Abstract
This work attempts to identify which of two species with different levels of salinity tolerance, Salvia officinalis L. or Asteriscus maritimus L., is more suitable for irrigation with reclaimed wastewater, as well as the effect of the arbuscular mycorrhiza Glomus iranicum on the plant. The experiment was carried out in a growth chamber with a first phase, where both species were irrigated with good quality water, a second phase in which the plants were irrigated with reclaimed wastewater, and a third phase in which the plants were irrigated with good quality water again (recovery). Salinity caused a reduction in leaf water potential, stomatal conductance and net photosynthesis in both species. The percentage of mycorrhization was higher in Asteriscus than in Salvia, mitigating the decrease in leaf water potential. There was osmotic adjustment in Salvia, although the proline content increased in both species. The damages produced were clearer in Salvia, in which lipid peroxidation values were higher. Likewise, the visual appearance of the leaves showed symptoms of toxicity in this species, although the mycorrhizae diminished these effects. Irrigation with good quality water induced the recovery of lipid peroxidation in both species, as well as the appearance of new leaves in Salvia.
1. Introduction
Factors such as climatic variations, population growth and ineffective water management practices have caused a great imbalance in the water availability in arid and semi-arid regions [1]. Taking into account the importance of this resource, especially for crops and plant development, the search of alternative sources to alleviate the water shortage is of vital importance. One of the viable alternatives may be the use of marginal waters, such as reclaimed waters. Technological advances in wastewater treatment in recent years have meant that marginal waters can be considered suitable for agricultural irrigation and for agricultural, industrial or environmental improvement purposes in areas with limited water resources, such as is the case of the region of Murcia [2]. In the last mentioned example, the use of these waters could be considered for the irrigation of ornamental plants for landscaping purposes, in revegetation, urban gardening or leisure spaces [1,3,4]. Despite the above-mentioned advances, these waters are generally characterized by having higher levels of salts than conventional water, accompanied by changes in pH, alkalinity and chemical substances [3], which can affect the growth, development and quality of plants.
Numerous investigations have studied the effects of salinity on plants. Excess salts, either in the substrate or in the irrigation water, can affect the development of plants in different ways, since the accumulation of salts lowers the osmotic potential, making it difficult for the plant to absorb water and causing a water deficit. Moreover, there is an ionic effect, a consequence of the presence of toxic ions in plant tissues at concentrations higher than some species can tolerate, which can cause toxicity and nutritional imbalances and lead to oxidative stress. In general, among the effects of salinity on plants we may mention a decrease in photosynthesis and growth, limitations in the leaf area, as well as the synthesis of osmoprotective compounds such as proline [4]. The recovery from saline effects through irrigation with good quality water is also important, as has been described in several species; normally this is a situation that occurs naturally and is closely related to the recovery of photosynthesis and capacity of the plants to repair damage to the membranes [5,6].
According to their resistance to salinity, plants can basically be classified into two groups [7]. Glycophytes are those species whose growth and development is inhibited by a high concentration of salt, and halophytes that can easily survive in soils with relatively high concentrations of NaCl (300–500 mM) because they have developed resistance mechanisms [4,8,9]. For the present study we selected, on the one hand, Salvia officinalis, which is a well-known ornamental and medicinal plant and is now extensively cultivated around the world. It is characterized with specific antioxidant, spasmolytic, antimicrobial, anti-hidrotic, astringent, and sensory activities [10]. However, its salt tolerance has not been well-documented. On the other hand, we also studied a native halophyte of lands surrounding the Mediterranean Sea, especially Spain, Asteriscus maritimus (L.), which is considered as an useful species in revegetation programmes in Mediterranean areas affected by salinity [8].
In addition to the physiological mechanisms of such plants, the symbiosis that plants can establish with soil microorganisms and the benefits that this brings has also been studied. One of the most relevant interactions studied is the association between plants and mycorrhizal fungi [11], which is estimated to be present in 90% of terrestrial plants [12]. Specifically, the most common mycorrhizal associations are arbuscular, and comprise approximately two thirds of the associations present in terrestrial vascular species [13]. In the present experiment the arbuscular mycorrhizal fungus Glomus iranicum var. tenuihypharum was used. This species is characterized by an extensive mycelium network, improving soil structure and tolerating high amounts of salts, all of which improves the transfer of nutrients and water from the soil to the plant and the establishment of efficient symbiosis [14]. For this reason, it was considered to be of interest to know the role that the fungus plays in the response of two species with different levels of salinity tolerance (S. officinalis and A. maritimus) when irrigated with reclaimed wastewater. The effects of both variables (irrigation water and mycorrhizae) were evaluated by reference to parameters such as growth, water status and gas exchange, photosynthetic efficiency and lipid peroxidation both in the saline irrigation conditions and when these were replaced by irrigation with good water quality (recovery). Thus, more attention is required in terms of research on aromatic and ornamental plants and mycorrhizae in order to improve the plant quality when these plants are irrigated with alternative waters, which normally present elements that can affect their development and physiological behavior.
2. Materials and Methods
2.1. Plant Material and Experimental Conditions
One hundred plants from the nursery (cultivated in multi-alveolar black polyethylene trays with 50 × 50 × 115 mm/alveolus) were used, fifty Asteriscus maritimus (L). Less. and fifty Salvia officinalis L., which were transplanted into 1.2 L pots containing a commercial substrate (8:7:1, coconut fibre: Sphagnum peat: perlite). The substrate was supplemented with Osmocote (14:13:13 N, P, K and microelements). After transplantation, the plants were taken to a growth chamber, where they remained until the end of the experiment (four months). The conditions in the chamber were established to promote optimal plant growth: temperature, 23 °C/18 °C (day/night); photosynthetic photon flux density, 350 µmol m−2 s−1; photoperiod, 16 h/8 h (light/dark) and 60% relative humidity (RH).
2.2. Treatments
At the beginning of the experiment, half of the plants of each species were inoculated with the arbuscular mycorrhizal fungus Glomus iranicum var. tenuihypharum (15 g per 100 mL/plant). It is a commercial product (mixture of spores, mycorrhizal root fragments and rhizospheric soil), isolated from an extremely saline soil, provided by the Symborg Company. Inoculum of the AMF was multiplied as proposed by Fernández and Juárez [15].
