Molecularly Imprinted Polymers for Removal of Metal Ions: An Alternative Treatment Method
Abstract
1. Introduction
2. Removal of Metal Ions with Imprinted Materials
2.1. Mercury
2.2. Copper
2.3. Lead
2.4. Cadmium
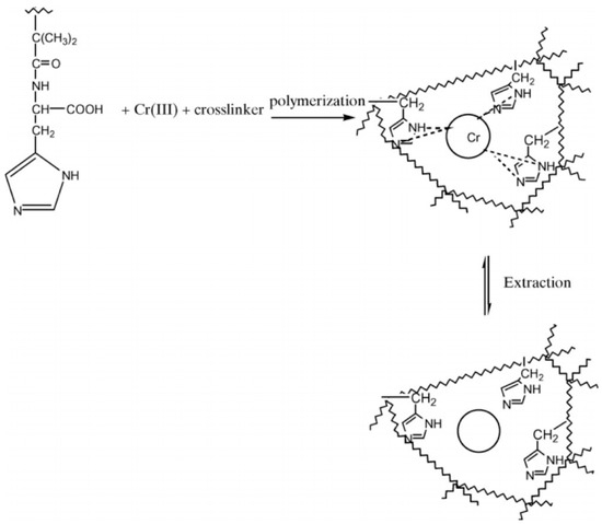
2.5. Chromium
2.6. Nickel
2.7. Other Metals
3. Conclusions and Perspectives
Funding
Conflicts of Interest
References
- Huang, D.-L.; Wang, R.-Z.; Liu, Y.-G.; Zeng, G.-M.; Lai, C.; Xu, P.; Lu, B.-A.; Xu, J.-J.; Wang, C.; Huang, C. Application of molecularly imprinted polymers in wastewater treatment: A review. Environ. Sci. Pollut. Res. 2015, 22, 963–977. [Google Scholar] [CrossRef] [PubMed]
- Ihsanullah; Abbas, A.; Al-Amer, A.M.; Laoui, T.; Al-Marri, M.J.; Nasser, M.S.; Khraisheh, M.; Atieh, M.A. Heavy metal removal from aqueous solution by advanced carbon nanotubes: Critical review of adsorption applications. Sep. Purif. Technol. 2016, 157, 141–161. [Google Scholar] [CrossRef]
- Hashemian, S.; Saffari, H.; Ragabion, S. Adsorption of cobalt(II) from aqueous solutions by Fe3O4/bentonite nanocomposite. Water. Air. Soil Pollut. 2015, 226, 2212. [Google Scholar] [CrossRef]
- Morsi, R.E.; Al-Sabagh, A.M.; Moustafa, Y.M.; ElKholy, S.G.; Sayed, M.S. Polythiophene modified chitosan/magnetite nanocomposites for heavy metals and selective mercury removal. Egypt. J. Pet. 2018. [Google Scholar] [CrossRef]
- Jalilzadeh, M.; Uzun, L.; Şenel, S.; Denizli, A. Specific heavy metal ion recovery with ion-imprinted cryogels. J. Appl. Polym. Sci. 2016, 133, 1–9. [Google Scholar] [CrossRef]
- Asliyüce, S.; Bereli, N.; Uzun, L.; Onur, M.A.; Say, R.; Denizli, A. Ion-imprinted supermacroporous cryogel, for in vitro removal of iron out of human plasma with beta thalassemia. Sep. Purif. Technol. 2010, 73, 243–249. [Google Scholar] [CrossRef]
- Ye, L. Synthetic strategies in molecular imprinting. Adv. Biochem. Eng. Biotechnol. 2015, 150, 1–24. [Google Scholar] [CrossRef]
- Chen, L.; Xu, S.; Li, J. Recent advances in molecular imprinting technology: Current status, challenges and highlighted applications. Chem. Soc. Rev. 2011, 40, 2922–2942. [Google Scholar] [CrossRef]
- Martín-Esteban, A. Molecularly-imprinted polymers as a versatile, highly selective tool in sample preparation. Trends Anal. Chem. 2013, 45, 169–170. [Google Scholar] [CrossRef]
- Yan, H.; Ho Row, K. Characteristic and synthetic approach of molecularly imprinted polymer. Int. J. Mol. Sci. 2006, 7, 155–178. [Google Scholar] [CrossRef]
- Santora, B.P.; Gagne, M.R.; Moloy, K.G.; Radu, N.S. Porogen and cross-linking effects on the surface area, pore volume distribution, and morphology of macroporous polymers obtained by bulk polymerization. Macromolecules 2001, 34, 658–661. [Google Scholar] [CrossRef]
