State of Health Estimation of Lithium-Ion Batteries Using Fusion Health Indicator by PSO-ELM Model
Abstract
1. Introduction
2. Extraction and Fusion of Health Indicators
2.1. Battery Data Source
2.2. Extraction of Health Indicators
2.3. Correlation Analysis and Multi-Index Fusion
- (1)
- Let the sample matrix be , where m is the number of samples and n is the number of feature parameters. To eliminate the influence of different dimensions of the feature parameters, each feature parameter needs to be standardized, as shown in Equation (1).In the equation, is the standardized characteristic parameter; and are the sample mean and standard deviation of the j-th characteristic parameter, respectively.
- (2)
- To find the correlation coefficient matrix R, the calculation formulas are as follows: Equations (2) and (3).In the equation, rii = 1, rij = rji, rij is the correlation coefficient between the i-th feature parameter and the j-th feature parameter.
- (3)
- Calculate the eigenvalues of the correlation coefficient matrix R and the eigenvectors corresponding to the eigenvalues.
- (4)
- The contribution rate Ci and cumulative contribution rate C of each feature are calculated according to Equations (4) and (5) respectively.
3. Particle Swarm Optimization Optimizes Extreme Learning Machine
3.1. Extreme Learning Machine
3.2. PSO-Optimized ELM Implementation Process
4. Lithium-Ion Battery SOH Estimates
- (1)
- MAE is calculated as the average of the absolute differences between predicted and actual values. MAE avoids the issue of errors cancelling each other out, thus providing a more accurate reflection of the actual prediction error. A smaller MAE indicates a smaller difference between the predicted and actual values, suggesting better model performance. The calculation of MAE is given by Equation (14):where is the number of test cases, SOH(i) is the actual SOH value of the battery at the i-th cycle, and (i) is the predicted SOH value of the battery at the i-th cycle.
- (2)
- RMSE is primarily used to measure the deviation between predicted and actual values. It is calculated by taking the square root of the average of the squared differences between predicted and actual values. A smaller RMSE indicates a smaller difference between the predicted and actual values, implying higher prediction accuracy. The calculation of RMSE is given by Equation (15):
- (3)
- MAPE expresses the error size as a percentage and is commonly used to evaluate the prediction accuracy of time series models. A MAPE of 0% indicates a perfect model, while a MAPE of 100% indicates a poor model. The calculation of MAPE is given by Equation (16):
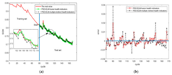
5. Comparative Analysis of the Characterization Results of Health Indicators
6. Conclusions
Author Contributions
Funding
Data Availability Statement
Conflicts of Interest
References
- Kumar, R.R.; Alok, K. Adoption of electric vehicle: A literature review and prospects for sustainability. Clean. Prod. 2020, 253, 119911. [Google Scholar] [CrossRef]
- Guo, J.; Zhang, X.; Gu, F.; Zhang, H.; Fan, Y. Does air pollution stimulate electric vehicle sales? Empirical evidence from twenty major cities in China. Clean. Prod. 2020, 249, 119372. [Google Scholar] [CrossRef]
