Abstract
Anthropogenic activities have denatured aquatic, terrestrial, and aerial environments throughout the world in general, and in Lubumbashi in particular, where market garden soils have become uncultivable for many plants. Thus, bioponics could be an effective means of producing uncontaminated vegetables in soilless cultivation, not only reducing the amount of fertilizer used and limiting contamination of agricultural produce but also achieving higher yields than in open-ground cultivation. The overall objective of this study was to implement a new bioponic technique for producing liquid fertilizer from chicken manure and utilize it in the organic hydroponic cultivation of lettuce (Lactuca sativa var. Lucrecia) installed on floating raft systems. To achieve this, two types of trials were conducted. The first was aimed at determining the quantities of organic matter to be used in the formulation of nutrient solutions. The second trial aimed to determine the optimal nitrogen concentration to be provided for hydroponic plant growth. Mineralization and/or anaerobic digestion of chicken manure were conducted for 7 days in 200 L barrels. For the first trial, nutrient solutions were created from three different concentrations of chicken manure (0.35%, 3.5%, and 7% dry matter—D.M.). These solutions were then used in bioponic rafts where total ammonia nitrogen (TAN) concentrations were fixed at 150 mg/L. For the second trial, D.M. was fixed at 2.5% for each tested modality, but TAN concentrations varied among them (i.e., 60, 90, and 120 mg/L TAN concentration). Modalities with low D.M. concentration (0.35%) and those with low TAN concentration (60 mg/L) resulted in higher yields than bioponic modalities receiving high concentrations of dry matter or TAN, respectively, for trials 1 and 2. Although the reference chemical solutions generate the greatest yields, bioponic systems operating with chicken manure present a good alternative for the cultivation of vegetables in developing countries with heavily contaminated soils. Indeed, bioponics allows for the production of vegetables in large quantities from animal waste, which does not pose health risks for human consumption. Local vegetable species commonly grown in Lubumbashi should be tested under hydroponic conditions.
1. Introduction
Soil is a source of nutrients for plants and, as a substrate, enables plant growth. However, it cannot always play this role, given its degradation mainly caused by human activities. This situation is particularly acute in arid regions and areas of intense mining activity [1,2,3,4]. To guarantee food security for a growing population, increasing yields with adapted techniques remains a major challenge in developing countries where access to water and suitable soil is not guaranteed and public agricultural policies are sometimes deficient in feeding their populations [5,6]. This is particularly true in areas where anthropogenic activities are intense, like mining areas where soils have become less conducive to the production of quality vegetables and fruits in recent decades [1,7].
For these areas, hydroponics could be an alternative growing technique to ensure that the grown plants are free from heavy metal contamination. Hydroponics is a soil-less cultivation technique in which plant roots are immersed in a nutrient-enriched solution and eventually maintained by a preferably inert substrate [8]. This method, therefore, has the advantage of dissociating vegetable production and polluted soils. Three important qualities of hydroponics are (i) high yields, (ii) a 40 to 70% reduction in water consumption compared to soil-grown vegetable production, and (iii) its feasibility in areas where access to arable land is limited (due to arid conditions, or simply infertile or polluted soils) [9,10,11,12,13,14].
In most hydroponics systems, plant roots are immersed in nutritive solutions made from chemical fertilizers [8] derived from petrochemicals. Their mining and manufacturing generate high operating costs and major environmental problems through soil, water, plant, and air pollution [15,16]. For some minerals, their purchase prices can rise rapidly, particularly when the cost of the energy required for production is unstable [17,18,19]. Thus, in the face of increasing demand for fertilizers, agriculture will encounter numerous problems of fertilizer scarcity between 2050–2100, as mineral deposits are expected to be depleted [20,21,22,23,24]. These problems of food shortage could be exacerbated in developing countries, which are highly dependent on imports of synthetic chemical fertilizers [25,26,27]. This dependence is set to increase over the next few years, given the depletion of the deposits from which these minerals are extracted, on the one hand, and the poverty levels of the populations living in these countries, on the other. It is therefore essential and urgent to think about innovative and sustainable techniques to overcome these global challenges of chemical fertilizer shortages, and bioponics is one such alternative technique. Also known as biological hydroponics, bioponics involves growing plants in an aqueous medium, with the roots immersed in a nutrient solution derived from the partial or total mineralization of animal manure or plant debris [27,28,29].
In developing countries, these organic fertilizers can be acquired at low cost [30,31,32]. As part of the circular economy, it would make it possible to recycle urban waste instead of making it a source of soil and air pollution and diseases (typhoid, malaria, etc.) [33,34,35]. There are several techniques for producing organic fertilizers, such as compost tea [36,37,38,39,40] and vermicomposting [41,42]. The use of raw materials of animal origin to make compost tea has been shown to have certain advantages, such as the suppression of certain plant diseases [42,43,44,45,46,47,48].
