, X.-Y.; Khankaldyyan, V.; Gonzales-Gomez, I.; McComb, J.G.; Laug, W.E. Effect of the Angiogenesis Inhibitor Cilengitide (EMD 121974) on Glioblastoma Growth in Nude Mice. Neurosurgery 2006, 59, 1304–1312. [Google Scholar] [CrossRef]
- Goodman, S.L.; Grote, H.J.; Wilm, C. Matched rabbit monoclonal antibodies against αv-series integrins reveal a novel αvβ3-LIBS epitope, and permit routine staining of archival paraffin samples of human tumors. Biol. Open 2012, 1, 329–340. [Google Scholar] [CrossRef]
- Schittenhelm, J.; Schwab, E.I.; Sperveslage, J.; Tatagiba, M.; Meyermann, R.; Fend, F.; Goodman, S.L.; Sipos, B. Longitudinal Expression Analysis of αv Integrins in Human Gliomas Reveals Upregulation of Integrin αvβ3 as a Negative Prognostic Factor. J. Neuropathol. Exp. Neurol. 2013, 72, 194–210. [Google Scholar] [CrossRef]
- Dome, B.; Raso, E.; Dobos, J.; Meszaros, L.; Varga, N.; Puskas, L.G.; Feher, L.Z.; Lorincz, T.; Ladanyi, A.; Trikha, M.; et al. Parallel Expression of αIIbβ3 and αvβ3 Integrins in Human Melanoma Cells Upregulates bFGF Expression and Promotes their Angiogenic Phenotype. Int. J. Cancer 2005, 116, 27–35. [Google Scholar] [CrossRef]
- Trikha, M.; Timar, J.; Lundy, S.K.; Szekeres, K.; Tang, K.; Grignon, D.; Porter, A.T.; Honn, K.V. Human Prostate Carcinoma Cells Express Functional αIIbβ3 Integrin. Cancer Res. 1996, 56, 5071–5078. [Google Scholar]
- Trikha, M.; Raso, E.; Cai, Y.; Fazakas, Z.; Paku, S.; Porter, A.T.; Timar, J.; Honn, K.V. Role of αIIbβ3 Integrin in Prostate Cancer Metastasis. Prostate 1998, 35, 185–192. [Google Scholar] [CrossRef]
- Bakewell, S.J.; Nestor, P.; Prasad, S.; Tomasson, M.H.; Dowland, N.; Mehrotra, M.; Scarborough, R.; Kanter, J.; Abe, K.; Phillips, D.; et al. Platelet and osteoclast β3 integrins are critical for bone metastasis. Proc. Natl. Acad. Sci. USA 2003, 100, 14205–14210. [Google Scholar] [CrossRef]
- Elaskalani, O.; Berndt, M.C.; Falasca, M.; Metharom, P. Targeting Platelets for the Treatment of Cancer. Cancers 2017, 9, 94. [Google Scholar] [CrossRef]
- Gay, L.J.; Felding-Habermann, B. Contribution of platelets to tumour metastasis. Nat. Rev. Cancer 2011, 11, 123–134. [Google Scholar] [CrossRef] [PubMed]
- Cohen, S.A.; Trikha, M.; Mascelli, M.A. Potential Future Clinical Applications for the GPIIb/IIIa Antagonist, Abciximab in Thrombosis, Vascular and Oncological Indications. Pathol. Onc. Res. 2000, 6, 163–174. [Google Scholar] [CrossRef] [PubMed]
- Ishikawa, M.; Tsushima, M.; Kubota, D.; Yamagisawa, Y.; Hiraiwa, Y.; Kojima, Y.; Ajito, K.; Anzai, N. A Scalable Synthesis of MN-447, an Antagonist for Integrins αvβ3 and αIIbβ3. Org. Process Res. Dev. 2008, 12, 596–602. [Google Scholar] [CrossRef]
- Escher, R.; Cung, T.; Stutz, M.; Haeberli, A.; Djonov, V.; Berchtold, P.; Hlushchuk, R. Antiaggregatory and proangiogenic effects of a novel recombinant human dual specificity anti-integrin antibody. J. Thromb. Haemost. 2009, 7, 460–469. [Google Scholar] [CrossRef]
- Matsuno, H.; Stassen, J.M.; Vermylen, J.; Deckmyn, H. Inhibition of integrin function by a cyclic RGD-containing peptide prevents neointima formation. Circulation 1994, 90, 2203–2206. [Google Scholar] [CrossRef]
