Comparison of Commercially Available Thermostable DNA Polymerases with Reverse Transcriptase Activity in Coupled Reverse Transcription Polymerase Chain Reaction Assays
Abstract
1. Introduction
2. Materials and Methods
2.1. Enzymes and Reagents
2.2. Coupled End-Point RT-PCR
2.3. Coupled Real-Time RT-qPCR with an Intercalating Dye
2.4. Coupled Real-Time RT-qPCR with a TaqMan Probe
2.5. Data Analysis
3. Results
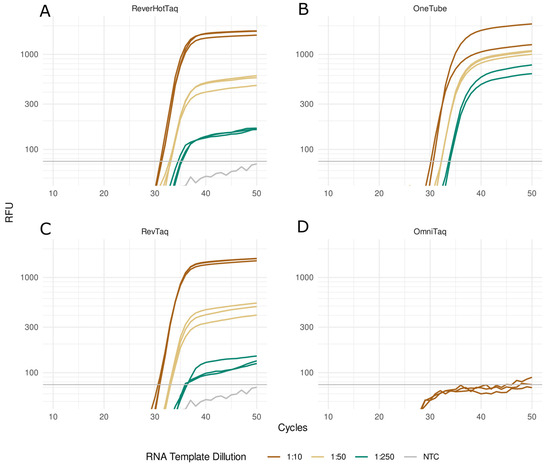
3.1. End-Point RT-PCR
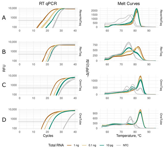
3.2. Real-Time RT-qPCR with an Intercalating Dye
3.3. Real-Time RT-qPCR with a TaqMan Probe
4. Discussion
5. Conclusions
Supplementary Materials
Author Contributions
Funding
Institutional Review Board Statement
Informed Consent Statement
Data Availability Statement
Acknowledgments
Conflicts of Interest
References
- Varlamov, D.A.; Blagodatskikh, K.A.; Smirnova, E.V.; Kramarov, V.M.; Ignatov, K.B. Combinations of PCR and Isothermal Amplification Techniques Are Suitable for Fast and Sensitive Detection of SARS-CoV-2 Viral RNA. Front. Bioeng. Biotechnol. 2020, 8, 604793. [Google Scholar] [CrossRef]
- Garafutdinov, R.R.; Mavzyutov, A.R.; Alekseev, Y.I.; Vorobev, A.A.; Nikonorov, Y.M.; Chubukova, O.V.; Matniyazov, R.T.; Baymiev, A.K.; Maksimov, I.V.; Kuluev, B.R.; et al. Human Betacoronaviruses and Their Highly Sensitive Detection by PCR and Other Amplification Methods. Biomics 2020, 12, 121–179. [Google Scholar] [CrossRef]
- Udugama, B.; Kadhiresan, P.; Kozlowski, H.N.; Malekjahani, A.; Osborne, M.; Li, V.Y.C.; Chen, H.; Mubareka, S.; Gubbay, J.B.; Chan, W.C.W. Diagnosing COVID-19: The Disease and Tools for Detection. ACS Nano 2020, 14, 3822–3835. [Google Scholar] [CrossRef] [PubMed]
- Ignatov, K.B.; Barsova, E.V.; Fradkov, A.F.; Blagodatskikh, K.A.; Kramarova, T.V.; Kramarov, V.M. A Strong Strand Displacement Activity of Thermostable DNA Polymerase Markedly Improves the Results of DNA Amplification. BioTechniques 2014, 57, 81–87. [Google Scholar] [CrossRef] [PubMed]
- Sellner, L.N.; Coelen, R.J.; Mackenzie, J.S. Reverse Transcriptase Inhibits Taq Polymerase Activity. Nucleic Acids Res. 1992, 20, 1487–1490. [Google Scholar] [CrossRef] [PubMed]
- Fehlmann, C.; Krapf, R.; Solioz, M. Reverse Transcriptase Can Block Polymerase Chain Reaction. Clin. Chem. 1993, 39, 368–369. [Google Scholar] [CrossRef] [PubMed]
- Chumakov, K.M. Reverse Transcriptase Can Inhibit PCR and Stimulate Primer-Dimer Formation. Genome Res. 1994, 4, 62–64. [Google Scholar] [CrossRef]
- Suslov, O. PCR Inhibition by Reverse Transcriptase Leads to an Overestimation of Amplification Efficiency. Nucleic Acids Res. 2005, 33, e181. [Google Scholar] [CrossRef]