- Xie, Y.; Jiang, D.; Zhang, Y.J.; Li, W.; Yang, R.; Qian, Y. Joint estimation algorithm of SOC-SOP for lithium-ion battery pack in new energy vehicles. J. Automot. Saf. Energy 2022, 13, 580–589. [Google Scholar]
- Wu, S.J.; Yuan, X.D.; Xu, Q.S.; Chen, B.; Li, Q. Review on lithium-ion battery health state assessment. Chin. J. Power Sources 2017, 41, 1788–1791. [Google Scholar]
- Jiang, J.C.; Gao, Y.; Zhang, C.P.; Wang, Y.B.; Zhang, W.; Liu, S.J. Online Diagnostic Method for Health Status of Lithium-ion Battery in Electric Vehicle. J. Mech. Eng. 2019, 55, 60–72,84. [Google Scholar]
- Hu, X.; Jiang, J.; Cao, D.; Egardt, B. Battery Health Prognosis for Electric Vehicles Using Sample Entropy and Sparse Bayesian Predictive Modeling. IEEE Trans. Ind. Electron. 2016, 63, 2645–2656. [Google Scholar] [CrossRef]
- Lee, T.-Y.; Chen, N. Optimal Capacity of the Battery Energy Storage System in a Power System. IEEE Trans. Energy Convers. 1993, 8, 667–673. [Google Scholar]
- You, G.; Park, S.; Oh, D. Real-Time State-of-Health Estimation for Electric Vehicle Batteries: A Data-Driven Approach. Appl. Energy 2016, 176, 92–103. [Google Scholar] [CrossRef]
- Chen, L.; Lü, Z.; Lin, W.; Li, J.; Pan, H. A New State-of-Health Estimation Method for Lithium-Ion Batteries through the Intrinsic Relationship between Ohmic Internal Resistance and Capacity. Measurement 2018, 116, 586–595. [Google Scholar] [CrossRef]
- Xiong, R.; Li, L.; Tian, J. Towards a Smarter Battery Management System: A Critical Review on Battery State of Health Monitoring Methods. J. Power Sources 2018, 405, 18–29. [Google Scholar] [CrossRef]
- Andre, D.; Nuhic, A.; Soczka-Guth, T.; Sauer, D.U. Comparative study of a structured neural network and an extended Kalman filter for state of health determination of lithium-ion batteries in hybrid electric vehicles. Eng. Appl. Artif. Intell. 2013, 26, 951–961. [Google Scholar] [CrossRef]
- Li, C.; Cui, N.; Cui, Z.; Wang, C.; Zhang, C. Novel equivalent circuit model for high energy lithium-ion batteries considering the effect of nonlinear solid-phase diffusion. J. Power Sources 2022, 523, 230993. [Google Scholar] [CrossRef]
- Wang, L.; Han, J.; Liu, C.; Li, G. State of charge estimation of Lithium-ion based on VFFRLS-noise adaptive CKF algorithm. Ind. Eng. Chem. Res. 2022, 61, 7489–7503. [Google Scholar] [CrossRef]
- Hosseininasab, S.; Lin, C.; Pischinger, S.; Stapelbroek, M.; Vagnoni, G. State-of-health estimation of lithium-ion batteries for electrified vehicles using a reduced-order electrochemical model. J. Energy Storage 2022, 52, 104684. [Google Scholar] [CrossRef]
- Wang, D.; Zhang, Q.; Huang, H.; Yang, B.; Dong, H.; Zhang, J. An electrochemical–thermal model of lithium-ion battery and state of health estimation. J. Energy Storage 2022, 47, 103528. [Google Scholar] [CrossRef]
- Xu, Z.; Wang, J.; Lund, P.D.; Zhang, Y. Co-estimating the state of charge and health of lithium batteries through combining a minimalist electrochemical model and an equivalent circuit model. Energy 2022, 240, 122815. [Google Scholar] [CrossRef]
- Chen, Z.; Mi, C.C.; Fu, Y.; Xu, J.; Gong, X. Online battery state of health estimation based on Genetic Algorithm for electric and hybrid vehicle applications. J. Power Sources. 2013, 240, 184–192. [Google Scholar] [CrossRef]
- Xu, X.; Tang, S.; Yu, C.; Xie, J.; Han, X.; Ouyang, M. Remaining useful life prediction of lithium-ion batteries based on Wiener process under time-varying temperature condition. Reliab. Eng. Syst. Saf. 2021, 214, 107675. [Google Scholar] [CrossRef]
