The Adversarial Robust and Generalizable Stereo Matching for Infrared Binocular Based on Deep Learning
Abstract
1. Introduction
2. Materials and Our Contributions
- It demonstrates a deep integrative learning paradigm by re-evaluating the end-to-end DNN feature backbone in stereo matching, illustrating that the stereo matching algorithm can effectively adapt to infrared binocular images with a more accurate result.
- It presents a novel stereo matching design that exhibits significantly improved adversarial robustness and cross-domain (Sim2Real) generalizability, even without the need for fine-tuning.
- It introduces a stereo constrained projection gradient descent (PGD) attack method, which is proposed to maintain the consistency of photometry by design, revealing the core vulnerabilities of the accurate DNN-based stereo matching methods.
3. Approach
3.1. Our Proposed Method
3.1.1. Computing the Cost Volume Using Multi-Scale Census Transform
3.1.2. Contextualizing the Cost Volume and Aggregating the Cost
3.1.3. Disparity Map Prediction and the Loss Function
3.2. Stereo Constrained PGD Attacks
3.2.1. Attack Census Transform
3.2.2. Robustness of Census Transform
4. Experiments and Discussion
4.1. Settings and Experimental Details
4.1.1. Data
4.1.2. Experimental Details
- Training details
- Evaluation Metrics
- Baseline methods
4.2. Results and Discussion
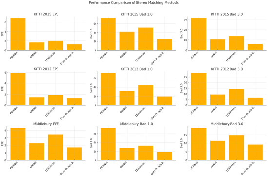
4.2.1. Sim2Real Cross-Domain Generalizability
4.2.2. Adversarial Patch Attack
4.2.3. Result of KITTI 2015
4.2.4. Result of Real Infrared Binocular Stereo Matching
5. Conclusions
Author Contributions
Funding
Institutional Review Board Statement
Informed Consent Statement
Data Availability Statement
Conflicts of Interest
Appendix A




References
- Wang, C.; Cui, X.; Zhao, S.; Guo, K.; Wang, Y.; Song, Y. The Application of Deep Learning in Stereo Matching and Disparity Estimation: A Bibliometric Review. Expert Syst. Appl. 2024, 238, 122006. [Google Scholar] [CrossRef]
- Zeng, J.; Yao, C.; Yu, L.; Wu, Y.; Jia, Y. Parameterized Cost Volume for Stereo Matching. In Proceedings of the 2023 IEEE/CVF International Conference on Computer Vision (ICCV), Paris, France, 1–6 October 2023; pp. 18301–18311. [Google Scholar]
- Hamid, M.S.; Manap, N.A.; Hamzah, R.A.; Kadmin, A.F. Stereo Matching Algorithm Based on Deep Learning: A Survey. J. King Saud Univ.—Comput. Inf. Sci. 2022, 34, 1663–1673. [Google Scholar] [CrossRef]
- Xu, G.; Cheng, J.; Guo, P.; Yang, X. Attention Concatenation Volume for Accurate and Efficient Stereo Matching. In Proceedings of the 2022 IEEE/CVF Conference on Computer Vision and Pattern Recognition (CVPR), New Orleans, LA, USA, 18–24 June 2022; pp. 12971–12980. [Google Scholar]
- Li, Z.; Yuan, J.; Jia, B.; He, Y.; Xie, L. An Effective Face Anti-Spoofing Method via Stereo Matching. IEEE Signal Process. Lett. 2021, 28, 847–851. [Google Scholar] [CrossRef]
- Wang, P.; Hui, X.; Lu, B.; Lilith, N.; Liu, J.; Alam, S. Left-Right Discrepancy for Adversarial Attack on Stereo Networks. arXiv 2024, arXiv:2401.07188. [Google Scholar]
- Parveen, S.; Ahmad, S.M.S.; Hanafi, M.; Adnan, W.A.W. Face anti-spoofing methods. Curr. Sci. 2015, 108, 1491–1500. [Google Scholar]
