A Microfluidic Design for Quantitative Measurements of Shear Stress-Dependent Adhesion and Motion of Dictyostelium discoideum Cells
Abstract
1. Introduction
2. Materials and Methods
2.1. Cell Culture
2.2. Microfluidic Device Fabrication
2.3. Videomicroscopy and Image Analysis
2.4. Cell Seeding and Application of Shear Stress
2.5. Statistical Analysis
2.6. Computer Simulation
3. Results
3.1. Device Design and Shear Stress Simulation
3.2. Cell Tracking and Migration
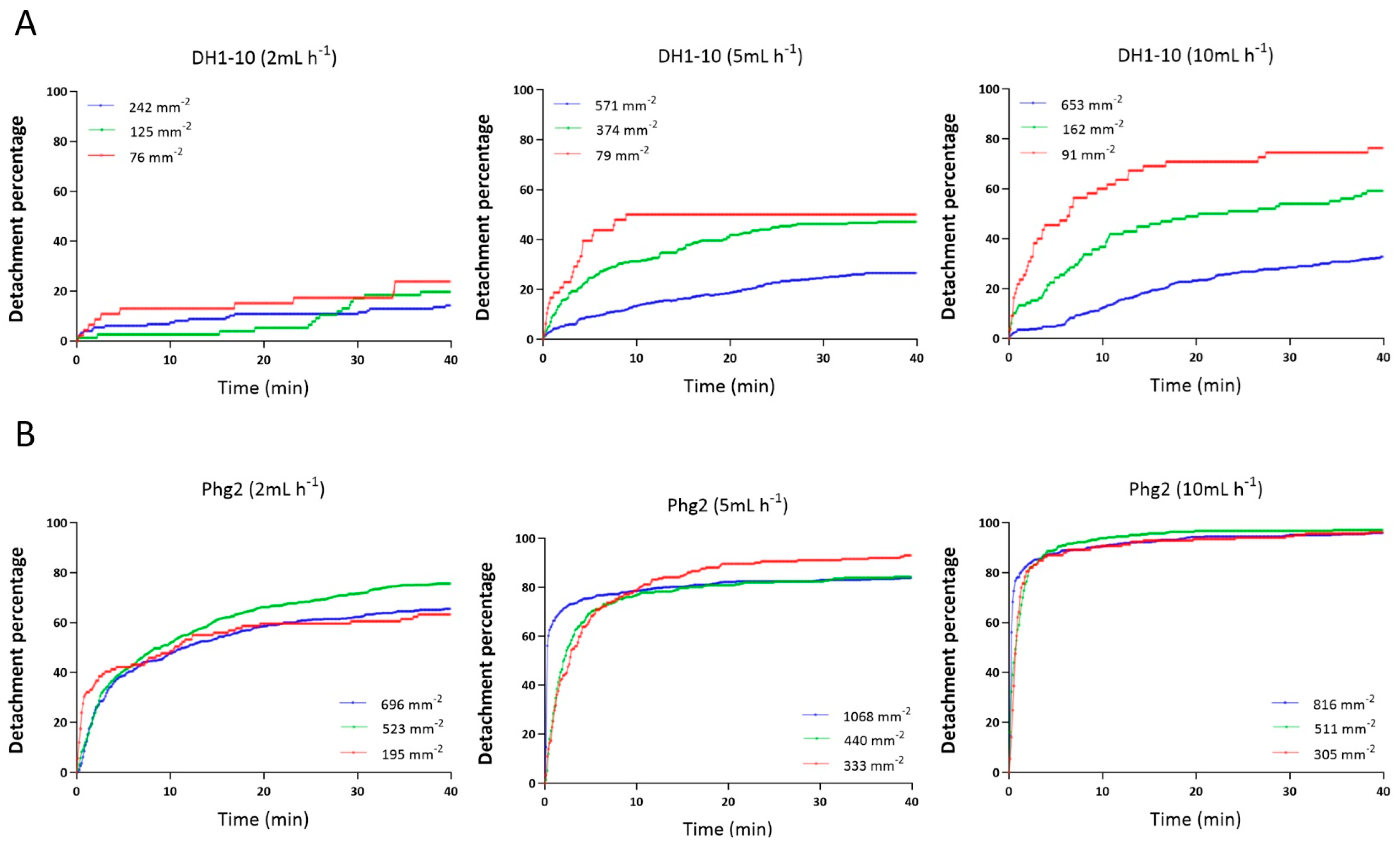
3.3. Cell Detachment Under Shear Flow
3.4. Effect of Cell Density on Detachment
4. Discussion
5. Conclusions
Author Contributions
Funding
Data Availability Statement
Acknowledgments
Conflicts of Interest
References
- Bachir, A.I.; Horwitz, A.R.; Nelson, W.J.; Bianchini, J.M. Actin-based adhesion modules mediate cell interactions with the extracellular matrix and neighboring cells. Cold Spring Harb. Perspect. Biol. 2017, 9, a023234. [Google Scholar] [CrossRef] [PubMed]
- Hammer, D.A. Adhesive dynamics. J. Biomech. Eng. 2014, 136, 021006. [Google Scholar] [CrossRef] [PubMed]
- Zhao, X.; Jin, L.; Shi, H.; Tong, W.; Gorin, D.; Kotelevtsev, Y.; Mao, Z. Recent advances of designing dynamic surfaces to regulate cell adhesion. Colloid Interface Sci. Commun. 2020, 35, 100249. [Google Scholar] [CrossRef]
- Tsompanas, M.-A.I.; Sirakoulis, G.C. Modeling and hardware implementation of an amoeba-like cellular automaton. Bioinspiration Biomim. 2012, 7, 036013. [Google Scholar] [CrossRef] [PubMed]
- Yi, J.; Schmidt, J.; Chien, A.; Montemagno, C.D. Engineering an artificial amoeba propelled by nanoparticle-triggered actin polymerization. Nanotechnology 2009, 20, 085101. [Google Scholar] [CrossRef]
- Leon-Rodriguez, H.; Le, V.H.; Ko, S.Y.; Park, J.-O.; Park, S. Ferrofluid soft-robot bio-inspired by Amoeba locomotion. In Proceedings of the 2015 15th International Conference on Control, Automation and Systems (ICCAS), Busan, Republic of Korea, 13–16 October 2015; IEEE: Piscataway, NJ, USA; pp. 1833–1838. [Google Scholar]
- Bozzaro, S. The past, present and future of Dictyostelium as a model system. Int. J. Dev. Biol. 2019, 63, 321–331. [Google Scholar] [CrossRef]
- Pears, C.J.; Gross, J.D. Microbe Profile: Dictyostelium discoideum: Model system for development, chemotaxis and biomedical research. Microbiology 2021, 167, 001040. [Google Scholar] [CrossRef]
- Bozzaro, S.; Eichinger, L. The professional phagocyte Dictyostelium discoideum as a model host for bacterial pathogens. Curr. Drug Targets 2011, 12, 942–954. [Google Scholar] [CrossRef]
- Sodeman, W.A., Jr. Intestinal protozoa: Amebas. In Medical Microbiology, 4th ed.; University of Texas Medical Branch at Galveston: Galveston, TX, USA, 1996. [Google Scholar]
- García, A.J.; Ducheyne, P.; Boettiger, D. Quantification of cell adhesion using a spinning disc device and application to surface-reactive materials. Biomaterials 1997, 18, 1091–1098. [Google Scholar] [CrossRef]