- Saylan, Y.; Tamahkar, E.; Denizli, A. Recognition of lysozyme using surface imprinted bacterial cellulose nanofibers. J. Biomater. Sci. Polym. Ed. 2017, 28, 1950–1965. [Google Scholar] [CrossRef] [PubMed]
- Cumbo, A.; Lorber, B.; Corvini, P.F.X.; Meier, W.; Shahgaldian, P. A synthetic nanomaterial for virus recognition produced by surface imprinting. Nat. Commun. 2013, 4, 1503–1507. [Google Scholar] [CrossRef] [PubMed]
- Chen, Y.; Liu, Y.; Shen, X.; Chang, Z.; Tang, L.; Dong, W.F.; Li, M.; He, J.J. Ultrasensitive detection of testosterone using microring resonator with molecularly imprinted polymers. Sensor 2015, 15, 31558–31565. [Google Scholar] [CrossRef] [PubMed]
- Mujahid, A.; Mustafa, G.; Dickert, F. Label-free bioanalyte detection from nanometer to micrometer dimensions—Molecular imprinting and QCMs. Biosensor 2018, 8, 52. [Google Scholar] [CrossRef] [PubMed]
- Rahangdale, D.; Kumar, A.; Archana, G.; Dhodapkar, R.S. Ion cum molecularly dual imprinted polymer for simultaneous removal of cadmium and salicylic acid. J. Mol. Recognit. 2018, 31, e2630. [Google Scholar] [CrossRef] [PubMed]
- Fu, J.; Chen, L.; Li, J.; Zhang, Z. Current status and challenges of ion imprinting. J. Mater. Chem. A 2015, 3, 13598–13627. [Google Scholar] [CrossRef]
- Sciencedirect Search Results—Keywords (İmprint, Metal). Available online: https://www.sciencedirect.com/search/advanced?qs=imprint%2Cmetal&show=25&sortBy=relevance (accessed on 10 August 2018).
- Frossard, A.; Donhauser, J.; Mestrot, A.; Gygax, S.; Bååth, E.; Frey, B. Long- and short-term effects of mercury pollution on the soil microbiome. Soil Biol. Biochem. 2018, 120, 191–199. [Google Scholar] [CrossRef]
- Marrugo-Negrete, J.; Enamorado-Montes, G.; Durango-Hernández, J.; Pinedo-Hernández, J.; Díez, S. Removal of mercury from gold mine effluents using Limnocharis flava in constructed wetlands. Chemosphere 2017, 167, 188–192. [Google Scholar] [CrossRef]
- Zhang, Q.; Wu, J.; Luo, X. Facile preparation of a novel Hg(II)-ion-imprinted polymer based on magnetic hybrids for rapid and highly selective removal of Hg(II) from aqueous solutions. RSC Adv. 2016, 6, 14916–14926. [Google Scholar] [CrossRef]
- Mergola, L.; Scorrano, S.; Bloise, E.; Di Bello, M.P.; Catalano, M.; Vasapollo, G.; Del Sole, R. Novel polymeric sorbents based on imprinted Hg(II)-diphenylcarbazone complexes for mercury removal from drinking water. Polym. J. 2016, 48, 73–79. [Google Scholar] [CrossRef]
- Andaç, M.; Mirel, S.; Şenel, S.; Say, R.; Ersöz, A.; Denizli, A. Ion-imprinted beads for molecular recognition based mercury removal from human serum. Int. J. Biol. Macromol. 2007, 40, 159–166. [Google Scholar] [CrossRef] [PubMed]
- Xu, S.; Chen, L.; Li, J.; Guan, Y.; Lu, H. Novel Hg2+-imprinted polymers based on thymine–Hg2+–thymine interaction for highly selective preconcentration of Hg2+ in water samples. J. Hazard. Mater. 2012, 237, 347–354. [Google Scholar] [CrossRef] [PubMed]
