Abstract
Early blight (EB), caused by the necrotrophic pathogen Alternaria solani, is one of the most common and destructive diseases in the tomato (Solanum lycopersicum L.). The use of fungicides is a prominent tactic used to control EB; however, their undesirable effects on the environment and human health, as well as involvement in the development of resistant strains, have driven researchers to search for new alternatives. Plant defense elicitors are exogenous defense-triggering molecules that induce a plant’s defense system associated with extensive transcriptional- and metabolic reprogramming of the genome and do not cause direct toxicity to phytopathogens. Moreover, 2,6-dichloroisonicotinic acid (INA) was an early-identified and strong plant defense elicitor to various phytopathogens. Recently, the combination of chitosan oligomers and pectin-derived oligogalacturonides that can mimic the induction of plants by a pathogen or damaged-derived molecules (PAMP and DAMP) were characterized as defense elicitors, named FytoSol. In this study, the preventive roles of these two defense elicitors—FytoSol and INA—against EB disease and its molecular basis, were explored. According to the results, FytoSol significantly reduced disease severity by an average of 30% for almost one month with an AUDPC value of 399 compared to the control, which had an AUDPC value of 546. On the contrary, INA did not provide any protection against EB. Gene expression analyses of these two distinct plant defense elicitors indicated that the expression patterns of several SA-, JA-, or ET-pathway-related genes (Pti4, TPK1b, Pto kinase, TomloxD, PRB1-2, SABP2, WRKY33b, WRKY70, PR-5, and PR3) were induced by defense elicitors differently. FytoSol extensively upregulated gene expressions of PR3, downregulated the SA-related defense pathway, and provided remarkable protection against the necrotrophic pathogen Alternaria solani. On the contrary, INA mostly induced genes related to biotrophic and/or hemibiotrophic pathogen protection. Our results indicate that FytoSol is a promising plant defense elicitor against EB and the modes of action of the elicitors are important to characterize their effects against pathogens. Further research may extend the use of defense elicitors as alternatives to pesticides in agriculture.
1. Introduction
Early blight (EB) is one of the most common and destructive diseases in tomatoes (Solanum lycopersicum L.), potatoes (Solanum tuberosum L.), and other plants. Several Alternaria species cause EB; however, the most common one is Alternaria solani, an airborne necrotrophic pathogen [1,2,3]. A. solani can penetrate plant tissues directly or infect through stomata or wounds; the initial symptoms may appear on leaves as black or brown necrotic lesions that enlarge and turn into concentric rings. The fungus also infects different parts of the plants, such as shoots, stems, and fruits [1,4]. The severity of the disease depends on many factors, such as environmental conditions and the susceptibility of the host. In particular, relative humidity, heavy rainfall and dew, temperature, and a stressed host may show heavy EB disease symptoms in the fields and cause excessive yield loss [2]. Moreover, the fungus can adapt to many adverse environmental conditions in the soil, host debris, seeds, or alternate hosts in the form of conidia or mycelia that can help survive the winter, and could be primary sources of inoculum for the next session [5].
The tomato (Solanum lycopersicum L.) is one of the most important vegetable crops with a rich source of antioxidants and nutritional value [1,6]; EB causes detrimental yield losses in tomato production [7]. EB can be controlled by several maneuvers, including cultural practices, fungicides applications, and the use of resistant tomato varieties [1]. While some cultural practices, such as removing infected plant debris and fruits, rotating crops, and reducing humidity, may keep the field healthy, the prominent practice of controlling A. solani is by fungicides. Although they are essential for effective disease control, the frequency of the fungicide application from the beginning to harvest creates a high risk for the environment and health as well as for the development of resistant strains [2,8]. The efficacy of fungicides decreases under high disease pressure [1]. Using resistant tomato varieties is the most effective way to keep EB under control. While several wild tomato species are reported as resistance sources, breeding studies are not enough to achieve full protection against the pathogen [2,9,10].
Plant defense elicitors are exogenous defense triggering molecules that are not directly toxic to phytopathogens [11]. These molecules aim to induce the (constitutive and inducible) plant defense system [12,13]. This system has a complex regulatory mechanism that is associated with extensive transcriptional and metabolic reprogramming of the genome; still, different defense layers (PTI, basal defense, and ETI) are controlled by a common set of defense signals, such as ROIs and Ca2+, and defense-related phytohormones, salicylic acid (SA), ethylene (ET), and jasmonic acid (JA) [14,15]. Regarding the idea of exogenously-induced plant defense systems, White et al. [16] first applied SA to tobacco to trigger the plant defense system against the tobacco mosaic virus; they obtained successful results [11]. To date, an increasing number of different elicitors have been characterized and noted for their usefulness in plant protection [11,17,18,19,20,21]. These elicitors are synthesized artificially or have natural origins.
As plant defense elicitors, 2,6-dichloroisonicotinic acid (INA) and benzo(1,2,3)thiadiazole-7-carbothermic acid S-methyl ester (BTH) were two of the earliest plant defense elicitors discovered by Ciba-Geigy (currently Syngenta) as systemic acquired resistance inducers [22,23,24]. These two compounds have been the most frequently used defense elicitors in research for the past 25–30 years; a large body of literature has been accumulated [11]. In addition to these compounds, β-aminobutyric acid (BABA) is one of the most studied natural plant defense elicitors; research shows that it protects plants against a wide range of pathogens [17].
Studies have demonstrated that INA plays a role as an analog of SA and provides defense responses against a wide spectrum of phytopathogens. For instance, INA protects plants against fungi (Colletotrichum lagenarium, Cercospora nicotianae), tobacco mosaic virus, oomycetes (Peronospora tabacina, Phytophthora parasitica var nicotianae, Hyaloperonospora arabidopsidis), and bacteria (P. syringae pv. tabaci) [11]. It has potential in wide-spectrum defense induction. We could not find any research about A. solani and INA’s activity against this fungal disease.
In addition to well-known defense elicitors, the latest improvements in chemical genomics have enabled scientists to explore more defense elicitors that could be used as pesticide alternatives. In this context, novel plant defense inducers were characterized against several phytopathogens [25,26,27,28,29,30]. Recently, FytoSol was characterized by FytoFend SA. The formulations of this compound contain chitosan oligomers and pectin-derived oligogalacturonides (COS-OGA) that can mimic the induction of plants by the pathogen or damaged-derived molecules (PAMP and DAMP) [31,32,33]. Moreover, van Aubel et al. [33] reported FytoSol’s protective role against P. infestans in the potato and Singh et al. [34] showed its activity on the root-knot nematode Meloidogyne graminicola infecting rice. Moreover, Clinckemaillie’s doctoral dissertation [35] reported the protective role of chitosan oligomers and pectin-derived oligogalacturonides (COS-OGA) against A. solani for 9 days; however, the long-lasting activity was not elucidated. Therefore, the objectives of this study were to (1) investigate the effects of two different plant defense elicitors (FytoSol and INA) against EB caused by A. solani in the tomato, (2) determine the disease severity of EB over several time points to understand the elicitors’ long-lasting activities, and (3) investigate plant response to defense elicitor applications at the molecular level for basal defense mechanisms.
2. Materials and Methods
Plant material and growth conditions: This study was performed with the Moneymaker tomato (Solanum lycopersicum L.) variety. Surface sterilizations of the seeds were conducted with 5% (v/v) sodium hypochlorite (NaOCl) for 5 min, followed by 70% ethanol for 10 min. Sterilized seeds were washed five times with sterile water and germinated in a Petri dish for seven days at room temperature (25–27 °C). Seedlings were transplanted into pots containing peat–perlite mixtures (2:1) in a growth room at 26 °C, with a 16 h/8 h light/dark regime, and relative humidity at 45–60%. The experiments were initiated when seedlings reached the three-four leaf growth stage (5–6 weeks old).
