Fabrication of TiFe-Based Electrodes Using High-Energy Ball Mill with Mn Additive for NiMH Batteries
Abstract
1. Introduction
2. Experimental Procedure
2.1. Materials and Instrumentation
2.2. High-Energy Ball Milling
2.3. Investigation of Crystal Size and Lattice Strain
2.4. Electrochemical Experiments
3. Results and Discussion
3.1. Structural Characterization of the HEBM Products
3.2. Morphology and Chemical Composition of the Milled Products
3.3. Phase Transformation of the Milled Product
3.4. Electrochemical Properties of Electrodes Made from the Milled Products
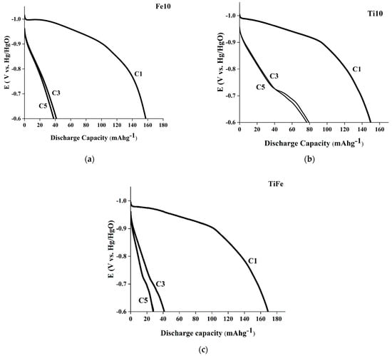
3.4.1. Milling Time Effect
3.4.2. The Additive Effect of Mn
4. Conclusions
Supplementary Materials
Author Contributions
Funding
Institutional Review Board Statement
Informed Consent Statement
Data Availability Statement
Conflicts of Interest
References
- Varin, R.A.; Czujko, T.; Wronski, Z.S. Nanomaterials for Solid State Hydrogen Storage; Springer Science & Business Media: Berlin, Germany, 2009. [Google Scholar]
- Hirscher, D.M.; Dornheim, M. Tailoring Reaction Enthalpies of Hydrides. In Handbook of Hydrogen Storage; Wiely: Hoboken, NJ, USA, 2010. [Google Scholar]
- Omar, N.; Firouz, Y.; Monem, M.A.; Samba, A.; Gualous, H.; Coosemans, T.C.; Van Mierlo, J. Analysis of nickel-based battery technologies for hybrid and electric vehicles. In Reference Module in Chemistry, Molecular Sciences and Chemical Engineering; Elsevier: Amsterdam, The Netherlands, 2014. [Google Scholar]
- Parvez, M.A.; Nazmul Huda, M.; Hisan Farjana, S.; Lang, C. Comparative Life Cycle Environmental Impact Analysis of Lithium-Ion (LiIo) and Nickel-Metal Hydride (NiMH) Batteries. Batteries 2019, 5, 22. [Google Scholar]
- Sujan, G.K.; Pan, Z.; Li, H.; Liang, D.; Alam, N. An overview on TiFe intermetallic for solid-state hydrogen storage: Microstructure, hydrogenation and fabrication processes. Crit. Rev. Solid State Sci. 2020, 45, 410–427. [Google Scholar] [CrossRef]
- Kobayashi, Y.; Teah, H.Y.; Hanada, N. Chemical synthesis of unique intermetallic TiFe nanostructures originating from the morphology of oxide precursors. Nanoscale Adv. 2021, 3, 5284–5291. [Google Scholar] [CrossRef]
- Zhao, X.; Ma, L. Recent progress in hydrogen storage alloys for nickel/metal hydride secondary batteries. Int. J. Hydrogen Energy 2009, 34, 4788–4796. [Google Scholar] [CrossRef]
- Ignacio, E.; Gómez, L.; Edalati, K.; Antiqueira, F.J.; Coimbrão, D.D.; Zepon, G.; Leiva, D.R.; Ishikawa, T.T.; Cubero-Sesin, J.M.; Botta, W.J. Synthesis of Nanostructured TiFe Hydrogen Storage Material by Mechanical Alloying via High-Pressure Torsion. Adv. Eng. Mater. 2020, 22, 2000011. [Google Scholar]
- Jankowska, E.; Jurczyk, M. Electrochemical behaviour of high-energy ball-milled TiFe alloy. J. Alloy. Compd. 2002, 346, L1–L3. [Google Scholar] [CrossRef]
