Numerical Reconstruction of Cyclist Impact Accidents: Can Helmets Protect the Head-Neck of Cyclists?
Abstract
:1. Introduction
2. Materials and Methods
2.1. Accident Information
2.2. Accident Numerical Reconstruction
2.2.1. Bicycle Models
2.2.2. Vehicle Models
2.2.3. Multi-Body Cyclist Models
2.3. Models for Head/Brain-Neck Injury Evaluation
2.3.1. Finite Element—Multi-Body Coupled Cyclist Model
2.3.2. Helmet Models
2.3.3. Final Simulation Model Set-Up
2.4. Simulation Matrix
2.5. Injury Evaluation Criteria
2.5.1. Head Injury Evaluation Criteria
2.5.2. Neck Injury Evaluation Criteria
3. Results
3.1. Cyclist Kinematics
3.2. Head/Brain and Neck Injuries of the Cyclist
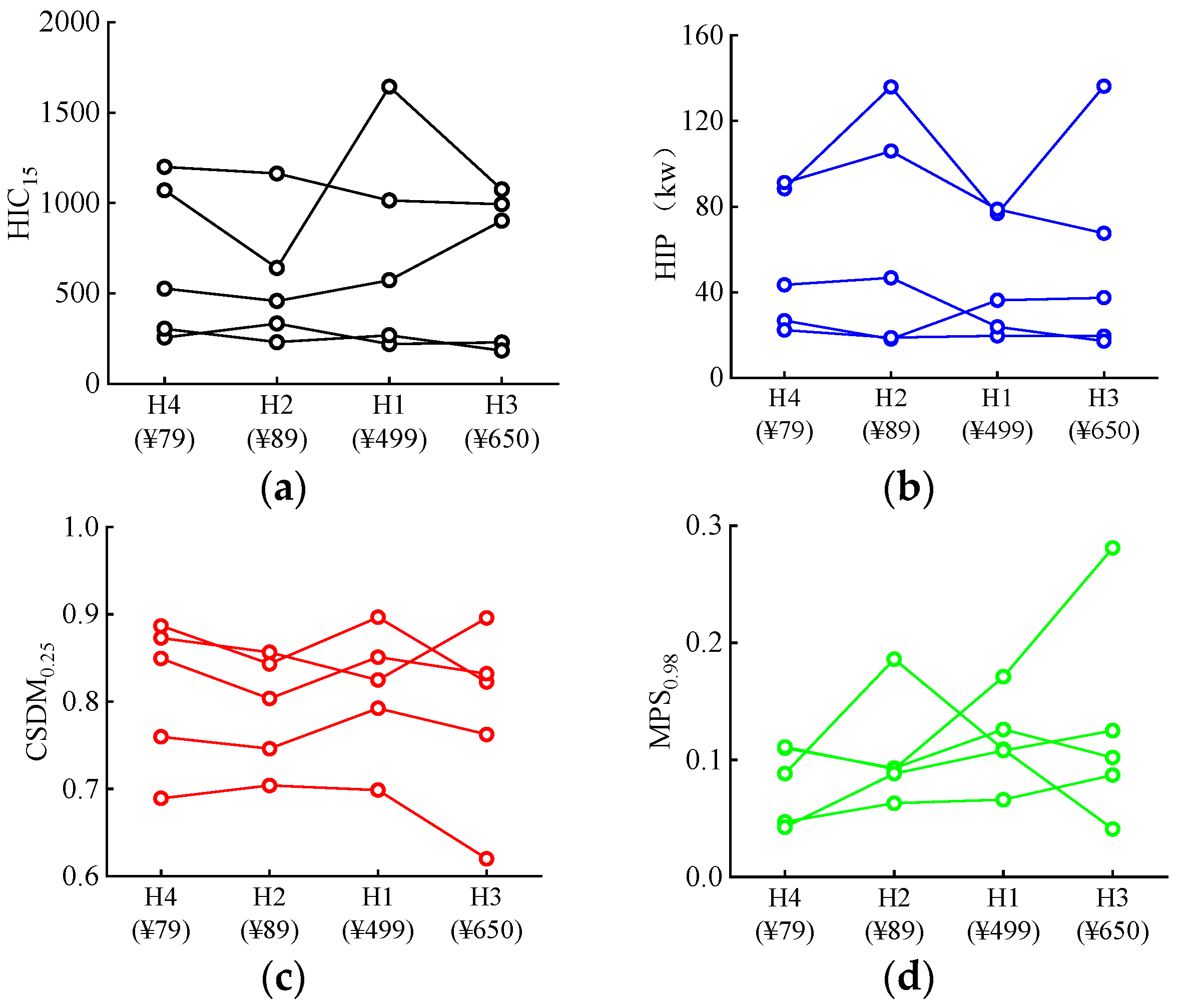
3.2.1. Head Injury Criteria (HIC)
3.2.2. Head Impact Power (HIP)
3.2.3. Cumulative Strain Damage Measure (CSDM)
3.2.4. Maximum Principal Strain (MPS)
3.2.5. Neck Injury Criteria (NIC)
3.2.6. Nij
3.2.7. Neck Force and Bending Moment
3.3. Risk Assessment of the Cyclist’s Head/Brain Injury
3.3.1. Injury Criteria Based on Head Kinematics
3.3.2. Injury Criteria Based on Brain Tissue Deformation
4. Discussion
4.1. Head/Brain-Neck Injury
4.2. Neck Injury
4.3. Effect of Helmet Price
4.4. Study Limitations
5. Conclusions
- Overall, bicycle helmets can provide substantial protection to cyclists in the analyzed accident cases. Specifically, helmets can remarkably lower the risk of both severe (AIS 4+) brain injury and skull fracture, as assessed by the predicted HIC, while a relatively limited decrease in AIS 4+ brain injury risk can be achieved in terms of the analysis of the CSDM0.25. Wearing a helmet also lowers the risk of subdural hematoma (by HIP) and diffuse axonal injury (by MPS0.98) in the cyclist, while such an effect is less pronounced than that for an AIS 4+ brain injury and skull fracture.
- The protective ability of a helmet against a neck injury differs according to the accident scenario and helmet type. The C1 and C7 of the cyclist’s cervical spine are more likely to be severely injured, while the C4 is generally less affected. Based on the analyzed neck injury criteria and the limited accident cases, the inclusion of a helmet seems to provide some level of protection to the neck of the cyclists in some cases and induces a slight increase in the predicted criteria in other cases.
Author Contributions
Funding
Institutional Review Board Statement
Data Availability Statement
Conflicts of Interest
References
- Nie, J.; Yang, J. A study of bicyclist kinematics and injuries based on reconstruction of passenger car–bicycle accident in China. Accid. Anal. Prev. 2014, 71, 50–59. [Google Scholar] [CrossRef]
- Nie, J.; Li, G.; Yang, J. A study of fatality risk and head dynamic response of cyclist and pedestrian based on passenger car accident data analysis and simulations. Traffic Inj. Prev. 2015, 16, 76–83. [Google Scholar] [CrossRef]
- Chen, W.Y.; Guo, J. Characteristics analysis of traffic injury related to electric bicycle: A single hospital study. Zhejiang J. Trauma. Surg. 2013, 18, 157–159. [Google Scholar]