In recent decades, poultry production has surged in response to the growing demand for meat and eggs from both urban and rural populations. The chicken droppings generated by this industry can serve as a multi-purpose resource for agriculture, offering benefits in terms of fertilization, composting, sustainability, and cost. Additionally, this high demand for chicken meat and eggs has encouraged residents to engage in poultry farming, leading to significant animal waste production. Chicken droppings can enhance crop productivity, soil health, and environmental sustainability through their rational use, while also protecting the environment from various sources of pollution [49,50,51].
This study is part of a more global project, which aims to find sustainable solutions to the various environmental problems facing urban agriculture in Lubumbashi. Firstly, the contamination of soil was characterized, by water and plants in the market gardens of Lubumbashi [1]. The results showed that the gardens were low, medium, and high in trace metal contamination and that the vegetables were, therefore, highly contaminated. Secondly, organocalcareous soil improvers were applied to clean up the soil. However, vegetables grown from these soils still presented trace metals above the limits imposed by the FAO, demonstrating that the soil improvers did not help in reducing the mobility and bioavailability of heavy metals [52].
This study aimed to analyze the impact of organic fertilizer produced from chicken droppings on yield and trace metals for lettuce grown in bioponic systems. The chicken droppings were chosen based on their availability in the Lubumbashi region, where intensive and family farming is increasingly popular with the city’s inhabitants, to offset the need for staple foods particularly poultry imported from neighboring countries. This study should help in understanding whether these fertilizers are promising for soilless crops run by populations living in the city of Lubumbashi in the D.R. Congo, which faces heavy soil pollution.
To do this, two experiments were set up. The first experiment was implemented to understand the impact of varying amounts of fresh chicken droppings on the preparation of bioponic nutrient solutions and, subsequently, its impact on lettuce yield. The second experiment consisted of determining the optimum nitrogen concentration of the bioponic nutrient solution to optimize bioponic vegetable production. Both yield and quantification of heavy metals were studied in this second experiment to better understand whether this solution is a viable alternative to grown vegetables.
2. Materials and Methods
For both trials performed, a bioponic system was used. The sequence of steps taking place during a bioponic production is described in (Figure 1). These steps were identical for both performed trials.
Figure 1.
Schematic diagram of bioponic nutrient solution production.
The difference between the trials resides in the preparation of nutrient solutions used. In the first trial, varying amounts of dry matter of chicken droppings were used during the preparation of the nutrient stock solution. In the second test, whilst the dry matter of chicken dropping was kept constant, the total nitrogen of each solution used was varied.
2.1. Plant Material and Growth Conditions
The trials were carried out in a shadehouse located in the Biofortification, Defence, and Crop Valorization (BIODEV) research unit of the Faculty of Agronomic Sciences at the University of Lubumbashi, D.R. Congo.
The lettuce seeds (Lactuca sativa var. Lucrecia rz) were obtained from the Laboratory of Integrated and Urban Plant Pathology at Gembloux Agro-BioTech, Université de Liège, Belgium. These lettuce seeds were sown in 36 × 36 × 40 mm rockwool cubes, Grodan, Roermond, Netherlands. Lettuce plants were grown under ambient light conditions and at an average temperature of 20 °C (Figure A2). Eight days after germination, vigorous seedlings with 2–3 true leaves were transplanted onto 2 × 1 m floating rafts, at a rate of 36 plants per floating raft, in a 5 cm diameter hydroponic basket. Lettuces were harvested 42 days after being planted in the rafts (on Day 63 according to Figure 1). All rafts were made of recycled wood, covered with polyethylene bags containing 600 L of nutrient solution, and homogenized by a 950 L/h submersible pump in continuous operation (Sicce, Pozzoleone, Italy) (Figure 2).
Figure 2.
Raft system, organic hydroponic cultivation of lettuce plants.
2.2. Biofilter Preparation
Two weeks before the anaerobic digestion of the chicken manure, bio-balls composed primarily of clay pellets, plastic caps, and biomedia (small plastic cylinders) were prepared in a 100 L capacity tank to ensure the proper development of nitrifying bacteria responsible for the nitrification process of the manure in the rafts. A mixture of 2.5 kg of well-decomposed fresh manure and 2.5 kg of mature compost was combined in 60 L of water, in which 25 L of bio-balls enclosed in a mosquito net were placed. This mixture was maintained under aerobic conditions with an airflow rate of 1.5 L/min into the tank containing the bio-balls for two weeks. The prepared 25 L of bio-balls were then divided into twelve parts, corresponding to the number of rafts (Figure 3).
Figure 3.
Preparation of aerobic biofilters (biomedia, plastic plugs, and clay ball).