During the three weeks after inoculation, all the plants were watered at field capacity to ensure stabilization of the fungus. Then, half of the plants (mycorrhized and non-mycorrhized) of each species were irrigated with reclaimed wastewater (RWW) (170.20 ppm Na+ and 210.46 ppm Cl−) with an EC of 3.4–4.0 dS m−1 from the wastewater treatment plant (WWTP) located in Roldán-Balsicas (Murcia, Spain). The rest of the plants were irrigated with tap water with an EC of 0.8 dS m−1 (36.76 ppm Na+ and 39.07 ppm Cl−). As a result, four treatments were obtained per species: plants watered with good quality water, non-mycorrhized (control, C−), and mycorrhized (C+) and plants watered with RWW, non-mycorrhized (RWW−) and mycorrhized (RWW+). The saline period lasted seven weeks. After this period, the saline plants were watered under the same conditions as the control plants for approximately four weeks (recovery period). The experiment was divided into three phases based on the irrigation provided:
- A first “pre-stress” phase, in which all the plants were watered with good quality water (33 days; phase I).
- A second phase of stress, in which half of the plants were irrigated with RWW (51 days; phase II).
- A final recovery phase (29 days; phase III), in which the plants were irrigated again with good quality water.
2.3. Fungal Colonization
At the end of the experiment, the roots of six plants per treatment were removed from the substrate and washed before staining to evaluate fungal development. The staining process consisted of a first immersion in KOH in a water bath at 100 °C for 6 min, followed by rinsing and a second immersion in H2O2. After washing again, it was stained with a trypan blue bath for 15 min.
Once stained, a magnifying glass was used to determine the percentage of mycorrhization, following the method described by Kormanik and McGraw [16]: the stained roots were placed in plates for counting and 100 fields were observed, determining the positive fields (colonized) and negative (not colonized). Finally, the percentage of colonization was calculated by the following formula [17]:
2.4. Biomass and Leaf Area
At the end of both the saline (phase II) and recovery (phase III) phases, five plants per treatment were extracted and separated into roots, stems and leaves. The fresh weight (FW) was then determined and, after drying in an oven at 60 °C, the dry weight (DW) was obtained.
In order to check whether the higher concentration of salts present in the RWW affected the growth of leaves, the leaf area was also studied using a scanner (Area Meter AM 200, ADC BioScientific Ltd., Hoddesdon, UK) throughout the experiment.
2.5. Substrate and Plant Mineral Content
At the end of the stress and recovery periods, the mineral content of both substrates (five samples per treatment) and of plants (separated into leaves, stems and roots, five plants per treatment) were analysed. For this, the macronutrient concentrations were determined in a digester with HNO3 / HCl4 (2:1, v/v) using an inductively coupled plasma optical emission spectrometer (ICP-OES IRIS INTREPID II XDL, Thermo Fisher Scientific Inc., Loughborough, UK). The concentration of Cl− in the aqueous extracts obtained was analysed by a chloride analyser (Chloride Analyser Model 926, Sherwood Scientific Ltd. Cambridge, UK) by mixing 100 mg of powdered dry sample with 40 mL of water before shaking for 30 min and filtering.
2.6. Water Relations
Leaf water potential (Ψl) was measured periodically at maximum luminosity using a pressure chamber (Soil Moisture Equipment Co., Santa Barbara, CA, USA, mod. 3000) according to the method described by Scholander et al. [18]. The leaves were introduced into the chamber and the pressure was increased at a rate of 0.03 MPa s−1 with nitrogen gas, until a drop of sap appeared.
The osmotic potential (Ψs) was calculated with a Wescor 5520 vapour pressure osmometer (Wescor Inc., Logan, UT, USA.), calibrated with solutions of known osmolality [19]. The turgor potential (Ψp) was calculated as the difference between the leaf and osmotic water potential.
To know the osmotic water potential at full turgor (Ψ100s) the leaves were immersed in distilled water for 24 h at 4 °C in the dark. Subsequently, the same procedure described for Ψs was followed, taking measurements periodically in five plants per treatment.
2.7. Gas Exchange and Leaf Temperature
Stomatal conductance (gs) and net photosynthesis rate (Pn) were determined with a portable gas exchange meter, a LICOR 6400 (LI-COR Inc., Lincoln, NE, USA), making the measurements at the same time and in the same plants in which the water relations were measured. The measurement parameters were set at a CO2 concentration of 400 ppm, with an airflow rate of 300 µmol s−1 and photosynthetically active radiation (PAR) of 1000 µmol m−2 s−1.
Leaf temperature (Tl) was obtained from thermal images taken with a thermographic camera (ThermaCam FLIRe50 System, Inc., Danderyd, Sweden) periodically during the experiment on five plants per treatment. The background temperature was calculated as the radiation temperature in a wrinkled aluminium paper placed in a position similar to that of the sheets of interest, setting the emissivity value at 1.0 [20]. The emissivity for the measurement of the leaves was set at 0.96 [21]. Images were taken from a distance of 0.5 m and processed with a ThermaCam Reacher Professional 2.10 FLIR QuickReport software.
2.8. Chlorophyll Fluorescence
Chlorophyll fluorescence measurements were carried out in three leaves per treat-ment at the end of each phase by using a fluorimeter (IMAGINGPAM M-series, Heinz Walz, Effeltrich, Germany). First, the leaves were adapted to darkness for 15 min to achieve maximum stomata opening. Subsequently, the maximum and minimum fluorescence values were measured. A kinetic analysis was performed in the presence of actinic light (81 μmol quanta m−2 s−1 PAR) on saturating pulses of light at 27,008 μmol quanta m−2 s−1 PAR every 20 s. The photochemical parameters studied were: Fv/Fm (maximum efficiency of PSII), Y (II) (quantum yield) and photochemical quenching (qP). The non-photochemical parameters measured (related to heat dissipation) included non-photochemical quenching (qN).
2.9. Proline Content
The proline content was determined in five leaves per plant, at the end of phases I and II, following the method of Bates et al. [22]. For this, the plant material was homogenized with 5 mL of 3% sulfosalicylic acid and centrifuged for 10 min at 12,000 g. After this, 1 mL of the supernatant was mixed with 1 mL of acidic ninhydrin and 1 mL of glacial acetic acid, and incubated for 1 h at 100 °C before being rapidly chilled on ice. Extraction was carried out with 2 mL of toluene to achieve full separation of the two phases. The organic phase was extracted from the mixture and its absorbance at 520 nm was measured.
2.10. Lipid Peroxidation
Lipid peroxidation is considered a sign of oxidative stress, and so is a parameter of interest to be measured. In this case, the concentration of malondialdehyde (MDA) was measured in five plants per treatment, following the procedure described by Cakmak and Horst [23], whereby lipid peroxidation is estimated by determining the amount of substances that react with thiobarbituric acid (TBARS). The amount of TBARS was calculated from the difference in absorbance obtained at both wavelengths and at a molar extinction coefficient of 155 mM−1 cm−1.