- Lui, Y.H.; Li, M.; Downey, A.; Shen, S.; Nemani, V.P.; Ye, H.; VanElzen, C.; Jain, G.; Hu, S.; Laflamme, S.; et al. Physics-based prognostics of implantable-grade lithium-ion battery for remaining useful life prediction. J. Power Sources 2021, 485, 229327. [Google Scholar] [CrossRef]
- Xu, C.; Li, L.W.; Yang, Y.X. State of Health Estimation of Lithium-Ion Battery Based on Improved Particle Filter. J. Automob. Technol. 2020, 12, 19–24. [Google Scholar]
- Sun, S.S.; Hou, Y.; Gong, X.L. Research of the accelerated fatigue experiment method based on the particle filtering algorithm method and the theory of crack growth. Theor. Appl. Fract. Mech. 2023, 124, 103746. [Google Scholar]
- Liu, L.J.; Gao, Y.Z.; Zhu, J.Z.; Zhang, X. Data-driven SOH estimation of Li-ion battery. Battery Bimon. 2022, 52, 157–161. [Google Scholar]
- Wang, F.; Zhao, Z.; Zhai, Z.; Guo, Y.; Xi, H.; Wang, S.; Chen, X. Feature disentanglement and tendency retainment with domain adaptation for lithium-ion battery capacity estimation. Reliab. Eng. Syst. Saf. 2023, 230, 108897. [Google Scholar] [CrossRef]
- Luo, K.; Chen, X.; Zheng, H.; Shi, Z. A review of deep learning approach to predicting the state of health and state of charge of lithium-ion batteries. J. Energy Chem. 2022, 74, 159–173. [Google Scholar] [CrossRef]
- Nuhic, A.; Terzimehic, T.; Soczka-Guth, T.; Buchholz, M.; Dietmayer, K. Health diagnosis and remaining useful life prognostics of lithium-ion batteries using data-driven methods. J. Power Sources 2013, 239, 680–688. [Google Scholar] [CrossRef]
- Richardson, R.R.; Osborne, M.A.; Howey, D.A. Gaussian process regression for forecasting battery state of health. J. Power Sources 2017, 357, 209–219. [Google Scholar] [CrossRef]
- Wang, S.L.; Wu, F.; Takyi-Aninakwa, P.; Fernandez, C.; Stroe, D.I.; Huang, Q. Improved singular filtering-Gaussian process regression-long short-term memory model for whole-life-cycle remaining capacity estimation of lithium-ion batteries adaptive to fast aging and multi-current variations. Energy 2023, 284, 128677. [Google Scholar] [CrossRef]
- Ding, D.; Sun, N.; Li, A.; Li, Z.; Zhang, Y. Research on vehicle battery data cleaning method based on OOA-VMD-ATGRU-GAN. Phys. Scr. 2024, 99, 045013. [Google Scholar] [CrossRef]
- Feng, S.; Wang, A.; Cai, J.; Zuo, H.; Zhang, Y. Health State Estimation of On-Board Lithium-Ion Batteries Based on GMM-BID Model. Sensors 2022, 22, 9637. [Google Scholar] [CrossRef]
- Manoharan, A.; Begam, K.M.; Aparow, V.R.; Sooriamoorthy, D. Artificial neural networks, gradient boosting and support vector machines for electric vehicle battery state estimation: A review. J. Energy Storage 2022, 55, 105384. [Google Scholar] [CrossRef]
- Ren, Y.M.; Alhajeri, M.S.; Luo, J.; Chen, S.; Abdullah, F.; Wu, Z.; Christofides, P.D. A tutorial review of neural network modeling approaches for model predictive control. Comput. Chem. Eng. 2022, 165, 107956. [Google Scholar] [CrossRef]
- Elman, J.L. Finding structure in time. Cogn. Sci. 1990, 14, 179–211. [Google Scholar] [CrossRef]
- Li, Z.; Bai, F.; Zuo, H.; Zhang, Y. Remaining Useful Life Prediction for Lithium-Ion Batteries Based on Iterative Transfer Learning and Mogrifier LSTM. Batteries 2023, 9, 448. [Google Scholar] [CrossRef]
