Adaptive Digital Hologram Binarization Method Based on Local Thresholding, Block Division and Error Diffusion
Abstract
1. Introduction
2. Methods for Binarizing Digital Holograms
2.1. Local and Global Thresholding
2.2. Error Diffusion
2.3. Developed Method of Hologram Binarization (the LDE Method)
- Division hologram into blocks of size S × S pixels;
- Determination of adaptive local threshold for each pixel of each block;
- Error diffusion part:
- Consistently comparing the brightness value of each pixel with calculated threshold value;
- Binarization the pixel value;
- Determination of the corresponding error value;
- Diffusion of the error value among neighboring considered pixels taking into account weighting coefficients and pixel bypass matrix;
- Merging blocks into a single hologram.
3. Results
3.1. Numerical Experiments
3.1.1. Numerical Experiment Conditions
3.1.2. Metrics for Assessing the Quality of Image Reconstruction
3.1.3. Effect of the LDE Method Parameters on the Reconstruction Quality
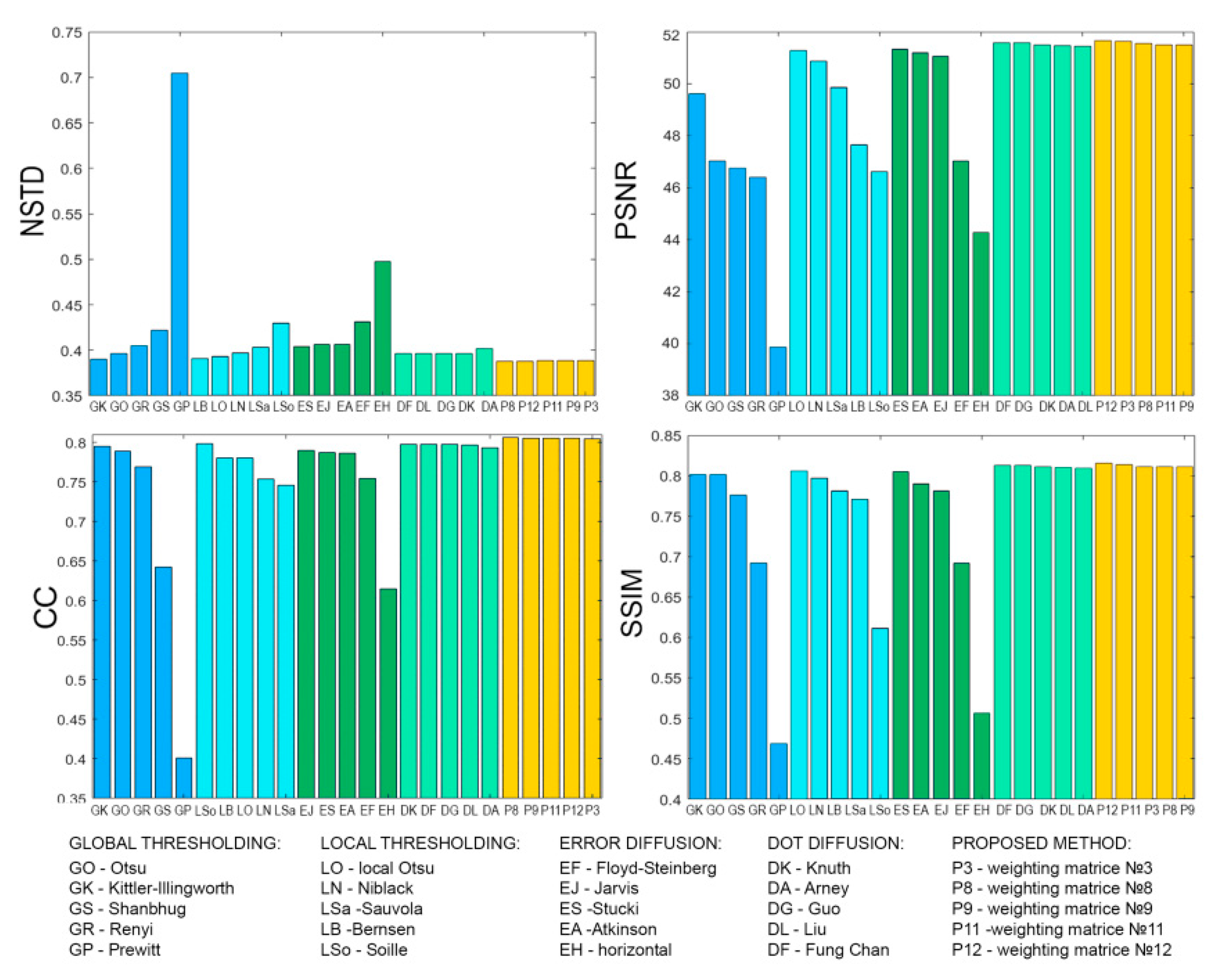
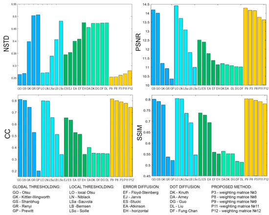
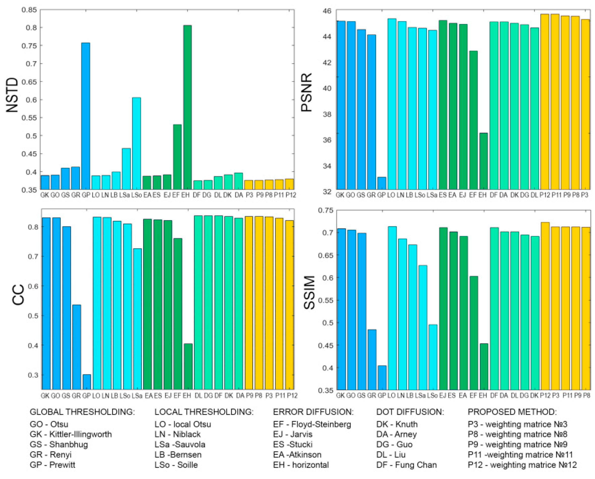
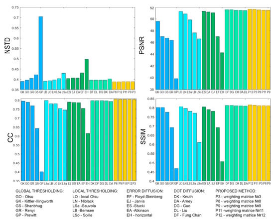
3.1.4. Comparison of Binarization Methods
- Proposed adaptive LDE method (with weighting matrices №3, №8–9, №11–12, see Figure 5).
3.2. Optical Experiments
4. Conclusions
Author Contributions
Funding
Institutional Review Board Statement
Informed Consent Statement
Data Availability Statement
Acknowledgments
Conflicts of Interest
References
- Benzie, P.; Watson, J.; Surman, P.; Rakkolainen, I.; Hopf, K.; Urey, H.; Sainov, V.; Von Kopylow, C. A survey of 3DTV displays: Techniques and technologies. IEEE Trans. Circuits Syst. Video Technol. 2007, 17, 1647–1657. [Google Scholar] [CrossRef]
- Pan, Y.; Liu, J.; Li, X.; Wang, Y. A review of dynamic holographic three-dimensional display: Algorithms, devices, and systems. IEEE Trans. Ind. Informat. 2016, 12, 1599–1610. [Google Scholar] [CrossRef]
- Kulce, O.; Onural, L. Generation of a polarized optical field from a given scalar field for wide-viewing-angle holographic displays. Opt. Lasers Eng. 2021, 137, 106344. [Google Scholar] [CrossRef]
- Rosen, J.; Alford, S.; Anand, V.; Art, J.; Bouchal, P.; Bouchal, Z.; Erdenebat, M.-U.; Huang, L.; Ishii, A.; Juodkazis, S.; et al. Roadmap on Recent Progress in FINCH Technology. J. Imaging 2021, 7, 197. [Google Scholar] [CrossRef] [PubMed]
- Cheng, J.; Gu, C.; Zhang, D.; Chen, S. High-speed Femtosecond Laser Beam Shaping Based on Binary Holography Using a Digital Micromirror Device. Opt. Lett. 2015, 40, 4875–4878. [Google Scholar] [CrossRef] [PubMed]
- Chen, D.; Gu, S.; Chen, S.-C. Study of Optical Modulation based on Binary Masks with Finite Pixels. Opt. Lasers Eng. 2021, 142, 106604. [Google Scholar] [CrossRef]