2.11. Statistical Analysis
In this experiment, 50 plants (per species) were randomly assigned to each treatment. Data were analysed by one-way ANOVA using the statistical analysis program SPSS (IBM SPSS Statistics 26 for Windows, Armonk, NY, USA). Treatment means were separated with Duncan’s Multiple Range test (p ≤ 0.05). Before statistical analysis, the percentage of root colonization was subjected to an arcsine square root transformation to ensure homogeneity of variance.
3. Results
3.1. Mycorrhization Percentage
All the inoculated plants were colonized by Glomus iranicum var. tenuihypharum. However, Asteriscus maritimus presented a higher percentage of mycorrhization than Salvia officinalis, both in the saline phase (II) and recovery phase (III) (Table 1). Root mycorrhization for both species was higher in phase II than in phase III in the plants irrigated with RWW+.
Table 1.
Percentage of root mycorrhization on Asteriscus maritimus and Salvia officinalis plants irrigated with control water (C+) and reclaimed wastewater (RWW+) at the end of the phase II and phase III. Values are means ± SEM (n = 6).
3.2. Biomass and Leaf Area
Plant growth in Salvia was more affected by irrigation with RWW than in Asteriscus, which presented similar values of leaf and stem dry weight, regardless of the treatments and the phases (Figure 1a,c). However, the root dry weight of the plants irrigated with RWW− was lower than that observed in the control (C−) plants in phase III (Figure 1e).
Figure 1.
Dry weight (DW) of leaf, stem and root of Asteriscus maritimus (a,c,e) and Salvia officinalis (b,d,f) subjected to control water and reclaimed wastewater without and with arbuscular mycorrhizal fungi at the end of the three phases of the experiment. Values are means of five samples. The vertical bars indicate standard errors. Different lowercase letters indicate significant differences between treatments according to a Duncan0.05 test, and the absence of the same means that there were no such differences.
Salvia behaved differently and, from phase II onward, the leaf and root biomass of Salvia plants irrigated with RWW were significantly lower than in control plants. The total biomass (leaf, stem and root) of the control plants in phase II was around 22.525 g, while for plants irrigated with RWW it was 7.750 g (Figure 1b,d,f). Furthermore, this reduction in total DW was maintained in phase III, while control plants had a growth increase through the experiment.
No differences in total DW between treatments and species due to the effect of mycorrhizae were observed (Figure 1).
At the beginning of the experiment, Asteriscus plants irrigated with control water (C−) showed higher values of leaf area. However, during phase II, there were no significant differences between treatments. At the end the phase III, leaf area in the control plants (C− and C+) was higher than in plants irrigated with RWW (RWW− and RWW+) (Table 2).
Table 2.
Leaf area of Asteriscus maritimus and Salvia officinalis irrigated with control water and reclaimed wastewater, with and without arbuscular mycorrhiza in the three phases of the experiment. Values are means ± SEM (n = 5).
In Salvia, the decrease in leaf area was more evident in phase II, when the plants were irrigated with RWW, showing a significantly smaller area than the controls. These differences were maintained in phase III (Table 2).
3.3. Substrate and Plant Mineral Content
3.3.1. Na+ and Cl− Ion Content in the Substrate
Na+ and Cl− contents of the substrates of the saline treatments were significantly higher than those of the control for both species and in both phases (phase II and phase III) (Table 3). In Asteriscus in phase II, the mycorrhizae mitigated the accumulation of Na+ in the substrates of the plants irrigated with RWW (RWW+) compared with the non-mycorrhizal plants (RWW−). In Salvia, the highest Cl− content was observed in the substrates of RWW+ plants at the end of the recovery phase (Phase III) (Table 3).
Table 3.
Substrate Na+ and Cl− content of Asteriscus maritimus and Salvia officinalis irrigated with control water and reclaimed wastewater, with and without arbuscular mycorrhiza at the end of phase II and phase III. Values are means ± SEM (n = 5).
3.3.2. Na+ and Cl− Ion Content in Root and Aerial Part
In general, Salvia plants had a lower Na+ and Cl− content than Asteriscus, which showed no significant differences in this respect whether irrigated with RWW or good quality water at the end of phase II (Table 4). This behaviour remained similar in the recovery phase (phase III), except that mycorrhizae increased the concentration of Cl− in the aerial part of plants irrigated with RWW (Table 4A). In Salvia, the Na+ and Cl− content was higher in the aerial part of the plants irrigated with RWW than in control plants in phase II (Table 4B). This difference was more pronounced in the recovery phase (phase III), reaching values of approximately 17 mg L−1 Na+ and 88 mg L−1 Cl− in RWW plants compared with the 1.8 mg L−1 Na+ and 13.8 mg L−1 Cl− in control plants. Mycorrhizae tended to decrease the Na+ and Cl− content in the RWW+ plants with respect to the RWW− plants in phase III (Table 4B).
Table 4.
Aerial and root Na+ and Cl− content of Asteriscus maritimus (A) and Salvia officinalis (B) irrigated with control water and reclaimed wastewater, with and without arbuscular mycorrhiza at the end of the phase II and phase III. Values are means ± SEM (n = 5).