- Tse, W.T.; Forget, B.G. Reverse Transcription and Direct Amplification of Cellular RNA Transcripts by Taq Polymerase. Gene 1990, 88, 293–296. [Google Scholar] [CrossRef] [PubMed]
- Myers, T.W.; Gelfand, D.H. Reverse Transcription and DNA Amplification by a Thermus Thermophilus DNA Polymerase. Biochemistry 1991, 30, 7661–7666. [Google Scholar] [CrossRef]
- Grebennikova, T.V.; Glukhov, A.I.; Chistiakova, L.G.; Kiselev, V.I.; Severin, E.S. Use of thermostable DNA polymerase from Thermus thermophilus KTP in a combined reverse transcription and amplification reaction of detecting interleukin 2alpha RNA and determining expression of the multidrug resistance gene (MDR-1). Mol. Biol. 1995, 29, 930–941. [Google Scholar] [PubMed]
- Grabko, V.I.; Chistyakova, L.G.; Lyapustin, V.N.; Korobko, V.G.; Miroshnikov, A.I. Reverse Transcription, Amplification and Sequencing of Poliovirus RNA by Taq DNA Polymerase. FEBS Lett. 1996, 387, 189–192. [Google Scholar] [CrossRef] [PubMed]
- Ong, J.L.; Loakes, D.; Jaroslawski, S.; Too, K.; Holliger, P. Directed Evolution of DNA Polymerase, RNA Polymerase and Reverse Transcriptase Activity in a Single Polypeptide. J. Mol. Biol. 2006, 361, 537–550. [Google Scholar] [CrossRef]
- Vichier-Guerre, S.; Ferris, S.; Auberger, N.; Mahiddine, K.; Jestin, J. A Population of Thermostable Reverse Transcriptases Evolved from Thermus Aquaticus DNA Polymerase I by Phage Display. Angew. Chem. Int. Ed. 2006, 45, 6133–6137. [Google Scholar] [CrossRef] [PubMed]
- Sauter, K.B.M.; Marx, A. Evolving Thermostable Reverse Transcriptase Activity in a DNA Polymerase Scaffold. Angew. Chem. Int. Ed. 2006, 45, 7633–7635. [Google Scholar] [CrossRef]
- Kranaster, R.; Drum, M.; Engel, N.; Weidmann, M.; Hufert, F.T.; Marx, A. One-step RNA Pathogen Detection with Reverse Transcriptase Activity of a Mutated Thermostable Thermus Aquaticus DNA Polymerase. Biotechnol. J. 2010, 5, 224–231. [Google Scholar] [CrossRef]
- Blatter, N.; Bergen, K.; Nolte, O.; Welte, W.; Diederichs, K.; Mayer, J.; Wieland, M.; Marx, A. Structure and Function of an RNA-Reading Thermostable DNA Polymerase. Angew. Chem. Int. Ed. 2013, 52, 11935–11939. [Google Scholar] [CrossRef]
- Kuiper, J.W.P.; Baade, T.; Kremer, M.; Kranaster, R.; Irmisch, L.; Schuchmann, M.; Zander, J.; Marx, A.; Hauck, C.R. Detection of SARS-CoV-2 from Raw Patient Samples by Coupled High Temperature Reverse Transcription and Amplification. PLoS ONE 2020, 15, e0241740. [Google Scholar] [CrossRef]