- Trikha, M.; Timar, J.; Zacharek, A.; Nemeth, J.A.; Cai, Y.; Dome, B.; Somlai, B.; Raso, E.; Ladanyi, A.; Honn, K.V. Role for β3 Integrins in Human Melanoma Growth and Survival. Int. J. Cancer 2002, 101, 156–167. [Google Scholar] [CrossRef]
- Parvani, J.G.; Galliher-Beckley, A.J.; Schiemann, B.J.; Schiemann, W.P. Targeted inactivation of β1 integrin induces β3 integrin switching that drives breast cancer metastasis by TGF-β. Mol. Biol. Cell 2013, 24, 3449–3459. [Google Scholar] [CrossRef]
- Bonnans, C.; Chou, J.; Werb, Z. Remodelling the extracellular matrix in development and disease. Nat. Rev. Mol. Cell. Biol. 2014, 15, 786–801. [Google Scholar] [CrossRef] [PubMed]
- Carlinfante, G.; Vassiliou, D.; Svensson, O.; Wendel, M.; Heinegård, D.; Andersson, G. Differential expression of osteopontin and bone sialoprotein in bone metastasis of breast and prostate carcinoma. Clin. Exp. Metastasis 2003, 20, 437–444. [Google Scholar] [CrossRef] [PubMed]
- Mai, Z.; Lin, Y.; Lin, P.; Zhao, X.; Cui, L. Modulating extracellular matrix stiffness: A strategic approach to boost cancer immunotherapy. Cell Death Dis. 2024, 15, 307. [Google Scholar] [CrossRef]
- Theocharis, A.D.; Manou, D.; Karamanos, N.K. The extracellular matrix as a multitasking player in disease. FEBS J. 2019, 286, 2830–2869. [Google Scholar] [CrossRef]
- Nair, R.R.; Tolentino, J.; Hazlehurst, L.A. The bone marrow microenvironment as a sanctuary for minimal residual disease in CML. Biochem. Pharmacol. 2010, 80, 602–612. [Google Scholar] [CrossRef]
- Zanetti, C.; Krause, D.S. “Caught in the net”: The extracellular matrix of the bone marrow in normal hematopoiesis and leukemia. Exp. Hematol. 2020, 89, 13–25. [Google Scholar] [CrossRef]
- Sweet, K.L.; Hazlehurst, L.A.; Pinilla-Ibarz, J. The one-two punch: Combination treatment in chronic myeloid leukemia. Crit. Rev. Oncol. Hematol. 2013, 88, 667–697. [Google Scholar] [CrossRef] [PubMed]
- Ayala, F.; Dewar, R.; Kieran, M.; Kalluri, R. Contribution of bone microenvironment to leukemogenesis and leukemia progression. Leukemia 2009 23, 2233–2241. [CrossRef]
- Lundell, B.I.; McCarthy, J.B.; Kovach, N.L.; Verfaillie, C.M. Activation-dependent α5β1 integrin-mediated adhesion to fibronectin decreases proliferation of chronic myelogenous leukemia progenitors and K562 cells. Blood 1996, 87, 2450–2458. [Google Scholar] [CrossRef]
- Shin, J.-W.; Mooney, D.J. Extracellular matrix stiffness causes systematic variations in proliferation and chemosensitivity in myeloid leukemias. Proc. Natl. Acad. Sci. USA 2016, 113, 12126–12131. [Google Scholar] [CrossRef]
- Elsharif, A.A.; Patterson, L.H.; Shnyder, S.D.; Sheldrake, H.M. The role of integrins in acute leukemias and potential as targets for therapy. Tumor Microenviron. 2019, 1, 63–71. [Google Scholar] [CrossRef]
- Shen, Z.H.; Zeng, D.F.; Wang, X.Y.; Ma, Y.Y.; Zhang, X.; Kong, P.Y. Targeting of the leukemia microenvironment by c(RGDfV) overcomes the resistance to chemotherapy in acute myeloid leukemia in biomimetic polystyrene scaffolds. Oncol. Lett. 2016, 12, 3278–3284. [Google Scholar] [CrossRef]