3.4. Water Relations
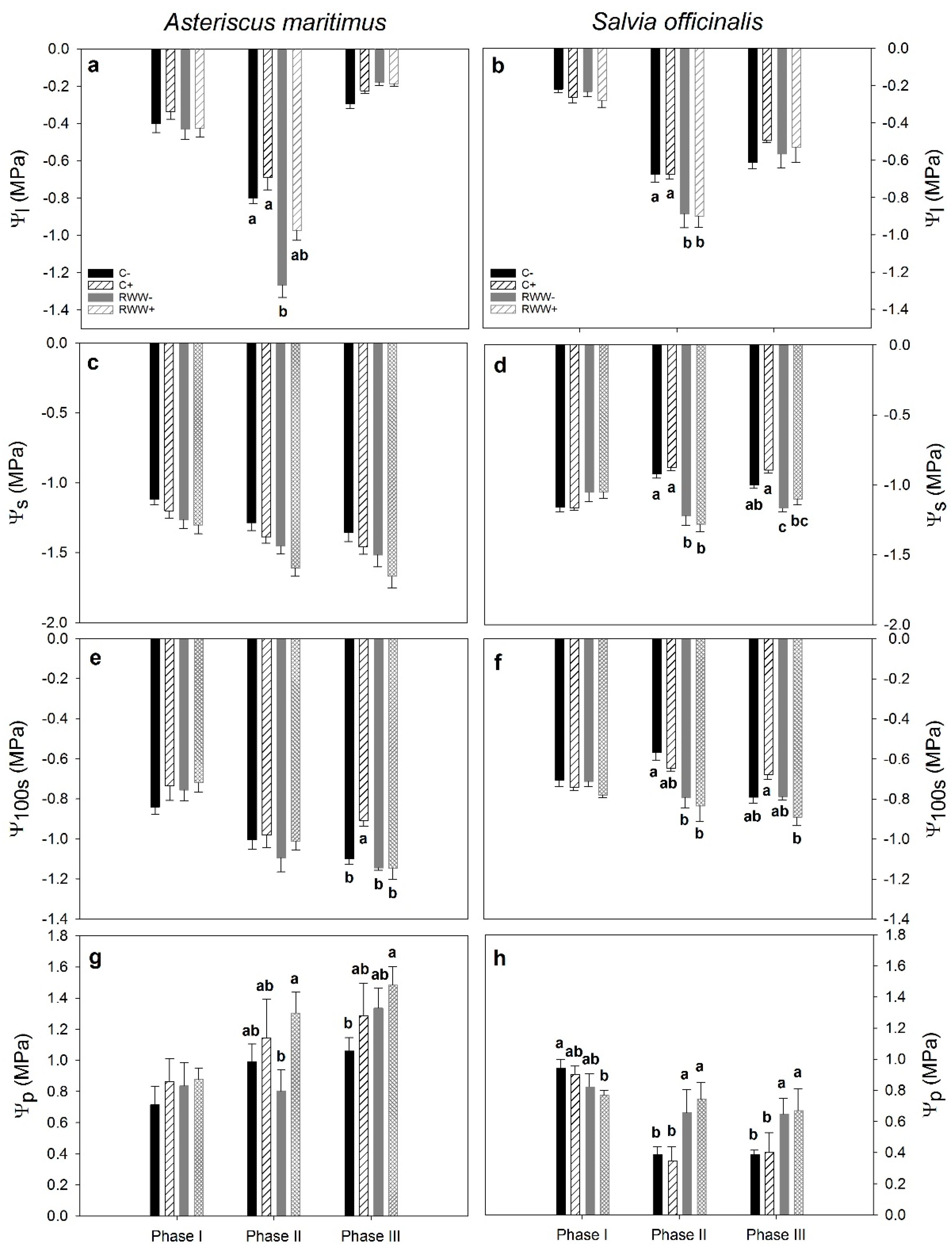
The leaf water potential (Ψl) in Asteriscus maritimus decreased in plants irrigated with RWW during phase II. Mycorrhization alleviated the negative effect of water stress due to salts and the decrease in Ψl values was less pronounced (Figure 2a). When the plants were irrigated with good quality water (phase III), Ψl values recovered (Figure 2a). No differences were observed between treatments at any time during the experiment in the case of osmotic water potential (Ψs) (Figure 2c), although turgor potential (Ψp) showed differences in both phase II and phase III. In phase II, RWW+ plants presented higher Ψp values than the non-mycorrhized (RWW−) and in phase III the value of Ψp of RWW+ were similar to C+ (Figure 2g).
Figure 2.
Leaf water potential (Ψl), osmotic water potential (Ψs), osmotic water potential at full turgor (Ψ100s) and turgor potential (Ψp) of A. maritimus (a,c,e,g) and S. officinalis (b,d,f,h) irrigated with control water and reclaimed wastewater, without and with arbuscular mycorrhizal fungi in the three phases of the experiment. Values are means of five plants. The vertical bars indicate standard errors. Different lowercase letters indicate significant differences between treatments according to a Duncan0.05 test, and their absence means that there are no such differences.
Differences between treatments in water relations were clearer in Salvia officinalis. The Ψl, Ψs and Ψ100s values of the salinized plants were significantly more negative than in the control during phase II (Figure 2b,d,f). Likewise, the Ψp in the saline plants was higher than the control plants (Figure 2h). Mycorrhizae had no effect on these parameters. In phase III, Ψ100s decreased when the plants were watered with RWW (Figure 2f) and mycorrhization had no effect on Ψ100s. In this phase, the most negative values of Ψ100s were observed in the RWW+ plants (Figure 2f).
3.5. Proline Content
The plants of both species irrigated with RWW had higher proline content than the controls in phase II (Figure 3). Furthermore, while the effect of mycorrhization was not observed in Salvia, mycorrhized Asteriscus plants had a slightly higher proline concentration than non-mycorrhized plants (Figure 3).
Figure 3.
Proline content of Asteriscus maritimus (a) and Salvia officinalis (b) subjected to control water and reclaimed wastewater without and with arbuscular mycorrhizal fungi during phase II. Values are means of five plants. The vertical bars indicate standard errors. Different lowercase letters indicate significant differences between treatments according to a Duncan0.05 test.
3.6. Gas Exchange and Thermography
In Asteriscus, stomatal conductance (gs) was lower during phase II in RWW− and RWW+ plants (Figure 4a). This caused an increase in leaf temperature (foliar heating). However, during phase III, the gs values of RWW− and RWW+ plants recovered to reach the levels of control plants or were even higher in RWW+. Thus, this increase in gs was accompanied by a decrease in Tl (Figure 4a,c).
Figure 4.
Stomatal conductance (gs) and leaf temperature (Tl) of Asteriscus maritimus (a,c) and Salvia officinalis (b,d) subjected to control water and reclaimed wastewater without and with arbuscular mycorrhizal fungi in the three phases of the experiment. Values are the means of five plants. The vertical bars indicate the standard error. Different lowercase letters indicate significant differences between treatments according to a Duncan0.05 test and their absence means that there are no such differences.
Similar behaviour was observed in Salvia in phase II, when gs decreased in saline plants (RWW− and RWW+). The highest gs values were found in C+ plants. At the end of phase III, no differences were observed between treatments. Again, the decrease in gs coincided with increases in Tl (Figure 4b,d).
Net photosynthesis (Pn) was affected by saline water in both species (Figure 5). In Asteriscus, the saline treatments (RWW− and RWW+) led to lower Pn values in phase II. Furthermore, the mycorrhized plants (RWW+) had significantly lower Pn values than the non-mycorrhized plants. At the end of phase III, Pn values had recovered and were higher than in the control plants (Figure 5a).
Figure 5.
Photosynthetic rate (Pn) of Asteriscus maritimus (a) and Salvia officinalis (b) subjected to control water and reclaimed wastewater without and with arbuscular mycorrhizal fungi in the three phases of the experiment. Values are means of five plants. The vertical bars indicate standard error. Different lowercase letters indicate significant differences between treatments according to a Duncan0.05 test and their absence means that there are no such differences.