Fungal material and disease assessments: The A. solani EAb 1 isolate [4,36] was generously provided by Dr. Ahmet Akköprü, the Department of Plant Protection, Faculty of Agriculture, Van Yuzuncu Yıl University, Turkey. The pathogen was grown on potato dextrose agar (PDA) and tomato seedlings were sprayed with a conidial suspension of 5 × 105 conidia mL−1 (prepared in sterilized water) using a manual sprayer.
The disease severity (DS) of the plants was evaluated at five consecutive time points (13 days post-inoculation (dpi), 18 dpi, 23 dpi, 28 dpi, and 33 dpi) with the same plants to follow the progress of the disease over time. The evaluation was made based on the five-point (0–5) scale, as the percentage of the compound leaf area covered by necrotic lesions, according to Pandey et al. [37], with minor modifications. The 0–5 scale was; 0 = no symptoms, 1 = 0–11% symptoms, 2 = 11–25% symptoms, 3 = 25–50% symptoms, 4 = 50–75% symptoms, and 5 = 75% dead compound leaves (Figure 1). Disease severity scores were transformed to percentage values for each time point and the area under the disease-progress curve (AUDPC) was calculated according to Pandey et al. [37]. Plant heights were manually measured with a ruler after plant harvesting. Plant shoot fresh weights (PFWs) were obtained using a digital top loading weighing balance (Weightlab Instruments). Plant shoot dry weights (PDWs) were determined after drying at 70 °C for 48 h in a Thermo ventilated oven.
Figure 1.
The 0–5 disease severity scale: 0 = no symptoms, 1 = 0–11% symptoms, 2 = 11–25% symptoms, 3 = 25–50% symptoms, 4 = 50–75% symptoms, and 5 = 75% dead compound leaves.
Plant defense elicitor treatments: FytoSol was kindly obtained from FytoFend SA, Belgium. FytoSol was directly dissolved in distilled water until 0.5% concentration and used in the experiments. When seedlings reached the 3–4 leaf growth stage, they were sprayed three times; 7 days before inoculation (dbi), 4 dbi, and 1 dbi with the compound. Distilled water was sprayed on plants as a control. Elicitor and pathogen untreated plants were assigned as the negative control. FytoSol disease progress evaluation study was conducted as three independent experiments with five replications per experiment.
The 2,6-dichloroisonicotinic acid (INA) was kindly obtained from Dr. Thomas Eulgem, University of California, Riverside, USA. Since INA does not dissolve in water completely, it was first dissolved in DMSO (100%) to a 50 mM stock solution and then it was diluted to 100 μM INA with distilled water. The final DMSO concentrations never exceeded 0.2%. When seedlings reached the 3–4 leaf growth stage, INA was applied to plants 7 days and 1 day prior to the pathogen application. A total of 0.2% of DMSO was sprayed on plants as a control. Elicitor and pathogen untreated plants were assigned as the negative controls. The INA disease progress evaluation study was conducted as three independent experiments with three replications per experiment.
Plant growth effects of the FytoSol under uninfected conditions were evaluated separately as three independent experiments with three replications in each. For this, at the 3–4 leaf growth stage, plants were sprayed with FytoSol or water (control) three times as stated above. Growth parameters were measured on the second and twentieth days after the third application of 0.5% FytoSol or water.
Gene expression analysis: Twenty-four hours after the third application of 0.5% FytoSol or water, or the second application of 100 μM INA or 0.2% DMSO, at day 0, a total of nine single leaves were collected from three plants from the experimental and control groups and immediately grounded/pooled in liquid nitrogen. For the gene expression analyses, experiments were repeated three times with three replicates per treatment and the samples were moved to −80 °C until further studies after grounding in liquid nitrogen. Total RNA isolation was performed with a PureLink RNA Mini Kit (Thermo Fisher Scientific, Waltham, MA, USA) following the manufacturer’s instructions. The concentration and purity of the total RNA extracts were determined using a Multiskan GO spectrophotometer (Thermo Scientific). Afterward, DNA was removed from the RNA extracts by using the RNase-Free DNase I (Thermo Scientific). cDNA was synthesized using the RevertAid First Strand cDNA Synthesis Kit (Thermo Fisher Scientific). Selected tomato defense-related genes (Supplementary Table S1) were evaluated. Three biological replicates and three technical replicates were performed for each experimental group and the expression patterns of these genes were quantified by real-time reverse transcription-quantitative PCR using the PicoReal Real-Time PCR system (Thermo Scientific). The CT values provided from real-time PCR instrumentation were imported into an excel sheet and the expression levels were calculated for each gene of interest, normalized to Actin using the 2−ΔΔCT method as described by Livak and Schmittgen [38]. The mean, SD, and CV values were determined from three biological and three technical replicates. The variation was determined by the mean +-SD and statistical data were converted to the linear form by the 2−CT calculation.
Statistical analysis: All obtained data were tested for normality using the Shapiro–Wilk test. Data for plant growth parameters were subjected to analysis of variance (ANOVA) and the means were separated using the least significant difference (LSD) multiple range tests (p < 0.05). Disease severity and progress values were evaluated according to the Student’s t-test with a significance threshold of p < 0.05. All statistical analyses were performed using the Statistix software V10 (Analytical Software, Tallahassee, FL, USA).
3. Results
3.1. Evaluation of the Effects of FytoSol on Alternaria solani Disease Severity and Progress
In this study, we aimed to investigate the long-lasting activities of two different defense elicitors (FytoSol and INA) against EB disease caused by A. solani in the tomato. To evaluate the effects of FytoSol (a newly identified plant defense elicitor) against A. solani infection—at the 3–4 leaf growth stage, 0.5% of FytoSol or water (control) treatments were applied to plants three times (7, 4, and 1 dbi) before A. solani inoculation (5 × 105 spores mL−1). After pathogen inoculation, the disease symptoms were evaluated using a 0–5 disease severity scale [37] every five days beginning 13 days post-inoculation (dpi), followed by 18, 23, 28, and 33 dpi. According to the results, while the severity of the disease increased over time, FytoSol was able to reduce disease severity significantly at the first four time points compared to the control (Table 1). FytoSol-treated plants showed 33%, 29%, 33%, and 24% fewer disease symptoms compared to control treatments at the first four-time points (13, 18, 23, and 28 dpi), respectively. At 33 dpi, FytoSol still demonstrated reduced disease symptoms (16%), which was not statistically significant. Moreover, the AUDPC value that measures quantitative severity of the disease from multiple observations revealed that FytoSol treatment clearly prevents disease development compared to the control (Table 1).
Table 1.
The effects of FytoSol on Alternaria solani disease severity and progress on the tomato. Disease symptoms were evaluated using a 0–5 disease severity scale at five-time points (13, 18, 23, 28, and 33 dpi). The AUDPC value measures the quantitative severity of the disease from 13 to 33 dpi observations.
According to the morphological observations, while plant heights were not significantly different between A. solani-infected and -uninfected plants, the growth parameters of the plants were mostly reduced in infected plants compared to the negative controls (Figure 2). This reduction was also observed in PFW and PDW values. Nevertheless, the FytoSol application was able to reverse the negative effect of disease on PFW compared to the control (Figure 2B). This difference was not significant on PDW. On the other hand, the FytoSol application itself did not affect plant biomass or other growth parameters on uninfected healthy plants (Supplementary Figure S1).
Figure 2.
The effects of FytoSol on (A) plant fresh weight, (B) plant dry weight, and (C) plant height on Alternaria solani-infected or -uninfected (negative control) tomato plants. Columns with different letters are significantly different according to the LSD test (p < 0.05).
3.2. Evaluation of the Effects of INA on Alternaria solani Disease Severity and Progress
To understand and compare the underlying mechanisms of two different elicitors, we treated tomato plants with a well-known plant defense elicitor, 2,6-dichloroisonicotinic acid (INA), at 7 dbi and 1 dbi on A. solani-inoculated plants. After pathogen inoculation, the disease symptoms were evaluated at 18, 23, 28, and 33 dpi based on a 0–5 disease severity scale. According to the results, INA did not reduce the disease severity of EB at any of the time points, even increasing it significantly at 28 dpi (Table 2). The application of INA also increased AUDPC values (Table 2). Correlating with those results, plant height and PFW have also been affected by A. solani inoculation. Moreover, the INA application reduced plant height and PFW significantly due to increased disease pressure compared to the control (Figure 3).