- Nie, J.; Yang, J.K. A study on the dynamic response and injury of cyclist based on car-bicycle accident reconstruction. Int. J. Automot. Eng. 2015, 37, 160–167. [Google Scholar]
- Hu, L.; Hu, X.; Wan, J.; Lin, M.; Huang, J. The injury epidemiology of adult riders in vehicle-two-wheeler crashes in China, Ningbo, 2011–2015. J. Saf. Res. 2020, 72, 21–28. [Google Scholar] [CrossRef]
- Hu, L.; Li, H.; Yi, P.; Huang, J.; Lin, M.; Wang, H. Investigation on AEB Key Parameters for Improving Car to Two-Wheeler Collision Safety Using In-Depth Traffic Accident Data. IEEE Trans. Veh. Technol. 2023, 72, 113–124. [Google Scholar] [CrossRef]
- Hu, L.; Bao, X.; Lin, M.; Yu, C.; Wang, F. Research on risky driving behavior evaluation model based on CIDAS real data. J. Automob. Eng. 2021, 235, 2176–2187. [Google Scholar] [CrossRef]
- Bland, M.L.; Zuby, D.S.; Mueller, B.C.; Rowson, S. Differences in the protective capabilities of bicycle helmets in real-world and standard-specified impact scenarios. J. Crash Prev. Inj. Control 2018, 19, 158–163. [Google Scholar] [CrossRef] [PubMed]
- Bliven, E.; Rouhier, A.; Tsai, S.; Willinger, R.; Bourdet, N.; Deck, C.; Madey, S.M.; Bottlang, M. A novel strategy for mitigation of oblique impacts in bicycle helmets. J. Forensic Biomed. 2019, 10, 1000141. [Google Scholar] [CrossRef]
- Mcintosh, A.S.; Lai, A. Motorcycle helmets: Head and neck dynamics in helmeted and unhelmeted oblique impacts. Traffic Inj. Prev. 2013, 14, 835–844. [Google Scholar] [CrossRef]
- Deck, C.; Bourdet, N.; Halldin, P.; Debruyne, G.; Willinger, R. Protection capability of bicycle helmets under oblique impact assessed with two separate brain FE models. In Proceedings of the International Research Council on Biomechanics of Injury (IRCOBI), Antwerp, Belgium, 13–15 September 2017. [Google Scholar]
- Bourdet, N.; Deck, C.; Meyer, F.; Willinger, R. Experimental and numerical considerations of helmet evaluation under oblique impact. J. Transp. Saf. Secur. 2019, 12, 52–65. [Google Scholar] [CrossRef]
- Dymek, M.; Ptak, M.; Fernandes, F.A. Design and virtual testing of American football helmets–A review. Arch. Comput. Methods Eng. 2022, 29, 1277–1289. [Google Scholar] [CrossRef]
- Fahlstedt, M.; Halldin, P.; Kleiven, S. Importance of the bicycle helmet design and material for the outcome in bicycle accidents. In Proceedings of the International Cycling Safety Conference, Gothenburg, Sweden, 18–19 November 2014. [Google Scholar]
- Levadnyi, I.; Awrejcewicz, J.; Yan, Z.; Goethel, M.F.; Gu, Y.D. Finite element analysis of impact for helmeted and non-helmeted head. J. Med. Biol. Eng. 2018, 38, 587–595. [Google Scholar] [CrossRef]
- Xiao, Z.; Wang, L.; Zhang, Y.; Yang, C. A study on motorcyclist head reponses during impact against front end of vehicle. Int. J. Crashworthiness 2020, 27, 147–159. [Google Scholar] [CrossRef]
- Ghajari, M.; Peldschus, S.; Galvanetto, U.; Iannucci, L. Effects of the presence of the body in helmet oblique impacts. Accid. Anal. Prev. 2013, 50, 263–271. [Google Scholar] [CrossRef]
