Study on the Effect of Flexible Passive Deformation of Tuna Caudal Fin on Swimming Performance
Abstract
1. Introduction
2. Materials and Methods
2.1. Geometrical Model
2.2. Motion and Deformation
2.3. Numerical Method
2.4. Validation
3. Results and Discussions
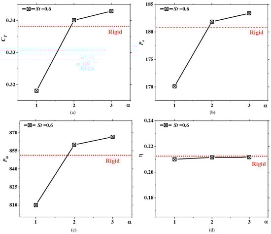
3.1. Case 1: = 0.6
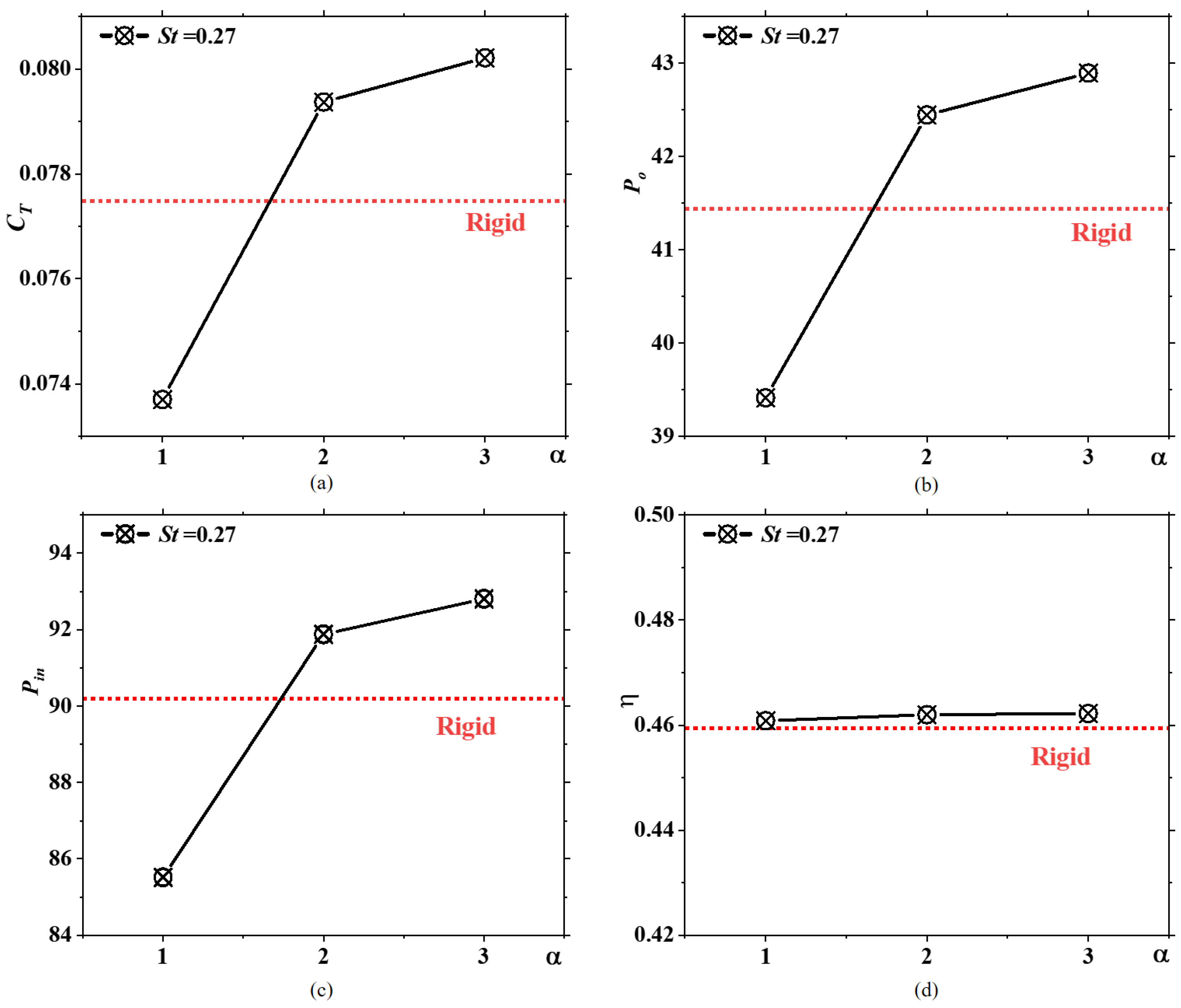
3.2. Case 2: = 0.27
3.3. The Effect of St on the Propulsion Performance of Flexible Caudal Fins
4. Conclusions
- Whether at or , caudal fins with medium flexibility achieve higher thrust coefficients. However, the mechanisms for increasing thrust differ at different values. At , medium flexibility enhances thrust by suppressing secondary flows in the wake that are detrimental to thrust generation. At , increased thrust is achieved by enhancing the vortex ring structures in the wake, thereby strengthening the backward jet.