2.3. Production of Stock Solution from Chicken Droppings
Thus, chicken droppings were chosen as the organic material for these experiments because it was readily available from both small and large poultry farmers in the city, and it was cheaper than mineral fertilizers [53]. The chicken droppings were purchased from an industrial poultry farm located about 15 km from the Faculty of Agricultural and Environmental Sciences at the University of Lubumbashi. For the production of nutrient solutions, all treatments (0.35%; 3.5%, and 7% dry matter D.M.) were repeated three times, i.e., three cans per treatment leading to a total of nine cans for trial 1 (Table A2). For trial 2, six repetitions (six cans) of the single modality (2.5% dry matter—D.M.) were produced (Table A3). To determine the dry weight of chicken droppings, ten 100 g samples of fresh chicken droppings were taken, weighed, and placed on aluminum plates in an oven at 40 °C for 48 h and then at 105 °C for 24 h (Table A1).
Once the stock solutions were prepared, the mineralization and/or anaerobic digestion of chicken droppings was carried out over a period of 7 days in 200 L canisters.
Following this anaerobic digestion, the nutrient solutions were filtered to remove large particles using a 500 µm mesh sieve, followed by a screening cloth. Only after this filtration process were the nutrient solutions supplied to the rafts.
These solutions were diluted to reach the desired TAN (total ammonia nitrogen). In the first trial, each stock solution was attributed to one raft. Although the chicken dropping concentration is variable (dry matter (%) in Table 1), the TAN (total ammonia nitrogen) concentration was fixed to 150 mg/L per raft before anaerobic digestion for all modalities, which was considered to be the highest concentration of nitrogen that plants can absorb in hydroponics [8]. On the contrary, for the second trial, the initial chicken dropping concentration was identical between modalities, but TAN concentrations were fixed to three different values before anaerobic digestion (i.e., 60, 90, and 120 mg/L TAN). This information is summarized in the table below (Table 1).
Table 1.
Summary of two bioponic experimental setups with lettuce cultivation (Lactuca sativa rz).
After dilution of the bioponic solutions in the twelve rafts, the latter received 2 L of biomedia and 16/6 L/min of air. Each raft then ran empty for 14 days to allow aerobic digestion to take place (from day 7 to day 21 according to Figure 1).
For both trials, lettuce was also grown with a reference nutrient solution of Hoagland to assess the yields and quality of lettuce produced in hydroponic cultures [8]. Given that this reference solution did not require any aerobic digestion, this one was only implemented in the rafts 14 days after the chicken-dropping prepared solutions. For this reference solution, TAN concentration was fixed at 150 mg/L for the first trial and 120 mg/L for the second trial.
2.4. Aerobic Digestion of Nutrient Solutions in Hydroponic Raft Systems before Crop Transplanting: Empty Circulation Phase
The solution diluted in 600 L of water per raft will continue the mineralization process aerobically for 14 days in rafts covered with an impermeable polyethylene bag. Once the bioponic nutrient solution had been diluted in the rafts, the 25 L of biofilter prepared (see Section 2.2) was divided equally in each raft. The bio-balls were left in the rafts until the end of the experiment.
2.5. Lettuce Cultivation and Control of Parameters
Before the cultivation phase, the water volume was restored to 600 L (i.e., the initial water level of the raft) with the chicken manure-based nutrient solutions and the reference chemical solution. Water was added here to counter the loss related to evaporation which took place. Lettuce (L. sativa Lucrecia rz) seedlings were then transplanted in each raft. The pH was then controlled and corrected if necessary to reach the desired pH of 6: sulfuric acid (H2SO4) was diluted to 10% in case of alkaline pH, and sodium hydroxide (NaOH) 3 N was used when in acid pH situations. Electroconductivity (EC) was also measured using a conductivity meter. Every seven days, the desired TAN concentrations (60, 90, 120, and 150 mg/L) in the rafts were adjusted to reach the initially implemented TAN levels (Table 1) to ensure optimal growth of the lettuce plants until the end of the trials. The TAN adjustment was conducted after analyzing the prepared nutrient solutions with a HANNA brand spectrophotometer to determine the amount of nitrogen absorbed by the plants and the amount evaporated. Electrical conductivity, pH, and TAN concentration were monitored throughout the cultivation period. Every seven days, measurements were taken in the rafts of each of the tested treatments in trials 1 and 2, respectively, until the end of the trials.
2.6. Sample Characterization
2.6.1. Trace Metal Quantification in Chicken Droppings Raw Material
Essential elements (Mg and Ca) and trace metals were determined at the agro-pedological laboratory of the University of Lubumbashi and the laboratory of the Office Congolais de Contrôle (OCC). The extraction consisted of taking 3 g of dried chicken droppings powder and 28 mL of aqua regia. Paper filters were used to filter the extract, which was then diluted with demineralized water and digested for 20 min at 175 °C in a microwave digestion vessel. Characterization of the chicken droppings solution can be found in Appendix A Table A1. Quantification of trace metals (Cu, Co, Cd, Pb, Zn, Fe) in chicken droppings using Perkin Elmer’s Optima 7000 DV ICP-OES spectrometer (PerkinElmer, Inc., Shelton, CT, USA) was performed according to the method developed by [54]. The sanitary quality of the chicken manure used in the production of bioponic nutrient solutions was determined. These chicken manures contained trace metal elements; however, these levels did not exceed the limits authorized by the WHO for its use in open-field agriculture. Of all the trace metal elements analyzed, only zinc slightly exceeds the toxicity threshold of 300 mg/kg of Zn permitted for agricultural soil, unlike other trace metal elements such as Cu, Co, Pb, Cd, and Fe, which are below toxicity thresholds. Ultimately, the chicken manures used pose no risk of contamination to the nutrient solutions on the one hand and the bioponic lettuces on the other.