Table 2.
The effect of 2,6-dichloroisonicotinic acid (INA) on Alternaria solani disease severity and progress on the tomato. Disease symptoms were evaluated using a 0–5 disease severity scale at 18, 23, 28, and 33 dpi. The AUDPC value measures the quantitative severity of the disease from 18 to 33 dpi observations.
Figure 3.
The effects of 2,6-dichloroisonicotinic acid (INA) on (A) plant fresh weight, (B) plant dry weight, and (C) plant height on A. solani-infected or -uninfected (negative control) tomato plants. Columns with different letters are significantly different according to the LSD test (p < 0.05).
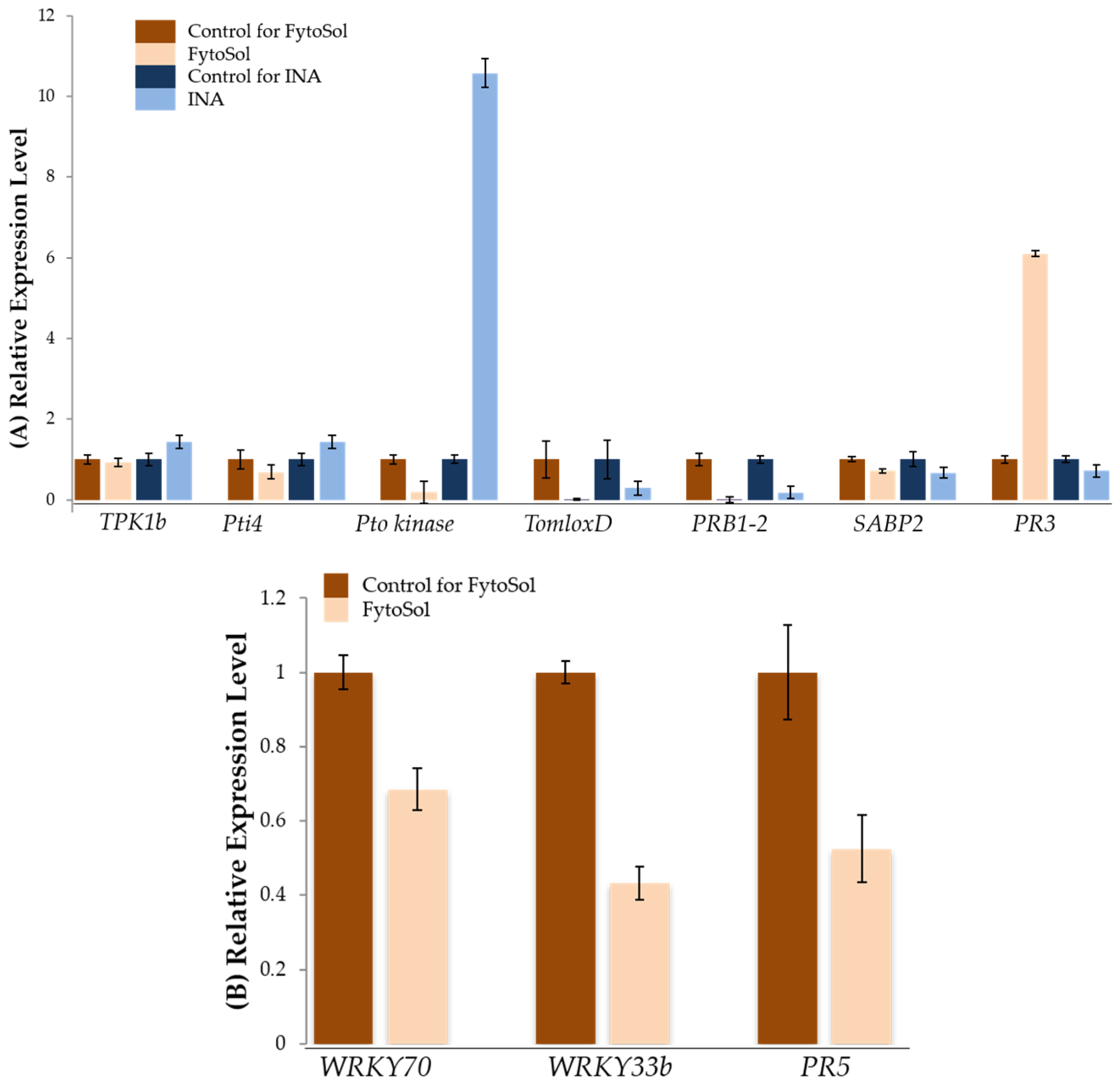
3.3. The Immune-Related Gene Expressions of Tomato Leaves with FytoSol and INA Applications
The disease severity index, AUDPC values, and morphological parameters demonstrated the effects of two different plant defense elicitors against A. solani. While FytoSol successfully reduced the disease severity of EB, INA did not reduce or even increase the disease severity. In this section, we explore the underlying mechanisms that the plant responses (under the defense elicitor applications) were aimed to elicit. For this, the expression patterns of defense-associated genes (Pti4, TPK1b, Pto kinase, TomloxD, PRB1-2, SABP2, WRKY33b, WRKY70, PR-5, and PR3), which might play a role in the plant basal defense against EB, were quantified using RT-qPCR. The expression profiles of FytoSol-applied plants were compared to control (water) and normalized with Actin. INA-applied plants were compared relative to 0.2% DMSO (control)-sprayed plants. According to the results, FytoSol and INA induced plant defense systems differently.
According to the TPK1b and Pti4 defense gene relative expressions—both were slightly upregulated with INA application, while FytoSol did not change their relative expression levels (Figure 4A). Correlated with that, Pto kinase expression was also intensively upregulated (10-fold) with INA application but downregulated with FytoSol (Figure 4A). Relative expressions of TomloxD and PRB1-2 were also downregulated with both FytoSol and INA applications (Figure 4A). Furthermore, relative expressions of SABP2 were slightly downregulated with both FytoSol and INA applications (Figure 4A). Moreover, FytoSol significantly downregulated both WRKY33b and WRKY70 gene expressions compared with those of the control treatment (Figure 4B). Two key pathogenesis-related genes (PR genes) were also evaluated after FytoSol or INA application. While the relative expression of PR3 was extensively upregulated (6-fold) with the FytoSol application, INA did not induce PR3 gene expression (Figure 4A). On the contrary, transcript levels of PR-5, one of the marker genes of the salicylic acid-related pathway, were downregulated with the FytoSol application (Figure 4B). All of these results implicated that FytoSol and INA applications induced the basal plant defense differently, and the FytoSol-induced defense pathway effectively protects the plant against EB.
Figure 4.
Effects of FytoSol and 2,6-dichloroisonicotinic acid (INA) on transcriptional changes of defense-related genes in the tomato. (A) Quantitative real-time PCR analysis of defense-related genes; TPK1b, Pti4, Pto kinase, TomloxD, PRB1-2, SABP2, PR3 after FytoSol, INA, or control applications. (B) Quantitative real-time PCR analysis of defense-related genes; WRKY33b, WRKY70, PR-5 after FytoSol or control applications. Values present mean ± SE of three biological replicates per treatment. Defense-related genes were normalized to Actin.
4. Discussion
Alternaria solani is an important fungal pathogen that causes early blight and significant economic losses worldwide on tomatoes [1]. While pesticides are commonly used against EB, their negative effects on the environment and human health, and development of resistant strains due to pesticide overuse have forced researchers to explore alternative plant protection methods [5,11,39]. The induction of plant defenses (in response) is one tempting method for disease protection in agricultural fields. Plant defense elicitors are specific molecules that induce plant defense responses and are considered candidates against pesticides for plant protection [11].
In the current study, we investigated two promising plant defense elicitors—FytoSol, which is a newly revealed plant defense elicitor [31,32], and INA, which is an early-identified and well-known plant defense elicitor [22,33]. Their preventive roles against EB and its molecular basis were explored in the tomato.