- Xie, C.; Zhang, Z.; Zhou, Y.; Bai, S.; Wang, J.; Ren, Z.; Yuille, A.L. Improving Transferability of Adversarial Examples With Input Diversity. In Proceedings of the 2019 IEEE/CVF Conference on Computer Vision and Pattern Recognition (CVPR), Long Beach, CA, USA, 15–20 June 2019; pp. 2725–2734. [Google Scholar]
- Berger, Z.; Agrawal, P.; Liu, T.Y.; Soatto, S.; Wong, A. Stereoscopic Universal Perturbations across Different Architectures and Datasets. In Proceedings of the 2022 IEEE/CVF Conference on Computer Vision and Pattern Recognition (CVPR), New Orleans, LA, USA, 18–24 June 2022; pp. 15159–15169. [Google Scholar]
- Zhang, Z.; Wu, T. Learning Ordered Top-k Adversarial Attacks via Adversarial Distillation. In Proceedings of the 2020 IEEE/CVF Conference on Computer Vision and Pattern Recognition Workshops (CVPRW), Seattle, WA, USA, 14–19 June 2020; pp. 3364–3373. [Google Scholar]
- Kannan, H.; Kurakin, A.; Goodfellow, I. Adversarial logit pairing. arXiv 2018, arXiv:1803.06373. [Google Scholar]
- Xie, C.; Wu, Y.; Maaten, L.v.d.; Yuille, A.L.; He, K. Feature Denoising for Improving Adversarial Robustness. In Proceedings of the 2019 IEEE/CVF Conference on Computer Vision and Pattern Recognition (CVPR), Long Beach, CA, USA, 15–20 June 2019; pp. 501–509. [Google Scholar]
- Zhang, X.; Zheng, X.; Mao, W. Adversarial Perturbation Defense on Deep Neural Networks. ACM Comput. Surv. 2022, 54, 159. [Google Scholar] [CrossRef]
- Wong, A.; Mundhra, M.; Soatto, S. Stereopagnosia: Fooling Stereo Networks with Adversarial Perturbations. Proc. Conf. AAAI Artif. Intell. 2021, 35, 2879–2888. [Google Scholar] [CrossRef]
- Hirschmüller, H.; Scharstein, D. Evaluation of Stereo Matching Costs on Images with Radiometric Differences. IEEE Trans. Pattern Anal. Mach. Intell. 2009, 31, 1582–1599. [Google Scholar] [CrossRef]
- Bleyer, M.; Chambon, S. Does color really help in dense stereo matching. In Proceedings of the International Symposium 3D Data Processing, Visualization and Transmission (3DPVT), Paris, France, 17–20 May 2010; pp. 1–8. [Google Scholar]
- Geirhos, R.; Jacobsen, J.-H.; Michaelis, C.; Zemel, R.; Brendel, W.; Bethge, M.; Wichmann, F.A. Shortcut Learning in Deep Neural Networks. Nat. Mach. Intell. 2020, 2, 665–673. [Google Scholar] [CrossRef]
- Mayer, N.; Ilg, E.; Häusser, P.; Fischer, P.; Cremers, D.; Dosovitskiy, A.; Brox, T. A Large Dataset to Train Convolutional Networks for Disparity, Optical Flow, and Scene Flow Estimation. In Proceedings of the 2016 IEEE Conference on Computer Vision and Pattern Recognition (CVPR), Las Vegas, NV, USA, 27–30 June 2016; pp. 4040–4048. [Google Scholar]
- Menze, M.; Geiger, A. Object scene flow for autonomous vehicles. In Proceedings of the 2015 IEEE Conference on Computer Vision and Pattern Recognition (CVPR), Boston, MA, USA, 7–12 June 2015; pp. 3061–3070. [Google Scholar]
- Žbontar, J.; LeCun, Y. Stereo matching by training a convolutional neural network to compare image patches. J. Mach. Learn. Res. 2016, 17, 1–32. [Google Scholar]
- Kendall, A.; Martirosyan, H.; Dasgupta, S.; Henry, P.; Kennedy, R.; Bachrach, A.; Bry, A. End-to-End Learning of Geometry and Context for Deep Stereo Regression. arXiv 2017, arXiv:1703.04309. [Google Scholar]
- Chang, J.R.; Chen, Y.S. Pyramid Stereo Matching Network. In Proceedings of the 2018 IEEE/CVF Conference on Computer Vision and Pattern Recognition, Salt Lake City, UT, USA, 18–23 June 2018; pp. 5410–5418. [Google Scholar]