- Babler, K.M.; Sharkey, M.E.; Abelson, S.; Amirali, A.; Benitez, A.; Cosculluela, G.A.; Grills, G.S.; Kumar, N.; Laine, J.; Lamar, W.; et al. Degradation Rates Influence the Ability of Composite Samples to Represent 24-Hourly Means of SARS-CoV-2 and Other Microbiological Target Measures in Wastewater. Sci. Total Environ. 2023, 867, 161423. [Google Scholar] [CrossRef] [PubMed]
- Heller, R.C.; Chung, S.; Crissy, K.; Dumas, K.; Schuster, D.; Schoenfeld, T.W. Engineering of a Thermostable Viral Polymerase Using Metagenome-Derived Diversity for Highly Sensitive and Specific RT-PCR. Nucleic Acids Res. 2019, 47, 3619–3630. [Google Scholar] [CrossRef] [PubMed]
- Barnes, W.M.; Zhang, Z.; Kermekchiev, M.B. A Single Amino Acid Change to Taq DNA Polymerase Enables Faster PCR, Reverse Transcription and Strand-Displacement. Front. Bioeng. Biotechnol. 2021, 8, 553474. [Google Scholar] [CrossRef] [PubMed]
- Whiting, S.H.; Champoux, J.J. Strand Displacement Synthesis Capability of Moloney Murine Leukemia Virus Reverse Transcriptase. J. Virol. 1994, 68, 4747–4758. [Google Scholar] [CrossRef]
- Luo, Z.; Xue, Y.; Chen, X.; Zhang, J.; Lu, C. Manganese-Independent Reverse Transcriptase Activity of Tth DNAPolymerase with Two Amino Acid Substitutions. Protein Pept. Lett. 2023, 30, 193–200. [Google Scholar] [CrossRef]
- R Core Team. R: A Language and Environment for Statistical Computing; R Foundation for Statistical Computing: Vienna, Austria, 2021. [Google Scholar]
- Rödiger, S.; Burdukiewicz, M.; Spiess, A.-N.; Blagodatskikh, K. Enabling Reproducible Real-Time Quantitative PCR Research: The RDML Package. Bioinformatics 2017, 33, 4012–4014. [Google Scholar] [CrossRef] [PubMed]
- Rödiger, S.; Burdukiewicz, M.; Schierack, P. chipPCR: An R Package to Pre-Process Raw Data of Amplification Curves. Bioinformatics 2015, 31, 2900–2902. [Google Scholar] [CrossRef] [PubMed]
- Wickham, H. Ggplot2: Elegant Graphics for Data Analysis; Use R! 2nd ed.; Springer: Cham, Switzerland, 2016; ISBN 978-3-319-24277-4. [Google Scholar]
- Balaji, S.; Vanniarajan, A. Implication of Pseudo Reference Genes in Normalization of Data from Reverse Transcription-Quantitative PCR. Gene 2020, 757, 144948. [Google Scholar] [CrossRef] [PubMed]




| (A) RT-qPCR of GAPDH mRNA with EvaGreen Intercalating Dye | ||||
| Human Total RNA Per Reaction | 1 ng | 0.1 ng | 0.01 ng | NTC |
| ReverHotTaq | Cq 16.52 ± 0.25 ∆Cq −1.12 | Cq 20.22 ± 0.32 ∆Cq 0.04 | Cq 22.98 ± 0.09 ∆Cq −0.46 | Cq 25.96 ± 0.15 ∆Cq −8.14 |
| RevTaq | Cq 18.34 ± 0.07 ∆Cq 0.69 | Cq 20.89 ± 0.05 ∆Cq 0.71 | Cq 22.12 ± 0.05 ∆Cq −1.33 | Cq 22.53 ± 0.17 ∆Cq −11.58 |
| OmniTaq2 | Cq 24.01 ± 0.04 ∆Cq 6.36 | Cq 26.81 ± 0.06 ∆Cq 6.63 | Cq 28.65 ± 0.28 ∆Cq 5.19 | Cq 30.61 ± 0.30 ∆Cq −3.51 |