- McClay, D.R.; Wessel, G.M.; Marchase, R.B. Intercellular recognition: Quantitation of initial binding events. Proc. Natl. Acad. Sci. USA 1981, 78, 4975–4979. [Google Scholar] [CrossRef]
- Francis, G.W.; Fisher, L.R.; Gamble, R.A.; Gingell, D. Direct measurement of cell detachment force on single cells using a new electromechanical method. J. Cell Sci. 1987, 87, 519–523. [Google Scholar] [CrossRef] [PubMed]
- Kapur, R.; Rudolph, A.S. Cellular and cytoskeleton morphology and strength of adhesion of cells on self-assembled monolayers of organosilanes. Exp. Cell Res. 1998, 244, 275–285. [Google Scholar] [CrossRef] [PubMed]
- Décavé, E.; Rieu, D.; Dalous, J.; Fache, S.; Bréchet, Y.; Fourcade, B.; Satre, M.; Bruckert, F. Shear flow-induced motility of Dictyostelium discoideum cells on solid substrate. J. Cell Sci. 2003, 116, 4331–4343. [Google Scholar] [CrossRef] [PubMed]
- Chu, L.; Tempelman, L.A.; Miller, C.; Hammer, D.A. Centrifugation assay of IgE-mediated cell adhesion to antigen-coated gels. AIChE J. 1994, 40, 692–703. [Google Scholar] [CrossRef]
- Décavé, E.; Garrivier, D.; Bréchet, Y.; Fourcade, B.; Bruckert, F. Shear flow-induced detachment kinetics of Dictyostelium discoideum cells from solid substrate. Biophys. J. 2002, 82, 2383–2395. [Google Scholar] [CrossRef] [PubMed]
- Boura, C.; Muller, S.; Vautier, D.; Dumas, D.; Schaaf, P.; Voegel, J.C.; Stoltz, J.F.; Menu, P. Endothelial cell—Interactions with polyelectrolyte multilayer films. Biomaterials 2005, 26, 4568–4575. [Google Scholar] [CrossRef]
- Zhang, D.; Bi, H.; Liu, B.; Qiao, L. Detection of pathogenic microorganisms by microfluidics based analytical methods. Anal. Chem. 2018, 90, 5512–5520. [Google Scholar] [CrossRef]
- Qi, P.; Lv, J.; Yan, X.; Bai, L.; Zhang, L. Microfluidics: Insights into Intestinal Microorganisms. Microorganisms 2023, 11, 1134. [Google Scholar] [CrossRef]
- Ugolini, G.S.; Wang, M.; Secchi, E.; Pioli, R.; Ackermann, M.; Stocker, R. Microfluidic approaches in microbial ecology. Lab Chip 2024, 24, 1394–1418. [Google Scholar] [CrossRef]
- Varma, S.; Voldman, J. A cell-based sensor of fluid shear stress for microfluidics. Lab Chip 2015, 15, 1563–1573. [Google Scholar] [CrossRef]
- Jannat, R.A.; Dembo, M.; Hammer, D.A. Traction forces of neutrophils migrating on compliant substrates. Biophys. J. 2011, 101, 575–584. [Google Scholar] [CrossRef] [PubMed]
- Jones, C.N.; Hoang, A.N.; Dimisko, L.; Hamza, B.; Martel, J.; Irimia, D. Microfluidic platform for measuring neutrophil chemotaxis from unprocessed whole blood. JoVE (J. Vis. Exp.) 2014, 88, 51215. [Google Scholar]
- Yang, K.; Peretz-Soroka, H.; Wu, J.; Zhu, L.; Cui, X.; Zhang, M.; Rigatto, C.; Liu, Y.; Lin, F. Fibroblast growth factor 23 weakens chemotaxis of human blood neutrophils in microfluidic devices. Sci. Rep. 2017, 7, 3100. [Google Scholar] [CrossRef] [PubMed]