- Du, X.; El-Khamy, M.; Lee, J. Amnet: Deep atrous multiscale stereo disparity estimation networks. arXiv 2019, arXiv:1904.09099. [Google Scholar]
- Guo, X.; Yang, K.; Yang, W.; Wang, X.; Li, H. Group-Wise Correlation Stereo Network. In Proceedings of the 2019 IEEE/CVF Conference on Computer Vision and Pattern Recognition (CVPR), Long Beach, CA, USA, 15–20 June 2019; pp. 3268–3277. [Google Scholar]
- Xu, T.; Takano, W. Graph Stacked Hourglass Networks for 3D Human Pose Estimation. In Proceedings of the 2021 IEEE/CVF Conference on Computer Vision and Pattern Recognition (CVPR), Nashville, TN, USA, 20–25 June 2021; pp. 16100–16109. [Google Scholar]
- Yee, K.; Chakrabarti, A. Fast Deep Stereo with 2D Convolutional Processing of Cost Signatures. In Proceedings of the 2020 IEEE Winter Conference on Applications of Computer Vision (WACV), Snowmass, CO, USA, 1–5 March 2020; pp. 183–191. [Google Scholar]
- Zhang, F.; Prisacariu, V.; Yang, R.; Torr, P.H.S. GA-Net: Guided Aggregation Net for End-To-End Stereo Matching. In Proceedings of the 2019 IEEE/CVF Conference on Computer Vision and Pattern Recognition (CVPR), Long Beach, CA, USA, 15–20 June 2019; pp. 185–194. [Google Scholar]
- Cheng, X.; Wang, P.; Yang, R. Learning Depth with Convolutional Spatial Propagation Network. IEEE Trans. Pattern Anal. Mach. Intell. 2020, 42, 2361–2379. [Google Scholar] [CrossRef]
- Cheng, X.; Zhong, Y.; Harandi, M.; Dai, Y.; Chang, X.; Li, H.; Drummond, T.; Ge, Z. Hierarchical neural architecture search for deep stereo matching. Adv. Neural Inf. Process. Syst. 2020, 33, 22158–22169. [Google Scholar]
- SSzegedy, C. Intriguing properties of neural networks. arXiv 2013, arXiv:1312.6199. [Google Scholar]
- Kurakin, A.; Goodfellow, I.; Bengio, S. Adversarial examples in the physical world. arXiv 2016, arXiv:1607.02533. [Google Scholar]
- Carlini, N.; Wagner, D. Towards Evaluating the Robustness of Neural Networks. In Proceedings of the 2017 IEEE Symposium on Security and Privacy (SP), San Jose, CA, USA, 22–26 May 2017; pp. 39–57. [Google Scholar]
- Dong, Y.; Liao, F.; Pang, T.; Su, H.; Zhu, J.; Hu, X.; Li, J. Boosting Adversarial Attacks with Momentum. In Proceedings of the 2018 IEEE/CVF Conference on Computer Vision and Pattern Recognition, Salt Lake City, UT, USA, 18–23 June 2018; pp. 9185–9193. [Google Scholar]
- Eykholt, K.; Evtimov, I.; Fernandes, E.; Li, B.; Rahmati, A.; Xiao, C.; Prakash, A.; Kohno, T.; Song, D. Robust Physical-World Attacks on Deep Learning Visual Classification. In Proceedings of the 2018 IEEE/CVF Conference on Computer Vision and Pattern Recognition, Salt Lake City, UT, USA, 18–23 June 2018; pp. 1625–1634. [Google Scholar]
- Ranjan, A.; Janai, J.; Geiger, A.; Black, M. Attacking Optical Flow. In Proceedings of the 2019 IEEE/CVF International Conference on Computer Vision (ICCV), Seoul, Republic of Korea, 27 October–2 November 2019; pp. 2404–2413. [Google Scholar]
- Cao, Y.; Wang, N.; Xiao, C.; Yang, D.; Fang, J.; Yang, R.; Chen, Q.A.; Liu, M.; Li, B. 3d adversarial object against msf-based perception in autonomous driving. In Proceedings of the 3rd Conference on Machine Learning and Systems, Austin, TX, USA, 2–4 March 2020. [Google Scholar]
- Tu, J.; Li, H.; Yan, X.; Ren, M.; Chen, Y.; Liang, M.; Bitar, E.; Yumer, E.; Urtasun, R. Exploring adversarial robustness of multi-sensor perception systems in self driving. arXiv 2021, arXiv:2101.06784. [Google Scholar]