- Kwan, C.K.; Sanford, E.; Long, J. Copper pollution increases the relative importance of predation risk in an aquatic food web. PLoS ONE 2015, 10, e0133329. [Google Scholar] [CrossRef] [PubMed]
- Ren, Z.; Zhu, X.; Du, J.; Kong, D.; Wang, N.; Wang, Z.; Wang, Q.; Liu, W.; Li, Q.; Zhou, Z. Facile and green preparation of novel adsorption materials by combining sol–gel with ion imprinting technology for selective removal of Cu(II) ions from aqueous solution. Appl. Surf. Sci. 2018, 435, 574–584. [Google Scholar] [CrossRef]
- Fu, J.; Wang, X.; Li, J.; Ding, Y.; Chen, L. Synthesis of multi-ion imprinted polymers based on dithizone chelation for simultaneous removal of Hg2+, Cd2+, Ni2+ and Cu2+ from aqueous solutions. RSC Adv. 2016, 6, 44087–44095. [Google Scholar] [CrossRef]
- Kong, D.; Qiao, N.; Liu, H.; Du, J.; Wang, N.; Zhou, Z.; Ren, Z. Fast and efficient removal of copper using sandwich-like graphene oxide composite imprinted materials. Chem. Eng. J. 2017, 326, 141–150. [Google Scholar] [CrossRef]
- Frontalini, F.; Curzi, D.; Giordano, F.M.; Bernhard, J.M.; Falcieri, E.; Coccioni, R. Effects of lead pollution on Ammonia parkinsoniana (foraminifera): Ultrastructural and microanalytical approaches. Eur. J. Histochem. 2015, 59, 1–8. [Google Scholar] [CrossRef] [PubMed]
- Malar, S.; Shivendra Vikram, S.; JC Favas, P.; Perumal, V. Lead heavy metal toxicity induced changes on growth and antioxidative enzymes level in water hyacinths [Eichhornia crassipes (Mart.)]. Bot. Stud. 2016, 55, 54. [Google Scholar] [CrossRef]
- Mishra, S.; Verma, N. Surface ion imprinting-mediated carbon nanofiber-grafted highly porous polymeric beads: Synthesis and application towards selective removal of aqueous Pb(II). Chem. Eng. J. 2017, 313, 1142–1151. [Google Scholar] [CrossRef]
- Esen, C.; Andac, M.; Bereli, N.; Say, R.; Henden, E.; Denizli, A. Highly selective ion-imprinted particles for solid-phase extraction of Pb2+ ions. Mater. Sci. Eng. C 2009, 29, 2464–2470. [Google Scholar] [CrossRef]
- Cai, X.; Li, J.; Zhang, Z.; Yang, F.; Dong, R.; Chen, L. Novel Pb2+ ion imprinted polymers based on ionic interaction via synergy of dual functional monomers for selective solid-phase extraction of Pb2+ in water samples. ACS Appl. Mater. Int. 2013, 6, 305–313. [Google Scholar] [CrossRef]
- Liu, Y.; Xiao, T.; Perkins, R.B.; Zhu, J.; Zhu, Z.; Xiong, Y.; Ning, Z. Geogenic cadmium pollution and potential health risks, with emphasis on black shale. J. Geochem. Explor. 2017, 176, 42–49. [Google Scholar] [CrossRef]
- Li, M.; Feng, C.; Li, M.; Zeng, Q.; Gan, Q.; Yang, H. Synthesis and characterization of a surface-grafted Cd(II) ion-imprinted polymer for selective separation of Cd(II) ion from aqueous solution. Appl. Surf. Sci. 2015, 332, 463–472. [Google Scholar] [CrossRef]