- Zhao, W.; Zhao, H.; Li, M.; Huang, C. Microfluidic devices for neutrophil chemotaxis studies. J. Transl. Med. 2020, 18, 168. [Google Scholar] [CrossRef]
- Chau, L.; Doran, M.; Cooper-White, J. A novel multishear microdevice for studying cell mechanics. Lab Chip 2009, 9, 1897–1902. [Google Scholar] [CrossRef]
- Rossi, M.; Lindken, R.; Hierck, B.P.; Westerweel, J. Tapered microfluidic chip for the study of biochemical and mechanical response at subcellular level of endothelial cells to shear flow. Lab Chip 2009, 9, 1403–1411. [Google Scholar] [CrossRef]
- Morimoto, Y.; Nagata, S.; Matsumoto, M.; Sugahara, K.; Miura, S.; Takeuchi, S. Microfluidic system for applying shear flow to endothelial cells on culture insert with collagen vitrigel membrane. Sens. Actuators B Chem. 2021, 348, 130675. [Google Scholar] [CrossRef]
- Park, A.; Jeong, H.-H.; Lee, J.; Kim, K.P.; Lee, C.-S. Effect of shear stress on the formation of bacterial biofilm in a microfluidic channel. Biochip. J. 2011, 5, 236–241. [Google Scholar] [CrossRef]
- Mosier, A.P.; Kaloyeros, A.E.; Cady, N.C. A novel microfluidic device for the in situ optical and mechanical analysis of bacterial biofilms. J. Microbiol. Methods 2012, 91, 198–204. [Google Scholar] [CrossRef]
- Straub, H.; Eberl, L.; Zinn, M.; Rossi, R.M.; Maniura-Weber, K.; Ren, Q. A microfluidic platform for in situ investigation of biofilm formation and its treatment under controlled conditions. J. Nanobiotechnol. 2020, 18, 166. [Google Scholar] [CrossRef]
- Rusconi, R.; Lecuyer, S.; Autrusson, N.; Guglielmini, L.; Stone, H.A. Secondary flow as a mechanism for the formation of biofilm streamers. Biophys. J. 2011, 100, 1392–1399. [Google Scholar] [CrossRef] [PubMed]
- Bruchmann, J.; Sachsenheimer, K.; Rapp, B.E.; Schwartz, T. Multi-channel microfluidic biosensor platform applied for online monitoring and screening of biofilm formation and activity. PLoS ONE 2015, 10, e0117300. [Google Scholar] [CrossRef] [PubMed]
- Parvinzadeh Gashti, M.; Bellavance, J.; Kroukamp, O.; Wolfaardt, G.; Taghavi, S.M.; Greener, J. Live-streaming: Time-lapse video evidence of novel streamer formation mechanism and varying viscosity. Biomicrofluidics 2015, 9, 041101. [Google Scholar] [CrossRef] [PubMed]
- Greener, J.; Parvinzadeh Gashti, M.; Eslami, A.; Zarabadi, M.P.; Taghavi, S.M. A microfluidic method and custom model for continuous, non-intrusive biofilm viscosity measurements under different nutrient conditions. Biomicrofluidics 2016, 10, 064107. [Google Scholar] [CrossRef] [PubMed]
- Greener, J.; Harvey, W.Y.; Gagné-Thivierge, C.; Fakhari, S.; Taghavi, S.M.; Barbeau, J.; Charette, S.J. Critical shear stresses of Pseudomonas aeruginosa biofilms from dental unit waterlines studied using microfluidics and additional magnesium ions. Phys. Fluids 2022, 34, 021902. [Google Scholar] [CrossRef]