- Jurczyk, M.; Jankowsk, E.; Makowieck, M.; Wieczorek, I. Electrode characteristics of nanocrystalline TiFe-type alloys. J. Alloy. Compd. 2003, 354, L1–L4. [Google Scholar] [CrossRef]
- Ćirić, K.D.; Kocjan, A.; Gradišek, A.; Koteski, V.J.; Kalijadis, A.M.; Ivanovski, V.N.; Laušević, Z.V.; Stojić, D. A study on crystal structure, bonding and hydriding properties of Ti–Fe–Ni intermetallics—Behind substitution of iron by nickel. Int. J. Hydrogen Energy 2012, 37, 8408–8417. [Google Scholar] [CrossRef]
- Jankowska, E.; Makowiecka, M.; Jurczyk, M. Electrochemical performance of sealed NiMH batteries using nanocrystalline TiNi-type hydride electrodes. Renew. Energy 2008, 33, 211–215. [Google Scholar] [CrossRef]
- Miyamura, H.; Takada, M.; Kikuchi, S. Characteristics of hydride electrodes using Ti–Fe–Pd–X alloys. J. Alloy. Compd. 2005, 404, 675–678. [Google Scholar] [CrossRef]
- Zadorozhnyy, V.Y.; Klyamkin, S.N.; Zadorozhnyy, M.Y.; Bermesheva, O.V.; Kaloshkin, S.D. Mechanical alloying of nanocrystalline intermetallic compound TiFe doped by aluminum and chromium. J. Alloy. Compd. 2014, 586, S56–S60. [Google Scholar] [CrossRef]
- Patel, A.K.; Duguay, A.; Tougas, B.; Schade, C.; Sharma, P.; Huot, J. Microstructure and first hydrogenation properties of TiFe alloy with Zr and Mn as additives. Int. J. Hydrogen Energy 2020, 45, 787–797. [Google Scholar] [CrossRef]
- Challet, S.; Latroche, M.; Heurtaux, F. Hydrogen Storage in TiFe(0.70 + x)Mn(0.20 − x) (0 < x < 0.15) and TiFe(0.70)Mn(0.20 − y)Ni(y) (0 < y < 0.08) Metallic Alloys. Mater. Sci. Technol. 2005, 3, 13–21. [Google Scholar]
- Yang, T.; Wang, P.; Xia, C.; Liu, N.; Liang, C.; Yin, F.; Li, Q. Effect of chromium, manganese and yttrium on microstructure and hydrogen storage properties of TiFe-based alloy. Int. J. Hydrogen Energy 2020, 45, 12071–12081. [Google Scholar] [CrossRef]
- Shang, H.; Zhang, Y.; Li, Y.; Qi, Y.; Guo, S.; Zhao, D. Effects of adding over-stoichiometrical Ti and substituting Fe with Mn partly on structure and hydrogen storage performances of TiFe alloy. Renew. Energy 2019, 135, 1481–1498. [Google Scholar] [CrossRef]
- Williamson, G.K.; Hall, W.H. X-ray line broadening from filed aluminium and wolfram. Acta Metall. 1953, 1, 22–31. [Google Scholar] [CrossRef]
- Pollet, B.G.; Staffel l Shang, J.L.; Molkov, V. Fuel-Cell (Hydrogen) Electric Hybrid Vehicles in Alternative Fuels and Advanced Vehicle Technologies for Improved Environmental Performance, Edited by Richard Folkson; Woodhead Publishing: Sawston, UK, 2014. [Google Scholar]
- Gleiter, H. Nanocrystalline materials. Prog. Mater. Sci. 1989, 33, 223–315. [Google Scholar] [CrossRef]
- Suryanarayana, C.; Froes, F.H. The structure and mechanical properties of metallic nanocrystals. Metall. Trans. A 1992, 23, 1071–1081. [Google Scholar] [CrossRef]
- Hotta, H.; Abe, M.; Kuji, T.; Uchida, H. Synthesis of Ti–Fe alloys by mechanical alloying. J. Alloy. Compd. 2007, 439, 221–226. [Google Scholar] [CrossRef]
