Improvement of Electric Fish Optimization Algorithm for Standstill Label Combined with Levy Flight Strategy
Abstract
1. Introduction
- 1.
- This paper optimizes the EFO algorithm in complex environments by utilizing optimization schemes. In this paper, we introduce an adaptive search range adjustment mechanism based on historical fitness values, which enables the algorithm to accelerate the convergence speed while maintaining the global search capability, which provides a new solution for the adaptability of the algorithm.
- 2.
- In the active electric field localization stage of the EFO algorithm, we optimize the individual selection logic by introducing the distance threshold, which avoids the rapid aggregation of the algorithm in the early stages, so as to enhance the exploration ability of the algorithm.
- 3.
- In this paper, the golden sine operator is innovatively integrated in the passive electric field localization stage, and this strategy uses the golden ratio coefficient to guide the search steps and directions, which further improves the local search ability of the EFO algorithm.
- 4.
- Much of the existing research on meta-heuristic algorithm optimization focuses on avoiding local optima, without considering how to enable the algorithm to escape local optima once trapped. In addition to the systematic optimization strategies mentioned above, the SLLF-EFO algorithm proposed in this paper innovatively adopts a standstill label strategy to optimize the iterative process after becoming stuck in a local optimum. This strategy allows the algorithm individuals to actively escape after identifying themselves as trapped in a local optimum, thereby indirectly improving the algorithm’s overall global search ability.
- 5.
- During multiple experimental studies on the EFO algorithm, it was found that due to the randomness of the EFO algorithm’s values, there is a small probability that all the electric fish in the algorithm will be in passive electric field localization mode. Passive electric field localization requires the participation of individuals who use active electric field localization, but there are no individuals in the population with active electric field localization at this time, which causes the algorithm to suddenly interrupt or stop running, a phenomenon referred to as passive electric field localization stagnation in this paper. Although the probability of this situation occurring is extremely small, this paper introduces a variable-step-size Levy flight strategy to address it, which not only improves the global search ability of the algorithm but also resolves the passive electric field localization stagnation problem mentioned above.
2. Electric Fish Optimization Algorithm and Its Problems
2.1. Electric Fish Optimization Algorithm
2.1.1. Population Initialization
2.1.2. Active Electric Field Localization
2.1.3. Passive Electric Field Localization
2.2. Problems Encountered by EFO
- 1.
- Premature convergence: The characteristic of many heuristic algorithms, including the EFO algorithm, is to choose a better position to move to than the current one. In complex environments, the individual’s reference position may not be better than the current position. At this time, the individual will not move, resulting in multiple ineffective iterations and a significant decrease in algorithm efficiency, which is known as premature convergence [19,20,21].
- 2.
- Easy plunges into local optimum: Trapping in local optima is a common problem faced by most heuristic algorithms, and once trapped in a local optimum, individuals find it difficult to escape [22,23]. Due to the clustering trend of electric fish, the EFO algorithm is also susceptible to this problem, reducing its optimization ability.
- 3.
- Passive electric field localization stagnation: According to Equations (7) and (8), it can be inferred that the passive electric field localization operation of the EFO algorithm needs to refer to the position of the active individual in the field. During the operation of the EFO algorithm, there may be a situation where the electrical signal frequency of all individuals is very low, and all individuals are in passive mode. In this case, if there are no active-mode individuals on the field, it is difficult for all passive individuals to move and the algorithm comes to a standstill. After testing, it was found that the probability of this situation occurring is very small; it is referred to as the passive electric field localization stagnation problem in this article.
3. The SLLF-EFO Algorithm Proposed in This Article
3.1. Population Initialization
3.2. Adaptive Global Scope and Search Logic
3.2.1. Adaptive Global Scope
3.2.2. Optimization of Individual Selection Strategy for Active Electric Field Localization
3.2.3. Introduction of Golden Sine Operator
3.3. Variable-Step-Size Levy Flight Strategy
3.3.1. Levy Flight Strategy
3.3.2. Variable-Step-Movement Logic
3.4. Standstill Label Strategy
3.5. Complexity of SLLF-EFO Algorithm
- 1.
- Population initialization: Randomly assign positions to each individual in the search space, with a time complexity of , where N is the population size and D is the dimension of the search space.
- 2.