- Paquet-Mercier, F.; Gashti, M.P.; Bellavance, J.; Taghavi, S.M.; Greener, J. Through thick and thin: A microfluidic approach for continuous measurements of biofilm viscosity and the effect of ionic strength. Lab Chip 2016, 16, 4710–4717. [Google Scholar] [CrossRef]
- Zarabadi, M.P.; Paquet-Mercier, F.; Charette, S.J.; Greener, J. Hydrodynamic effects on biofilms at the biointerface using a microfluidic electrochemical cell: Case study of Pseudomonas sp. Langmuir 2017, 33, 2041–2049. [Google Scholar] [CrossRef]
- Aznaveh, N.B.; Safdar, M.; Wolfaardt, G.; Greener, J. Micropatterned biofilm formations by laminar flow-templating. Lab Chip 2014, 14, 2666–2672. [Google Scholar] [CrossRef]
- Rodogiannis, K.; Duong, J.T.; Kovarik, M.L. Microfluidic single-cell analysis of oxidative stress in Dictyostelium discoideum. Analyst 2018, 143, 3643–3650. [Google Scholar] [CrossRef]
- Khodaparastasgarabad, N.; Couture, M.; Greener, J. A microfluidic study of acetate conversion kinetics in a microbial electrolysis cell: The role of age, concentration and flow on biofilm permeability. Sens Actuators B Chem 2024, 412, 135779. [Google Scholar] [CrossRef]
- Delincé, M.J.; Bureau, J.B.; López-Jiménez, A.T.; Cosson, P.; Soldati, T.; McKinney, J.D. A microfluidic cell-trapping device for single-cell tracking of host–microbe interactions. Lab Chip 2016, 16, 3276–3285. [Google Scholar] [CrossRef] [PubMed]
- Wu, C.; Asokan, S.B.; Berginski, M.E.; Haynes, E.M.; Sharpless, N.E.; Griffith, J.D.; Gomez, S.M.; Bear, J.E. Arp2/3 is critical for lamellipodia and response to extracellular matrix cues but is dispensable for chemotaxis. Cell 2012, 148, 973–987. [Google Scholar] [CrossRef] [PubMed]
- Scherer, A.; Kuhl, S.; Wessels, D.; Lusche, D.F.; Raisley, B.; Soll, D.R. Ca2+ chemotaxis in Dictyostelium discoideum. J Cell Sci. 2010, 123, 3756–3767. [Google Scholar] [CrossRef] [PubMed]
- Fache, S.; Dalous, J.; Engelund, M.; Hansen, C.; Chamaraux, F.; Fourcade, B.; Satre, M.; Devreotes, P.; Bruckert, F. Calcium mobilization stimulates Dictyostelium discoideum shear-flow-induced cell motility. J. Cell Sci. 2005, 118, 3445–3458. [Google Scholar] [CrossRef] [PubMed]
- Fisher, P.R.; Merkl, R.; Gerisch, G. Quantitative analysis of cell motility and chemotaxis in Dictyostelium discoideum by using an image processing system and a novel chemotaxis chamber providing stationary chemical gradients. J. Cell Biol. 1989, 108, 973–984. [Google Scholar] [CrossRef]
- Rupprecht, P.; Golé, L.; Rieu, J.P.; Vézy, C.; Ferrigno, R.; Mertani, H.C.; Riviere, C. A tapered channel microfluidic device for comprehensive cell adhesion analysis, using measurements of detachment kinetics and shear stress-dependent motion. Biomicrofluidics 2012, 6, 014107. [Google Scholar] [CrossRef]
- Tarantola, M.; Bae, A.; Fuller, D.; Bodenschatz, E.; Rappel, W.J.; Loomis, W.F. Cell substratum adhesion during early development of Dictyostelium discoideum. PLoS ONE 2014, 9, e106574. [Google Scholar] [CrossRef]