According to the results, the application of FytoSol reduced the severity of EB disease by approximately 33% two weeks after the last elicitor application. While EB disease progressed over time, the protection activity of FytoSol continued significantly (p < 0.05) for almost one month with an average of 30% protection until the fifth time point (Table 1) compared to the control. Even though it is not statistically significant, the reduction in disease severity continued at the fifth time point (33 dpi). The AUDPC value also revealed FytoSol’s protective role against EB (Table 1). Previously, Clinckemaillie [35] reported the protective role of the chitosan oligomers and pectin-derived oligogalacturonides (COS-OGA) against A. solani. That result is also consistent with ours—that EB can be repressed by application of the FytoSol. However, they reported a higher (80%) protection ratio against A. solani than the current study. The percentage of the protection might be differentiated based on the races and/or virulence of the A. solani as well as the applied concentration of the pathogen used in these studies. While 5 × 105 conidia per mL were used in this study, Clinckemaillie [35] used 45 × 103 conidia per mL. Moreover, the ages of the plants and plant growth conditions might be factors for different disease protection rates [2]. They used four-week-old plants; in this study, 5–6 week old plants were used. Moreover, here, the disease severity was evaluated from 13 to 33 dpi at five-day intervals; they started monitoring disease severity at an earlier growth stage—two days after pathogen inoculation; they evaluated for seven days (a total of 9 dpi). It is possible that the induction of defense responses could be very high in the very first days and then might plateau at a certain level to provide a smooth response against this pathogen. FytoSol still provided durable protection against EB for more than a month. Regarding the plant growth parameters, the results showed that plants prioritize their defenses toward growth and reallocate the resources for protection [40,41], ending up with a reduction in plant growth parameters compared to the negative control (Figure 2). However, FytoSol was able to reverse morphological growth reductions caused by EB and improve PFW compared to the control (on infected plants) (Figure 2); on the other hand, FytoSol itself did not have any positive or negative effects on plant growth in uninfected healthy plants (Supplementary Figure S1).
As a second defense inducer, a common and effective dose of INA (100 μM) was applied to plants before A. solani inoculation. It showed that INA did not induce the plant basal defense against EB; it even increased the disease susceptibility as plants aged (Table 2 and Figure 3). Previously, INA was found to be effective against Colletotrichum orbiculare (previously Colletotrichum lagenarium) and Cercospora nicotianae as fungal pathogens [42,43]. However, both of these pathogens are hemibiotroph, whose lifecycles are biotrophic at the early stages of infection and then switch to the necrotrophic phase [44,45]. On the other hand, A. solani is a necrotrophic pathogen [2]. INA may especially interact with defense systems that are related to biotrophs and hemibiotrophs but not to necrotrophs [46,47]. Another possibility might be related to SA; since INA did not cause any changes in SA levels, it may not activate EB protection through SA-related defense responses [11,48,49].
The reduced disease severity of EB on the FytoSol-applied plants—but not on INA-applied plants—suggests that basal plant resistance induced by FytoSol is distinct from INA-induced. To understand the molecular mechanism, some of the major plant defense-associated genes related to salicylic acid-, jasmonic acid-, and ethylene-related pathways were investigated by RT-qPCR assays on the tomato leaves (Figure 4). One of the ethylene-responsive genes, Pti4, which encodes a transcription factor that belongs to the ERF (ethylene-responsive element-binding factor) family of proteins [50], was evaluated. Relative expression of Pti4 did not change with the FytoSol application, which suggests that the Pti4-related ethylene-responsive defense activation does not have a major role against EB, while jasmonic acid and ethylene-induced mechanisms are generally emphasized for necrotrophic pathogens [46]. Rasool et al. [51] also found that Pti4 is less responsive to soil biochar amendments and related EB protection as well. On the contrary, Pti4 relative expression was upregulated with INA application (Figure 4A). Previous research showed that Pti4 is important to activate the expression of GCC-box PR genes against the hemibiotroph pathogen Pseudomonas syringae pv tomato in Tomato [50,52,53]. Another gene that functions through modulation of ET signaling, tomato protein kinase 1 (TPK1b), which encodes the receptor-like cytoplasmic kinase, was also investigated [54]. Pathogen infection, mechanical wounding, and oxidative stress induce TPK1b expression; reduced gene expression of TPK1b with RNA interference increases plant susceptibility against the necrotrophic fungus Botrytis cinerea and insect herbivory [55]. In this study, the application of FytoSol did not change the TPK1b gene expression, implying that FytoSol-related defense activation is not through TPK1b transcription (Figure 4A). On the contrary, INA application induced TPK1b gene expression. A previous study demonstrated that INA did not activate SA accumulation [49,56], but intact SA signaling is required for EB protection [48]. Therefore, while TPK1b gene activation occurs in INA-applied plants, INA may not induce a plant defense against EB, due to the lack of intact SA signaling.
Pto kinase is a disease resistance gene that encodes serine/threonine kinase. Its interaction with the pathogen avirulence (avr) gene avrPto triggers signaling pathways, leading to effector-triggered immunity (ETI) and it inhibits Pseudomonas syringae pathovar tomato growth [57]. Khan et al. [58] demonstrated that Pti4 also interacts with Pto kinase in the tomato. So, we evaluated the relative gene expression of Pto kinase and found that INA application intensively upregulated (10-fold increase) Pto Kinase expression as well. However, Pto kinase expression was downregulated with the FytoSol application (Figure 4A). This finding is also consistent with Pti4 gene expression results. Pto kinase does not seem to have any role in defense signaling against the necrotrophic pathogen A. solani.
The gene expression level of the jasmonic acid-related gene TomloxD, which encodes lipoxygenase and is involved in JA synthesis [51], was also evaluated. It was reported that pathogen attacks, drought stress, physical injury, as well as hormone applications (abscisic and jasmonic acid) regulate TomloxD expression [59]. Here, the relative expression of TomloxD was downregulated with the FytoSol application, which was also consistent with Clinckemaillie’s [35] findings (Figure 4A). Moreover, the INA application did not induce relative TomloxD expression. Although a previous study reported overexpression of TomloxD owing to enhanced resistance against biotrophic fungal pathogen Cladosporium fulvum and high temperature in tomatoes [60], current findings evidenced that TomloxD-regulated-JA defense pathways were not activated by these inducers for EB protection.
One of the previous studies found that the application of benzoic acid and its hydroxylated derivatives upregulated salicylic acid-binding protein (SABP2) and pathogenesis-related protein (PRB1-2) gene expressions and reduced A. solani disease severity [61]. Therefore, we investigated the modes of action of FytoSol and INA on SABP2 and PRB1-2 gene expressions. SABP2 is a protein that plays a role in the conversion of methyl salicylic acid (MeSA) into salicylic acid (SA) and induces SAR [62]. The application of these two defense inducers downregulated SABP2 gene expression (Figure 4A). This finding is also consistent with Brouwer et al. [48], who claimed that intact SA-signaling is key for EB protection. Apparently, modes of action of INA and FytoSol were not through conversion of methyl salicylic acid (MeSA) into salicylic acid (SA). Although INA is an analog of the SA, it does not trigger any changes in SA levels unlike the exogenous application of SA [43]. However, other SA-analog; benzothiadiazole (BTH), and benzoic acid applications increased SA levels and induced resistance against EB [35,61], providing insight into the uniqueness of each elicitor for plant protection. Related to these findings, FytoSol and INA applications did not upregulate the expression of PRB1-2 (Figure 4A), one of the pathogenesis-related-like proteins. While previous studies demonstrated the activity of SABP2 and PRB1-2 against EB protection, none of the tested plant defense elicitors induced their transcript levels.