- At and , the flexibility of the caudal fin has no significant impact on propulsion efficiency.
- At , both rigid and flexible caudal fins exhibit much higher propulsion efficiency compared to . As increases, the unsteady effects of passive deformation become more pronounced, making the impact of the rigidity coefficient on propulsion performance more pronounced.
Author Contributions
Funding
Institutional Review Board Statement
Data Availability Statement
Acknowledgments
Conflicts of Interest
References
- Sun, P.-N.; Colagrossi, A.; Zhang, A.-M. Numerical simulation of the self-propulsive motion of a fishlike swimming foil using the δ+-sph model. Theor. Appl. Mech. Lett. 2018, 8, 115–125. [Google Scholar] [CrossRef]
- Huang, X.-T.; Sun, P.-N.; Lyu, H.-G.; Zhang, A.-M. Numerical investigations on bionic propulsion problems using the multi-resolution delta-plus sph model. Eur. J. Mech.-B/Fluids 2022, 95, 106–121. [Google Scholar] [CrossRef]
- Huang, X.-T.; Sun, P.-N.; Lyu, H.-G.; Zhong, S.-Y. Study of 3d self-propulsive fish swimming using the δ+-sph model. Acta Mech. Sin. 2023, 39, 722053. [Google Scholar] [CrossRef]
- Gao, T.-Y.; Sun, P.-N.; Huang, X.-T.; Zhao, J.-L.; Xu, Y.; Zhong, S.-Y. Numerical simulation of manta ray swimming using a smoothed-particle hydrodynamics method and investigation of the vortical structures in the wake. Phys. Fluids 2024, 36, 091915. [Google Scholar] [CrossRef]
- Webb, P.W. Hydrodynamics and energetics of fish propulsion. Bull Fish ResBd Can 1975, 190, 1–159. [Google Scholar]
- Yang, L.; Su, Y.-m. Cfd simulation of flow features and vorticity structures in tuna-like swimming. China Ocean Eng. 2011, 25, 73–82. [Google Scholar] [CrossRef]
- Dewar, H.; Graham, J.B. Studies of tropical tuna swimming performance in a large water tunnel: Iii. kinematics. J. Exp. 1994, 192, 45–59. [Google Scholar] [CrossRef]
- Triantafyllou, M.S.; Triantafyllou, G.S. An efficient swimming machine. Sci. Am. 1995, 272, 64–70. [Google Scholar] [CrossRef]
- Donley, J.M.; Dickson, K.A. Swimming kinematics of juvenile kawakawa tuna (Euthynnus affinis) and chub mackerel (Scomber japonicus). J. Exp. Biol. 2000, 203, 3103–3116. [Google Scholar] [CrossRef]
- Donley, J.M.; Sepulveda, C.A.; Konstantinidis, P.; Gemballa, S.; Shadwick, R.E. Convergent evolution in mechanical design of lamnid sharks and tunas. Nature 2004, 429, 61–65. [Google Scholar] [CrossRef]
- Sfakiotakis, M.; Lane, D.M.; Davies, J.B.C. Review of fish swimming modes for aquatic locomotion. IEEE J. Ocean. Eng. 1999, 24, 237–252. [Google Scholar] [CrossRef]
- Chopra, M.; Kambe, T. Hydromechanics of lunate-tail swimming propulsion. Part 2. J. Fluid Mech. 1977, 79, 49–69. [Google Scholar] [CrossRef]
- Adkins, D.; Yan, Y. Cfd simulation of fish-like body moving in viscous liquid. J. Bionic Eng. 2006, 3, 147–153. [Google Scholar] [CrossRef]
- Zhang, X.; Su, Y.-m.; Wang, Z.-l. Numerical and experimental studies of influence of the caudal fin shape on the propulsion performance of a flapping caudal fin. J. Hydrodyn. Ser. B 2011, 23, 325–332. [Google Scholar] [CrossRef]
- Li, G.-j.; Luodin, Z.; Lu, X.-y. Numerical studies on locomotion perfromance of fish-like tail fins. J. Hydrodyn. Ser.B 2012, 24, 488–495. [Google Scholar] [CrossRef]