- Loomis, W.F.; Fuller, D.; Gutierrez, E.; Groisman, A.; Rappel, W.-J. Innate non-specific cell substratum adhesion. PLoS ONE 2012, 7, e42033. [Google Scholar] [CrossRef]
- Cornillon, S.; Pech, E.; Benghezal, M.; Ravanel, K.; Gaynor, E.; Letourneur, F.; Brückert, F.; Cosson, P. Phg1p is a nine-transmembrane protein superfamily member involved in dictyostelium adhesion and phagocytosis. J. Biol. Chem. 2000, 275, 34287–34292. [Google Scholar] [CrossRef]
- Gebbie, L.; Benghezal, M.; Cornillon, S.; Froquet, R.; Cherix, N.; Malbouyres, M.; Lefkir, Y.; Grangeasse, C.; Fache, S.; Dalous, J.; et al. Phg2, a kinase involved in adhesion and focal site modeling in Dictyostelium. Mol. Biol. Cell 2004, 15, 3915–3925. [Google Scholar] [CrossRef]
- Caterina, M.J.; Milne, J.L.; Devreotes, P.N. Mutation of the third intracellular loop of the cAMP receptor, cAR1, of Dictyostelium yields mutants impaired in multiple signaling pathways. J. Biol. Chem. 1994, 269, 1523–1532. [Google Scholar] [CrossRef] [PubMed]
- Kortholt, A.; Rehmann, H.; Kae, H.; Bosgraaf, L.; Keizer-Gunnink, I.; Weeks, G.; Wittinghofer, A.; Van Haastert, P.J. Characterization of the GbpD-activated Rap1 pathway regulating adhesion and cell polarity in Dictyostelium discoideum. J. Biol. Chem. 2006, 281, 23367–23376. [Google Scholar] [CrossRef] [PubMed]
- Kortholt, A.; van Haastert, P.J.M. Highlighting the role of Ras and Rap during Dictyostelium chemotaxis. Cell. Signal. 2008, 20, 1415–1422. [Google Scholar] [CrossRef] [PubMed]
- Cherix, N.; Froquet, R.; Charette, S.J.; Blanc, C.; Letourneur, F.; Cosson, P. A Phg2-Adrm1 pathway participates in the nutrient-controlled developmental response in Dictyostelium. Mol. Biol. Cell 2006, 17, 4982–4987. [Google Scholar] [CrossRef] [PubMed]
- Mercanti, V.; Charette, S.J.; Bennett, N.; Ryckewaert, J.J.; Letourneur, F.; Cosson, P. Selective membrane exclusion in phagocytic and macropinocytic cups. J. Cell Sci. 2006, 119, 4079–4087. [Google Scholar] [CrossRef]
- Wegner, G.; Allard, N.; Al Shboul, A.; Auger, M.; Beaulieu, A.M.; Bélanger, D.; Bénard, P.; Bilem, I.; Byad, M.; Byette, F.; et al. Functional Materials: For Energy, Sustainable Development and Biomedical Sciences; Walter de Gruyter GmbH & Co KG: Berlin, Germany, 2014. [Google Scholar]
- Cornillon, S.; Gebbie, L.; Benghezal, M.; Nair, P.; Keller, S.; Wehrle-Haller, B.; Charette, S.J.; Brückert, F.; Letourneur, F.; Cosson, P. An adhesion molecule in free-living Dictyostelium amoebae with integrin β features. EMBO Rep. 2006, 7, 617–621. [Google Scholar] [CrossRef]
- Tsujioka, M.; Yoshida, K.; Inouye, K. Talin B is required for force transmission in morphogenesis of Dictyostelium. EMBO J. 2004, 23, 2216–2225. [Google Scholar] [CrossRef]
- Uyeda, T.Q.P.; Nagasaki, A. Variations on a theme: The many modes of cytokinesis. Curr. Opin. Cell Biol. 2004, 16, 55–60. [Google Scholar] [CrossRef]