- Zhang, Z.; Wang, X.; Zheng, G.; Zhong, J. Fast Fourier single-pixel imaging via binary illumination. Sci. Rep. 2017, 7, 12029. [Google Scholar] [CrossRef]
- Dudley, D.; Duncan, W.; Slaughter, J. Emerging digital micromirror device (DMD) applications. Proc. SPIE 2003, 4985, 14–25. [Google Scholar] [CrossRef]
- Park, M.-C.; Lee, B.-R.; Son, J.-Y.; Chernyshov, O. Properties of DMDs for holographic displays. J. Mod. Opt. 2015, 62, 1600–1607. [Google Scholar] [CrossRef]
- Molodtsov, D.Y.; Rodin, V.G.; Starikov, S.N. The possibility of using DMD SLM for hologram filters displaying in dispersive correlator. Phys. Procedia 2015, 73, 338–342. [Google Scholar] [CrossRef]
- Hu, X.-B.; Ma, S.-Y.; Rosales-Guzmán, C. High-speed generation of singular beams through random spatial multiplexing. J. Opt. 2021, 23, 044002. [Google Scholar] [CrossRef]
- Evtikhiev, N.N.; Zlokazov, E.Y.; Krasnov, V.V.; Rodin, V.G.; Starikov, R.S.; Cheremkhin, P.A. High-speed implementation of holographic and diffraction elements using digital micromirror devices. Quantum Electron. 2020, 50, 667–674. [Google Scholar] [CrossRef]
- Zlokazov, E.Y. Methods and algorithms for computer synthesis of holographic elements to obtain a complex impulse response of optical information processing systems based on modern spatial light modulators. Quantum Electron. 2020, 50, 643–652. [Google Scholar] [CrossRef]
- Liu, J.-P.; Wu, M.-H.; Tsang, P.W.M. 3D display by binary computer-generated holograms with localized random down-sampling and adaptive intensity accumulation. Opt. Express 2020, 28, 24526–24537. [Google Scholar] [CrossRef] [PubMed]
- Cheremkhin, P.A.; Kurbatova, E.A.; Evtikhiev, N.N.; Krasnov, V.V.; Rodin, V.G.; Starikov, R.S. Comparative analysis of off-axis digital hologram binarization by error diffusion. J. Opt. 2021, 23, 075703. [Google Scholar] [CrossRef]
- Takahashi, T.; Shimobaba, T.; Kakue, T.; Ito, T. Time-division color holographic projection in large size using a digital micromirror device. Appl. Sci. 2021, 11, 6277. [Google Scholar] [CrossRef]
- Conkey, D.B.; Caravaca-Aguirre, A.M.; Piestun, R. High-speed scattering medium characterization with application to focusing light through turbid media. Opt. Express 2012, 20, 1733–1740. [Google Scholar] [CrossRef] [PubMed]
- Goorden, S.; Bertolotti, J.; Mosk, A. Superpixel-based spatial amplitude and phase modulation using a digital micromirror device. Opt. Express 2014, 22, 17999–18009. [Google Scholar] [CrossRef]
- Shin, S.; Kim, K.; Yoon, J.; Park, Y. Active illumination using a digital micromirror device for quantitative phase imaging. Opt. Lett. 2015, 40, 5407–5410. [Google Scholar] [CrossRef]
- Geng, Q.; Wang, D.; Chen, P.; Chen, S.-C. Ultrafast multi-focus 3-D nano-fabrication based on two-photon polymerization. Nat. Commun. 2019, 10, 2179. [Google Scholar] [CrossRef] [PubMed]