- Chang, X.; Zhang, L.; He, X. Numerical study of the thunniform mode of fish swimming with different reynolds number and caudal fin shape. Comput. Fluids 2012, 68, 54–70. [Google Scholar] [CrossRef]
- Shelton, R.M.; Thornycroft, P.J.; Lauder, G.V. Undulatory locomotion of flexible foils as biomimetic models for understanding fish propulsion. J. Exp. Biol. 2014, 217, 2110–2120. [Google Scholar] [CrossRef]
- Feilich, K.L.; Lauder, G.V. Passive mechanical models of fish caudal fins: Effects of shape and stiffness on self-propulsion. Bioinspir. Biomim. 2015, 10, 036002. [Google Scholar] [CrossRef]
- Liu, P.; Wang, S.; Liu, R.; Shang, Z. Effects of st and re on propulsive performance of bionic oscillating caudal fin. Ocean Eng. 2020, 217, 107933. [Google Scholar] [CrossRef]
- Vignesh, D.; Asokan, T.; Vijayakumar, R. Performance analysis of a caudal fin in open water and its coupled interaction with a biomimetic auv. Ocean Eng. 2024, 291, 116348. [Google Scholar]
- Hua, R.-N.; Zhu, L.; Lu, X.-Y. Locomotion of a flapping flexible plate. Phys. Fluids 2013, 25, 121901. [Google Scholar] [CrossRef]
- Li, G.-J.; Lu, X.-Y. Force and power of flapping plates in a fluid. J. Fluid Mech. 2012, 712, 598–613. [Google Scholar] [CrossRef]
- Zhu, X.; He, G.; Zhang, X. How flexibility affects the wake symmetry properties of a self-propelled plunging foil. J. Fluidmechanics 2014, 751, 164–183. [Google Scholar] [CrossRef]
- Tang, C.; Liu, N.-S.; Lu, X.-Y. Dynamics of an inverted flexible plate in a uniform flow. Phys. Fluids 2015, 27, 073601. [Google Scholar] [CrossRef]
- Peng, Z.-R.; Huang, H.; Lu, X.-Y. Hydrodynamic schooling of multiple self-propelled flapping plates. J. Fluid Mech. 2018, 853, 587–600. [Google Scholar] [CrossRef]
- Sun, Y.; Peng, Z.-R.; Yang, D.; Xiong, Y.; Wang, L.; Wang, L. Dynamics of a rigid-flexible coupling system in a uniform flow. J. Fluid Mech. 2022, 943, A44. [Google Scholar] [CrossRef]
- Zhou, K.; Liu, J.; Chen, W. Numerical study on hydrodynamic performance of bionic caudal fin. Appl. Sci. 2016, 6, 15. [Google Scholar] [CrossRef]
- Huang, S.; Guo, D.; Wang, Y.; Yang, G.; Yin, B. Hydrodynamics of morphology for thunniform swimmers: Effects of the posterior body shape. Ocean Eng. 2023, 272, 113866. [Google Scholar] [CrossRef]
- Wang, S.; Liu, P.; Lyu, Y.; Li, Y.; Chen, C.; Huo, J.; Liu, Z. Effects of cupped deformation on hydrodynamic performance of oscillating caudal fin. Ocean Eng. 2024, 307, 118234. [Google Scholar] [CrossRef]
- Versteeg, H.K.; Malalasekera, W. An introduction to Computational Fluid Dynamics: The Finite Volume Method; Pearson Education: London, UK, 2007. [Google Scholar]
- Menter, F.R. Two-equation eddy-viscosity turbulence models for engineering applications. AIAA J. 1994, 32, 1598–1605. [Google Scholar] [CrossRef]
- Wei, C.; Hu, Q.; Shi, X.; Zeng, Y. A comparison for hydrodynamic performance of undulating fin propulsion on numerical self-propulsion and tethered models. Ocean. Eng. 2022, 265, 112471. [Google Scholar] [CrossRef]
- Borazjani, I.; Sotiropoulos, F. Numerical investigation of the hydrodynamics of carangiform swimming in the transitional and inertial flow regimes. J. Exp. Biol. 2008, 211, 1541–1558. [Google Scholar] [CrossRef] [PubMed]