- Pasternak, C.; Spudich, J.A.; Elson, E.L. Capping of surface receptors and concomitant cortical tension are generated by conventional myosin. Nature 1989, 341, 549–551. [Google Scholar] [CrossRef]
- Jia, N.; Daignault-Bouchard, A.; Deng, T.; Mayerhöfer, T.G.; Bégin-Drolet, A.; Greener, J. SpectIR-fluidics: Completely customizable microfluidic cartridges for high sensitivity on-chip infrared spectroscopy with point-of-application studies on bacterial biofilms. Lab Chip 2023, 23, 3561–3570. [Google Scholar] [CrossRef]
- Pousti, M.; Zarabadi, M.P.; Amirdehi, M.A.; Paquet-Mercier, F.; Greener, J. Microfluidic bioanalytical flow cells for biofilm studies: A review. Analyst 2019, 144, 68–86. [Google Scholar] [CrossRef] [PubMed]





| Amoeba radius | 5 μm |
| Fluid delivery channel width | 200 μm |
| Cell adhesion chamber length (l) | 6.6 mm |
| Cell adhesion chamber width (w) | 3 mm |
| Channel height (h) | 50 μm |
| Fluid density | 1000 kg m−3 |
| Fluid viscosity (μ) | 1 mPa s |
| Element Size | Number of Mesh Elements | Shear Stress (Pa) | Relative Error |
|---|---|---|---|
| Coarse | 59,442 | 1.87 | 36% |
| Normal | 83,001 | 2.59 | 12% |
| Fine | 119,616 | 2.91 | 1.2% |
| Finer | 434,694 | 2.92 | 0.8% |
| Extra fine | 804,595 | 2.95 | - |
Disclaimer/Publisher’s Note: The statements, opinions and data contained in all publications are solely those of the individual author(s) and contributor(s) and not of MDPI and/or the editor(s). MDPI and/or the editor(s) disclaim responsibility for any injury to people or property resulting from any ideas, methods, instructions or products referred to in the content. |
© 2024 by the authors. Licensee MDPI, Basel, Switzerland. This article is an open access article distributed under the terms and conditions of the Creative Commons Attribution (CC BY) license (https://creativecommons.org/licenses/by/4.0/).
Share and Cite
Fakhari, S.; Belleannée, C.; Charrette, S.J.; Greener, J. A Microfluidic Design for Quantitative Measurements of Shear Stress-Dependent Adhesion and Motion of Dictyostelium discoideum Cells. Biomimetics 2024, 9, 657. https://doi.org/10.3390/biomimetics9110657
Fakhari S, Belleannée C, Charrette SJ, Greener J. A Microfluidic Design for Quantitative Measurements of Shear Stress-Dependent Adhesion and Motion of Dictyostelium discoideum Cells. Biomimetics. 2024; 9(11):657. https://doi.org/10.3390/biomimetics9110657
Chicago/Turabian StyleFakhari, Sepideh, Clémence Belleannée, Steve J. Charrette, and Jesse Greener. 2024. "A Microfluidic Design for Quantitative Measurements of Shear Stress-Dependent Adhesion and Motion of Dictyostelium discoideum Cells" Biomimetics 9, no. 11: 657. https://doi.org/10.3390/biomimetics9110657
APA StyleFakhari, S., Belleannée, C., Charrette, S. J., & Greener, J. (2024). A Microfluidic Design for Quantitative Measurements of Shear Stress-Dependent Adhesion and Motion of Dictyostelium discoideum Cells. Biomimetics, 9(11), 657. https://doi.org/10.3390/biomimetics9110657