- Main loop process: During this process, individuals in the EFO algorithm use either active or passive electric field localization for movement operations, both of which may involve interactions between each individual and several other individuals in the population. Considering the worst-case scenario, where each individual in an iteration interacts with all other individuals in the population once, the time complexity of this stage is .
- 3.
- Termination condition check: Check whether the algorithm meets the termination condition after each iteration. This is a constant time operation with a time complexity of .
- 1.
- Population initialization: Using good point set theory for population initialization, the time complexity of this step is still .
- 2.
- Main loop process: For active electric field localization, this article introduces a strategy of adaptive global scope and search logic, which dynamically adjusts the global range without increasing complexity; the introduction of the distance threshold modifies the active electric localization search logic of individuals, but does not change the number of times individuals need to communicate with other individuals in the population in the original EFO algorithm. Therefore, the complexity of the active electric localization stage is still . And, for passive electric field localization, the golden sine operator we adopt only modifies the reference position of the individual, without modifying the wheel selection of the passive individual; moreover, the use of variable-step-size Levy flight strategy is also a solution to the passive electric field localization stagnation problem that occurs with extremely low probability, and its proportion in the iterative process can be ignored. Therefore, the complexity of passive electric localization in the SLLF-EFO algorithm is also the same as that in the EFO algorithm.
- 3.
- Standstill label strategy: This strategy is activated when the optimal individual is identified as being in a stagnant state. It involves performing a variable-step-size Levy flight operation, and the time complexity of this part is .
- 4.
- Termination condition check: Similar to the EFO algorithm, the SLLF-EFO algorithm checks whether the algorithm meets the termination condition after each iteration. The time complexity here is still .
4. Experiments Based on Benchmark Functions
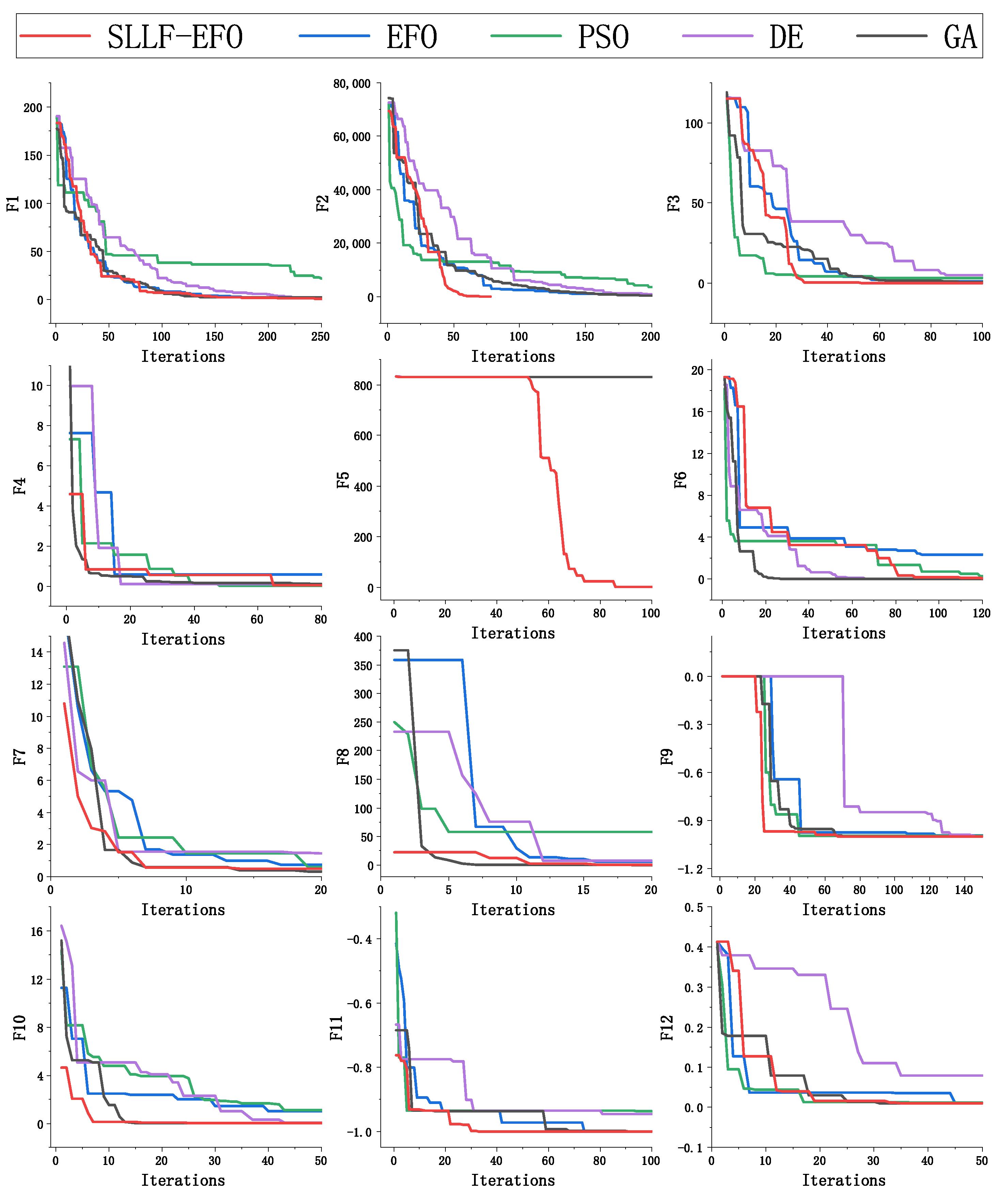
4.1. Test Functions and Comparison Algorithms
4.2. Speed Comparison with Other Algorithms
4.3. Accuracy Comparison with Other Algorithms
5. Conclusions
Author Contributions
Funding
Institutional Review Board Statement
Informed Consent Statement
Data Availability Statement
Acknowledgments
Conflicts of Interest
References