- Feist, F.; Klug, C. A numerical study on the influence of the upper body and neck on head kinematics in tangential bicycle helmet impact. In Proceedings of the International Research Council on Biomechanics of Injury (IRCOBI), Malaga, Spain, 14–16 September 2016. [Google Scholar]
- Meng, S.Y.; Fahlstedt, M.; Halldin, P. The effect of impact velocity angle on helmeted head impact severity. In Proceedings of the International Research Council on Biomechanics of Injury (IRCOBI), Athens, Greece, 12–14 September 2018. [Google Scholar]
- Wang, F.; Yu, C.; Wang, B.Y.; Li, G.B.; Miller, K.; Wittek, A. Prediction of pedestrian brain injury due to vehicle impact using computational biomechanics models: Are head-only models sufficient? Traffic Inj. Prev. 2020, 21, 102–107. [Google Scholar] [CrossRef]
- Fernandes, F.A.; Ptak, M. Numerical modelling and simulation applied to head trauma. Math. Comput. Appl. 2021, 26, 50. [Google Scholar] [CrossRef]
- Ptak, M.; Dymek, M.; Sawicki, M.; Fernandes, F.A.O.; Wnuk, M.; Wilhelm, J.; Ratajczak, M.; Witkowska, D.; Kwiatkowski, A.; Poźniak, B.; et al. Experimental and computational approach to human brain modelling—aHEAD. Arch. Civ. Mech. Eng. 2023, 23, 218. [Google Scholar] [CrossRef]
- Sahoo, D.; Deck, C.; Yoganandan, N.; Willinger, R. Development of skull fracture criterion based on real-world head trauma simulations using finite element head model. J. Mech. Behav. Biomed. Mater. 2016, 57, 24–41. [Google Scholar] [CrossRef]
- Bourdet, N.; Deck, C.; Serre, T.; Perrin, C.; Llari, M.; Willinger, R. In-depth real-world bicycle accident reconstructions. Int. J. Crashworthiness 2014, 19, 222–232. [Google Scholar] [CrossRef]
- Chen, J.G.; Yang, J.K.; Zhou, X.N.; Chao, Z.; Wang, M.C. FEA of helmet-head injury protection based on motorcycle accident reconstruction. In Proceedings of the Measuring Technology and Mechatronics Automation (ICMTMA), Hongkong, China, 16–17 January 2013. [Google Scholar]
- Ghajari, M.; Galvanetto, U.; Iannucci, L.; Remy, W. Influence of the body on the response of the helmeted head during impact. Int. J. Crashworthiness 2011, 16, 285–295. [Google Scholar] [CrossRef]
- Kasantikul, V.; Ouellet, J.V.; Smith, T.A. Head and neck injuries in fatal motorcycle collisions as determined by detailed autopsy. Traffic Inj. Prev. 2014, 4, 255–262. [Google Scholar] [CrossRef] [PubMed]
- Karkhaneh, M.; Kalenga, J.C.; Hagel, B.E.; Rowe, B.H. Effectiveness of bicycle helmet legislation to increase helmet use: A systematic review. Inj. Prev. 2006, 12, 76–82. [Google Scholar] [CrossRef] [PubMed]
- Amoros, E.; Chiron, M.; Martin, J.-L.; Thelot, B.; Laumon, B. Bicycle helmet wearing and the risk of head, face, and neck injury: A French caseecontrol study based on a road trauma registry. Inj. Prev. 2012, 18, 27–32. [Google Scholar] [CrossRef]
- Hoye, A. Bicycle helmets-To wear or not to wear? A meta-analyses of the effects of bicycle helmets on injuries. Accid. Anal. Prev. 2018, 117, 85–97. [Google Scholar] [CrossRef] [PubMed]