- Teixeira, R.S.D.; Calili, R.F.; Almeida, M.F.; Louzada, D.R. Recurrent neural networks for estimating the state of health of lithium-ion batteries. Batteries 2024, 10, 111. [Google Scholar] [CrossRef]
- Chen, Z.; Zhao, H.; Zhang, Y.; Shen, S.; Shen, J.; Liu, Y. State of health estimation for lithium-ion batteries based on temperature prediction and gated recurrent unit neural network. J. Power Sources 2022, 521, 230892. [Google Scholar] [CrossRef]
- Guo, F.; Zhu, S.; Huang, G.; Deng, S.; Wang, R.; Jiang, J.; Yan, H.; Lin, R. Optimized GRU based on satin bowerbird algorithm for lithium-ion battery state of health estimation. In Proceedings of the 2023 5th International Conference on Power and Energy Technology (ICPET), Tianjin, China, 27–30 July 2023; pp. 349–353. [Google Scholar]
- Huo, F.; Chen, C.-H. The state of charge estimation based on GRU for lithium-ion batteries. In Proceedings of the 2022 IEEE 11th Global Conference on Consumer Electronics (GCCE), Osaka, Japan, 18–21 October 2022; pp. 220–221. [Google Scholar]
- Chen, Z.; Liu, Y.; Sun, H. Physics-informed learning of governing equations from scarce data. Nat. Commun. 2021, 12, 6136. [Google Scholar] [CrossRef]
- Karniadakis, G.E.; Kevrekidis, I.G.; Lu, L.; Perdikaris, P.; Wang, S.; Yang, L. Physics-informed machine learning. Nat. Rev. Phys. 2021, 3, 422–440. [Google Scholar] [CrossRef]
- Wang, F.; Zhai, Z.; Zhao, Z.; Di, Y.; Chen, X. Physics-informed neural network for lithium-ion battery degradation stable modeling and prognosis. Nat. Commun. 2024, 15, 4332. [Google Scholar] [CrossRef]
- Thelen, A.; Lui, Y.H.; Shen, S.; Laflamme, S.; Hu, S.; Ye, H.; Hu, C. Integrating physics-based modeling and machine learning for degradation diagnostics of lithium-ion batteries. Energy Storage Mater. 2022, 50, 668–695. [Google Scholar] [CrossRef]
- Pan, H.; Lü, Z.; Wang, H.; Wei, H.; Chen, L. Novel battery state-of-health online estimation method using multiple health indicators and an extreme learning machine. Energy 2018, 160, 466–477. [Google Scholar] [CrossRef]
- Razavi-Far, R.; Chakrabarti, S.; Saif, M.; Zio, E.; Palade, V. Extreme learning machine based prognostics of battery life. Int. J. Artif. Intell. Tools 2018, 27, 1850036. [Google Scholar] [CrossRef]
- Luo, X.; Sun, J.; Wang, L.; Wang, W.; Zhao, W.; Wu, J. Short-term wind speed forecasting via stacked extreme learning machine with generalized correntropy. IEEE Trans. Ind. Inform. 2018, 14, 4963–4971. [Google Scholar] [CrossRef]
- Chen, L.; Wang, H.; Liu, B.; Wang, Y.; Ding, Y.; Pan, H. Battery state-of-health estimation based on a metabolic extreme learning machine combining degradation state model and error compensation. Energy 2021, 215, 78–88. [Google Scholar] [CrossRef]
- Ma, Y.; Wu, L.; Guan, Y.; Peng, Z. The capacity estimation and cycle life prediction of lithium-ion batteries using a new broad extreme learning machine approach. J. Power Sources 2020, 476, 228581. [Google Scholar] [CrossRef]
- Ge, D.; Zhang, Z.; Kong, X.; Wan, Z. Extreme learning machine using bat optimization algorithm for estimating state of health of lithium-ion batteries. Appl. Sci. 2022, 12, 1398. [Google Scholar] [CrossRef]
- Hu, X.S.; Che, Y.H.; Lin, X.K.; Onori, S. Battery health prediction using fusion-based feature selection and machine learning. IEEE Trans. Transp. Electrif. 2021, 7, 382–398. [Google Scholar] [CrossRef]