- Zauli, G.; Bassini, A.; Vitale, M.; Gibellini, D.; Celeghini, C.; Caramelli, E.; Pierpaoli, S.; Guidotti, L.; Capitani, S. Thrombopoietin enhances the αIIbβ3-dependent adhesion of megakaryocytic cells to fibrinogen or fibronectin through PI3 kinase. Blood 1997, 89, 883–895. [Google Scholar] [CrossRef]
- Galletti, P.; Soldati, R.; Pori, M.; Durso, M.; Tolomelli, A.; Gentilucci, L.; Dattoli, S.D.; Baiula, M.; Spampinato, S.; Giacomini, D. Targeting integrins αvβ3 and α5β1 with new β-lactam derivatives. Eur. J. Med. Chem. 2014, 83, 284–293. [Google Scholar] [CrossRef] [PubMed]
- Ishikawa, M.; Kubota, D.; Yamamoto, M.; Kuroda, C.; Iguchi, M.; Koyanagi, A.; Murakami, S.; Ajito, K. Tricyclic pharmacophore-based molecules as novel integrin αvβ3 antagonists. Part 2: Synthesis of potent αvβ3/αIIbβ3 dual antagonists. Bioorg. Med. Chem. 2006, 14, 2109–2130. [Google Scholar] [CrossRef]
- Sutherland, M.; Gordon, A.; Al-Shammari, F.; Throup, A.; Cilia La Corte, A.; Philippou, H.; Shnyder, S.D.; Patterson, L.H.; Sheldrake, H.M. Synthesis and Biological Evaluation of Cyclobutane-Based β3 Integrin Antagonists: A Novel Approach to Targeting Integrins for Cancer Therapy. Cancers 2023, 15, 4023. [Google Scholar] [CrossRef]
- Blystone, S.D.; Graham, I.L.; Lindberg, F.P.; Brown, E.J. Integrin αvβ3 differentially regulates adhesive and phagocytic functions of the fibronectin receptor α5β1. J. Cell Biol. 1994, 127, 1129–1137. [Google Scholar] [CrossRef]
- Huang, R.; Zhao, L.; Chen, H.; Yin, R.H.; Li, C.Y.; Zhan, Y.Q.; Zhang, J.H.; Ge, C.H.; Yu, M.; Yang, X.M. Megakaryocytic differentiation of K562 cells induced by PMA reduced the activity of respiratory chain complex IV. PLoS ONE 2014, 9, e96246. [Google Scholar] [CrossRef] [PubMed]
- Cheng, T.; Wang, Y.; Dai, W. Transcription factor egr-1 is involved in phorbol 12-myristate 13-acetate-induced megakaryocytic differentiation of K562 cells. J. Biol. Chem. 1994, 269, 30848–30853. [Google Scholar] [CrossRef]
- Jalagadugula, G.; Dhanasekaran, D.N.; Rao, A.K. Phorbol 12-myristate 13-acetate (PMA) responsive sequence in Galphaq promoter during megakaryocytic differentiation. Regulation by EGR-1 and MAP kinase pathway. Thromb. Haemost. 2008, 100, 821–828. [Google Scholar] [CrossRef]
- Wandzik, K.; Zahn, C.; Dassler, K.; Fuchs, H. Substantial changes of cellular iron homeostasis during megakaryocytic differentiation of K562 cells. Develop. Growth Differ. 2009, 51, 555–565. [Google Scholar] [CrossRef] [PubMed]
- Jin, Y.; Wilhide, C.C.; Dang, C.; Li, L.; Li, S.-X.; Villa-Garcia, M.; Bray, P.F. Human integrin β3 gene expression: Evidence for a megakaryocytic cell-specific cis-acting element. Blood 1998, 92, 2777–2790. [Google Scholar] [CrossRef]
- Czyz, M.; Stasiak, M.; Boncela, J.; Cierniewsk, C.S. GATA-1 binding to the αV promoter negatively regulates expression of the integrin αV subunit in human leukemic K562 cells. Acta Biochim. Pol. 2002, 49, 19–28. [Google Scholar] [CrossRef] [PubMed]
- Thermofisher. Application Verification Testing for Immunofluorescence (Adherent and Suspension). Available online: https://www.thermofisher.com/uk/en/home/life-science/antibodies/antibodies-learning-center/antibodies-resource-library/antibody-application-testing-protocols/immunofluorescence-protocol-adherent-suspension-application-testing.html (accessed on 13 June 2025).