- Darvishpoor, S.; Darvishpour, A.; Escarcega, M.; Hassanalian, M. Nature-inspired algorithms from oceans to space: A comprehensive review of heuristic and meta-heuristic optimization algorithms and their potential applications in drones. Drones 2023, 7, 427. [Google Scholar] [CrossRef]
- Kourepinis, V.; Iliopoulou, C.; Tassopoulos, I.; Beligiannis, G. An artificial fish swarm optimization algorithm for the urban transit routing problem. Appl. Soft Comput. 2024, 155, 111446. [Google Scholar] [CrossRef]
- Zhao, W.; Wang, L.; Zhang, Z.; Fan, H.; Zhang, J.; Mirjalili, S.; Khodadadi, N.; Cao, Q. Electric eel foraging optimization: A new bio-inspired optimizer for engineering applications. Expert Syst. Appl. 2024, 238, 122200. [Google Scholar] [CrossRef]
- Braik, M.; Hammouri, A.; Atwan, J.; Al-Betar, M.A.; Awadallah, M.A. White Shark Optimizer: A novel bio-inspired meta-heuristic algorithm for global optimization problems. Knowl. Based Syst. 2022, 243, 108457. [Google Scholar] [CrossRef]
- Hu, G.; Guo, Y.; Wei, G.; Abualigah, L. Genghis Khan shark optimizer: A novel nature-inspired algorithm for engineering optimization. Adv. Eng. Inform. 2023, 58, 102210. [Google Scholar] [CrossRef]
- Yildizdan, G. MJS: A modified artificial jellyfish search algorithm for continuous optimization problems. Neural Comput. Appl. 2023, 35, 3483–3519. [Google Scholar] [CrossRef]
- Jia, H.; Rao, H.; Wen, C.; Mirjalili, S. Crayfish optimization algorithm. Artif. Intell. Rev. 2023, 56, 1919–1979. [Google Scholar] [CrossRef]
- Zhao, W.; Zhang, Z.; Wang, L. Manta ray foraging optimization: An effective bio-inspired optimizer for engineering applications. Eng. Appl. Artif. Intell. 2020, 87, 103300. [Google Scholar] [CrossRef]
- Yilmaz, S.; Sen, S. Electric fish optimization: A new heuristic algorithm inspired by electrolocation. Neural Comput. Appl. 2020, 32, 11543–11578. [Google Scholar] [CrossRef]
- Deepa, J.; Madhavan, P. ABT-GAMNet: A novel adaptive Boundary-aware transformer with Gated attention mechanism for automated skin lesion segmentation. Biomed. Signal Process. Control 2023, 84, 104971. [Google Scholar] [CrossRef]
- Ibrahim, R.A.; Abualigah, L.; Ewees, A.A.; Al-Qaness, M.A.; Yousri, D.; Alshathri, S.; Abd Elaziz, M. An electric fish-based arithmetic optimization algorithm for feature selection. Entropy 2021, 23, 1189. [Google Scholar] [CrossRef] [PubMed]
- Kumar, M.S.; Karri, G.R. Eeoa: Cost and energy efficient task scheduling in a cloud-fog framework. Sensors 2023, 23, 2445. [Google Scholar] [CrossRef] [PubMed]
- Rao, Y.S.; Madhu, R. Hybrid dragonfly with electric fish optimization-based multi user massive MIMO system: Optimization model for computation and communication power. Wirel. Pers. Commun. 2021, 120, 2519–2543. [Google Scholar] [CrossRef]
- Anirudh Reddy, R.; Venkatram, N. Intelligent energy efficient routing in wireless body area network with mobile sink nodes using horse electric fish optimization. Peer-to-Peer Netw. Appl. 2024, 17, 1527–1551. [Google Scholar] [CrossRef]