- Li, Z.; Li, A.; Bai, F.; Zuo, H.; Zhang, Y. Remaining useful life prediction of lithium battery based on ACNN-Mogrifier LSTM-MMD. Meas. Sci. Technol. 2023, 35, 016101. [Google Scholar] [CrossRef]
- Zhou, Y.; Huang, M.; Chen, Y.; Tao, Y. A novel health indicator for on-line lithium-ion batteries remaining useful life prediction. J. Power Sources 2016, 321, 1–10. [Google Scholar] [CrossRef]
- Wu, J.; Zhang, C.; Chen, Z. An online method for lithium-ion battery remaining useful life estimation using importance sampling and neural networks. Appl. Energy 2016, 173, 134–140. [Google Scholar] [CrossRef]
- Ju, F.; Du, W.; Zhuang, W.C.; Li, B.; Wang, T.; Wang, W.; Ma, H. Profit-Effective Component Sizing for Electric Delivery Trucks with Dual Motor Coupling Powertrain. Energy 2024, 296, 131055. [Google Scholar] [CrossRef]
- Liu, H.C. Research on Prediction of Remaining Useful Life of Lithium-Ion Battery Based on Improved Neural; Jilin University: Jilin, China, 2021. [Google Scholar]
- Pan, H.H.; Lu, Z.Q.; Fu, B.; Wei, H.; Chen, L. Online Estimation of Lithium-ion Battery’s State of Health Using Extreme Learning Machine. Automot. Eng. 2017, 39, 1375–1381,1396. [Google Scholar]
- Wang, P.; Fan, L.F.; Cheng, Z. A Joint State of Health and Remaining Useful Life Estimation Approach for Lithium-ion Batteries Based on Health Factor Parameter. Proc. CSEE 2022, 42, 1523–1534. [Google Scholar]
- He, Y.; Bai, W.; Wang, L.; Wu, H.; Ding, M. SOH estimation for lithium-ion batteries: An improved GPR optimization method based on the developed feature extraction. J. Energy Storage 2024, 83, 110678. [Google Scholar] [CrossRef]
- Peng, S.; Sun, Y.; Liu, D.; Yu, Q.; Kan, J.; Pecht, M. State of health estimation of lithium-ion batteries based on multi-health features extraction and improved long short-term memory neural network. Energy 2023, 282, 128956. [Google Scholar] [CrossRef]











| Number | Number Meaning | Number | Number Meaning |
|---|---|---|---|
| HI-1 | Voltage interval charging time at 3.8–4.2 V | HI-5 | The IC value at a voltage of 4 V |
| HI-2 | Average charging voltage rise | HI-6 | The voltage value corresponding to the peak of the IC curve |
| HI-3 | Constant current charging time | HI-7 | The time when the battery reaches its maximum temperature |
| HI-4 | The current drops from 1.5 A to the current difference at intervals of 1500 s |
| Health Indicators | B0005 | B0006 | B0007 | B0018 | ||||
|---|---|---|---|---|---|---|---|---|
| r | ρ | r | ρ | r | ρ | r | ρ | |
| HI-1 | 0.9921 | 0.9779 | 0.9481 | 0.9528 | 0.9128 | 0.9375 | 0.8192 | 0.8837 |
| HI-2 | 0.9765 | 0.9592 | 0.9546 | 0.9610 | 0.8914 | 0.9467 | 0.7956 | 0.8788 |
| HI-3 | 0.9387 | 0.9543 | 0.9519 | 0.9569 | 0.9010 | 0.9527 | 0.8474 | 0.9173 |
| HI-4 | −0.9687 | −0.9923 | −0.8985 | −0.9544 | −0.9279 | −0.9526 | −0.8905 | −0.9278 |
| HI-5 | 0.9839 | 0.9763 | 0.9423 | 0.9542 | 0.8710 | 0.9501 | 0.7915 | 0.9008 |
| HI-6 | −0.9696 | −0.9670 | −0.9689 | −0.9860 | −0.9053 | −0.9272 | −0.8542 | −0.8632 |
| HI-7 | 0.9268 | 0.9543 | 0.9371 | 0.9558 | 0.9924 | 0.9865 | 0.8468 | 0.9312 |
| Battery Number | First Principal Component (%) | Second Principal Component (%) | Third Principal Component (%) | Fourth Principal Component (%) | Fifth Principal Component (%) | Sixth Principal Component (%) | Seventh Principal Component (%) |
|---|---|---|---|---|---|---|---|