The WRKY transcription factors family is crucial in plant immune responses [63]. Here, WRKY33b and WRKY70 were analyzed as two important members of this family, with FytoSol application downregulating WRKY33b and WRKY70 gene expressions (Figure 4B). On the contrary, previous research showed that INA upregulated their activities [64]. Previous studies reported that WRKY33 and WRKY70 have complex roles against biotic and abiotic stress factors [63,65,66,67]. WRKY70 mostly has a role against biotrophic pathogens and it increases susceptibility to necrotrophs as a node of convergence for SA- and JA-mediated defense signaling [68,69]. WRKY33 was previously found to be an important transcription factor for plant resistance against necrotrophic fungal pathogens [65,66], but the main mode of action may not be through this signaling pathway for all necrotrophic pathogens.
Pathogenesis-related genes (PR genes) are key components of the plant defense system. They are induced by infection or defense signaling molecules and are used as molecular markers of the defense signaling system [70,71]. PR genes are diverse molecules that differ in structure, mechanisms/modes of action, and specificity to the pathogen [72]. While some of them are hydrolytic enzymes (such as chitinases (PR3)), others are antimicrobial proteins (such as defensins), phytoalexins, antifungal proteins, etc. [72,73]. Specific PR proteins are activated based on the type of pathogen. Biotrophic pathogens activate the SA pathway and related PR genes (PR1, PR2, and PR5), while necrotrophic pathogens stimulate the JA pathway and activate the JA marker PR genes (PR3, PR4, and PR12) [74]. In these circumstances, the expression of the PR5, one of the marker genes of the salicylic acid-related pathway, and PR3 (Chitinase/Chi3), which encodes a basic chitinase involved in the ethylene/jasmonic acid-mediated signaling pathway, were evaluated under FytoSol or INA treatment. According to the results, PR5 gene expression was induced with the INA treatment [64], but FytoSol downregulated its expression (Figure 4B). On the contrary, the PR3 gene expression was extensively upregulated with the application of FytoSol (6-fold change), but INA did not induce the PR3 gene expression (Figure 4A). FytoSol is one of the combinations of COS-OGA [34] and chitosan oligomers are the outcomes of the chitin deacetylation and hydrolysis [75]. Chitin is a major component of most fungal cell walls. When the pathogen attack occurs, plants recognize and respond to chitin with chitinases and some pathogenesis-related proteins and induce the plant defense responses [76,77,78]. Khan et al. [58] found that plant chitinases provide strong antifungal effects; transgenic potato plants over-express endo-chitinase and increase disease resistance against A. solani. Similar results were obtained with the transgenic tomato that expressed the rice chitinase gene [79]. As a second component of the structure, pectin-derived oligogalacturonides (OGA) are the products of the degraded pectin wall structure upon pathogen invasion that also induces plant defense response [80,81]. While FytoSol already has promising potential with chemical composition, the fracture of the composition is important for induction.
In this study, comparisons of the two different defense inducers provided an understanding of the function of these elicitors as well as plant defense responses against the necrotrophic pathogen A. solani. In conclusion, INA-regulated defense activation did not provide effective protection against A. solani. On the contrary, FytoSol showed promising effects as a plant defense elicitor against A. solani without a direct toxic effect on the pathogen [35]. While studies showed that mostly JA- and ET-related defense responses act against necrotrophic pathogens and SA-related defenses act against biotrophs [46], recent studies also provided controversial information to claim that SA-, ET-, and JA-related defense responses involve widespread transcriptional reprogramming against A. solani [48,61,82]. In this study, FytoSol’s defense induction activity seemed to target PR3 induction against A. solani. Furthermore, the mode-of-action of FytoSol might be through downregulation of some of the key genes of the SA pathway, including WRKY70, PR5, SABP2, and PRB1-2, which might antagonistically affect defense responses to necrotrophic pathogens. Our findings are also consistent with previous research [35]. Moreover, van Aubel et al. [33] stated that the application of FytoSol efficiently protects the plant against P. infestans by keeping the SA pathway under control; Singh et al. [34] showed its protective activity against root-knot nematode Meloidogyne graminicola infection in rice. This information provides valuable input for its usage in agricultural fields.
5. Conclusions
Early blight is one of the most common and destructive diseases in the tomato, mostly caused by Alternaria solani. Fungicides are prominent in controlling A. solani; however, their application creates a high risk to the environment and human health (and could lead to the development of resistant strains). In this study, as an alternative to pesticides, the preventive roles of two defense elicitors (FytoSol and INA) against EB disease and the molecular basis of plant induction through elicitor applications were investigated. Based on the results, pronounced protection was provided with FytoSol, although INA did not achieve any of it. The molecular bases of these results reflect their differences in the activation of plant defenses and provide us with valuable information. With that information, future research may elucidate the complex mechanisms of plant responses against different pathogens and may help in the design of ideal plant defense elicitors—extending the use of defense elicitors as alternatives to pesticides in agriculture.
Supplementary Materials
The following supporting information can be downloaded at: https://www.mdpi.com/article/10.3390/horticulturae8060484/s1, Figure S1: The effects of FytoSol on growth parameters; plant height (PH) first and second measurements, stem diameter first and second measurements, plant fresh (PFW) and dry (PDW) weights on uninfected tomato plants; Table S1: List of tomato genes and corresponding primers used for the gene expression analysis. References [83,84,85] are citied in the Supplementat Materials.
Funding
This research received no external funding.
Institutional Review Board Statement
Not applicable.
Informed Consent Statement
Not applicable.
Data Availability Statement
Not applicable.
Acknowledgments
The author is grateful to Thomas Eulgem for providing INA and Ahmet Akköprü for providing the A. solani isolate.
Conflicts of Interest
The author declares no conflict of interest.
References
- Adhikari, P.; Oh, Y.; Panthee, D. Current Status of Early Blight Resistance in Tomato: An Update. Int. J. Mol. Sci. 2017, 18, 2019. [Google Scholar] [CrossRef] [PubMed] [Green Version]
- Foolad, M.R.; Merk, H.L.; Ashrafi, H. Genetics, genomics and breeding of late blight and early blight resistance in tomato. Crit. Rev. Plant Sci. 2008, 27, 75–107. [Google Scholar] [CrossRef]
- Shinde, B.A.; Dholakia, B.B.; Hussain, K.; Aharoni, A.; Giri, A.P.; Kamble, A.C. WRKY1 acts as a key component improving resistance against Alternaria solani in wild tomato, Solanum arcanum Peralta. Plant Biotechnol. J. 2018, 16, 1502–1513. [Google Scholar] [CrossRef] [PubMed] [Green Version]
- Boyno, G.; Demir, S.; Danesh, Y.R. Effects of some biological agents on the growth and biochemical parameters of tomato plants infected with Alternaria solani (Ellis & Martin) Sorauer. Eur. J. Plant Pathol. 2021, 162, 19–29. [Google Scholar]
- Jindo, K.; Evenhuis, A.; Kempenaar, C.; Pombo Sudré, C.; Zhan, X.; Goitom Teklu, M.; Kessel, G. Review: Holistic pest management against early blight disease towards sustainable agriculture. Pest Manag. Sci. 2021, 77, 3871–3880. [Google Scholar] [CrossRef]
- The Food and Agriculture Organization of the United Nations (FAO)—FAOSTAT. Crops and Livestock Products. 2021. Available online: https://www.fao.org/faostat/en/#data/QCL/visualize (accessed on 30 January 2022).