- Jaramillo-Osorio, A.; Bustamante, S.; Munoz, B.; Velez-Zea, A.; Barrera-Ramírez, J.F.; Torroba, R. Experimental Fresnel and Fourier digital holography using a digital micro-mirror device. J. Opt. 2021, 23, 035701. [Google Scholar] [CrossRef]
- Evtikhiev, N.N.; Starikov, S.N.; Shaulskiy, D.V.; Starikov, R.S.; Zlokazov, E.Y. Invariant correlation filter with linear phase coefficient holographic realization in 4-F correlator. Opt. Eng. 2011, 50, 065803. [Google Scholar] [CrossRef]
- Jiao, S.; Zhou, C.; Shi, Y.; Zou, W.; Li, X. Review on optical image hiding and watermarking techniques. Opt. Laser. Technol. 2019, 109, 370–380. [Google Scholar] [CrossRef]
- Geng, Y.; Huang, W.; Yang, J.; Qian, Y.; Ren, Z.; Yu, P. Generation of Mathieu beams based on the detour phase encoding method. Opt. Commun. 2021, 486, 126754. [Google Scholar] [CrossRef]
- Kim, T. Recent Progress of an Optical Scanning Holography Camera. In Proceedings of the International Symposium on Industrial Electronics (IEEE), Cairns, QLD, Australia, 13–15 June 2018; pp. 1335–1339. [Google Scholar] [CrossRef]
- Cheremkhin, P.A.; Kurbatova, E.A. Wavelet compression of off-axis digital holograms using real/imaginary and amplitude/phase parts. Sci. Rep. 2019, 9, 7561. [Google Scholar] [CrossRef]
- Yoneda, N.; Saita, Y.; Nomura, T. Binary computer-generated-hologram-based holographic data storage. Appl. Opt. 2019, 58, 3083–3090. [Google Scholar] [CrossRef]
- Nishchal, N.K. Optical Cryptosystems; IOP Publishing: London, UK, 2019. [Google Scholar] [CrossRef]
- Lohmann, A.W.; Paris, D.P. Synthesis of Binary Holograms. IEEE J. Quantum. Electron. 1966, 2, 153. [Google Scholar] [CrossRef]
- Naughton, T.J.; Frauel, Y.; Javidi, B.; Tajahuerce, E. Compression of digital holograms for three-dimensional object reconstruction and recognition. Appl. Opt. 2002, 41, 4124–4132. [Google Scholar] [CrossRef]
- Liu, Z.; Watson, J.; Allen, A. Efficient image preprocessing of digital holograms of marine plankton. IEEE J. Ocean Eng. 2018, 43, 83–92. [Google Scholar] [CrossRef]
- Cheremkhin, P.A.; Kurbatova, E.A. Binarization of digital holograms by thresholding and error diffusion techniques. In Proceedings of the Digital Holography and Three-Dimensional Imaging, Optical Society of America, Bordeaux, France, 19–23 May 2019. Th3A.22. [Google Scholar] [CrossRef]
- Cheremkhin, P.A.; Kurbatova, E.A. Comparative appraisal of global and local thresholding methods for binarisation of off-axis digital holograms. Opt. Lasers Eng. 2019, 115, 119–130. [Google Scholar] [CrossRef]
- Eschbach, R. Comparison of error diffusion methods for computer-generated holograms. Appl. Opt. 1991, 30, 3702–3710. [Google Scholar] [CrossRef]