2.6.2. Physico-Chemical Characterization of Nutrient Solutions
To determine the quality of the nutrient solutions, physicochemical analyses were carried out every week, from the start of digestion to the end of the trials (harvest), using a HANNA HI83300 multiparameter spectrophotometer (HANNA Instrument, Saint Laurent de Mure, France). More specifically, these chemical analyses concerned the control of NPK in its various forms (NH3-N; NH3−; NH4+; NO3-N; NO3−; PO43; P2O5; P; K; K2O; EC; and pH) and this for all modalities for both trials. During the digestion of chicken manure, samples of highly concentrated nutrient solutions were taken. The collected solution was diluted before performing analyses with a spectrophotometer. During cultivation, the targeted TAN (total ammonia nitrogen) was adjusted weekly by adding concentrated TAN solutions to the rafts.
2.6.3. Heavy Metals Characterization in Harvested Lettuce
The determination of trace metals in the dry matter of lettuces harvested after the trials was carried out using the AOAC (1990) method. From a total of 36 lettuces per raft, a representative sample of each raft (20%) was dried at 105 °C for 72 h. In this way, all replicates of each modality were mixed to form a composite sample for analysis. A one-gram dry matter sample of the composite sample was taken and placed in a 250 mL digestion tube and mixed with 10 mL of concentrated HNO3. This mixture was then boiled for 30 to 45 min to allow oxidation of all the elements. After cooling, 5 mL of 70% HClO4 and the mixture were boiled until dense white fumes appeared. Next, 20 mL of distilled water was added and the mixture was brought back to a boiling state to remove the fumes. The heavy metals (Cu, Co, Cd, and Pb) present in the vegetables were determined by acid mineralization (HNO3 + HClO4), and measurements were carried out by flame atomic absorption (FAA) [55,56].
2.6.4. Evaluation of Lettuce Crop Yields
Forty-two days after lettuce transplantation, all plants from each raft were weighed on a precision scale to determine the lettuce crop yields on a per-modality basis (Figure A3).
2.7. Statistical Analysis
Yields in both trials were analyzed using one-way ANOVA (fixed factor was % D.M. in the first trial and TAN content in the second). One-way ANOVA was also performed on heavy metals data in the second trial. When the means were significantly different (p < 0.05), a Tukey–Kramer test was performed. One-way ANOVA and a subsequent post-hoc test were elaborated using Minitab 19 (Minitab Inc., State College, PA, USA).
NH3-N; NH3−; NH4+; NO3-N; NO3−; PO43; P2O5; P; K; K2O; EC; and pH, on the other hand, were analyzed using a two-way mixed ANOVA (within-subject factor was time and between-subject factor was % D.M. and TAN content in the first and second trial, respectively). If a significant interaction was observed between the two factors, Bonferroni correction for multiple comparisons within each time group was performed. When this was not the case, but a significant main effect was still obtained, Bonferroni correction was also used. Two-way mixed ANOVA and subsequent post-hoc tests were performed in R (R 4.3.2 software, R Development Core Team, Boston, MA, USA).
3. Results
3.1. Assessment of the Impact of Chicken Manure Dry Matter on Bioponics (Trial 1)
3.1.1. Physico-Chemical Parameters of the Nutrient Solutions in the Tanks from Trial 1
During anaerobic digestion TAN, pH, and EC were monitored in all tanks for each of the nutrient solutions modality (0.35% D.M., 3.5% D.M., and 7% D.M.).
In all three cases, significant interactions between these two factors (time and % D.M.) were observed (p < 0.05).