- Kim, S.C.; Lee, H.J.; Kim, J.M.; Kong, S.Y.; Kim, Y.T. Comparison of epidemiology and injury profile between vulnerable road users and motor vehicle occupants in road traffic fatalities. Traffic Inj. Prev. 2019, 20, 1–7. [Google Scholar] [CrossRef]
- Emamgholipour, S.; Raadabadi, M.; Dehghani, M.; Fallah-Aliabadi, S. Analysis of Hospital Costs in Road Traffic Injuries. Bull. Emerg. Trauma 2021, 9, 36–41. [Google Scholar]
- Yu, C.; Wang, F.; Wang, B.; Li, G.; Li, F. A Computational Biomechanics Human Body Model Coupling Finite Element and Multibody Segments for Assessment of Head/Brain Injuries in Car-To-Pedestrian Collisions. Int. J. Environ. Res. Public Health 2020, 17, 492. [Google Scholar] [CrossRef]
- Wang, F.; Wang, Z.; Hu, L.; Xu, H.; Yu, C.; Li, F. Evaluation of Head Injury Criteria for Injury Prediction Effectiveness: Computational Reconstruction of Real-World Vulnerable Road User Impact Accidents. Front. Bioeng. Biotechnol. 2021, 9, 677982. [Google Scholar] [CrossRef] [PubMed]
- Huang, Z.; Zhang, H.; Wang, D.; Yu, H.; Wang, L.; Yu, D.; Peng, Y. Preference-based multi-attribute decision-making method with spherical-Z fuzzy sets for green product design. Eng. Appl. Artif. Intell. 2023, 126, 106767. [Google Scholar] [CrossRef]
- Zhang, H.; Huang, Z.; Tian, G.; Wang, W.; Li, Z. A Hybrid QFD-Based Human-Centric Decision Making Approach of Disassembly Schemes Under Interval 2-Tuple q-Rung Orthopair Fuzzy Sets. IEEE Trans. Autom. Sci. Eng. 2023; 1–12, early access. [Google Scholar] [CrossRef]
- Wang, F.; Han, Y.; Wang, B.Y.; Peng, Q.; Huang, X.Q.; Miller, K.; Wittek, A. Prediction of brain deformations and risk of traumatic brain injury due to closed-head impact: Quantitative analysis of the effects of boundary conditions and brain tissue constitutive model. Biomech. Model. Mechanobiol. 2018, 17, 1165–1185. [Google Scholar] [CrossRef]
- Wang, F.; Yin, J.; Hu, L.; Wang, M.; Liu, X.; Miller, K.; Wittek, A. Should anthropometric differences between the commonly used pedestrian computational biomechanics models and Chinese population be taken into account when predicting pedestrian head kinematics and injury in vehicle collisions in China? Accid. Anal. Prev. 2022, 173, 106718. [Google Scholar] [CrossRef]
- Li, F.; Yang, J.K. A study of head-brain injuries in car-to-pedestrian crashes with reconstructions using in-depth accident data in China. Int. J. Crashworthiness 2010, 15, 117–124. [Google Scholar] [CrossRef]
- Hu, L.; Tian, Q.; Zou, C.; Huang, J.; Ye, Y.; Wu, X. A study on energy distribution strategy of electric vehicle hybrid energy storage system considering driving style based on real urban driving data. Renew. Sustain. Energy Rev. 2022, 162, 112416. [Google Scholar] [CrossRef]
- TNO. MADYMO Utilities Manual, Version 7.7; TASS International: Helmond, The Netherlands, 2017. [Google Scholar]