- Tsang, P.W.M.; Poon, T.-C. Novel method for converting digital Fresnel hologram to phase-only hologram based on bidirectional error diffusion. Opt. Express 2013, 21, 23680–23686. [Google Scholar] [CrossRef] [PubMed]
- Yang, G.; Jiao, S.; Liu, J.-P.; Lei, T.; Yuan, X. Error diffusion method with optimized weighting coefficients for binary hologram generation. Appl. Opt. 2019, 58, 5547–5555. [Google Scholar] [CrossRef]
- Kurbatova, E.A.; Rodin, V.G.; Cheremkhin, P.A. Iterative binarization of digital holograms using error diffusion method. Optoelectron. Instrum. Data Process. 2020, 56, 99–105. [Google Scholar] [CrossRef]
- Min, K.; Park, J.H. Quality enhancement of binary-encoded amplitude holograms by using error diffusion. Opt. Express 2020, 28, 38140–38154. [Google Scholar] [CrossRef]
- Jiao, S.; Zhang, D.; Zhang, C.; Gao, Y.; Lei, T.; Yuan, X. Complex-Amplitude Holographic Projection with a Digital Micromirror Device (DMD) and Error Diffusion Algorithm. IEEE J. Select. Topics Quantum Electron. 2020, 26, 2800108. [Google Scholar] [CrossRef]
- Liu, K.; He, Z.; Cao, L. Pattern-adaptive error diffusion algorithm for improved phase-only hologram generation. Chin. Opt. Lett. 2021, 9, 050501. [Google Scholar] [CrossRef]
- Goi, H.; Komuro, K.; Nomura, T. Deep-learning-based binary hologram. Appl. Opt. 2020, 59, 7103–7108. [Google Scholar] [CrossRef]
- Cheremkhin, P.A.; Evtikhiev, N.N.; Kurbatova, E.A.; Krasnov, V.V.; Rodin, V.G.; Starikov, R.S. Error diffusion hologram binarization for DMD applications. Proc. SPIE 2021, 11698, 116980W. [Google Scholar] [CrossRef]
- Shimobaba, T.; Takahashi, T.; Yamamoto, Y.; Hoshi, I.; Shiraki, A.; Kakue, T.; Ito, T. Simple complex amplitude encoding of a phase-only hologram using binarized amplitude. J. Opt. 2020, 22, 045703. [Google Scholar] [CrossRef]
- Seldowitz, M.; Allebach, J.; Sweeney, D. Synthesis of digital holograms by direct binary search. Appl. Opt. 1987, 26, 2788–2798. [Google Scholar] [CrossRef]
- Liu, J.-P.; Yu, C.-Q.; Tsang, P.W.M. Enhanced direct binary search algorithm for binary computer-generated Fresnel holograms. Appl. Opt. 2019, 58, 3735–3741. [Google Scholar] [CrossRef]
- Kang, J.-H.; Leportier, T.; Kim, M.; Park, M.-C. Non-iterative direct binary search algorithm for fast generation of binary holograms. Opt. Lasers Eng. 2019, 122, 312–318. [Google Scholar] [CrossRef]
- Chhetri, B.B.; Yang, S.; Shimomura, T. Iterative stepwise binarization of digital amplitude holograms with added energy to the signal window. Opt. Eng. 2001, 40, 2718–2725. [Google Scholar] [CrossRef]
- Shimobaba, T.; Makowski, M.; Takahashi, T.; Yamamoto, Y.; Hoshi, I.; Nishitsuji, T.; Hoshikawa, N.; Kakue, T.; Ito, T. Reducing Computational Complexity and Memory Usage of Iterative Hologram Optimization Using Scaled Diffraction. Appl. Sci. 2020, 10, 1132. [Google Scholar] [CrossRef]