- Viswanadham, Y.V.R.S.; Jayavel, K. Design & Development of Hybrid Electric Fish-Harris Hawks Optimization-Based Privacy Preservation of Data in Supply Chain Network with Block Chain Technology. Int. J. Inf. Technol. Decis. Mak. 2023, 23, 1601–1632. [Google Scholar]
- Yılmaz, S.; Sen, S. Classification with the electric fish optimization algorithm. In Proceedings of the 2020 28th Signal Processing and Communications Applications Conference (SIU), Gaziantep, Turkey, 5–7 October 2020; pp. 1–4. [Google Scholar]
- Yıldız, Y.A.; Akkaş, Ö.P.; Saka, M.; Çoban, M.; Eke, İ. Electric fish optimization for economic load dispatch problem. Niğde Ömer Halisdemir Üniversitesi Mühendislik Bilimleri Dergisi. 2024, 13, 1. [Google Scholar]
- Vaishnavi, T.; Sheeba Joice, C. A novel self adaptive-electric fish optimization-based multi-lane changing and merging control strategy on connected and autonomous vehicle. Wirel. Netw. 2022, 28, 3077–3099. [Google Scholar] [CrossRef]
- Pandey, H.M.; Chaudhary, A.; Mehrotra, D. A comparative review of approaches to prevent premature convergence in GA. Appl. Soft Comput. 2014, 24, 1047–1077. [Google Scholar] [CrossRef]
- Nakisa, B.; Ahmad Nazri, M.Z.; Rastgoo, M.N.; Abdullah, S. A survey: Particle swarm optimization based algorithms to solve premature convergence problem. J. Comput. Sci. 2014, 10, 1758–1765. [Google Scholar] [CrossRef]
- Li, Y.; Lin, X.; Liu, J. An improved gray wolf optimization algorithm to solve engineering problems. Sustainability 2021, 13, 3208. [Google Scholar] [CrossRef]
- Engelbrecht, A.P. Particle swarm optimization: Global best or local best? In Proceedings of the 2013 BRICS Congress on Computational Intelligence and 11th Brazilian Congress on Computational Intelligence, Recife, Brazil, 8–11 September 2013; pp. 124–135. [Google Scholar]
- Islam, S.M.; Das, S.; Ghosh, S.; Roy, S.; Suganthan, P.N. An adaptive differential evolution algorithm with novel mutation and crossover strategies for global numerical optimization. IEEE Trans. Syst. Man Cybern. Part B (Cybern.) 2011, 42, 482–500. [Google Scholar] [CrossRef] [PubMed]
- Hua, L. The Application of Number Theory in Approximate Analysis; Science Press: Beijing, China, 1978; pp. 1–99. [Google Scholar]
- Zhang L, Z.B. Good Point Set Based Genetic Algorithm. Chin. J. Comput.-Chin. Ed. 2001, 24, 917–922. [Google Scholar]
- Chen, Y.X.; Liang, X.M.; Huang, Y. Improved quantum particle swarm optimization based on good-point set. J. Cent. South Univ. (Sci. Technol.) 2013, 4, 1409–1414. [Google Scholar]
- Tanyildizi, E.; Demir, G. Golden sine algorithm: A novel math-inspired algorithm. Adv. Electr. Comput. Eng. 2017, 17, 71–78. [Google Scholar] [CrossRef]
- Zhang, J.; Wang, J.S. Improved whale optimization algorithm based on nonlinear adaptive weight and golden sine operator. IEEE Access 2020, 8, 77013–77048. [Google Scholar] [CrossRef]