- Andaç, M.; Say, R.; Denizli, A. Molecular recognition based cadmium removal from human plasma. J. Chromatogr. B Anal. Technol. Biomed. Life Sci. 2004, 811, 119–126. [Google Scholar] [CrossRef]
- Agrafioti, E.; Kalderis, D.; Diamadopoulos, E. Arsenic and chromium removal from water using biochars derived from rice husk, organic solid wastes and sewage sludge. J. Environ. Manag. 2014, 133, 309–314. [Google Scholar] [CrossRef]
- Dima, J.B.; Sequeiros, C.; Zaritzky, N.E. Hexavalent chromium removal in contaminated water using reticulated chitosan micro/nanoparticles from seafood processing wastes. Chemosphere 2015, 141, 100–111. [Google Scholar] [CrossRef]
- Birlik, E.; Ersöz, A.; Açikkalp, E.; Denizli, A.; Say, R. Cr(III)-imprinted polymeric beads: Sorption and preconcentration studies. J. Hazard. Mater. 2007, 140, 110–116. [Google Scholar] [CrossRef] [PubMed]
- Uygun, M.; Feyzioǧlu, E.; Özçalişkan, E.; Caka, M.; Ergen, A.; Akgöl, S.; Denizli, A. New generation ion-imprinted nanocarrier for removal of Cr(VI) from wastewater. J. Nanopart. Res. 2013, 15. [Google Scholar] [CrossRef]
- Dahmen-Ben Moussa, I.; Bellassoued, K.; Athmouni, K.; Naifar, M.; Chtourou, H.; Ayadi, H.; Makni-Ayadi, F.; Sayadi, S.; El Feki, A.; Dhouib, A. Protective effect of Dunaliella sp., lipid extract rich in polyunsaturated fatty acids, on hepatic and renal toxicity induced by nickel in rats. Toxicol. Mech. Method 2016, 26, 221–230. [Google Scholar] [CrossRef]
- Zhou, Z.; Kong, D.; Zhu, H.; Wang, N.; Wang, Z.; Wang, Q.; Liu, W.; Li, Q.; Zhang, W.; Ren, Z. Preparation and adsorption characteristics of an ion-imprinted polymer for fast removal of Ni(II) ions from aqueous solution. J. Hazard. Mater. 2018, 341, 355–364. [Google Scholar] [CrossRef] [PubMed]
- Ersöz, A.; Say, R.; Denizli, A. Ni(II) ion-imprinted solid-phase extraction and preconcentration in aqueous solutions by packed-bed columns. Anal. Chim. Acta 2004, 502, 91–97. [Google Scholar] [CrossRef]
- Tamahkar, E.; Bakhshpour, M.; Andaç, M.; Denizli, A. Ion imprinted cryogels for selective removal of Ni(II) ions from aqueous solutions. Sep. Purif. Technol. 2017, 179, 36–44. [Google Scholar] [CrossRef]
- Patil, D.S.; Chavan, S.M.; Oubagaranadin, J.U.K. A review of technologies for manganese removal from wastewaters. J. Environ. Chem. Eng. 2016, 4, 468–487. [Google Scholar] [CrossRef]
- Khajeh, M.; Sanchooli, E. Synthesis of ion-selective imprinted polymer for manganese removal from environmental water. Polym. Bull. 2011, 67, 413–425. [Google Scholar] [CrossRef]
- Andaç, M.; Özyapi, E.; Şenel, S.; Say, R.; Denizli, A. Ion-selective imprinted beads for aluminum removal from aqueous solutions. Ind. Eng. Chem. Res. 2006, 45, 1780–1786. [Google Scholar] [CrossRef]
- Yuan, G.; Tu, H.; Liu, J.; Zhao, C.; Liao, J.; Yang, Y.; Yang, J.; Liu, N. A novel ion-imprinted polymer induced by the glycylglycine modified metal-organic framework for the selective removal of Co(II) from aqueous solutions. Chem. Eng. J. 2018, 333, 280–288. [Google Scholar] [CrossRef]