- Koch, C.C. The synthesis and structure of nanocrystalline materials produced by mechanical attrition: A review. Nanostructured Mater. 1993, 2, 109–129. [Google Scholar] [CrossRef]
- Asaro, R.J.; Krysl, P.; Kad, B. Deformation mechanism transitions in nanoscale fcc metals. Philos. Mag. Lett. 2003, 83, 733–743. [Google Scholar] [CrossRef]
- Suryanarayana, C.; Inoue, A. Bulk Metallic Glasses, 2nd ed.; CRC Press: Boca Raton, FL, USA, 2017. [Google Scholar]
- Balcerzak, M.; Nowak, M.; Jakubowicz, J.; Jurczyk, M. Electrochemical behavior of nanocrystalline TiNi doped by MWCNTs and Pd. Renew. Energy 2014, 62, 432–438. [Google Scholar] [CrossRef]
- Rousselot, S.; Bichat, M.P.; Guay, D.; Roué, L. Structural and electrochemical hydriding characteristics of Mg–Ti-based alloys prepared by high energy ballmilling. J. Electrochem. Soc. 2009, 156, A967. [Google Scholar] [CrossRef]
- Etiemble, A.; Rousselot, S.; Guo, W.; Idrissi, H.; Roué, L. Influence of Pd addition on the electrochemical performance of Mg–Ni–Ti–Al-based metal hydride for Ni–MH batteries. Int. J. Hydrogen Energy 2013, 38, 7169–7177. [Google Scholar] [CrossRef]















| Disk rotation speed | 225 rpm |
| Chamber rotation speed | 450 rpm |
| Disc diameter | 350 mm |
| Chamber capacity | 140 mL |
| Ball diameter | 10 and 20 mm |
| Ball type | Chromium steel (X210CrW12) |
| Ball-to-powder weight ratio | 20:1 |
| Alloy | Composition | Milled Product Code |
|---|---|---|
| TiFe | TiFe | TiFe |
| Ti(1-x)FeMnx | Ti0.8FeMn0.2 | Ti20 |
| Ti0.9FeMn0.1 | Ti10 | |
| TiFe(1-y)Mny | TiFe0.8Mn0.2 | Fe20 |
| TiFe0.9Mn0.1 | Fe10 |
Publisher’s Note: MDPI stays neutral with regard to jurisdictional claims in published maps and institutional affiliations. |
© 2022 by the authors. Licensee MDPI, Basel, Switzerland. This article is an open access article distributed under the terms and conditions of the Creative Commons Attribution (CC BY) license (https://creativecommons.org/licenses/by/4.0/).
Share and Cite
Zali, A.; Kashani-Bozorg, S.F.; Lalegani, Z.; Hamawandi, B. Fabrication of TiFe-Based Electrodes Using High-Energy Ball Mill with Mn Additive for NiMH Batteries. Batteries 2022, 8, 182. https://doi.org/10.3390/batteries8100182
Zali A, Kashani-Bozorg SF, Lalegani Z, Hamawandi B. Fabrication of TiFe-Based Electrodes Using High-Energy Ball Mill with Mn Additive for NiMH Batteries. Batteries. 2022; 8(10):182. https://doi.org/10.3390/batteries8100182
Chicago/Turabian StyleZali, Amir, Seyed Farshid Kashani-Bozorg, Zahra Lalegani, and Bejan Hamawandi. 2022. "Fabrication of TiFe-Based Electrodes Using High-Energy Ball Mill with Mn Additive for NiMH Batteries" Batteries 8, no. 10: 182. https://doi.org/10.3390/batteries8100182
APA StyleZali, A., Kashani-Bozorg, S. F., Lalegani, Z., & Hamawandi, B. (2022). Fabrication of TiFe-Based Electrodes Using High-Energy Ball Mill with Mn Additive for NiMH Batteries. Batteries, 8(10), 182. https://doi.org/10.3390/batteries8100182