- Xie, W.; Wang, J.S.; Tao, Y. Improved black hole algorithm based on golden sine operator and levy flight operator. IEEE Access 2019, 7, 161459–161486. [Google Scholar] [CrossRef]
- Drysdale, P.; Robinson, P. Lévy random walks in finite systems. Phys. Rev. E 1998, 58, 5382. [Google Scholar] [CrossRef]
- Liu, Y.; Cao, B. A novel ant colony optimization algorithm with Levy flight. IEEE Access 2020, 8, 67205–67213. [Google Scholar] [CrossRef]
- Heidari, A.A.; Pahlavani, P. An efficient modified grey wolf optimizer with Lévy flight for optimization tasks. Appl. Soft Comput. 2017, 60, 115–134. [Google Scholar] [CrossRef]
- Gong, R.; Shi, W.; Zhu, Z. Optimization Algorithm for Slime Mould Based on Chaotic Mapping and Levy Flight. Comput. Digit. Eng. 2023, 51, 361–367. [Google Scholar]
- Mantegna, R.N. Fast, accurate algorithm for numerical simulation of Levy stable stochastic processes. Phys. Rev. E 1994, 49, 4677. [Google Scholar] [CrossRef] [PubMed]
- Bacaër, N. Verhulst and the logistic equation (1838). In A Short History of Mathematical Population Dynamics; Springer: London, UK, 2011; pp. 35–39. [Google Scholar]
- Kyurkchiev, N. A family of recurrence generated sigmoidal functions based on the Verhulst logistic function. Some approximation and modelling aspects. Biomath Commun. 2016, 3, 1–18. [Google Scholar] [CrossRef]
- Ma, Y.N.; Gong, Y.J.; Xiao, C.F.; Gao, Y.; Zhang, J. Path planning for autonomous underwater vehicles: An ant colony algorithm incorporating alarm pheromone. IEEE Trans. Veh. Technol. 2018, 68, 141–154. [Google Scholar] [CrossRef]
- Castillo-Villar, K.K. Metaheuristic algorithms applied to bioenergy supply chain problems: Theory, review, challenges, and future. Energies 2014, 7, 7640–7672. [Google Scholar] [CrossRef]
- Abdel-Basset, M.; Abdel-Fatah, L.; Sangaiah, A.K. Metaheuristic algorithms: A comprehensive review. In Computational Intelligence for Multimedia Big Data on the Cloud with Engineering Applications; Academic Press: Cambridge, MA, USA, 2018; pp. 185–231. [Google Scholar] [CrossRef]
- Nadimi-Shahraki, M.H.; Taghian, S.; Mirjalili, S. An improved grey wolf optimizer for solving engineering problems. Expert Syst. Appl. 2021, 166, 113917. [Google Scholar] [CrossRef]
- Liu, B.; Wang, L.; Jin, Y.H.; Tang, F.; Huang, D.X. Improved particle swarm optimization combined with chaos. Chaos Solitons Fractals 2005, 25, 1261–1271. [Google Scholar] [CrossRef]
- Guo, W.; Liu, T.; Dai, F.; Xu, P. An improved whale optimization algorithm for forecasting water resources demand. Appl. Soft Comput. 2020, 86, 105925. [Google Scholar] [CrossRef]
- Kennedy, J.; Eberhart, R. Particle swarm optimization. In Proceedings of the ICNN’95-International Conference on Neural Networks, Perth, WA, Australia, 27 November–1 December 1995; Volume 4, pp. 1942–1948. [Google Scholar]