- Tekin, K.; Uzun, L.; Şahin, Ç.A.; Bektaş, S.; Denizli, A. Preparation and characterization of composite cryogels containing imidazole group and use in heavy metal removal. React. Funct. Polym. 2011, 71, 985–993. [Google Scholar] [CrossRef]
- Khairi, N.A.S.; Yusof, N.A.; Abdullah, A.H.; Mohammad, F. Removal of toxic mercury from petroleum oil by newly synthesized molecularly-imprinted polymer. Int. J. Mol. Sci. 2015, 16, 10562–10577. [Google Scholar] [CrossRef]
- Vasapollo, G.; Sole, R.D.; Mergola, L.; Lazzoi, M.R.; Scardino, A.; Scorrano, S.; Mele, G. Molecularly imprinted polymers: Present and future prospective. Int. J. Mol. Sci. 2011, 12, 5908–5945. [Google Scholar] [CrossRef]








| Metal Ion | Monomer | Cross-linker | Initiator | Synthesis Conditions | Treatment Material | Adsorption Capacity | Reference |
|---|---|---|---|---|---|---|---|
| Mercury (II) | Allylthiourea | Ethylene glycol dimethacrylate | N,N-Azobisisobutyronitrile | 65 °C, 12 h | Magnetic polymer | 78.3 mg/g | [21] |
| Mercury (II) | 4-Vinylpyridine | Ethylene glycol dimethacrylate | N,N-Azobisisobutyronitrile | 65 °C, 24 h | Polymeric sorbent | 70 mg/g | [22] |
| Mercury (II) | N-Methacryloyl-(l)-cysteine | Ethylene glycol dimethacrylate | Benzoyl peroxide | - | Polymeric bead | 0.45 mg/g | [23] |
| Mercury (II) | 3-Isocyanatopropyl triethoxysilane | Tetraethoxysilicane | Ammonia | 60 °C, 6 h | Solid-phase extraction sorbent | 2.8 mg/g | [24] |
| Copper (II) | Dithizone | Tetraethoxysilicane | Ammonia | 25 °C, 12 h | Ion-imprinted polymeric sorbent | 16.55 mg/g | [27] |
| Copper (II) | N-[3-(2-aminoethylamino) propyl] trimethoxysilane | Tetraethyl orthosilicate | Ammonia | 60 °C, 24 h | Ion-imprinted polymer | 39.82 mg/g | [26] |
| Copper (II) | Acrylamide | Ethylene glycol dimethacrylate | N,N-Azobisisobutyronitrile | 65 °C, 8 h | Sandwich-like ion-imprinted polymer | 132.77 mg/g | [28] |
| Lead (II) | Allylthiourea | Ethylene glycol dimethacrylate | N,N-Azobisisobutyronitrile | 80 °C, 6 h | Carbon nanofiber ion-imprinted polymeric bead | 47 mg/g | [31] |
| Lead (II) | N-Methacryloyl-(l)-cysteine | Methylenebisacrylamide | Ammonium persulfate | −12 °C, 24 h | Ion-imprinted cryogel | 122.7 mg/g | [5] |
| Lead (II) | N-Methacryloyl-(l)-cysteine | Ethylene glycol dimethacrylate | Potassium persulfate | 75 °C, 1 h | Ion-imprinted particle | 2.01 mg/g | [32] |
| Lead (II) | Methacrylic acid, 4-vinyl pyridine | Ethylene glycol dimethacrylate | N,N-Azobisisobutyronitrile | 60 °C, 8 h | Ion-imprinted polymer | 8.35 mg/g | [33] |
| Cadmium (II) | N-Methacryloyl-(l)-cysteine | Ethylene glycol dimethacrylate | Benzoyl peroxide | 90 °C, 2 h | Ion-imprinted polymer bead | 32.5 µmol/g | [36] |