| B0005 | 95.5054 | 2.4220 | 1.5451 | 0.3280 | 0.1450 | 0.0459 | 0.0066 |
| B0006 | 96.4459 | 2.4936 | 0.7397 | 0.2180 | 0.0729 | 0.0235 | 0.0063 |
| B0007 | 94.7197 | 3.1280 | 1.8262 | 0.2236 | 0.0648 | 0.0301 | 0.0074 |
| B0018 | 94.0327 | 3.5084 | 1.2114 | 1.0145 | 0.1842 | 0.0353 | 0.0136 |
| Battery Number | First Principal Component | |
|---|---|---|
| r | ρ | |
| B0005 | 0.9901 | 0.9844 |
| B0006 | 0.9602 | 0.9606 |
| B0007 | 0.9863 | 0.9770 |
| B0018 | 0.8607 | 0.9085 |
| Algorithm | MAE | MAPE (%) | RMSE | ||||
|---|---|---|---|---|---|---|---|
| Error | B0005 | B0007 | B0005 | B0007 | B0005 | B0007 | |
| PSO-ELM | 0.0031 | 0.0036 | 0.44 | 0.47 | 0.0043 | 0.0046 | |
| ELM | 0.0161 | 0.0164 | 2.34 | 2.14 | 0.0212 | 0.0179 | |
| LSSVM [55] | 0.0037 | 0.0047 | - | - | 0.0047 | 0.0057 | |
| PSO-GPR [56] | 0.0063 | 0.0058 | - | - | 0.0069 | 0.0078 | |
| LSTM [57] | 0.0235 | 0.0181 | 3.24 | 2.36 | 0.0268 | 0.0224 | |
| PSO-LSTM [57] | 0.0126 | 0.0102 | 1.74 | 1.31 | 0.0140 | 0.0112 | |
| Battery Number | Health Indicators | Training Time (s) | Estimated Time (s) | MAE | MAPE (%) | RMSE |
|---|---|---|---|---|---|---|
| B0005 | Fusion health indicators | 27.9863 | 0.0034 | 0.0032 | 0.42 | 0.0038 |
| Multiple indirect health indicators | 31.8802 | 0.0045 | 0.0064 | 0.63 | 0.0068 | |
| B0006 | Fusion health indicators | 26.8932 | 0.0033 | 0.0019 | 0.33 | 0.0032 |
| Multiple indirect health indicators | 31.1125 | 0.0038 | 0.0128 | 1.34 | 0.0128 | |
| B0007 | Fusion health indicators | 27.0581 | 0.0029 | 0. 0034 | 0.41 | 0.0043 |
| Multiple indirect health indicators | 33.1283 | 0.0037 | 0.0046 | 0.53 | 0.0046 | |
| B0018 | Fusion health indicators | 18.9031 | 0.0019 | 0.0051 | 0.71 | 0.0059 |
| Multiple indirect health indicators | 23.7633 | 0.0025 | 0.0088 | 1.22 | 0.0120 |
Disclaimer/Publisher’s Note: The statements, opinions and data contained in all publications are solely those of the individual author(s) and contributor(s) and not of MDPI and/or the editor(s). MDPI and/or the editor(s) disclaim responsibility for any injury to people or property resulting from any ideas, methods, instructions or products referred to in the content. |
© 2024 by the authors. Licensee MDPI, Basel, Switzerland. This article is an open access article distributed under the terms and conditions of the Creative Commons Attribution (CC BY) license (https://creativecommons.org/licenses/by/4.0/).
Share and Cite
Chen, J.; Liu, Y.; Yong, J.; Yang, C.; Yan, L.; Zheng, Y. State of Health Estimation of Lithium-Ion Batteries Using Fusion Health Indicator by PSO-ELM Model. Batteries 2024, 10, 380. https://doi.org/10.3390/batteries10110380
Chen J, Liu Y, Yong J, Yang C, Yan L, Zheng Y. State of Health Estimation of Lithium-Ion Batteries Using Fusion Health Indicator by PSO-ELM Model. Batteries. 2024; 10(11):380. https://doi.org/10.3390/batteries10110380
Chicago/Turabian StyleChen, Jun, Yan Liu, Jun Yong, Cheng Yang, Liqin Yan, and Yanping Zheng. 2024. "State of Health Estimation of Lithium-Ion Batteries Using Fusion Health Indicator by PSO-ELM Model" Batteries 10, no. 11: 380. https://doi.org/10.3390/batteries10110380
APA StyleChen, J., Liu, Y., Yong, J., Yang, C., Yan, L., & Zheng, Y. (2024). State of Health Estimation of Lithium-Ion Batteries Using Fusion Health Indicator by PSO-ELM Model. Batteries, 10(11), 380. https://doi.org/10.3390/batteries10110380