- Liu, J.-P.; Lin, Y.-C.; Jiao, S.; Poon, T.-C. Performance Estimation of Intensity Accumulation Display by Computer-Generated Holograms. Appl. Sci. 2021, 11, 7729. [Google Scholar] [CrossRef]
- Sezgin, M.; Sankur, B. Survey over image thresholding techniques and quantitative performance evaluation. J. Electron. Imaging 2004, 13, 146–165. [Google Scholar] [CrossRef]
- Trier, O.D.; Taxt, T. Evaluation of binarization methods for document images. IEEE Trans. Pattern Anal. Mach. Intell. 1995, 17, 312–315. [Google Scholar] [CrossRef]
- Gonzalez, R.C.; Woods, R.E. Thresholding. Digital Image Processing, 4th ed.; Pearson: New York, NY, USA, 2018. [Google Scholar]
- Sulaiman, A.; Omar, K.; Nasrudin, M.F. Degraded Historical Document Binarization: A Review on Issues, Challenges, Techniques, and Future Directions. J. Imaging 2019, 5, 48. [Google Scholar] [CrossRef]
- Almeida, M.; Lins, R.D.; Bernardino, R.; Jesus, D.; Lima, B. A New Binarization Algorithm for Historical Documents. J. Imaging 2018, 4, 27. [Google Scholar] [CrossRef]
- Otsu, N. A threshold selection method from gray-level histograms. IEEE Trans. Sys. Man. Cyber. 1979, 9, 62–66. [Google Scholar] [CrossRef]
- Kittler, J.; Illingworth, J. Minimum error thresholding. Pattern Recogn. 1986, 19, 41–47. [Google Scholar] [CrossRef]
- Sahoo, P.; Wilkins, C.; Yeager, J. Threshold selection using Renyi’s entropy. Pattern Recogn. 1997, 30, 71–84. [Google Scholar] [CrossRef]
- Niblack, W. An Introduction to Digital Image Processing; Prentice Hall: Upper Saddle River, NJ, USA, 1986. [Google Scholar]
- Bernsen, J. Dynamic thresholding of grey-level images. In Proceedings of the 8th International Conference on Pattern Recognition (IEEE), Paris, France, 27–31 October 1986; pp. 1251–1255. [Google Scholar]
- Sauvola, J.; Pietikainen, M. Adaptive document image binarization. In Proceedings of the Fourth International Conference Document Analysis and Recognition (IEEE), Ulm, Germany, 18–20 August 1997; pp. 147–152. [Google Scholar]
- Ridler, T.W.; Calvard, S. Picture thresholding using an iterative selection method. IEEE Trans. Syst. Man. Cybern. 1978, 8, 630–632. [Google Scholar] [CrossRef]
- Bovik, A.L. Handbook of Image and Video Processing, 2nd ed.; Elsevier Academic Press: Burlington, MA, USA; San Diego, CA, USA; London, UK, 2005. [Google Scholar] [CrossRef]
- Floyd, R.W.; Steinberg, L. An adaptive algorithm for spatial grey scale. Proc. Soc. Inf. Disp. 1976, 17, 75–77. [Google Scholar]
- Stucki, P. MECCA—A Multiple-Error Correcting Computation Algorithm for Bilevel Image Hardcopy Reproduction; IBM Thomas J. Watson Research Center: Ossining, NY, USA, 1991. [Google Scholar]