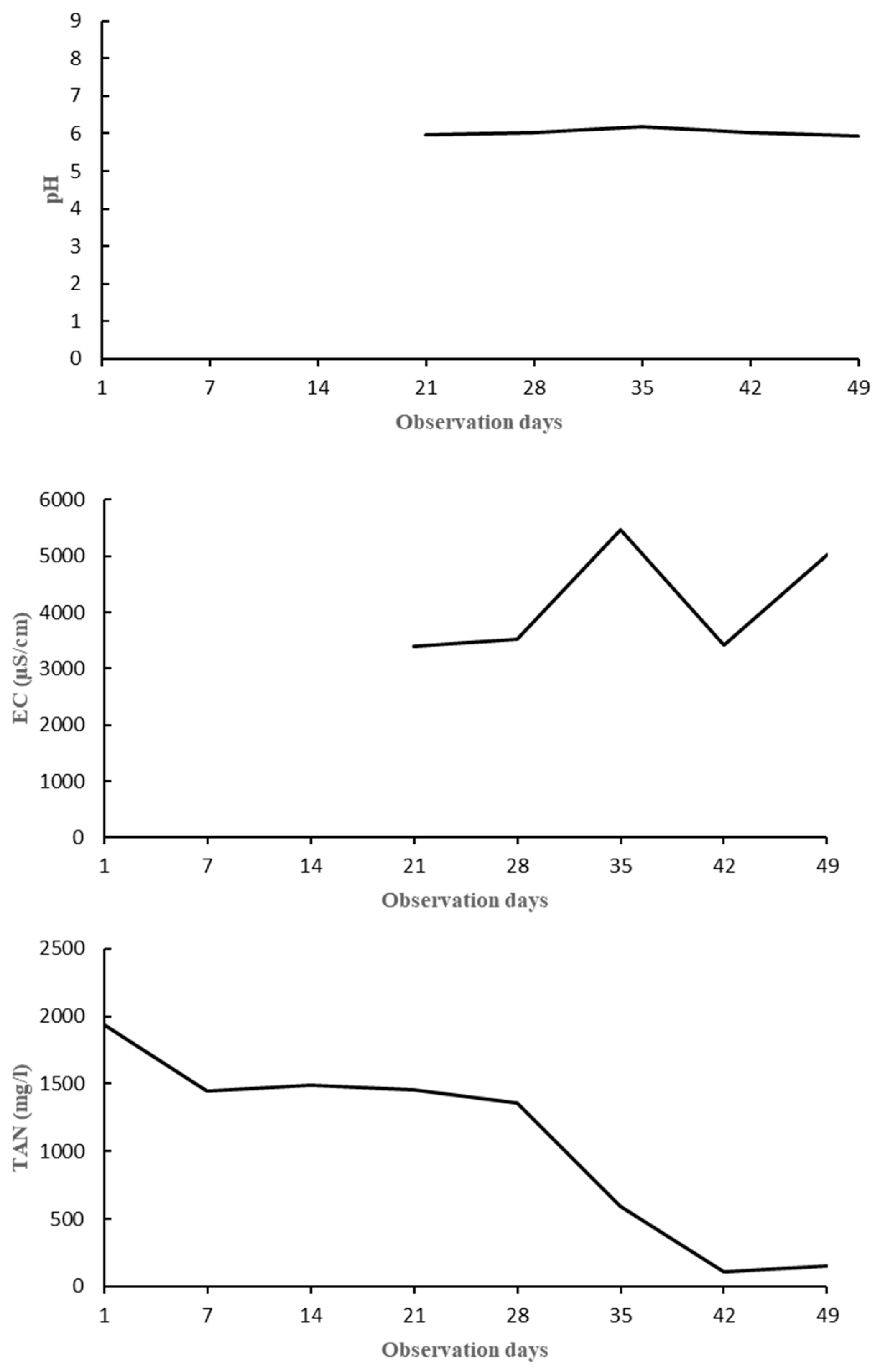
In the case of TAN (Figure 4a), it can be said that similar behaviors were observed on days 28, 35, and 42 between rafts that were fed with nutrient solutions of 0.35% D.M. and 3.5% D.M. On the other hand, TAN for the 7% D.M. nutrient solution was significantly greater at all times except day 49.
Figure 4.
Effect of dry matter on TAN (mg/L) (a), electrical conductivity (µS/cm) (b), and pH (c) of bioponic nutrient solutions manufactured from trial 1. Legend: d: days of observation; ‘****’: Extremely significant difference (p < 0.0001); ‘***’: Very significant difference (p < 0.001); ‘**’: Highly significant difference (p < 0.01), “*”: Significant difference (p < 0.05); EC: electroconductivity; TAN: total ammonia nitrogen.
Electroconductivity (Figure 4b) appears to be the greatest for a nutrient solution at 3.5% D.M. at the beginning of the aerobic phase. Solution 0.35% D.M. gradually increases with time and becomes significantly greater than both 3.5% and 7% D.M. at day 49. Lastly, although overall stable around pH 6, it can be seen from (Figure 4c) that the pH obtained for solution 0.35% D.M. is several times greater than that of the other solutions (e.g., significantly greater than that of 7% D.M. at day 21, 28, and 42). Some biotic and abiotic parameters that could influence the results were not controlled, including temperature, light, and microorganisms in the nutrient solutions and rafts. This decision was made to better align our studies with the actual conditions faced by users.
3.1.2. Evolution of Nutrient Solutions in the Rafts during the Cultivation of Bioponic Lettuces from Trial 1
The results in (Figure 5) showed that as the culture time increased, concentrations of NO2-N, PO43−, and TAN also increased until reaching their peak on the 35th day, after which concentrations decreased in all bioponic modalities except for the mineral modality (Figure 5a,e). However, treatments composed of 3.5% and 7% dry matter of chicken manure produced the highest amounts of these nutrients compared to the treatment with 0.35% dry matter. For NO3-N, on the other hand, the highest concentration was obtained on day 21, just after transplanting, and, consequently, nitrate concentrations overall decreased with increasing days of cultivation (Figure 5b). Furthermore, TAN and K contents reached their peak concentrations on the 21st day and decreased as the culture time increased. The best modalities that produced high quantities in TAN were those with 7% dry matter of chicken manure (Figure 5d,f).