Similar Pn behaviour was observed in Salvia plants in phase II, when the control plants had significantly higher Pn than those irrigated with RWW. Mycorrhization significantly increased Pn values in the control plants. In phase III, RWW plants had recovered, Pn values were the same as in the control plants (Figure 5b).
3.7. Clorophyll Fluorescence
No differences in Fv/Fm were observed in Asteriscus maritimus as a result of the type of water or mycorrhizae in phase II. However, RWW− treatment presented the lowest values of Y(II) and qP, while RWW+ had similar values to the control plants (C− and C+) (Table 5A). In the recovery phase (phase III), the quantum yield (Y(II)) of the RWW− plants was similar to that of the other treatments, while the photochemical quenching (qP) continued to decrease in the RWW− and RWW+ plants (Table 5A). In the case of the non-photochemical parameters (qN) a similar trend was observed, as C− and C+ plants also had higher values than RWW− and RWW+ in phase II (Table 5A).
Table 5.
Leaf chlorophyll fluorescence (Fv/Fm, efficiency of PSII; Y(II), quantum yield; qP, photochemical quenching; and qN, non-photochemical quenching) of Asteriscus maritimus (A) and Salvia officinalis (B) watered with control water and reclaimed wastewater without and with arbuscular mycorrhizal fungi at the end the three experimental phases.
Both the photochemical and non-photochemical parameters were negatively affected by the RWW in Salvia officinalis (Table 5B). The Fv/Fm was affected in phase II, when there were significant differences between control plants and those irrigated with RWW. Furthermore, qP and Y(II) noticeably decreased in RWW+ and RWW−, the values of Y(II) of the saline treatment plants being around 30% lower than those of control plants (Table 5B). However, the decrease in photochemical performance was lower in mycorrhized plants, and their recovery was better (Table 5B).
3.8. Lipid Peroxidation
Regarding the lipid peroxidation of A. maritimus, there were significant differences from phase I. In phase II, the peroxidation levels of the different treatments were similar, except those of mycorrhized plants irrigated with RWW (RWW+) that showed significantly higher peroxidation values. In phase III, the peroxidation of the plants of the RWW− and RWW+ treatments decreased below the values of the control plants (Figure 6). The values of the mycorrhized plants were higher than those of the non-mycorrhized ones.
Figure 6.
Lipid peroxidation of Asteriscus maritimus (a) and Salvia officinalis (b) subjected to control water and reclaimed wastewater without and with arbuscular mycorrhizal fungi in the three phases of the experiment. Values are means of five plants. The vertical bars indicate standard error. Different lowercase letters indicate significant differences between treatments according to a Duncan0.05 test.
In the case of Salvia plants, the effect of salt was more evident, since differences between plants irrigated with control water and those irrigated with RWW were observed in phase II. In phase III, peroxidation levels decreased in salinized plants when they were equal to C+ values, while C− plants reached the highest values (Figure 6).
4. Discussion
Plants are exposed to a variety of abiotic stresses, one of the most problematic being saline stress, which affects growth and yield and can cause plant death [24]. Because of the shortage of water in Mediterranean areas, the use of unconventional water, such as reclaimed water, for irrigation purposes is increasing [25]. One of the main problems of these waters is their high content of salts, which, in the long term, can lead to salinization of the soil, representing a risk to production [26]. Among the lines of research to mitigate the negative effect of salts on crops, is that looking at the use of biological resources, such as the application of mycorrhizae. The use of arbuscular mycorrhizae contributes to improving resistance to salinity by increasing the availability of water and nutrients [11].
Both species under study were colonized by the fungus Glomus iranicum var. tenuihypharum, although the mycorrhization percentage was higher in Asteriscus maritimus than in Salvia officinalis, since the mycorrhizal dependence of this species is known to be greater [27]. However, in our case, the percentage of glomus mycorrhization in Asteriscus was lower than in other studies [27], which may explain why its effect was not appreciated in many of the parameters studied. It must be taken into account that the experimental conditions (limitation of root system development) and salinity affect the development of the fungus, reducing the formation of mycelium and making it difficult to colonize plants [28,29].
In both species, the percentage of mycorrhization was higher in the saline phase than in the recovery phase, since the levels of Na+ and Cl− in the substrate were higher in this last phase, probably because the salts were not completely washed off with irrigation. Regarding the content of salts in the substrate, A. maritimus had higher Na+ and Cl− levels in the plants irrigated with RWW than the controls, although this did not increase ions in the aerial part of the plant. Plants try to prevent toxic ions from reaching the aerial part through mechanisms such as salt exclusion or compartmentalization of the same in vacuoles. Halophytes usually have both mechanisms, which allow them to tolerate high concentrations of salts [4,9]. However, glycophytes have a low capacity for exclusion and compartmentalization [9]. We observed that the amount of Na+ and Cl− was higher in the Asteriscus plants than in Salvia, but there were no significant differences between the control and saline plants. While Asteriscus was able to exclude salts, Salvia was not, so the plants watered with RWW had higher amounts of salts than the control plants. As a result, Asteriscus presented fewer negative effects than Salvia, as seen from the growth results and physiological parameters. Gómez-Bellot et al. [3] found that the nutrient content of saline reclaimed water improved the nutritional status of euonymus plants since the presence of other nutrients in the water could interfere with Na and Cl uptake by plants.
One of the main consequences of excess salts is the reduction in plant growth [1,4,30]. Numerous studies show that the dry weight of tissues subjected to saline stress is lower than in control plants [1,31], although this negative effect is usually less visible in mycorrhized plants, since they grow better in saline conditions than non-mycorrhized plants. Our results confirmed that the salinized plants had lower growth and it was evident in Salvia. Under these conditions, no effect of mycorrhization was observed on this parameter. Furthermore, a previous study on mycorrhization in Salvia officinalis showed that there was no significant difference between leaves dry weight and stems of mycorrhized and non-mycorrhized plants [32].
Another typical response to salt is a reduction in leaf area, as observed in Salvia plants. This can be considered as an avoidance mechanism, since it minimizes water loss through transpiration [33,34]. Together with stomatal closure, it favours the retention of ions in the roots or in the soil, hindering their absorption and limiting their accumulation in the aerial part [34]. The reduction of leaf area in Salvia was evident both during phase II and phase III, meaning that biomass synthesis did not recover during this last phase. After recovery, plants of M. communis previously treated with saline RWW manifested the negative effects on biomass production, which correlated with greater Na accumulation and a reduction in K levels [1]. No reduction in leaf area was observed in Asteriscus during phase II, but was observed in phase III, when the leaf area of saline plants was lower than that of control plants. Regarding water relations, the accumulation of salts in the rhizosphere causes a decrease in osmotic potential and, therefore, in water potential, reducing the amount of water available for the roots. The first effects of saline stress are practically the same as those of water stress [4]. This was seen clearly, since in A. maritimus, and especially in S. officinalis, the plants subjected to salinity presented more negative leaf potentials than the controls. Mycorrhizae contribute to maintaining the water status of the plant under stress conditions [26,29] by promoting development and increasing the hydraulic conductivity of the roots [35]. This was evident from the leaf water potential of Asteriscus, since the mycorrhized plants irrigated with RWW (RWW+) suffered a lower decrease in potential than the non-mycorrhized ones.