- Kumar, S.; Singh, R.; Kashyap, P.L.; Srivastava, A.K. Rapid detection and quantification of Alternaria solani in tomato. Sci. Hortic. 2013, 151, 184–189. [Google Scholar] [CrossRef]
- Odilbekov, F.; Selga, C.; Ortiz, R.; Chawade, A.; Liljeroth, E. QTL Mapping for resistance to early blight in a tetraploid potato population. Agronomy 2020, 10, 728. [Google Scholar] [CrossRef]
- Singh, A.K.; Rai, N.; Singh, R.K.; Singh, R.P.; Singh, V. Genotypes × environment interaction studies on early blight disease of tomato. J. Appl. Hortic. 2013, 15, 207–210. [Google Scholar] [CrossRef]
- Jones, R.W.; Perez, F.G. Assessing possible mechanisms of resistance to early blight caused by Alternaria solani. Potato Res. 2019, 62, 423–434. [Google Scholar] [CrossRef]
- Bektas, Y.; Eulgem, T. Synthetic plant defense elicitors. Front. Plant Sci. 2015, 5, 804. [Google Scholar] [CrossRef]
- Glazebrook, J.; Chen, W.; Estes, B.; Chang, H.S.; Nawrath, C.; Metraux, J.P.; Zhu, T.; Katagiri, F. Topology of the network integrating salicylate and jasmonate signal transduction derived from global expression phenotyping. Plant J. 2003, 34, 217–228. [Google Scholar] [CrossRef] [PubMed]
- Sato, M.; Tsuda, K.; Wang, L.; Coller, J.; Watanabe, Y.; Glazebrook, J.; Katagiri, F. Network modeling reveals prevalent negative regulatory relationships between signaling sectors in Arabidopsis immune signaling. PLoS Pathog. 2010, 6, e1001011. [Google Scholar] [CrossRef] [PubMed] [Green Version]
- Chisholm, S.T.; Coaker, G.; Day, B.; Staskawicz, B.J. Host-microbe interactions: Shaping the evolution of the plant immune response. Cell 2006, 124, 803–814. [Google Scholar] [CrossRef] [PubMed] [Green Version]
- Jones, J.D.; Dangl, J.L. The plant immune system. Nature 2006, 444, 323–329. [Google Scholar] [CrossRef] [Green Version]
- White, R.F. Acetylsalicylic Acid (Aspirin) induces resistance to tobacco mosaic Virus in Tobacco. Virology 1979, 99, 410–412. [Google Scholar] [CrossRef]
- Cohen, Y.; Vaknin, M.; Mauch-Mani, B. BABA-induced resistance: Milestones along a 55-year journey. Phytoparasitica 2016, 44, 513–538. [Google Scholar] [CrossRef]
- Faize, L.; Faize, M. Functional Analogues of Salicylic Acid and Their Use in Crop Protection. Agronomy 2018, 8, 5. [Google Scholar] [CrossRef] [Green Version]
- Tripathi, D.; Raikhy, G.; Kumar, D. Chemical elicitors of systemic acquired resistance—Salicylic acid and its functional analogs. Curr. Plant Biol. 2019, 17, 48–59. [Google Scholar] [CrossRef]
- Youssef, K.; Roberto, S.R.; Tiepo, A.N.; Constantino, L.V.; De Resende, J.T.V.; Abo-Elyousr, K.A.M. Salt Solution Treatments Trigger Antioxidant Defense Response against Gray Mold Disease in Table Grapes. J. Fungi 2020, 6, 179. [Google Scholar] [CrossRef]
- Jamiołkowska, A. Natural compounds as elicitors of plant resistance against diseases and new biocontrol strategies. Agronomy 2020, 10, 173. [Google Scholar] [CrossRef] [Green Version]
- Metraux, J.P.; Signer, H.; Ryals, J.; Ward, E.; Wyss-Benz, M.; Gaudin, J.; Raschdorf, K.; Schmid, E.; Blum, W.; Inverardi, B. Increase in salicylic Acid at the onset of systemic acquired resistance in cucumber. Science 1990, 250, 1004–1006. [Google Scholar] [CrossRef] [PubMed] [Green Version]
- Friedrich, L.; Lawton, K.; Ruess, W.; Masner, P.; Specker, N.; Rella, M.G.; Meier, B.; Dincher, S.; Staub, T.; Uknes, S.; et al. A benzothiadiazole derivative induces systemic acquired resistance in tobacco. Plant J. 1996, 10, 61–70. [Google Scholar] [CrossRef]
- Ward, E.R.; Uknes, S.J.; Williams, S.C.; Dincher, S.S.; Wiederhold, D.L.; Alexander, D.C.; Ahl-Goy, P.; Metraux, J.P.; Ryals, J. A Coordinate gene activity in response to agents that induce systemic acquired resistance. Plant Cell 1991, 3, 1085–1094. [Google Scholar] [CrossRef] [PubMed]
- Bektas, Y.; Rodriguez-Salus, M.; Schroeder, M.; Gomez, A.; Kaloshian, I.; Eulgem, T. The Synthetic Elicitor DPMP (2,4-dichloro-6-{(E)-[(3-methoxyphenyl)imino]methyl}phenol) triggers strong immunity in Arabidopsis thaliana and tomato. Sci. Rep. 2016, 6, 29554. [Google Scholar] [CrossRef] [Green Version]
- Rodriguez-Salus, M.; Bektas, Y.; Schroeder, M.; Knoth, C.; Vu, T.; Roberts, P.; Kaloshian, I.; Eulgem, T. The synthetic elicitor 2-(5-Bromo-2-Hydroxy-Phenyl)-Thiazolidine-4-Carboxylic acid links plant immunity to hormesis. Plant Physiol. 2016, 170, 444–458. [Google Scholar] [CrossRef] [Green Version]
- Noutoshi, Y.; Jikumaru, Y.; Kamiya, Y.; Shirasu, K. ImprimatinC1, a novel plant immune-priming compound, functions as a partial agonist of salicylic acid. Sci. Rep. 2012, 2, 705. [Google Scholar] [CrossRef] [Green Version]
- Noutoshi, Y.; Okazaki, M.; Kida, T.; Nishina, Y.; Morishita, Y.; Ogawa, T.; Suzuki, H.; Shibata, D.; Jikumaru, Y.; Hanada, A.; et al. Novel plant immune-priming compounds identified via high-throughput chemical screening target salicylic acid glucosyltransferases in Arabidopsis. Plant Cell 2012, 24, 3795–3804. [Google Scholar] [CrossRef] [Green Version]
- Noutoshi, Y.; Okazaki, M.; Shirasu, K. Isolation and characterization of the plant immune-priming compounds Imprimatin B3 and -B4, potentiators of disease resistance in Arabidopsis thaliana. Plant Signal. Behav. 2012, 7, 1526–1528. [Google Scholar] [CrossRef] [Green Version]
- Noutoshi, Y.; Okazaki, M.; Shirasu, K. Imprimatins A and B: Novel plant activators targeting salicylic acid metabolism in Arabidopsis thaliana. Plant Signal. Behav. 2012, 7, 1715–1717. [Google Scholar] [CrossRef] [Green Version]
- Cabrera, J.C.; Boland, A.; Cambier, P.; Frettinger, P.; Van Cutsem, P. Chitosan oligosaccharides modulate the supramolecular conformation and the biological activity of oligogalacturonides in Arabidopsis. Glycobiology 2010, 20, 775–786. [Google Scholar] [CrossRef] [Green Version]
- Van Aubel, G.; Buonatesta, R.; Van Cutsem, P. COS-OGA: A novel oligosaccharidic elicitor that protects grapes and cucumbers against powdery mildew. Crop Prot. 2014, 65, 129–137. [Google Scholar] [CrossRef]
- Van Aubel, G.; Serderidis, S.; Ivens, J.; Clinckemaillie, A.; Legrève, A.; Hause, B.; Van Cutsem, P. Oligosaccharides successfully thwart hijacking of the salicylic acid pathway by Phytophthora infestans in potato leaves. Plant Pathol. 2018, 67, 1901–1911. [Google Scholar] [CrossRef] [Green Version]