- Shigeta, K.; Kitagawa, Y.; Yasuki, T. Development of Next Generation Human FE Model Capable of Organ Injury Prediction. In Proceedings of the International Technical Conference on the Enhanced Safety of Vehicles (ESV), Stuttgart, Germany, 15–18 June 2009; pp. 9–111. [Google Scholar]
- Wang, F.; Wu, J.; Hu, L.; Yu, C.; Wang, B.; Huang, X.; Miller, K.; Wittek, A. Evaluation of the head protection effectiveness of cyclist helmets using full-scale computational biomechanics modelling of cycling accidents. J. Saf. Res. 2022, 80, 109–134. [Google Scholar] [CrossRef]
- Yang, K.H.; Mao, H. Modelling of the brain for injury simulation and preventio. In Biomechanics of the Brain; Springer: Berlin/Heidelberg, Germany, 2019; pp. 97–133. [Google Scholar]
- Wang, F.; CAI, J.X.; Wang, B.Y.; Han, Y.; Li, G.B.; Li, F. Investigation of prodiction effectiveness of brain injury criteria on injury risk through reconstruction of pedestrain impact accidents. China J. Highw. Transp. 2018, 31, 235–244. [Google Scholar]
- Newman, J.A.; Shewchenko, N.; Welbourne, E. A proposed new biomechanical head injury assessment function—The maximum power index. Stapp Car Crash J. 2000, 44, 215. [Google Scholar]
- Marjoux, D.; Baumgartner, D.; Deck, C.; Willinger, R. Head injury prediction capability of the HIC, HIP, SIMon and ULP criteria. Accid. Anal. Prev. 2008, 40, 1135–1148. [Google Scholar] [CrossRef]
- Takhounts, E.G.; Craig, M.J.; Moorhouse, K.; Mcfadden, J.; Hasija, V. Development of brain injury criteria (BrIC). Stapp Car Crash J. 2013, 57, 243–266. [Google Scholar] [CrossRef]
- Takhounts, E.G.; Ridella, S.A.; Hasija, V.; Tannous, R.E.; Campbell, J.Q.; Malone, D.; Danelson, K.; Stitzel, J.; Rowson, S.; Duma, S. Investigation of traumatic brain injuries using the next generation of simulated injury monitor (SIMon) finite element head model. In Proceedings of the 52nd Stapp Car Crash Conference, San Antonio, TX, USA, 3–5 November 2008; Volume 52, pp. 1–31. [Google Scholar] [CrossRef]
- Boström, O.; Svensson, M.Y.; Aldman, B.; Hansson, H.A.; Håland, Y.; Lövsund, P.; Seeman, T.; Säljö, A.; Örtengren, T. A new neck injury criterion candidate-based on injury findings in the cervical spinal ganglia after experimental neck extension trauma. In Proceedings of the IRCOBI Conference, Dublin, Ireland, 11–13 September 1996. [Google Scholar]
- Croft, A.C.; Herring, P.; Freeman, M.D. The neck injury criterion: Future considerations. Accid. Anal. Prev. 2002, 34, 247–255. [Google Scholar] [CrossRef]
- Li, F.; Liu, N.; Li, H.; Zhang, B.; Sandoz, B. A review of neck injury and protection in vehicle accidents. Transp. Saf. Environ. 2019, 1, 89–105. [Google Scholar] [CrossRef]
- Teng, T.-L.; Chang, F.-A.; Peng, C.-P.; Yang, B.-W. The study of head and neck injury in traffic accidents. J. Appl. Sci. 2004, 4, 449–455. [Google Scholar] [CrossRef]
- King, A.I.; Yang, K.H.; Zhang, L.; Hardy, W. Is head injury caused by linear or angular acceleration? In Proceedings of the International Research Council on Biomechanics of Injury (IRCOBI), Lisbon, Portugal, 25–26 September 2003.