- Chiang, C.-K.; Lin, Y.-D.; Hwang, R.-H.; Lin, P.-C.; Chang, S.-Y.; Li, H.-T. Imperceptible Adversarial Attack via Spectral Sensitivity of Human Visual System. Multimed. Tools Appl. 2023, 83, 59291–59315. [Google Scholar] [CrossRef]
- Bai, T.; Luo, J.; Zhao, J.; Wen, B.; Wang, Q. Recent advances in adversarial training for adversarial robustness. arXiv 2021, arXiv:2102.01356. [Google Scholar]
- Szeliski, R. Computer Vision: Algorithms and Applications; Springer Nature: Berlin/Heidelberg, Germany, 2022; ISBN 9783030343729. [Google Scholar]
- Athalye, A.; Carlini, N.; Wagner, D. Obfuscated Gradients Give a False Sense of Security: Circumventing Defenses to Adversarial Examples. arXiv 2018, arXiv:1802.00420. [Google Scholar]
- Geiger, A.; Lenz, P.; Urtasun, R. Are we ready for autonomous driving? The KITTI vision benchmark suite. In Proceedings of the 2012 IEEE Conference on Computer Vision and Pattern Recognition, Providence, RI, USA, 16–21 June 2012; pp. 3354–3361. [Google Scholar]
- Scharstein, D.; Hirschmüller, H.; Kitajima, Y.; Krathwohl, G.; Nešić, N.; Wang, X.; Westling, P. High-Resolution Stereo Datasets with Subpixel-Accurate Ground Truth. In Lecture Notes in Computer Science; Springer International Publishing: Cham, Switzerland, 2014; pp. 31–42. ISBN 9783319117515. [Google Scholar]
- Cheng, K.; Healey, C.; Wu, T. Towards adversarially robust and domain generalizable stereo matching by rethinking dnn feature backbones. arXiv 2021, arXiv:2108.00335. [Google Scholar]
- Cheng, K.; Wu, T.; Healey, C. Revisiting non-parametric matching cost volumes for robust and generalizable stereo matching. Adv. Neural Inf. Process. Syst. 2022, 35, 16305–16318. [Google Scholar]





Disclaimer/Publisher’s Note: The statements, opinions and data contained in all publications are solely those of the individual author(s) and contributor(s) and not of MDPI and/or the editor(s). MDPI and/or the editor(s) disclaim responsibility for any injury to people or property resulting from any ideas, methods, instructions or products referred to in the content. |
© 2024 by the authors. Licensee MDPI, Basel, Switzerland. This article is an open access article distributed under the terms and conditions of the Creative Commons Attribution (CC BY) license (https://creativecommons.org/licenses/by/4.0/).
Share and Cite
Liu, B.; Ji, J.; Tao, C.; Li, J.; Wang, Y. The Adversarial Robust and Generalizable Stereo Matching for Infrared Binocular Based on Deep Learning. J. Imaging 2024, 10, 264. https://doi.org/10.3390/jimaging10110264
Liu B, Ji J, Tao C, Li J, Wang Y. The Adversarial Robust and Generalizable Stereo Matching for Infrared Binocular Based on Deep Learning. Journal of Imaging. 2024; 10(11):264. https://doi.org/10.3390/jimaging10110264
Chicago/Turabian StyleLiu, Bowen, Jiawei Ji, Cancan Tao, Jujiu Li, and Yingxun Wang. 2024. "The Adversarial Robust and Generalizable Stereo Matching for Infrared Binocular Based on Deep Learning" Journal of Imaging 10, no. 11: 264. https://doi.org/10.3390/jimaging10110264
APA StyleLiu, B., Ji, J., Tao, C., Li, J., & Wang, Y. (2024). The Adversarial Robust and Generalizable Stereo Matching for Infrared Binocular Based on Deep Learning. Journal of Imaging, 10(11), 264. https://doi.org/10.3390/jimaging10110264