- Singh, R.R.; Chinnasri, B.; De Smet, L.; Haeck, A.; Demeestere, K.; Van Cutsem, P.; Van Aubel, G.; Gheysen, G.; Kyndt, T. Systemic defense activation by COS-OGA in rice against root-knot nematodes depends on stimulation of the phenylpropanoid pathway. Plant Physiol. Biochem. 2019, 142, 202–210. [Google Scholar] [CrossRef] [PubMed] [Green Version]
- Clinckemaillie, A. Effects and Modes of Action of COS-OGA Based Elicitors against Late and Early Blight on Solanaceae. Ph.D. Thesis, Universite Catholique de Louvain, Louvain-La-Neuve, Belgium, 2017. [Google Scholar]
- Boyno, G.; Demir, S.; Akköprü, A. Domateste Alternaria solani (Ell. & G. Martin) Sor.’ye karşi bazi endofit bakterilerin etkisi. Uluslararası Tarım Yaban Hayatı Bilimleri Derg. 2020, 6, 469–477. [Google Scholar]
- Pandey, K.K.; Pandey, P.K.; Kalloo, G.; Banerjee, M.K. Resistance to early blight of tomato with respect to various parameters of disease epidemics. J. Gen. Plant Pathol. 2003, 69, 364–371. [Google Scholar] [CrossRef]
- Livak, K.J.; Schmittgen, T.D. Analysis of relative gene expression data using real-time quantitative PCR and the 2−ΔΔCT method. Methods 2001, 25, 402–408. [Google Scholar] [CrossRef]
- Nicolopoulou-Stamati, P.; Maipas, S.; Kotampasi, C.; Stamatis, P.; Hens, L. Chemical Pesticides and Human Health: The Urgent Need for a New Concept in Agriculture. Front. Public Health 2016, 4, 148. [Google Scholar] [CrossRef] [Green Version]
- Siemens, D.H.; Keck, A.G.; Ziegenbein, S. Optimal defense in plants: Assessment of resource allocation costs. Evol. Ecol. 2010, 24, 1291–1305. [Google Scholar] [CrossRef]
- Garcia, A.; Martinez, M.; Diaz, I.; Santamaria, M.E. The price of the induced defense against pests: A meta-analysis. Front. Plant Sci. 2021, 11, 615122. [Google Scholar] [CrossRef]
- Metraux, J.P.; Ahlgoy, P.; Staub, T.; Speich, J.; Steinemann, A.; Ryals, J.; Ward, E. Induced Systemic Resistance in Cucumber in Response to 2,6-Dichloro-Isonicotinic Acid and Pathogens. In Advances in Molecular Genetics of Plant-Microbe Interactions Vol. 1; Hennecke, H., Verma, D., Eds.; Springer: Amsterdam, The Netherlands, 1991; Volume 10, pp. 432–439. [Google Scholar]
- Delaney, T.P.; Uknes, S.; Vernooij, B.; Friedrich, L.; Weymann, K.; Negrotto, D.; Gaffney, T.; Gut-Rella, M.; Kessmann, H.; Ward, E.; et al. A central role of salicylic acid in plant disease resistance. Science 1994, 266, 1247–1250. [Google Scholar] [CrossRef] [Green Version]
- Ebert, M.K.; Rangel, L.I.; Spanner, R.E.; Taliadoros, D.; Wang, X.; Friesen, T.L.; Jonge, R.; Neubauer, J.D.; Secor, G.A.; Thomma, B.P.H.J.; et al. Identification and characterization of Cercospora beticola necrosis-inducing effector CbNip1. Mol. Plant Pathol. 2020, 22, 301–316. [Google Scholar] [CrossRef] [PubMed]
- Irieda, H.; Maeda, H.; Akiyama, K.; Hagiwara, A.; Saitoh, H.; Uemura, A.; Terauchi, R.; Takano, Y. Colletotrichum orbiculare secretes virulence effectors to a biotrophic interface at the primary hyphal neck via exocytosis coupled with SEC22-mediated traffic. Plant Cell 2014, 26, 2265–2281. [Google Scholar] [CrossRef] [PubMed] [Green Version]
- Glazebrook, J. Contrasting mechanisms of defense against biotrophic and necrotrophic pathogens. Annu. Rev. Phytopathol. 2005, 43, 205–227. [Google Scholar] [CrossRef] [PubMed]
- Lai, Z.; Mengiste, T. Genetic and cellular mechanisms regulating plant responses to necrotrophic pathogens. Curr. Opin. Plant Biol. 2013, 16, 505–512. [Google Scholar] [CrossRef]
- Brouwer, S.M.; Odilbekov, F.; Burra, D.D.; Lenman, M.; Hedley, P.E.; Grenville-Briggs, L.; Alexandersson, E.; Liljeroth, E.; Andreasson, E. Intact salicylic acid signalling is required for potato defence against the necrotrophic fungus Alternaria solani. Plant Mol. Biol. 2020, 104, 1–19. [Google Scholar] [CrossRef]
- Vernooij, B.; Friedrich, L.; Goy, P.A.; Staub, T.; Kessmann, H.; Ryals, J. 2,6-dicholoroisonicotinic acid-induced resistance to pathogens without the accumulation of Saliciylic acid. Mol. Plant Microbe Interact. 1995, 8, 228–234. [Google Scholar] [CrossRef]
- Gu, Y.Q.; Yang, C.; Thara, V.K.; Zhou, J.; Martin, G.B. Pti4 is induced by ethylene and salicylic acid, and its product is phosphorylated by the Pto kinase. Plant Cell 2000, 12, 771–786. [Google Scholar] [CrossRef] [Green Version]
- Rasool, M.; Akhter, A.; Haider, M.S. Molecular and biochemical insight into biochar and Bacillus subtilis induced defense in tomatoes against Alternaria solani. Sci. Hortic. 2021, 285, 110203. [Google Scholar] [CrossRef]
- Gu, Y.-Q.; Wildermuth, M.C.; Chakravarthy, S.; Loh, Y.-T.; Yang, C.; He, X.; Han, Y.; Martin, G.B. Tomato transcription factors Pti4, Pti5, and Pti6 activate defense responses when expressed in Arabidopsis. Plant Cell 2002, 14, 817–831. [Google Scholar] [CrossRef] [Green Version]
- Wang, Y.; Feng, G.; Zhang, Z.; Liu, Y.; Ma, Y.; Wang, Y.; Ma, F.; Zhou, Y.; Gross, R.; Xu, H.; et al. Overexpression of Pti4, Pti5, and Pti6 in tomato promote plant defense and fruit ripening. Plant Sci. 2021, 302, 110702. [Google Scholar] [CrossRef]
- Smith, J.E.; Mengesha, B.; Tang, H.; Mengiste, T.; Bluhm, B.H. Resistance to Botrytis cinerea in Solanum lycopersicoides involves widespread transcriptional reprogramming. BMC Genom. 2014, 15, 334. [Google Scholar] [CrossRef] [PubMed] [Green Version]
- AbuQamar, S.; Chai, M.-F.; Luo, H.; Song, F.; Mengiste, T. Tomato protein kinase 1b mediates signaling of plant responses to necrotrophic fungi and insect herbivory. Plant Cell 2008, 20, 1964–1983. [Google Scholar] [CrossRef] [PubMed] [Green Version]
- Delaney, T.P.; Friedrich, L.; Ryals, J.A. Arabidopsis signal transduction mutant defective in chemically and biologically induced disease resistance. Proc. Natl. Acad. Sci. USA 1995, 92, 6602–6606. [Google Scholar] [CrossRef] [PubMed] [Green Version]
- Oh, C.-S.; Martin, G.B. Effector-triggered immunity mediated by the Pto kinase. Trends Plant Sci. 2011, 16, 132–140. [Google Scholar] [CrossRef]
- Khan, N.; Mishra, A.; Nautiyal, C.S. Paenibacillus lentimorbus B-30488r controls early blight disease in tomato by inducing host resistance associated gene expression and inhibiting Alternaria solani. Biol. Control 2012, 62, 65–74. [Google Scholar] [CrossRef]
- Porta, H.; Rocha-Sosa, M. Plant lipoxygenases. physiological and molecular features. Plant Physiol. 2002, 130, 15–21. [Google Scholar] [CrossRef] [Green Version]
- Hu, T.; Zeng, H.L.; Hu, Z.; Qv, X.; Chen, G. Overexpression of the Tomato 13-Lipoxygenase Gene TomloxD Increases generation of endogenous jasmonic acid and resistance to Cladosporium fulvum and high temperature. Plant Mol. Biol. Rep. 2013, 31, 1141–1149. [Google Scholar] [CrossRef]