- Khalid, G.A.; Prabhu, R.; Dickson, J.; Jones, M.D. Biomechanical engineering investigation of the risk of children wearing a bicycle helmet suffering an angular acceleration induced head injury. MOJ Sports Med. 2017, 5, 109–115. [Google Scholar] [CrossRef]
- Funk, J.R.; Cormier, J.M.; Bain, C.E.; Guzman, H.; Bonugli, E. An evaluation of various neck injury criteria in vigorous activities. In Proceedings of the International Research Council on the Biomechanics of Impact (IRCOBI), Maastricht, The Netherlands, 19–21 September 2007. [Google Scholar]
- Wang, Y. A Study of Risk Prediction and Protective Measures for Pedestrian Injuries Based on Accident Reconstructions. Master’s Thesis, Hunan University, Changsha, China, 2005. [Google Scholar]
- Gennarelli, T.A.; Wodzin, E. Abbreviated Injury Scale 2005, Update 2008; Association for Advancement of Automatic Medicine: Barrington, IL, USA, 2008. [Google Scholar]
- Yoganandan, N.; Nahum, A.M.; Melvin, J.W. Accidental Injury; Springer: New York, NY, USA; Heidelberg, Germany; Dordrecht, The Netherlands; London, UK, 2015; p. 104. [Google Scholar]
- Mcintosh, A.S.; Lai, A.; Schilter, E. Bicycle helmets: Head impact dynamics in helmeted and unhelmeted oblique impact tests. Traffic Inj. Prev. 2013, 14, 501–508. [Google Scholar] [CrossRef] [PubMed]
- McNally, D.S.; Whitehead, S. A computational simulation study of the influence of helmet wearing on head injury risk in adult cyclists. Accid. Anal. Prev. 2013, 60, 15–23. [Google Scholar] [CrossRef]
- Cripton, P.A.; Dressler, D.M.; Stuart, C.A.; Dennison, C.R.; Richards, D. Bicycle helmets are highly effective at preventing head injury during head impact: Head-form accelerations and injury criteria for helmeted and unhelmeted impacts. Accid. Anal. Prev. 2014, 70, 1–7. [Google Scholar] [CrossRef]
- Wu, T.; Kim, T.; Bollapragada, V.; Poulard, D.; Chen, H.; Panzer, M.B.; Forman, J.L.; Crandall, J.R.; Pipkorn, B. Evaluation of biofidelity of THUMS pedestrian model under a whole-body impact conditions with a generic sedan buck. Traffic Inj. Prev. 2017, 18, 148–154. [Google Scholar] [CrossRef]
- Fahlstedt, M.; Halldin, P.; Kleiven, S. The protective effect of a helmet in three bicycle accidents—A finite element study. Accid. Anal. Prev. 2016, 91, 135–143. [Google Scholar] [CrossRef] [PubMed]
- Hagel, B.E.; Russell, K.; Goulet, C.; Aguirre, A.N.; Pless, I.B. Helmet use and risk of neck injury in skiers and snoeboarders. Am. J. Epidemiol. 2010, 171, 1134–1143. [Google Scholar] [CrossRef]



















| Information | Case 1 | Case 2 | Case 3 | Case 4 | Case 5 | |
|---|---|---|---|---|---|---|
| Accident | Vehicle impact velocity (km/h) | 28 | 32 | 26 | 35 | 40 |
| Bicycle moving velocity (m/s) | 4.4 | 1.5 | 2.5 | 1.2 | 1.1 | |
| Injury | Minor injury | Serious injury | Minor injury | Death | Serious injury | |
| Key image | ![]() | ![]() | ![]() | ![]() | ![]() | |
| Bicycle | Wheel base (mm) | 1130 | 950 | 1080 | 950 | 820 |