- Rijt, S.H.V.; Romero-Canelón, I.; Fu, Y.; Shnyder, S.D.; Sadler, P.J. Potent organometallic osmium compounds induce mitochondria-mediated apoptosis and S-phase cell cycle arrest in A549 non-small cell lung cancer cells. Metallomics 2014, 6, 1014–1022. [Google Scholar] [CrossRef]
- Duran, M.O.; Shaheed, S.U.; Sutton, C.W.; Shnyder, S.D. A Proteomic Investigation to Discover Candidate Proteins Involved in Novel Mechanisms of 5-Fluorouracil Resistance in Colorectal Cancer. Cells 2024, 13, 342. [Google Scholar] [CrossRef] [PubMed]
- Chou, T.C.; Martin, N. CompuSyn for Drug Combinations: PC Software and User’s Guide: A Computer Program for Quantitation of Synergism and Antagonism in Drug Combinations, and the Determination of IC50 and ED50 and LD50 Values; ComboSyn: Paramus, NJ, USA, 2005; Available online: https://www.combosyn.com (accessed on 13 June 2025).
- Harburger, D.S.; Calderwood, D.A. Integrin signalling at a glance. J. Cell Sci. 2009, 122, 159–163. [Google Scholar] [CrossRef]
- Nasulewicz-Goldeman, A.; Uszczynska, B.; Szczaurska-Nowak, K.; Wietrzyk, J. siRNA-mediated silencing of integrin β3 expression inhibits the metastatic potential of B16 melanoma cells. Oncol. Rep. 2012, 28, 1567–1573. [Google Scholar] [CrossRef]
- Pickarski, M.; Gleason, A.; Bednar, B.; Duong, L.T. Orally active αvβ3 integrin inhibitor MK-0429 reduces melanoma metastasis. Oncol. Rep. 2015, 33, 2737–2745. [Google Scholar] [CrossRef] [PubMed]
- Bosnjak, M.; Dolinsek, T.; Cemazar, M.; Kranjc, S.; Blagus, T.; Markelc, B.; Stimac, M.; Zavrsnik, J.; Kamensek, U.; Heller, L.; et al. Gene electrotransfer of plasmid AMEP, an Integrin targeted therapy, has antitumor and antiangiogenic action in murine B16 melanoma. Gene Ther. 2015, 22, 578–590. [Google Scholar] [CrossRef]
- Stupp, R.; Hegi, M.E.; Gorlia, T.; Erridge, S.C.; Perry, J.; Hong, Y.-K.; Aldape, K.D.; Lhermitte, B.; Pietsch, T.; Grujicic, D.; et al. Cilengitide combined with standard treatment for patients with newly diagnosed glioblastoma with methylated MGMT promoter (CENTRIC EORTC 26071-22072 study): A multicentre, randomised, open-label, phase 3 trial. Lancet Oncol. 2014, 15, 1100–1108. [Google Scholar] [CrossRef]
- Engebraaten, O.; Trikha, M.; Juell, S.; Garman-Vik, S.; Fodstad, O. Inhibition of in vivo tumour growth by the blocking of host αvβ3 and αIIbβ3 integrins. Anticancer. Res. 2009, 29, 131–137. [Google Scholar] [PubMed]
- Trikha, M.; Zhou, Z.; Timar, J.; Raso, E.; Kennel, M.; Emmell, E.; Nakada, M.T. Multiple roles for platelet GPIIb/IIIa and alphavbeta3 integrins in tumor growth, angiogenesis, and metastasis. Cancer Res. 2002, 62, 2824–2833. [Google Scholar]
- Varon, D.; Shai, E. Role of platelet-derived microparticles in angiogenesis and tumor progression. Discov. Med. 2009, 8, 237–241. [Google Scholar] [PubMed]
- Boettiger, D.; Huber, F.; Lynch, L.; Blystone, S. Activation of αvβ3-Vitronectin Binding Is a Multistage Process in which Increases in Bond Strength Are Dependent on Y747 and Y759 in the Cytoplasmic Domain of β3. Mol. Biol. Cell 2001, 12, 1227–1237. [Google Scholar] [CrossRef]