Regarding osmotic potential at full turgor (Ψ100s), Asteriscus showed no difference between treatments, while in Salvia it decreased in the plants irrigated with RWW. An advantage of studying the osmotic water potential at full turgor is that, if the dehydration factor is overlooked, the parameter indicates if there has been osmotic adjustment. This behavior was observed in Crithmum maritimum and Atriplex halimus, which reduced the osmotic leaf potential to maintain leaf turgor values in plants irrigated with RWW. When water potential is suddenly reduced, osmotic adjustment occurs rapidly to allow partial turgor recovery and re-establishment of water potential gradient for water uptake, and the loosening ability of the cell wall increases [9]. Proline stands out among the compounds that can act as osmolytes, increasing under stress conditions [28]. Proline has antioxidant properties and acts by providing resistance to plants against environmental stresses [4]. In both species, during phase II, proline production increased which, in Salvia, corresponded to a lower osmotic water potential at full turgor. Even so, the proline levels in both cases were not much higher than the control. In Salvia, a slight increase in proline (in plants irrigated with regenerated water) allowed the turgor potential (Ψp) to remain stable and even to reach higher levels than in the control plants. No effect of mycorrhization was observed in Salvia, but in Asteriscus, mycorrhizal plants (RWW+) presented a higher content than non-mycorrhizal plants, despite the fact that several experiments have suggested that fungi promote the accumulation of proline [28,36].
When plants are subjected to osmotic stress caused by salinity, one of the first responses is stomatal closure to reduce the water loss through transpiration. Therefore, salinity also causes a decrease in stomatal conductance [33]. In this case, both in Asteriscus and Salvia, the lowest stomatal conductance values coincided with the salinization phase. At the same time, a decrease in stomatal conductance has several effects, such as increasing leaf temperature. In the plants irrigated with regenerated water, there was a significant increase in leaf temperature which coincided with the lowest values of stomatal conductance. Although some studies have indicated that mycorrhizae promote greater stomatal opening and, therefore, lower leaf temperature [3], this was not reflected in our study.
Stomatal closure is one of the factors by which the photosynthetic rate decreases under salinity. In both A. maritimus and S. officinalis, the photosynthetic rate was affected during irrigation with RWW. Mycorrhized plants have been shown to maintain a higher photosynthetic rate than non-mycorrhized plants under stress conditions [29,37]. Although in Salvia the mycorrhizae had no effect during phase II, in Asteriscus the opposite was true, and it was the non-mycorrhizal plants (RWW−) that presented a higher photosynthetic rate than inoculated plants.
Photosynthetic activity can also be measured by reference to chlorophyll fluorescence parameters. In general, under salinity conditions, photochemical parameters decrease and non-photochemical parameters increase, since they constitute a mechanism to dissipate excess energy. In our experiment, the values of the photochemical parameters decreased in both species during the stress period, but the non-photochemical parameters did not increase (although it is true that such changes depend to a great extent on the species and the degree of stress). For example, Moradi and Ismail [38] found that in some cases non-photosynthetic parameters also suffer a decrease as a consequence of stress. In this case, it seems that mycorrhizae have a positive effect, since the photochemical parameters of both species are significantly higher in mycorrhizal plants (RWW+) than in non-mycorrhizae (RWW−), as numerous investigations have previously shown [28,39,40].
If salt stress is prolonged, Na+ and Cl− ions can accumulate inside the cell and lead to oxidative stress. One of the consequences of this stress is the production of reactive oxygen species (ROS) which, if they interact with membrane lipids, can lead to their degradation in a process known as lipid peroxidation [1]. The results were clearer in Salvia, where salinized plants and control plants differed in phase II, the values in saline plants being higher, as would be expected when subjected to stress. Although mycorrhizal plants generally tend to have lower peroxidation levels [28], in our case there was no apparent effect of mycorrhizae. After recovery, we observed how, in both species, the peroxidation of plants treated with RWW fell to values lower than the control values. This could be because, as the plants age, peroxidation increases. During phase III, the plants (especially S. officinalis) grew new leaves, and so the number of new and healthy leaves was higher. These young leaves could explain why the plants treated with salt showed less peroxidation than the control plants (older leaves).
To sum up, it was confirmed that the Asteriscus is more tolerant to salt than Salvia, since all the parameters studied presented better values. Irrigation with RWW decreases the ornamental quality of Salvia, making it difficult to use in landscaping projects [41]. The effect of mycorrhizae was only appreciated in some of the parameters, but did not represent any significant improvement in most cases.
5. Conclusions
In conclusion, both species are susceptible to mycorrhization with Glomus iranicum var. tenuihypharum, although the crop conditions limited the mycorrhization percentages. All the measured parameters were less affected in A. maritimus than in S. officinalis, confirming that it is more tolerant to salinity, which is why it is more suitable for irrigation with reclaimed waters. This tolerance of A. maritimus is due to the reduction in the ability of potentially toxic ions to reach the aerial part. Glomus iranicum var. tenuihypharum improved the photochemical parameters of both species during phase II, as well as the leaf water potential and proline content in A. maritimus. And finally, irrigation with good quality water after a period of irrigation with RWW induces the recovery of gas exchange, water status and the ability of plants to repair membranes damage. Going forward, the inoculation of native AMF is a promising method to improve the quality and yield of plants and should be considered during production. The application of this study will be useful in order to advance the knowledge of the response of plants to salinity. Thus, to know the benefits of reclaimed wastewater irrigation for ornamental purposes is crucial in areas where water resources are limited.
Author Contributions
Conceptualization, M.F.O. and M.J.S.-B.; Data curation, B.L.; Formal analysis, B.L.; Funding acquisition, M.F.O. and M.J.S.-B.; Investigation, B.L. and L.P.-S.; Methodology, L.P.-S.; Project administration, M.J.S.-B.; Resources, M.F.O. and M.J.S.-B.; Software, B.L. and L.P.-S.; Supervision, M.F.O. and M.J.S.-B.; Validation, M.J.S.-B.; Visualization, B.L.; Writing–original draft, B.L. and M.F.O.; Writing–review & editing, M.F.O. and M.J.S.-B. All authors have read and agreed to the published version of the manuscript.