- Seckar, J.; Pokorny, P. Relation of statistical information and visual quality in halftone images. In Proceedings of the 21st International DAAAM Symposium ‘‘Intelligent Manufacturing & Automation’’ (DAAAM International), Zadar, Croatia, 20–23 October 2010; pp. 1419–1420. [Google Scholar]
- Knuth, D.E. Digital halftones by dot diffusion. ACM Trans. Graph. 1987, 6, 245–273. [Google Scholar] [CrossRef]
- Arney, J.S.; Anderson, P.G.; Ganawan, S. Error Diffusion and Edge Enhancement: Raster versus Omni-Directional Processing. J. Imaging Sci. Technol. 2002, 46, 359–364. [Google Scholar]
- Fung, Y.H.; Chan, Y.H. Optimizing the error diffusion filter for blue noise halftoning with multiscale error diffusion. IEEE Trans. Image Process. 2013, 22, 413–417. [Google Scholar] [CrossRef] [PubMed]
- Eschbach, R.; Zhigang, F.; Knox, K.T.; Marcu, G. Threshold modulation and stability in error diffusion. IEEE Signal Process. Mag. 2003, 20, 39–50. [Google Scholar] [CrossRef]
- Knox, K.T. Threshold modulation in error diffusion. J. Electron. Imaging 1993, 2, 185–192. [Google Scholar] [CrossRef]
- Schnars, U.; Jüptner, W. Digital recording and numerical reconstruction of holograms. Meas. Sci. Technol. 2002, 13, R85–R101. [Google Scholar] [CrossRef]
- Verrier, N.; Atlan, M. Off-axis digital hologram reconstruction: Some practical considerations. Appl. Opt. 2011, 50, H136–H146. [Google Scholar] [CrossRef] [PubMed]
- Cheremkhin, P.A.; Evtikhiev, N.N.; Krasnov, V.V.; Rodin, V.G.; Starikov, R.S. Shot noise and fixed-pattern noise effects on digital hologram reconstruction. Opt. Lasers Eng. 2021, 139, 106461. [Google Scholar] [CrossRef]
- Fienup, J.R. Invariant error metrics for image reconstruction. Appl. Opt. 1997, 36, 8352–8357. [Google Scholar] [CrossRef]
- Huynh-Thu, Q.; Ghanbari, M. Scope of validity of PSNR in image/video quality assessment. Electron. Lett. 2008, 44, 800–801. [Google Scholar] [CrossRef]
- Wang, Z.; Bovik, A.C.; Sheikh, H.R.; Simoncelli, E.P. Image quality assessment: From error visibility to structural similarity. IEEE Trans. Image Process. 2004, 13, 600–612. [Google Scholar] [CrossRef]
- Prewitt, J.M.S.; Mendelsohn, M.L. The analysis of cell images. Ann. N. Y. Acad. Sci. 1966, 128, 1035–1053. [Google Scholar] [CrossRef]
- Shanbhag, A.G. Utilization of information measure as a means of image thresholding. Graph. Models Image Process. 1994, 56, 414–419. [Google Scholar] [CrossRef]
- Soille, P. Morphological Image Analysis: Principles and Applications; Springer: Berlin/Heidelberg, Germany, 2004. [Google Scholar]
- Jarvis, J.F.; Judice, C.N.; Ninke, W.H. A survey of techniques for the display of continuous-tone pictures on bilevel displays. Comput. Graph. Image Process. 1976, 5, 13–40. [Google Scholar] [CrossRef]
- Billotet-Hoffmann, C.; Bryngdahl, O. Optical pseudocolor encoding using adaptive electronic halftoning. Opt. Commun. 1983, 45, 327–330. [Google Scholar] [CrossRef]