- Whalen, A.M.; Galasinski, S.C.; Shapiro, P.S.; Nahreine, T.S.; Ahn, N.G. Megakaryocytic Differentiation Induced by Constitutive Activation of Mitogen-Activated Protein Kinase Kinase. Mol. Cell. Biol. 1997, 17, 1947–1958. [Google Scholar] [CrossRef] [PubMed]
- Zhou, Z.L.; Ma, J.; Tong, M.-H.; Chan, B.P.; Wong, A.S.T.; Ngan, A.H.W. Nanomechanical measurement of adhesion and migration of leukemia cells with phorbol 12-myristate 13-acetate treatment. Int. J. Nanomed. 2016, 11, 6533–6545. [Google Scholar] [CrossRef]
- Baiula, M.; Cirillo, M.; Martelli, G.; Giraldi, V.; Gasparini, E.; Anelli, A.C.; Spampinato, S.M.; Giacomini, D. Selective integrin ligands promote cell internalization of the antineoplastic agent fluorouracil. ACS Pharmacol. Transl. Sci. 2021, 4, 1528–1542. [Google Scholar] [CrossRef]
- Cheng, W.; Feng, F.; Ma, C.; Wang, H. The effect of antagonizing RGD-binding integrin activity in papillary thyroid cancer cell lines. OncoTargets Ther. 2016, 9, 1415–1423. [Google Scholar] [CrossRef]
- Oliveira-Ferrer, L.; Hauschild, J.; Fiedler, W.; Bokemeyer, C.; Nippgen, J.; Celik, I.; Schuch, G. Cilengitide induces cellular detachment and apoptosis in endothelial and glioma cells mediated by inhibition of FAK/src/AKT pathway. J. Exp. Clin. Cancer Res. 2008, 27, 86. [Google Scholar] [CrossRef]
- Mould, A.P.; Craig, S.E.; Byron, S.K.; Humphries, M.J.; Jowitt, T.A. Disruption of integrin-fibronectin complexes by allosteric but not ligand-mimetic inhibitors. Biochem. J. 2014, 464, 301–313. [Google Scholar] [CrossRef]
- Varner, J.A.; Nakada, M.T.; Jordan, R.E.; Coller, B.S. Inhibition of Angiogenesis and Tumor Growth by Murine 7E3, the Parent Antibody of c7E3 Fab (Abciximab; ReoProTM). Angiogenesis 1999, 3, 53–60. [Google Scholar] [CrossRef] [PubMed]
- Gomes, N.; Vassy, J.; Lebos, C.; Arbeille, B.; Legrand, C.; Fauvel-Lefeve, F. Breast Adenocarcinoma Cell Adhesion to the Vascular Subendothelium in Whole Blood and under Flow Conditions: Effects of αvβ3 and αIIbβ3 Antagonists. Clin. Exp. Metastasis 2004, 21, 553–561. [Google Scholar] [CrossRef] [PubMed]
- Blagosklonny, M.V.; Conney, A.H. Combining Phorbol Ester (PMA) with UCN-01: Fueling Fire with Water. Cell Cycle 2002, 1, 258–259. [Google Scholar] [CrossRef]
- Han, Z.T.; Zhu, X.X.; Yang, R.Y.; Sun, J.Z.; Tian, G.F.; Liu, X.J.; Cao, G.S.; Newmark, H.L.; Conney, A.H.; Chang, R.L. Effect of intravenous infusions of 12-O-tetradecanoylphorbol-13-acetate (TPA) in patients with myelocytic leukemia: Preliminary studies on therapeutic efficacy and toxicity. Proc. Natl. Acad. Sci. USA 1998, 95, 5357–5361. [Google Scholar] [CrossRef] [PubMed]
- Ludbrook, S.B.; Barry, S.T.; Delves, C.J.; Horgan, C.M.T. The integrin alphavbeta3 is a receptor for the latency-associated peptides of transforming growth factors beta1 and beta3. Biochem. J. 2003, 369, 311–318. [Google Scholar] [CrossRef]