Funding
This research was funded by Seneca Foundation of Murcia, grant number 19903/GERM/15 and by the Ministry of Science, Innovation, and Universities of Spain, and the European Regional Development Fund, grant number RTI2018-093997-B-I00.
Institutional Review Board Statement
Not applicable.
Data Availability Statement
The data presented in this study are available on request from the corresponding author.
Conflicts of Interest
The authors declare that they have no conflicts of interest. The funders had no role in the design of the study; in the collection, analyses, or interpretation of data; in the writing of the manuscript, or in the decision to publish the results.
References
- Acosta-Motos, J.R.; Álvarez, S.; Barba-Espín, G.; Hernández, J.A.; Sánchez-Blanco, M.J. Salts and nutrients present in regenerated waters induce changes in water relations, antioxidative metabolism, ion accumulation and restricted ion uptake in Myrtus communis L. plants. Plant Physiol. Biochem. 2014, 85, 41–50. [Google Scholar] [CrossRef] [PubMed]
- Grattan, S.R.; Díaz, F.J.; Pedrero, F.; Vivaldi, G.A. Assessing the suitability of saline wastewaters for irrigation of Citrus spp.: Emphasis on boron and specific-ion interactions. Agric. Water Manag. 2015, 157, 48–58. [Google Scholar] [CrossRef]
- Gómez-Bellot, M.J.; Ortuño, M.F.; Nortes, P.A.; Vicente-Sánchez, J.; Bañón, S.; Sánchez-Blanco, M.J. Mycorrhizal euonymus plants and reclaimed water: Biomass, water status and nutritional responses. Sci. Hortic. 2015, 186, 61–69. [Google Scholar] [CrossRef]
- Acosta-Motos, J.R.; Ortuño, M.F.; Bernal-Vicente, A.; Díaz-Vivancos, P.; Sánchez-Blanco, M.J.; Hernández, J.A. Plant Responses to Salt Stress: Adaptive Mechanisms. Agronomy 2017, 7, 18. [Google Scholar] [CrossRef]
- Lorente, B.; Zugasti, I.; Ortuño, M.F.; Nortes, P.; Bañón, S.; Hernández, J.A.; Sánchez-Blanco, M.J. Substrate composition affects the development of water stress and subsequent recovery by inducing physiological changes in Cistus albidus plants. Plant Physiol. Biochem. 2021, 158, 125–135. [Google Scholar] [CrossRef] [PubMed]
- Conde, A.; Chaves, M.M.; Gerós, H. Membrane transport, sensing and signaling in plant adaptation to environmental stress. Plant Cell Physiol. 2011, 52, 1583–1602. [Google Scholar] [CrossRef] [PubMed]
- Gupta, B.; Huang, B. Mechanism of Salinity Tolerance in Plants: Physiological, Biochemical, and Molecular Characterization. Int. J. Genomics. 2014, 2014, 701596. [Google Scholar] [CrossRef] [PubMed]
- Rodríguez, P.; Torrecillas, A.; Morales, M.A.; Ortuño, M.F.; Sánchez-Blanco, M.J. Effects of NaCl salinity and water stress on growth and leaf water relations of Asteriscus maritimus plants. Environ. Exp. Bot. 2005, 53, 113–123. [Google Scholar] [CrossRef]
- Gómez-Bellot, M.J.; Lorente, B.; Ortuño, M.F.; Medina, S.; Gil-Izquierdo, Á.; Bañón, S.; Sánchez-Blanco, M.J. Recycled Wastewater and Reverse Osmosis Brine Use for Halophytes Irrigation: Differences in Physiological, Nutritional and Hormonal Responses of Crithmum maritimum and Atriplex halimus Plants. Agronomy 2021, 11, 627. [Google Scholar] [CrossRef]
- Es-sbihi, F.Z.; Hazzoumi, Z.; Aasfar, A.; Joutei, K.A. Improving salinity tolerance in Salvia officinalis L. by foliar application of salicylic acid. Chem. Biol. Technol. Agric. 2021, 8, 25. [Google Scholar] [CrossRef]
- Singh, L.P.; Gill, S.S.; Tuteja, N. Unraveling the role of fungal symbionts in plant abiotic stress tolerance. Plant Signal. Behav. 2011, 6, 175–191. [Google Scholar] [CrossRef] [PubMed]
- Bonfante, P.; Genre, A. Mechanisms underlying beneficial plant—Fungus interactions in mycorrhizal symbiosis. Nat. Commun. 2010, 1, 48. [Google Scholar] [CrossRef] [PubMed]
- Smith, S.; Read, D. Mycorrhizal Symbiosis, 3rd ed.; Elsevier: Amsterdam, The Netherlands, 2008; ISBN 978-0-12-370526-6. [Google Scholar]
- Blaszkowski, J.; Wubet, T.; Harikumar, V.S.; Ryszka, P.; Buscot, F. Glomus indicum, a new arbuscular mycorrhizal fungus. Botany 2010, 88, 132–143. [Google Scholar] [CrossRef]
- Fernández, F.; Juárez, J. Procedimiento de Obtención de un Agente Micorrizógeno. Patent ES201130566A, 11 March 2011. [Google Scholar]
- Kormanik, P.P.; McGraw, A.C. Quantification of Vesicular-Arbuscular Mycorrhizae in plant roots. In Methods and Principles of Mycorrhizal Research; Schenck, N.C., Ed.; The American Phytopathological Society: Saint Paul, MN, USA, 1982; pp. 37–45. [Google Scholar]
- Sieverding, E. Manual de Métodos para la Investigación de la Micorriza Vesículo-Arbuscular en el Laboratorio; Centro Internacional de Agricultura Tropical (CIAT): Cali, Colombia, 1983. [Google Scholar]
- Scholander, P.F.; Hammel, H.T.; Bradstreet, E.D.; Hemmingsen, E.A. Sap pressure in vascular plants. Science 1965, 148, 339–346. [Google Scholar] [CrossRef] [PubMed]
- Gucci, R.; Xiloyannis, C.; Flore, J.A. Gas exchange parameters water relations and carbohydrate partitioning in leaves of field-grown Prunus domestica following fruit removal. Physiol. Plant. 1991, 83, 497–505. [Google Scholar] [CrossRef]
- Jones, H.G. Use of infrared thermometry for estimation of stomatal conductance as a possible aid to irrigation scheduling. Agric. For. Meteorol. 1999, 95, 139–149. [Google Scholar] [CrossRef]
- Grant, O.M.; Tronina, Ł.; Jones, H.G.; Chaves, M.M. Exploring thermal imaging variables for the detection of stress responses in grapevine under different irrigation regimes. J. Exp. Bot. 2007, 58, 815–825. [Google Scholar] [CrossRef] [PubMed]