- Zhang, D.; Pan, G.; Chao, L.; Zhang, Y. Effects of Reynolds number and thickness on an undulatory self-propelled foil. Phys. Fluids 2018, 30, 071902. [Google Scholar] [CrossRef]
- Hu, Q.-Q.; Yu, Y.-L. The hydrodynamic effects of undulating patterns on propulsion and braking performances of long-based fin. Aip Adv. 2022, 12, 035319. [Google Scholar] [CrossRef]
- Kern, S.; Koumoutsakos, P.; Eschler, K. Optimization of anguilliform swimming. Phys. Fluids 2007, 19, 91102. [Google Scholar] [CrossRef]
- Anderson, J.M.; Streitlien, K.; Barrett, D.; Triantafyllou, M.S. “Oscillating foils of high propulsive efficiency. J. Fluidmech. 1998, 360, 41–72. [Google Scholar] [CrossRef]
- Triantafyllou, G.S.; Triantafyllou, M.S.; Grosenbaugh, M.A. Optimal thrust development in oscillating foils with application to fish propulsion. J. Fluids Struct. 1993, 7, 205–224. [Google Scholar] [CrossRef]











| Case | f | ||||
|---|---|---|---|---|---|
| Benchmark | 0.2 m | 0.1 m | 0.5 Hz | 0.3 | |
| Case 1 | 0.37 m | 0.17 m | 2 Hz | 0.27 | |
| Case 2 | 0.37 m | 0.255 m | 3 Hz | 0.6 |
| 0.27 | ∞ | 90.2001 | 41.4398 | 0.459421 | 16.5759 | 0.07749 |
| 1 | 85.5195 | 39.4107 | 0.460839 | 15.7643 | 0.073697 | |
| 2 | 91.8757 | 42.4444 | 0.461976 | 16.9778 | 0.07937 | |
| 3 | 92.8040 | 42.8932 | 0.462191 | 17.1573 | 0.08021 | |
| 0.6 | ∞ | 851.3552 | 180.8060 | 0.212374 | 72.3224 | 0.3381 |
| 1 | 809.9895 | 170.1120 | 0.210018 | 68.0448 | 0.31811 | |
| 2 | 860.0029 | 181.8507 | 0.211454 | 72.7403 | 0.34006 | |
| 3 | 866.6092 | 183.3821 | 0.211609 | 73.3528 | 0.34292 |
Disclaimer/Publisher’s Note: The statements, opinions and data contained in all publications are solely those of the individual author(s) and contributor(s) and not of MDPI and/or the editor(s). MDPI and/or the editor(s) disclaim responsibility for any injury to people or property resulting from any ideas, methods, instructions or products referred to in the content. |
© 2024 by the authors. Licensee MDPI, Basel, Switzerland. This article is an open access article distributed under the terms and conditions of the Creative Commons Attribution (CC BY) license (https://creativecommons.org/licenses/by/4.0/).
Share and Cite
Zhong, S.-Y.; Gao, T.-Y.; Huang, W.-P.; Sun, P.-N.; Yu, C.; Zhao, W.; Guo, Z.-Q. Study on the Effect of Flexible Passive Deformation of Tuna Caudal Fin on Swimming Performance. Biomimetics 2024, 9, 669. https://doi.org/10.3390/biomimetics9110669
Zhong S-Y, Gao T-Y, Huang W-P, Sun P-N, Yu C, Zhao W, Guo Z-Q. Study on the Effect of Flexible Passive Deformation of Tuna Caudal Fin on Swimming Performance. Biomimetics. 2024; 9(11):669. https://doi.org/10.3390/biomimetics9110669
Chicago/Turabian StyleZhong, Shi-Yun, Tian-Yu Gao, Wei-Pei Huang, Peng-Nan Sun, Chao Yu, Wang Zhao, and Zhi-Qun Guo. 2024. "Study on the Effect of Flexible Passive Deformation of Tuna Caudal Fin on Swimming Performance" Biomimetics 9, no. 11: 669. https://doi.org/10.3390/biomimetics9110669
APA StyleZhong, S.-Y., Gao, T.-Y., Huang, W.-P., Sun, P.-N., Yu, C., Zhao, W., & Guo, Z.-Q. (2024). Study on the Effect of Flexible Passive Deformation of Tuna Caudal Fin on Swimming Performance. Biomimetics, 9(11), 669. https://doi.org/10.3390/biomimetics9110669