- Liu, Y.; Guo, J. Dot-Diffused Halftoning with Improved Homogeneity. IEEE Trans. Image Process. 2015, 24, 4581–4591. [Google Scholar] [CrossRef] [PubMed][Green Version]
- Guo, J.M.; Sankarasrinivasan, S. Digital Halftone Database (DHD): A Comprehensive Analysis on Halftone Types. In Proceedings of the Asia-Pacific Signal and Information Processing Association Annual Summit and Conference (APSIPA ASC) (IEEE), Honolulu, HI, USA, 12–15 November 2018; pp. 1091–1099. [Google Scholar] [CrossRef]
- Shimobaba, T.; Kakue, T.; Ito, T. Review of fast algorithms and hardware implementations on computer holography. IEEE Trans. Ind. Informat. 2016, 12, 1611–1622. [Google Scholar] [CrossRef]
- Makey, G.; El-Daher, M.S.; Al-Shufi, K. Accelerating the calculations of binary detour phase method by integrating both CUDA and Matlab programming for GPU’s parallel computations. Optik 2013, 124, 5486–5488. [Google Scholar] [CrossRef]
- Yang, F.; Kaczorowski, A.; Wilkinson, T.D. Fast precalculated triangular mesh algorithm for 3D binary computer-generated holograms. Appl. Opt. 2014, 53, 8261–8267. [Google Scholar] [CrossRef]



















Publisher’s Note: MDPI stays neutral with regard to jurisdictional claims in published maps and institutional affiliations. |
© 2022 by the authors. Licensee MDPI, Basel, Switzerland. This article is an open access article distributed under the terms and conditions of the Creative Commons Attribution (CC BY) license (https://creativecommons.org/licenses/by/4.0/).
Share and Cite
Cheremkhin, P.A.; Kurbatova, E.A.; Evtikhiev, N.N.; Krasnov, V.V.; Rodin, V.G.; Starikov, R.S. Adaptive Digital Hologram Binarization Method Based on Local Thresholding, Block Division and Error Diffusion. J. Imaging 2022, 8, 15. https://doi.org/10.3390/jimaging8020015
Cheremkhin PA, Kurbatova EA, Evtikhiev NN, Krasnov VV, Rodin VG, Starikov RS. Adaptive Digital Hologram Binarization Method Based on Local Thresholding, Block Division and Error Diffusion. Journal of Imaging. 2022; 8(2):15. https://doi.org/10.3390/jimaging8020015
Chicago/Turabian StyleCheremkhin, Pavel A., Ekaterina A. Kurbatova, Nikolay N. Evtikhiev, Vitaly V. Krasnov, Vladislav G. Rodin, and Rostislav S. Starikov. 2022. "Adaptive Digital Hologram Binarization Method Based on Local Thresholding, Block Division and Error Diffusion" Journal of Imaging 8, no. 2: 15. https://doi.org/10.3390/jimaging8020015
APA StyleCheremkhin, P. A., Kurbatova, E. A., Evtikhiev, N. N., Krasnov, V. V., Rodin, V. G., & Starikov, R. S. (2022). Adaptive Digital Hologram Binarization Method Based on Local Thresholding, Block Division and Error Diffusion. Journal of Imaging, 8(2), 15. https://doi.org/10.3390/jimaging8020015