- Adams, J.; Anderson, E.C.; Blackham, E.E.; Chiu, Y.W.R.; Clarke, T.; Eccles, N.; Gill, L.A.; Haye, J.J.; Haywood, H.T.; Hoenig, C.R.; et al. Structure Activity Relationships of αv Integrin Antagonists for Pulmonary Fibrosis by Variation in Aryl Substituents. ACS Med. Chem. Lett. 2014, 5, 1207–1212. [Google Scholar] [CrossRef]
- Felding-Habermann, B.; O’Toole, T.E.; Smith, J.W.; Fransvea, E.; Ruggeri, Z.M.; Ginsberg, M.H.; Hughes, P.E.; Pampori, N.; Shattil, S.J.; Saveni, A.; et al. Integrin activation controls metastasis in human breast cancer. Proc. Natl. Acad. Sci. USA 2001, 98, 1853–1858. [Google Scholar] [CrossRef]






| K562 | cRGDfV (μM) | GR144053 (μM) | Total Dose (μM) | Adhesion CI Value | Detachment CI Value |
|---|---|---|---|---|---|
| +PMA | 5.0 | 5.0 | 10.0 | 0.33 | 0.20 |
| 10.0 | 10.0 | 20.0 | 0.34 | 0.12 | |
| 20.0 | 20.0 | 40.0 | 0.34 | 0.17 | |
| 40.0 | 40.0 | 80.0 | - | 0.16 | |
| −PMA | 5.0 | 5.0 | 10.0 | 0.25 | 0.18 |
| 10.0 | 10.0 | 20.0 | 0.42 | 0.13 | |
| 20.0 | 20.0 | 40.0 | 0.51 | 0.17 | |
| 40.0 | 40.0 | 80.0 | - | 0.19 |
| Antagonists | K562 − PMA IC50 ± SD (μM) | K562 + PMA IC50 ± SD (μM) |
|---|---|---|
| cRGDfV | 20 | 12.6 ± 6.4 |
| GR144053 | >20 | 14.1 ± 5.2 |
| GR144053 and cRGDfV | 17.7 ± 3.2 | 5.9 ± 1 |
Disclaimer/Publisher’s Note: The statements, opinions and data contained in all publications are solely those of the individual author(s) and contributor(s) and not of MDPI and/or the editor(s). MDPI and/or the editor(s) disclaim responsibility for any injury to people or property resulting from any ideas, methods, instructions or products referred to in the content. |
© 2025 by the authors. Licensee MDPI, Basel, Switzerland. This article is an open access article distributed under the terms and conditions of the Creative Commons Attribution (CC BY) license (https://creativecommons.org/licenses/by/4.0/).
Share and Cite
Elsharif, A.A.; Patterson, L.H.; Shnyder, S.D.; Sheldrake, H.M. K562 Chronic Myeloid Leukemia Cells as a Dual β3-Expressing Functional Cell Line Model to Investigate the Effects of Combined αIIbβ3 and αvβ3 Antagonism. Methods Protoc. 2025, 8, 73. https://doi.org/10.3390/mps8040073
Elsharif AA, Patterson LH, Shnyder SD, Sheldrake HM. K562 Chronic Myeloid Leukemia Cells as a Dual β3-Expressing Functional Cell Line Model to Investigate the Effects of Combined αIIbβ3 and αvβ3 Antagonism. Methods and Protocols. 2025; 8(4):73. https://doi.org/10.3390/mps8040073
Chicago/Turabian StyleElsharif, Amal A., Laurence H. Patterson, Steven D. Shnyder, and Helen M. Sheldrake. 2025. "K562 Chronic Myeloid Leukemia Cells as a Dual β3-Expressing Functional Cell Line Model to Investigate the Effects of Combined αIIbβ3 and αvβ3 Antagonism" Methods and Protocols 8, no. 4: 73. https://doi.org/10.3390/mps8040073
APA StyleElsharif, A. A., Patterson, L. H., Shnyder, S. D., & Sheldrake, H. M. (2025). K562 Chronic Myeloid Leukemia Cells as a Dual β3-Expressing Functional Cell Line Model to Investigate the Effects of Combined αIIbβ3 and αvβ3 Antagonism. Methods and Protocols, 8(4), 73. https://doi.org/10.3390/mps8040073