| OneTube RT-PCRMix | Cq 17.65 ± 0.11 ∆Cq 0 | Cq 20.18 ± 0.03 ∆Cq 0 | Cq 23.45 ± 0.11 ∆Cq 0 | Cq 34.11 ± 0.12 ∆Cq 0 |
| (B) RT-qPCR of SARS-CoV-2 Viral RNA with TaqMan Probe | ||||
| RNA Template Dilution | 1:10 | 1:50 | 1:250 | NTC |
| ReverHotTaq | Cq 31.51 ± 0.12 ∆Cq 1.01 | Cq 32.89 ± 0.14 ∆Cq 0.65 | Cq 34.94 ± 0.44 ∆Cq 1.24 | N/A 1 |
| RevTaq | Cq 31.15 ± 0.15 ∆Cq 0.65 | Cq 32.83 ± 0.06 ∆Cq 0.59 | Cq 36.72 ± 0.45 ∆Cq 3.02 | N/A 1 |
| OmniTaq2 | N/A | N/A | N/A | N/A 1 |
| OneTube RT-PCRMix | Cq 30.5 ± 0.49 ∆Cq 0 | Cq 32.24 ± 0.06 ∆Cq 0 | Cq 33.7 ± 0.17 ∆Cq 0 | N/A 1 |
Disclaimer/Publisher’s Note: The statements, opinions and data contained in all publications are solely those of the individual author(s) and contributor(s) and not of MDPI and/or the editor(s). MDPI and/or the editor(s) disclaim responsibility for any injury to people or property resulting from any ideas, methods, instructions or products referred to in the content. |
© 2025 by the authors. Licensee MDPI, Basel, Switzerland. This article is an open access article distributed under the terms and conditions of the Creative Commons Attribution (CC BY) license (https://creativecommons.org/licenses/by/4.0/).
Share and Cite
Smirnova, E.V.; Blagodatskikh, K.A.; Barsova, E.V.; Varlamov, D.A.; Kramarov, V.M.; Ignatov, K.B. Comparison of Commercially Available Thermostable DNA Polymerases with Reverse Transcriptase Activity in Coupled Reverse Transcription Polymerase Chain Reaction Assays. Methods Protoc. 2025, 8, 11. https://doi.org/10.3390/mps8010011
Smirnova EV, Blagodatskikh KA, Barsova EV, Varlamov DA, Kramarov VM, Ignatov KB. Comparison of Commercially Available Thermostable DNA Polymerases with Reverse Transcriptase Activity in Coupled Reverse Transcription Polymerase Chain Reaction Assays. Methods and Protocols. 2025; 8(1):11. https://doi.org/10.3390/mps8010011
Chicago/Turabian StyleSmirnova, Evgeniya V., Konstantin A. Blagodatskikh, Ekaterina V. Barsova, Dmitriy A. Varlamov, Vladimir M. Kramarov, and Konstantin B. Ignatov. 2025. "Comparison of Commercially Available Thermostable DNA Polymerases with Reverse Transcriptase Activity in Coupled Reverse Transcription Polymerase Chain Reaction Assays" Methods and Protocols 8, no. 1: 11. https://doi.org/10.3390/mps8010011
APA StyleSmirnova, E. V., Blagodatskikh, K. A., Barsova, E. V., Varlamov, D. A., Kramarov, V. M., & Ignatov, K. B. (2025). Comparison of Commercially Available Thermostable DNA Polymerases with Reverse Transcriptase Activity in Coupled Reverse Transcription Polymerase Chain Reaction Assays. Methods and Protocols, 8(1), 11. https://doi.org/10.3390/mps8010011