| Cadmium (II) | Chitosan | Epichlorohydrin | - | 50 °C, 4 h | Ion dual imprinted polymer | 38.46 mg/g | [16] |
| Cadmium (II) | Allyl thiourea | Ethylene glycol dimethacrylate | N,N-Azobisisobutyronitrile | 333 K, 24 h | Ion-imprinted polymer | 38.30 mg/g | [35] |
| Chromium (III) | 2-Methacryloylamido histidine | Ethylene glycol dimethacrylate | N,N-Azobisisobutyronitrile | 90 °C, 3 h | Ion-imprinted polymeric bead | 69.28 mg/g. | [39] |
| Chromium (VI) | 2-Methacryloylamido histidine | Ethylene glycol dimethacrylate | Potassium persulfate | 70 °C, 3 h | Ion-imprinted nanoparticle | 3830.58 mg/g | [40] |
| Nickel (II) | Methacrylic acid | Ethylene glycol dimethacrylate | N,N-Azobisisobutyronitrile | 60 °C, 24 h | Ion-imprinted polymer | 86.3 mg/g | [42] |
| Nickel (II) | 2-Methacryloylamido histidine | Ethylene glycol dimethacrylate | N,N-Azobisisobutyronitrile | 90 °C, 3 h | Solid-phase extraction polymeric column | 160 µmol/g | [43] |
| Nickel (II) | 2-Methacryloylamido histidine | Poly(ethylene glycol) diacrylate | Ammonium persulfate | −12 °C, 24 h | Ion-imprinted cryogel | 5.54 mg/g | [44] |
| Manganese (II) | 4-Vinylpyridine | Ethylene glycol dimethacrylate | N,N-Azobisisobutyronitrile | 60 °C, 5 h | Ion-imprinted polymer | 44.4 mg/g | [46] |
| Aluminum (III) | N-Methacryloyl-(l)-glutamic acid | Ethylene glycol dimethacrylate | Benzoyl peroxide | - | Ion-imprinted polymeric bead | 122.9 μmol/g | [47] |
| Cobalt (II) | Glycylglycine | Glutaraldehyde | - | 60 °C, 5 h | Ion-imprinted polymer | 175 mg/g | [48] |
| Multi-ions | N-Vinylimidazole | Ethylene glycol dimethacrylate | N,N-Azobisisobutyronitrile | 90 °C, 2 h | Ion-imprinted cryogel | 7620–2540 μg/g | [49] |
© 2018 by the authors. Licensee MDPI, Basel, Switzerland. This article is an open access article distributed under the terms and conditions of the Creative Commons Attribution (CC BY) license (http://creativecommons.org/licenses/by/4.0/).
Share and Cite
Erdem, Ö.; Saylan, Y.; Andaç, M.; Denizli, A. Molecularly Imprinted Polymers for Removal of Metal Ions: An Alternative Treatment Method. Biomimetics 2018, 3, 38. https://doi.org/10.3390/biomimetics3040038
Erdem Ö, Saylan Y, Andaç M, Denizli A. Molecularly Imprinted Polymers for Removal of Metal Ions: An Alternative Treatment Method. Biomimetics. 2018; 3(4):38. https://doi.org/10.3390/biomimetics3040038
Chicago/Turabian StyleErdem, Özgecan, Yeşeren Saylan, Müge Andaç, and Adil Denizli. 2018. "Molecularly Imprinted Polymers for Removal of Metal Ions: An Alternative Treatment Method" Biomimetics 3, no. 4: 38. https://doi.org/10.3390/biomimetics3040038
APA StyleErdem, Ö., Saylan, Y., Andaç, M., & Denizli, A. (2018). Molecularly Imprinted Polymers for Removal of Metal Ions: An Alternative Treatment Method. Biomimetics, 3(4), 38. https://doi.org/10.3390/biomimetics3040038