- Nehela, Y.; Taha, N.A.; Elzaawely, A.A.; Xuan, T.D.; Amin, M.A.; Ahmed, M.E.; El-Nagar, A. Benzoic acid and its hydroxylated derivatives suppress early blight of tomato (Alternaria solani) via the induction of salicylic acid biosynthesis and enzymatic and nonenzymatic antioxidant defense machinery. J. Fungi 2021, 7, 663. [Google Scholar] [CrossRef]
- Tripathi, D.; Jiang, Y.L.; Kumar, D. SABP2, a methyl salicylate esterase is required for the systemic acquired resistance induced by acibenzolar-S-methyl in plants. FEBS Lett. 2010, 584, 3458–3463. [Google Scholar] [CrossRef] [Green Version]
- Eulgem, T.; Rushton, P.J.; Robatzek, S.; Somssich, I.E. The WRKY superfamily of plant transcription factors. Trends Plant Sci. 2000, 5, 199–206. [Google Scholar] [CrossRef]
- Bektas, Y. The synthetic elicitors 2,6-dichloro-isonicotinic acid (INA) and 2,4-dichloro-6-{(E)-[(3-methoxyphenyl)imino]methyl}phenol (DPMP) enhances tomato resistance against bacterial canker disease with different molecular mechanisms. Physiol. Mol. Plant Pathol. 2021, 116, 101740. [Google Scholar] [CrossRef]
- Mao, G.; Meng, X.; Liu, Y.; Zheng, Z.; Chen, Z.; Zhang, S. Phosphorylation of a WRKY transcription factor by two pathogen-responsive MAPKs drives phytoalexin biosynthesis in Arabidopsis. Plant Cell 2011, 23, 1639–1653. [Google Scholar] [CrossRef] [PubMed] [Green Version]
- Liu, S.; Ziegler, J.; Zeier, J.; Birkenbihl, R.P.; Somssich, I.E. Botrytis cinerea B05.10 promotes disease development in Arabidopsis by suppressing WRKY33-mediated host immunity. Plant Cell Environ. 2017, 40, 2189–2206. [Google Scholar] [CrossRef] [PubMed]
- Zhou, J.; Wang, J.; Zheng, Z.; Fan, B.; Yu, J.Q.; Chen, Z. Characterization of the promoter and extended C-terminal domain of Arabidopsis WRKY33 and functional analysis of tomato WRKY33 homologues in plant stress responses. J. Exp. Bot. 2015, 66, 4567–4583. [Google Scholar] [CrossRef] [PubMed] [Green Version]
- Hu, Y.; Dong, Q.; Yu, D. Arabidopsis WRKY46 coordinates with WRKY70 and WRKY53 in basal resistance against pathogen Pseudomonas syringae. Plant Sci. Int. J. Exp. Plant Biol. 2012, 185, 288–297. [Google Scholar] [CrossRef]
- Knoth, C.; Ringler, J.; Dangl, J.L.; Eulgem, T. Arabidopsis WRKY70 is required for full RPP4-mediated disease resistance and basal defense against Hyaloperonospora parasitica. Mol. Plant Microbe Interact. 2007, 20, 120–128. [Google Scholar] [CrossRef] [Green Version]
- Sinha, M.; Singh, R.P.; Kushwaha, G.S.; Iqbal, N.; Singh, A.; Kaushik, S.; Kaur, P.; Sharma, S.; Singh, T.P. Current Overview of Allergens of Plant Pathogenesis Related Protein Families. Sci. World J. 2014, 2014, 543195. [Google Scholar] [CrossRef] [Green Version]
- Edreva, A. Pathogenesis-related proteins: Research progress in the last 15 years. Gen. Appl. Plant Physiol. 2005, 31, 105–124. [Google Scholar]
- Anisimova, O.K.; Shchennikova, A.V.; Kochieva, E.Z.; Filyushin, M.A. Pathogenesis-related genes of PR1, PR2, PR4, and PR5 families are involved in the response to Fusarium infection in garlic (Allium sativum L.). Int. J. Mol. Sci. 2021, 22, 6688. [Google Scholar] [CrossRef]
- van Loon, L.C.; Rep, M.; Pieterse, C.M.J. Significance of Inducible Defense-related Proteins in Infected Plants. Annu. Rev. Phytopathol. 2006, 44, 135–162. [Google Scholar] [CrossRef] [Green Version]
- Ali, S.; Ganai, B.A.; Kamili, A.N.; Bhat, A.A.; Mir, Z.A.; Bhat, J.A.; Tyagi, A.; Islam, S.T.; Mushtaq, M.; Yadav, P.; et al. Pathogenesis-related proteins and peptides as promising tools for engineering plants with multiple stress tolerance. Microbiol. Res. 2018, 212, 29–37. [Google Scholar] [CrossRef] [PubMed]
- Van Aubel, G.; Cambier, P.; Dieu, M.; Van Cutsem, P. Plant immunity induced by COS-OGA elicitor is a cumulative process that involves salicylic acid. Plant Sci. 2016, 247, 60–70. [Google Scholar] [CrossRef] [PubMed]
- Shibuya, N.; Minami, E. Oligosaccharide signalling for defence responses in plant. Physiol. Mol. Plant Pathol. 2001, 59, 223–233. [Google Scholar] [CrossRef] [Green Version]
- Tang, D.; Kang, R.; Coyne, C.B.; Zeh, H.J.; Lotze, M.T. PAMPs and DAMPs: Signal 0s that spur autophagy and immunity. Immunol. Rev. 2012, 249, 158–175. [Google Scholar] [CrossRef]
- Collinge, D.B.; Kragh, K.M.; Mikkelsen, J.D.; Nielsen, K.K.; Rasmussen, U.; Vad, K. Plant chitinases. Plant J. 1993, 3, 31–40. [Google Scholar] [CrossRef]
- Jabeen, N.; Chaudhary, Z.; Gulfraz, M.; Rashid, H.; Mirza, B. Expression of rice chitinase gene in genetically engineered tomato confers enhanced resistance to Fusarium wilt and early blight. Plant Pathol. J. 2015, 31, 252–258. [Google Scholar] [CrossRef] [Green Version]
- Messiaen, J.; Van Cutsem, P. Defense gene transcription in carrot cells treated with oligogalacturonides. Plant Cell Physiol. 1993, 34, 1117–1134. [Google Scholar]
- Krzeslowska, M.; Rabeda, I.; Basinska, A.; Lewandowski, M.; Mellerowicz, E.J.; Napieralska, A.; Samardakiewicz, S.; Wozny, A. Pectinous cell wall thickenings formation—A common defense strategy of plants to cope with Pb. Environ. Pollut. 2016, 214, 354–361. [Google Scholar] [CrossRef]
- Spletzer, M.E.; Enyedi, A.J. Salicylic acid induces resistance to Alternaria solani in hydroponically grown Tomato. Phytopathology 1999, 89, 722–727. [Google Scholar] [CrossRef] [Green Version]
- Molinari, S.; Fanelli, E.; Leonetti, P. Expression of tomato salicylic acid (SA)-responsive pathogenesis-related genes in Mi-1-mediated and SA-induced resistance to root-knot nematodes. Mol. Plant Pathol. 2014, 15, 255–264. [Google Scholar] [CrossRef]
- Atamian, H.S.; Eulgem, T.; Kaloshian, I. SlWRKY70 is required for Mi-1-mediated resistance to aphids and nematodes in tomato. Planta 2012, 235, 299–309. [Google Scholar] [CrossRef] [PubMed]
- Ray, S.; Mondal, S.; Chowdhury, S.; Kundu, S. Differential responses of resistant and susceptible tomato varieties to inoculation with Alternaria solani. Physiol. Mol. Plant Pathol. 2015, 90, 78–88. [Google Scholar] [CrossRef]
Publisher’s Note: MDPI stays neutral with regard to jurisdictional claims in published maps and institutional affiliations. |
© 2022 by the author. Licensee MDPI, Basel, Switzerland. This article is an open access article distributed under the terms and conditions of the Creative Commons Attribution (CC BY) license (https://creativecommons.org/licenses/by/4.0/).