- Price, K.V. Differential evolution. In Handbook of Optimization: From Classical to Modern Approach; Springer: Berlin/Heidelberg, Germany, 2013; pp. 187–214. [Google Scholar]
- Holland, J.H. Adaptation in Natural and Artificial Systems: An Introductory Analysis with Applications to Biology, Control, and Artificial Intelligence; MIT Press: Cambridge, MA, USA, 1992. [Google Scholar]
- Jamil, M.; Yang, X.S. A literature survey of benchmark functions for global optimisation problems. Int. J. Math. Model. Numer. Optim. 2013, 4, 150–194. [Google Scholar] [CrossRef]
- Li, F.; Guo, W.; Deng, X.; Wang, J.; Ge, L.; Guan, X. A hybrid shuffled frog leaping algorithm and its performance assessment in Multi-Dimensional symmetric function. Symmetry 2022, 14, 131. [Google Scholar] [CrossRef]
- Friedman, M. The use of ranks to avoid the assumption of normality implicit in the analysis of variance. J. Am. Stat. Assoc. 1937, 32, 675–701. [Google Scholar] [CrossRef]
- Wilcoxon, F. Individual Comparisons by Ranking Methods. Biom. Bull. 1945, 1, 80–83. [Google Scholar] [CrossRef]







| Serial Number | Function | Search Scope | Dimension | Optimum Value |
|---|---|---|---|---|
| F1 | Sphere | [−5.12, 5.12] | 30 | 0 |
| F2 | Step | [−100, 100] | 30 | 0 |
| F3 | Quartic | [−1.28, 1.28] | 30 | 0 |
| F4 | Rosenbrock | [−5, 10] | 30 | 0 |
| F5 | Schwefel | [−500, 500] | 30 | 0 |
| F6 | Ackley | [−32, 32] | 30 | 0 |
| F7 | Griewank | [−600, 600] | 30 | 0 |
| F8 | Bohachevsky | [−100, 100] | 2 | 0 |
| F9 | Easom | [−100, 100] | 2 | −1 |
| F10 | Rastrigin | [−5.12, 5.12] | 2 | 0 |
| F11 | Drop-Wave | [−5.12, 5.12] | 2 | −1 |
| F12 | Schaffer N6 | [−10, 10] | 2 | 0 |
| Function | Index | SLLF-EFO | EFO | PSO | DE | GA | SIF |
|---|---|---|---|---|---|---|---|
| F1 | — | Exceed | Exceed | Exceed | Exceed | Exceed | — |
| F2 | Min-Iter | 62 | 1005 | 2000 | 481 | 361 | 13.64 |
| Max-Iter | 441 | 2000 | 2000 | 572 | 827 | ||
| Mean-Iter | 112.17 | 1530.15 | 2000 | 540.34 | 502.61 | ||
| Over-Num | 0 | 4 | 100 | 0 | 0 | ||
| F3 | — | Exceed | Exceed | Exceed | Exceed | Exceed | — |
| F4 | Min-Iter | 2000 | 2000 | 831 | 2000 | 2000 | — |
| Max-Iter | 2000 | 2000 | 1291 | 2000 | 2000 | ||
| Mean-Iter | 2000 | 2000 | 1009.67 | 2000 | 2000 | ||
| Over-Num | 100 | 100 | 0 | 100 | 100 | ||
| F5 | — | Exceed | Exceed | Exceed | Exceed | Exceed | — |
| F6 | Min-Iter | 730 | 938 | 797 | 379 | 2000 | 1.57 |
| Max-Iter | 2000 | 2000 | 1158 | 464 | 2000 | ||
| Mean-Iter | 994.52 | 1563.65 | 1005.98 | 422.67 | 2000 | ||
| Over-Num | 6 | 31 | 0 | 0 | 100 | ||
| F7 | Min-Iter | 327 | 781 | 804 | 410 | 2000 | 1.32 |
| Max-Iter | 2000 | 2000 | 2000 | 2000 | 2000 | ||
| Mean-Iter | 1350.48 | 1789.35 | 1875.16 | 1093.83 | 2000 | ||
| Over-Num | 13 | 68 | 88 | 40 | 100 | ||
| F8 | Min-Iter | 109 | 157 | 514 | 207 | 2000 | 1.90 |