| Mass (kg) | 19.5 | 15 | 19.5 | 20 | 10.5 | |
| Tire radius (mm) | 330 | 300 | 325 | 310 | 200 | |
| Seat height (mm) | 850 | 850 | 864 | 830 | 760 | |
| Vehicle | Car manufacturer | Geely | FAW-Volkswagen | Shanghai-Volkswagen | FAW-Volkswagen | Shanghai-Volkswagen |
| Mass (kg) | 1270 | 1105 | 1090 | 1565 | 1090 | |
| Size (mm) | 4150 × 1620 × 1450 | 4428 × 1660 × 1420 | 4546 × 1710 × 1427 | 4818 × 1843 × 1432 | 4546 × 1710 × 1427 | |
| Cyclist | Gender | male | male | male | male | female |
| Height (cm) | 168 | 165 | 170 | 165 | 161 | |
| Weight (kg) | 67 | 55 | 80 | 60 | 45 | |
| Age | 65 | 62 | 58 | 65 | 23 | |
| 5th Percentile Female | 50th Percentile Male | |||
|---|---|---|---|---|
| Height (m) | 1.53 | ![]() | 1.74 | ![]() |
| Weight (kg) | 49.8 | 75.7 | ||
| Helmet | FE Model | Price (CNY) | Mass (g) | Element Number of the Helmet FE Model | Number of Nodes in the FE Helmet Model | ||
|---|---|---|---|---|---|---|---|
| Triangular Elements | Tetrahedral Elements | ||||||
| Helmet 1 | ![]() | ![]() | 499 | 230 | 17,486 | 47,850 | 14,949 |
| Helmet 2 | ![]() | ![]() | 89 | 275 | 16,350 | 42,020 | 12,079 |
| Helmet 3 | ![]() | ![]() | 650 | 335 | 27,620 | 69,822 | 17,059 |
| Helmet 4 | ![]() | ![]() | 79 | 390 | 16,652 | 45,541 | 13,276 |
Disclaimer/Publisher’s Note: The statements, opinions and data contained in all publications are solely those of the individual author(s) and contributor(s) and not of MDPI and/or the editor(s). MDPI and/or the editor(s) disclaim responsibility for any injury to people or property resulting from any ideas, methods, instructions or products referred to in the content. |
© 2023 by the authors. Licensee MDPI, Basel, Switzerland. This article is an open access article distributed under the terms and conditions of the Creative Commons Attribution (CC BY) license (https://creativecommons.org/licenses/by/4.0/).
Share and Cite
Wang, F.; Peng, K.; Zou, T.; Li, Q.; Li, F.; Wang, X.; Wang, J.; Zhou, Z. Numerical Reconstruction of Cyclist Impact Accidents: Can Helmets Protect the Head-Neck of Cyclists? Biomimetics 2023, 8, 456. https://doi.org/10.3390/biomimetics8060456
Wang F, Peng K, Zou T, Li Q, Li F, Wang X, Wang J, Zhou Z. Numerical Reconstruction of Cyclist Impact Accidents: Can Helmets Protect the Head-Neck of Cyclists? Biomimetics. 2023; 8(6):456. https://doi.org/10.3390/biomimetics8060456
Chicago/Turabian StyleWang, Fang, Ke Peng, Tiefang Zou, Qiqi Li, Fan Li, Xinghua Wang, Jiapeng Wang, and Zhou Zhou. 2023. "Numerical Reconstruction of Cyclist Impact Accidents: Can Helmets Protect the Head-Neck of Cyclists?" Biomimetics 8, no. 6: 456. https://doi.org/10.3390/biomimetics8060456
APA StyleWang, F., Peng, K., Zou, T., Li, Q., Li, F., Wang, X., Wang, J., & Zhou, Z. (2023). Numerical Reconstruction of Cyclist Impact Accidents: Can Helmets Protect the Head-Neck of Cyclists? Biomimetics, 8(6), 456. https://doi.org/10.3390/biomimetics8060456
