Figure 5.
Evolution of NPK levels in the nutrient solutions in the rafts during the cultivation phase of lettuces from trial 1. Legend: d: days of observation, TAN: total ammonia nitrogen (mg/L) (a); TMN: total mineral nitrogen (sum of NO3-N, NO2-N-, and TAN) (mg/L) (b); NO2-N: nitrite nitrogen (mg/L) (c); NO3-N: nitrate nitrogen (mg/L) (d); PO43−: phosphate-phosphorus (mg/L) (e) and K: potassium (mg/L) (f).
3.1.3. Assessment of the Yield and Sanitary Quality of Bioponic Lettuces for Trace Metals (TME) in Trial 1
The analysis of variance shows significant differences between the various modalities applied in hydroponic cultures (p < 0.05) in terms of lettuce yield. The significant difference resides between the reference nutrient solution, which demonstrated higher productivity, and the nutrient solutions based on chicken manure (Table 2). However, the analysis of variance shows no significant difference between the modalities with chicken manure. The modality with low dry matter concentration (0.35% D.M.) yielded higher biomass than the other two organic modalities with high concentrations of dry matter. Regarding the sanitary quality of lettuce produced in hydroponics, results show that lettuce grown with a bioponic solution poses no danger to human consumption as the levels of trace elements found in lettuce biomass are below the threshold recommended by the FAO/WHO for human consumption of vegetables. The results of this trial demonstrate that variation in dry matter for the formulation of nutrient solutions does not necessarily influence the increase in crop yields. Thus, in the subsequent trial, the aim will be to test whether, for the same concentration of dry matter for the formulation of nutrient solutions, variation in TAN (total ammonia nitrogen) in the rafts could significantly influence crop yields.
Table 2.
Effects of nutrient solutions on yield and health quality of hydroponically grown vegetables in trial 1. Legend, 0.35% dry matter; 3.5% dry matter; 7% dry matter; mineral nutrient solution.
3.2. Assessment of the Impact of Total Ammonia Nitrogen (TAN) Concentration on Bioponics (Trial 2)
As mentioned previously at the end of the first trial, the results showed that the amount of dry matter introduced during the anaerobic manure digestion did not significantly influence the lettuce crop yields. Therefore, in this second trial, it was decided to vary the TAN concentration of the nutrient solution in the rafts to evaluate its impact on lettuce crop yields. For this trial, 2.5% dry matter was chosen for the preparation of nutrient solutions using chicken manure, as previously applied by [57].
During the anaerobic phase, physicochemical parameters such as pH, EC, and TAN were monitored in the nutrient solutions (Appendix A Figure A1).
3.2.1. Evolution of Nutrient Solutions in the Rafts during the Cultivation of Bioponic Lettuces from Trial 2
Following the anaerobic digestion phase, the formulated nutrient solution was redistributed in the rafts, and the TAN concentration was varied according to three modalities: 60, 90, and 120 mg/L of TAN (Table 1). During the lettuce growing phase, chemical parameters such as TAN, TMN, NO2-N, NO3-N, NO2-N, PO43−, and K in the rafts were monitored every 7 days to adjust the TAN concentration to the desired level for both bioponic modalities and the chemical reference modality (Figure 6).
Figure 6.
Effect of nutrient solutions and different observation dates on the chemical parameters of nutrient solutions in the rafts of trial 2. Legend: d: days of observation; ‘****’: Extremely significant difference (p < 0.0001); ‘***’: Very significant difference (p < 0.001); ‘**’: Highly significant difference (p < 0.01), “*”: Significant difference (p < 0.05); EC: electroconductivity; TAN: total ammonia nitrogen; NO2-N: nitrite nitrogen (mg/L) (a); NO3-N: nitrate nitrogen (mg/L) (b); TAN: total ammonia nitrogen (mg/L) (c); TMN: total mineral nitrogen (sum of NO3-N, NO2-N, and TAN) (mg/L) (d); P: phosphate-phosphorus (mg/L) (e) and K: potassium (mg/L) (f).
Parameters monitored throughout lettuce cultivation are shown in Figure 6. Except for the results obtained for NO2-N, TAN, and TMN, for all other results, a significant interaction was observed between the time of cultivation and TAN content.
In the case of NO2-N, TAN, and TMN contents found in the rafts, a significant main effect of time was present. Bonferroni multiple comparison was performed to compare the overall effect of time. It appears that the impact of time is similar in all three cases, with a significant decrease between day 28 and day 35.