- Bates, L.S.; Waldren, R.P.; Teare, I.D. Rapid determination of free proline for water-stress studies. Plant Soil. 1973, 39, 205–207. [Google Scholar] [CrossRef]
- Cakmak, I.; Horst, W.J. Effect of aluminium on lipid peroxidation, superoxide dismutase, catalase, and peroxidase activities in root tips of soybean (Glycine max). Physiol. Plant. 1991, 83, 463–468. [Google Scholar] [CrossRef]
- Aggarwal, A.; Kadian, N.; Tanwar, A.; Gupta, K.K. Arbuscular mycorrhizal symbiosis and alleviation of salinity stress. J. Appl. Nat. Sci. 2012, 4, 144–155. [Google Scholar] [CrossRef]
- Pedrero, F.; Grattan, S.R.; Ben-Gal, A.; Vivaldi, G.A. Opportunities for expanding the use of wastewaters for irrigation of olives. Agric. Water Manag. 2020, 241, 106333. [Google Scholar] [CrossRef]
- Hameed, A.; Dilfuza, E.; Abd-Allah, E.F.; Hashem, A.; Kumar, A.; Ahmad, P. Salinity Stress and Arbuscular Mycorrhizal Symbiosis in Plants. In Use of Microbes for the Alleviation of Soil Stresses; Miransari, M., Ed.; Springer: New York, NY, USA, 2004; Volume 1. [Google Scholar]
- Estrada, B.; Aroca, R.; Azcón-Aguilar, C.; Barea, J.M.; Ruiz-Lozano, J.M. Importance of native arbuscular mycorrhizal inoculation in the halophyte Asteriscus maritimus for successful establishment and growth under saline conditions. Plant Soil. 2013, 370, 175–185. [Google Scholar] [CrossRef]
- Abdel-Fattah, G.M.; Rabie, G.H.; Lamis, D.S.; Rabab, A.M. The Impact of the Arbuscular Mycorrhizal Fungi on Growth and Physiological Parameters of Cowpea Plants Grown under Salt Stress Conditions. Int. J. Appl. Sci. Biotechnol. 2016, 4, 372. [Google Scholar] [CrossRef][Green Version]
- Kumar, A.; Sharma, S.; Mishra, S. Influence of arbuscular mycorrhizal (AM) fungi and salinity on seedling growth, solute accumulation, and mycorrhizal dependency of Jatropha curcas L. J. Plant Growth Regul. 2010, 29, 297–306. [Google Scholar] [CrossRef]
- Gómez-Bellot, M.J.; Álvarez, S.; Castillo, M.; Bañón, S.; Ortuño, M.F.; Sánchez-Blanco, M.J. Water relations, nutrient content and developmental responses of Euonymus plants irrigated with water of different degrees of salinity and quality. J. Plant Res. 2013, 126, 567–576. [Google Scholar] [CrossRef] [PubMed]
- Valdez-Aguilar, L.A.; Grieve, C.M.; Razak-Mahar, A.; McGiffen, M.E.; Merhaut, D.J. Growth and ion distribution is affected by irrigation with saline water in selected landscape species grown in two consecutive growing seasons: Spring-summer and fall-winter. HortScience 2011, 46, 632–642. [Google Scholar] [CrossRef]
- Bahtiyarca Bagdat, R.; Craker, L.E.; Yuksel, K. The effect of fertilization and Mycorrhiza inoculation on yield variables and essential oil characteristics of Salvia officinalis L. growing in the greenhouse and at the field. Indian J. Pharm. Educ. Res. 2017, 51, S341–S348. [Google Scholar] [CrossRef]
- Álvarez, S.; Rodríguez Hernández, P.; Broetto, F.; Sánchez-Blanco, M.J. Long term responses and adaptive strategies of Pistacia lentiscus under moderate and severe deficit irrigation and salinity: Osmotic and elastic adjustment, growth, ion uptake and photosynthetic activity. Agric. Water Manag. 2018, 202, 253–262. [Google Scholar] [CrossRef]
- Koyro, H.W. Effect of salinity on growth, photosynthesis, water relations and solute composition of the potential cash crop halophyte Plantago coronopus (L.). Environ. Exp. Bot. 2006, 56, 136–146. [Google Scholar] [CrossRef]
- Vicente-Sánchez, J.; Nicolás, E.; Pedrero, F.; Alarcón, J.J.; Maestre-Valero, J.F.; Fernández, F. Arbuscular mycorrhizal symbiosis alleviates detrimental effects of saline reclaimed water in lettuce plants. Mycorrhiza 2014, 24, 339–348. [Google Scholar] [CrossRef] [PubMed]
- Evelin, H.; Kapoor, R.; Giri, B. Arbuscular mycorrhizal fungi in alleviation of salt stress: A review. Ann. Bot. 2009, 104, 1263–1280. [Google Scholar] [CrossRef]
- Borde, M.; Dudhane, M.; Jite, P.K. AM Fungi Influences the Photosynthetic Activity, Growth and Antioxidant Enzymes in Allium sativum L. under Salinity Condition. Not. Sci. Biol. 2010, 2, 64–71. [Google Scholar] [CrossRef]
- Moradi, F.; Ismail, A.M. Responses of photosynthesis, chlorophyll fluorescence and ROS-scavenging systems to salt stress during seedling and reproductive stages in rice. Ann. Bot. 2007, 99, 1161–1173. [Google Scholar] [CrossRef]
- Zuccarini, P.; Okurowska, P. Effects of mycorrhizal colonization and fertilization on growth and photosynthesis of sweet basil under salt stress. J. Plant Nutr. 2008, 31, 497–513. [Google Scholar] [CrossRef]
- Sheng, M.; Tang, M.; Chen, H.; Yang, B.; Zhang, F.; Huang, Y. Influence of arbuscular mycorrhizae on photosynthesis and water status of maize plants under salt stress. Mycorrhiza 2008, 18, 287–296. [Google Scholar] [CrossRef] [PubMed]
- Aslani, H.; Razmjoo, J. Common sage (Salvia officinalis L.) responses to salinity and drought stresses in Isfahan region. Acta Hortic. 2018, 1190, 145–150. [Google Scholar] [CrossRef]
Publisher’s Note: MDPI stays neutral with regard to jurisdictional claims in published maps and institutional affiliations. |
© 2022 by the authors. Licensee MDPI, Basel, Switzerland. This article is an open access article distributed under the terms and conditions of the Creative Commons Attribution (CC BY) license (https://creativecommons.org/licenses/by/4.0/).