| Max-Iter | 139 | 801 | 1074 | 283 | 2000 | ||
| Mean-Iter | 122.51 | 223.23 | 798.59 | 250.04 | 2000 | ||
| Over-Num | 0 | 0 | 0 | 0 | 100 | ||
| F9 | Min-Iter | 375 | 803 | 529 | 259 | 2000 | 2.33 |
| Max-Iter | 1483 | 1970 | 1007 | 2000 | 2000 | ||
| Mean-Iter | 596.18 | 1388.08 | 773.71 | 431.93 | 2000 | ||
| Over-Num | 0 | 0 | 0 | 5 | 100 | ||
| F10 | Min-Iter | 105 | 187 | 517 | 181 | 2000 | 2.00 |
| Max-Iter | 229 | 756 | 1054 | 260 | 2000 | ||
| Mean-Iter | 140.89 | 281.13 | 761.67 | 226.42 | 2000 | ||
| Over-Num | 0 | 0 | 0 | 0 | 100 | ||
| F11 | Min-Iter | 162 | 403 | 506 | 371 | 2000 | 3.30 |
| Max-Iter | 582 | 2000 | 2000 | 2000 | 2000 | ||
| Mean-Iter | 263.02 | 868.33 | 771.86 | 550.53 | 2000 | ||
| Over-Num | 0 | 10 | 1 | 4 | 100 | ||
| F12 | Min-Iter | 302 | 931 | 585 | 510 | 2000 | 2.38 |
| Max-Iter | 2000 | 2000 | 2000 | 2000 | 2000 | ||
| Mean-Iter | 796.27 | 1894.89 | 1218.83 | 1263.89 | 2000 | ||
| Over-Num | 4 | 72 | 31 | 33 | 100 |
| Function | Index | SLLF-EFO | EFO | PSO | DE | GA | Ratio |
|---|---|---|---|---|---|---|---|
| F1 | Min | 1.86356 | 6.05359 | 7.46691 | 5.14144 | 4.29041 | 3.25 |
| Max | 6.17920 | 1.34577 | 5.734946 | 1.07362 | 1.022556 | 21.78 | |
| Mean | 4.60575 | 4.85313 | 8.078069 | 2.45612 | 8.01901 | 105.37 | |
| Std | 9.74995 | 3.05088 | 1.408101 | 1.89315 | 1.16547 | 31.29 | |
| F2 | Min | 0 | 0 | 31 | 0 | 0 | — |
| Max | 0 | 1 | 2.0269 | 0 | 0 | INF | |
| Mean | 0 | 0.04 | 3.306320 | 0 | 0 | INF | |
| Std | 0 | 1.96946 | 5.036425 | 0 | 0 | INF | |
| F3 | Min | 4.70747 | 1.13327 | 3.69332 | 1.36835 | 1.27985 | 240.74 |
| Max | 9.13077 | 8.24585 | 3.76160 | 4.20763 | 4.87395 | 9.03 | |
| Mean | 3.14774 | 3.89538 | 1.58296 | 2.69964 | 3.26350 | 12.38 | |
| Std | 1.78131 | 1.24362 | 5.36132 | 6.63866 | 6.72907 | 6.98 | |
| F4 | Min | 1.95206 | 5.10639 | 0 | 6.79406 | 1.32225 | 2.62 |
| Max | 4.26540 | 6.63270 | 0 | 5.45878 | 5.02718 | 15.55 | |
| Mean | 8.54922 | 7.36785 | 0 | 7.45493 | 3.19381 | 8.62 | |
| Std | 8.84378 | 1.29638 | 0 | 5.48703 | 7.32088 | 14.66 | |
| F5 | Min | 2.54551 | 8.318099 | 8.318099 | 8.318099 | 8.318099 | 3.27 |
| Max | 2.54551 | 8.318099 | 8.318099 | 8.318099 | 8.318099 | 3.27 | |
| Mean | 2.54551 | 8.318099 | 8.318099 | 8.318099 | 8.318099 | 3.27 | |
| Std | 2.26102 | 0 | 0 | 0 | 0 | — | |
| F6 | Min | 0 | 0 | 0 | 0 | 3.58210 | — |
| Max | 7.10543 | 3.59945 | 0 | 0 | 9.50181 | 5.07 | |
| Mean | 2.84217 | 1.76731 | 0 | 0 | 3.99185 | 6.22 | |
| Std | 1.20346 | 5.21965 | 0 | 0 | 2.27945 | 4.33 | |
| F7 | Min | 0 | 0 | 0 | 0 | 2.62129 | — |
| Max | 8.35549 | 9.85816 | 7.63995 | 2.95866 | 1.36342 | 1.18 | |
| Mean | 8.43037 | 5.04985 | 1.74564 | 3.69777 | 1.99633 | 5.99 | |
| Std | 8.35483 | 1.88671 | 1.68058 | 5.27329 | 1.98104 | 2.26 | |
| F8 | Min | 0 | 0 | 0 | 0 | 2.25695 | — |
| Max | 0 | 0 | 0 | 0 | 2.93853 | — | |
| Mean | 0 | 0 | 0 | 0 | 5.41664 | — | |