On the other hand, observations made regarding the overall impact of the nutrient solution TAN content on the results are variable. For the NO2-N content and the TAN content, it appeared that all TAN content modalities were significantly different from each other, with the exception of the reference solution and the chicken-dropping nutrient solution fixed at TAN 60 mg/L. No significant effect of TAN content was observed on TMN results.
For the NO3-N, PO43−, and K contents in the rafts during the culture period, there is an interaction between the culture time and the TAN content. In the case of PO43−, an overall decrease in phosphate content in the raft fed with the three bioponic solutions can be observed. However, the bioponic solution with a TAN content of 90 mg/L slightly increased between days 21 and 28 before decreasing again. In the case of the mineral solution, the phosphate content remains low and ultimately increases between days 35 and 42. In the case of the potassium content, the Bonferroni multiple comparisons showed a significant difference between modalities at all culture times except on the 35th day where there are no significant differences. It is observed that there is a decrease in K as the culture time increases for all modalities except for the 60 mg/L modality. Regarding the NO3-N content, it appears that the mineral solution displays the greatest quantities on day 21. In the following days, this one decreases and reaches NO3-N quantities comparable to the bioponic solutions modalities. As for potassium content, it appears for the nitrate content that the mineral solution and bioponic solution both at 120 mg/L yield the greatest results (Figure 6).
3.2.2. Impact of Nutrient Solution TAN Content on Lettuce Yields and Health Considerations
The results of yield and concentrations of trace metal elements are presented in (Table 3). After the analysis of variance, it appears that there is a significant difference between the applied modalities (p < 0.05) regarding lettuce yields. The mineral modality was found to be more productive than the bioponic modalities. No significant difference was observed between the modalities of nutrient solutions based on chicken manure; the modality with low TAN concentration (60 mg/L) offered higher yields than the other two bioponic modalities (90 and 120 mg/L). Regarding the accumulation of metals in lettuce biomass, the analysis of variance shows no significant difference between the modalities applied for the trace elements As, Pb, and Zn. However, ANOVA reveals significant differences between the modalities for the trace metals Cd, Co, and Cu (p < 0.05), with the 120 mg/L organic modality showing higher levels of these metals followed by the 90 mg/L organic modality.
Table 3.
Effects of nutrient solutions on yield and sanitary quality of hydroponically grown vegetables in trial 2. Legend, 60 mg/L TAN biopony; 90 mg/L TAN biopony; 120 mg/L TAN biopony; Control treatment/120 mg/L TAN Resh.
4. Discussion
4.1. Dynamics of pH, EC, and NPK in Nutrient Solutions during Anaerobic and Aerobic Digestion of Chicken Droppings
Numerous studies have examined the importance of chicken droppings in the production of liquid fertilizers, particularly in organic hydroponic cultivation [58,59,60]. These chicken droppings are added to water in aerobic or anaerobic conditions, allowing them to ferment for one to two weeks or more, generating a digestate [61]. According to previous research, the use of highly diluted organic digestates in hydroponic cultures has yielded results similar to those of a mineral nutrient solution [62]. Conversely, nutrient solutions with a high concentration of digestate were detrimental to plants due to the high NH4+ concentrations, as mineral nitrogen is present in anaerobic conditions. When digestates are highly concentrated in nutrient solutions, there is a massive proliferation of heterotrophic microorganisms that can disrupt nitrifying bacteria if dissolved oxygen concentrations are low [63,64]. Both trials progressively recorded significant nitrogen losses, which can be explained by the intense development of microorganisms during the aeration phase caused by residual organic matter, as shown in Figure 5 and Figure 6. Heterotrophic bacteria consume and assimilate all the mineral elements produced during mineralization [65,66]. This explains why the more concentrated digestate modalities experienced greater nitrogen losses than the less concentrated ones.
The transformation of NH3-N, NO2-N, and TAN into nitrate NO3-N in both experiments demonstrates that ammonification and nitrification processes occurred in the formulated bioponic nutrient solutions. The increase in pH of the nutrient solutions can be attributed to various biochemical processes such as ammonification (conversion of inorganic nitrogen into ammonium ions NH4+, which absorb H+), the removal of CO2 resulting from the transformation of carbonate ions (CO32−) and protons H+ into CO2 and H2O, and the removal of fatty acids [67,68]. However, under aerobic conditions, the processes of ammonification and mineralization of organic matter are significantly faster, whereas under anaerobic conditions these processes are slowed down. Therefore, in an aerobic environment, various heterotrophic microorganisms play a role in the decomposition of organic matter [65,66,69]. On the other hand, the pH of the nutrient solutions can decrease due to the nitrification process where H+ ions are released. Conversely, the pH of the nutrient solutions can decrease due to the nitrification process where H+ ions are released. Consequently, aerobic heterotrophic microorganisms can utilize these ions during the oxidation of organic matter, leading to the release of dissolved CO2 in the water, which forms carbonic acid and can lower the pH of the nutrient solution [70,71]. Nearly 80% of the anions and cations absorbed by plants come from nitrogen (NH3-N and NO3-N). These different forms are responsible for the increase and/or decrease in pH of the medium via plant roots when the cation/anion ratio is greater or smaller than one, respectively. The results of this study showed that the pH of the nutrient solution remained near constant throughout the chicken manure digestion process. This could be explained on one hand by the fact that low levels of ammonia could lead to acidification of the plant growth medium, but on the other hand, the fact that the cation/anion ratio would be greater than one implies that an excess of cations in the medium can interfere with the absorption or availability of essential anions for plant growth, thus disrupting the chemical balance of elements in the medium [72]. Additionally, some microorganisms present in the environment (Escherichia coli, Saccharomyces cerevisiae) can produce organic acids or release hydrogen ions during their metabolism, capable of acidifying the medium leading to the unavailability of certain nutrients. Moreover, ammonia nitrogen in solution can be present as free NH3 at alkaline pH, which could pose significant risks of nitrogen loss through volatilization into the atmosphere by reducing their concentrations [70,72,73,74,75,76,77,78,79,80].