| Std | 0 | 0 | 0 | 0 | 5.76108 | — | |
| F9 | Min | −1 | −1 | −1 | −1 | −0.999999999 | — |
| Max | −1 | −1 | −1 | 0 | −0.999999798 | — | |
| Mean | −1 | −1 | −1 | −0.95 | −0.999999957 | — | |
| Std | 0 | 0 | 0 | 2.19043 | 4.36475 | — | |
| F10 | Min | 0 | 0 | 0 | 0 | 2.25695 | — |
| Max | 0 | 0 | 0 | 0 | 5.49201 | — | |
| Mean | 0 | 0 | 0 | 0 | 8.15796 | — | |
| Std | 0 | 0 | 0 | 0 | 9.64681 | — | |
| F11 | Min | −1 | −1 | −1 | −1 | −0.999999999 | — |
| Max | −1 | −0.999985339 | −0.936245328 | −0.936245328 | −0.999997414 | INF | |
| Mean | −1 | −0.999999843 | −0.999362453 | −0.997449813 | −0.999999729 | INF | |
| Std | 0 | 1.46723 | 6.37547 | 1.25563 | 3.38904 | INF | |
| F12 | Min | 0 | 0 | 0 | 0 | 3.15666 | — |
| Max | 4.70372 | 9.71591 | 9.71591 | 9.71591 | 9.71591 | 2.07 | |
| Mean | 4.71959 | 6.14620 | 3.01193 | 3.20625 | 3.81969 | 1.30 | |
| Std | 4.70359 | 2.19889 | 4.51618 | 4.59156 | 4.32392 | 4.67 |
| Serial Number | SLLF-EFO | EFO | PSO | DE | GA |
|---|---|---|---|---|---|
| F1 | 2 | 3 | 5 | 1 | 4 |
| F2 | 2 | 5 | 4 | 2 | 2 |
| F3 | 1 | 3 | 5 | 2 | 4 |
| F4 | 3 | 4 | 1 | 2 | 5 |
| F5 | 1 | 3.5 | 3.5 | 3.5 | 3.5 |
| F6 | 3 | 5 | 1.5 | 1.5 | 4 |
| F7 | 1 | 2 | 4 | 3 | 5 |
| F8 | 2.5 | 2.5 | 2.5 | 2.5 | 5 |
| F9 | 2 | 2 | 2 | 4 | 5 |
| F10 | 2.5 | 2.5 | 2.5 | 2.5 | 5 |
| F11 | 1 | 2 | 4 | 5 | 3 |
| F12 | 1 | 2 | 3 | 4 | 5 |
Disclaimer/Publisher’s Note: The statements, opinions and data contained in all publications are solely those of the individual author(s) and contributor(s) and not of MDPI and/or the editor(s). MDPI and/or the editor(s) disclaim responsibility for any injury to people or property resulting from any ideas, methods, instructions or products referred to in the content. |
© 2024 by the authors. Licensee MDPI, Basel, Switzerland. This article is an open access article distributed under the terms and conditions of the Creative Commons Attribution (CC BY) license (https://creativecommons.org/licenses/by/4.0/).
Share and Cite
Luo, W.; Wu, H.; Peng, J. Improvement of Electric Fish Optimization Algorithm for Standstill Label Combined with Levy Flight Strategy. Biomimetics 2024, 9, 677. https://doi.org/10.3390/biomimetics9110677
Luo W, Wu H, Peng J. Improvement of Electric Fish Optimization Algorithm for Standstill Label Combined with Levy Flight Strategy. Biomimetics. 2024; 9(11):677. https://doi.org/10.3390/biomimetics9110677
Chicago/Turabian StyleLuo, Wangzhou, Hailong Wu, and Jiegang Peng. 2024. "Improvement of Electric Fish Optimization Algorithm for Standstill Label Combined with Levy Flight Strategy" Biomimetics 9, no. 11: 677. https://doi.org/10.3390/biomimetics9110677
APA StyleLuo, W., Wu, H., & Peng, J. (2024). Improvement of Electric Fish Optimization Algorithm for Standstill Label Combined with Levy Flight Strategy. Biomimetics, 9(11), 677. https://doi.org/10.3390/biomimetics9110677