In hydroponics, measuring the electrical conductivity of a nutrient solution indicates the approximate amount of mineral salts available in the solution. The total amount of ions in the solution exerts osmotic pressure on plant roots and therefore determines plant development, growth, and productivity [81]. The results obtained show that as the days of mineralization increase, the electrical conductivity simultaneously increases from 2000 to over 5000 (µS/cm), which could be explained by the fact that the chicken droppings used were naturally very rich in nutrients. Similar observations have shown that chicken manure from industrial farming with balanced poultry feed had higher electrical conductivity than other animal manures or manure from traditional farming [82,83].
4.2. Effects of Nutrient Solutions on Plant Growth in Bioponic Cultures
In both trials, visual observation revealed that the growth of lettuce plants in the bioponic treatments was marked by a delay compared to the chemical reference treatment seven days after lettuce transplantation into the rafts. This delay in plant growth could be explained by the fact that plants need to acclimate to their new growing environment, transitioning from tap water to an organic nutrient solution [84].
However, a decrease in the levels of essential elements in the organic nutrient solutions was observed. This phenomenon could be explained by the fact that treatments with the highest concentrations of dry matter and TAN contained, on one hand, large amounts of residual organic matter, and on the other hand, they developed an intense microbial activity that would disrupt the proper functioning of nitrifiers, thus making oxygen increasingly scarce in the environment.
Consequently, essential minerals released during mineralization are often consumed by heterotrophic bacteria but also assimilated by plant roots [66,85]. However, organic treatments with higher concentrations of dry matter or TAN were prone to significant nitrogen losses compared to less concentrated treatments due to the formation of biofilms on the surfaces of production systems on one hand [86]. On the other hand, these biofilms may present risks by trapping or adsorbing minerals through the formation of anaerobic zones, thus leading to the denitrification process at the expense of organic matter nitrification [66,87,88]. However, the absorption of nutrients by plants as well as the conversion of nitrites to nitrates by microorganisms can also reduce nutrient concentrations in the nutrient solution [89,90].
Phosphorus can exist in several forms depending on the pH of the medium, and its root uptake can occur via PO43−, HPO42−, and H2PO4− ions, with the latter two forms being the most absorbed by plants. Phosphorus is more available to plants at slightly acidic pH levels (around 5) in conditions where plants are grown on inert substrates. However, when the pH of the nutrient solution becomes alkaline or very acidic, phosphorus availability decreases [91,92]. Our results showed that the pH of the nutrient solutions was alkaline during the cultivation period, while the phosphorus concentration increasingly decreased. This phenomenon could be explained by the fact that phosphorus precipitated as calcium phosphate, lead phosphate, or magnesium phosphate, forms that are less available to plants [93,94,95,96].
4.3. Yield and Health Quality of Lettuce Plants Grown in Bioponic Cultures
Hydroponic cultivation offers several advantages, including water economy and agricultural product quality. Additionally, it provides higher crop yields compared to conventional agricultural production techniques [97,98,99,100,101,102,103,104]. In both trials, the highest lettuce crop yields were obtained with the mineral nutrient solution modality, followed by the bioponic modality with low D.M. (in the case of trial 1) and low TAN content (in trial 2). Although not statistically significantly different, great differences are observed between the modality with low D.M. and low TAN compared to the two other bioponic modalities. This is explained by the fact the plant’s need for nitrogen comes mainly from nitrate and to a smaller extent from TAN. The nitrogen uptake originating from TAN remains, however, small as this one can become toxic at high concentrations [105,106,107,108,109,110]. At the beginning of the lettuce growth stage (day 21 in Figure 5 and Figure 6), high nitrate concentrations and low TAN concentrations are found for the reference solution, which, therefore, leads to optimal growth and fine high lettuce yields. In trial 1, reference treatment and bioponic solution with the lowest D.M. (i.e., 0.35% D.M.) display comparable TAN concentrations. However, this bioponic modality does not display similar NO3-N concentrations to the reference. In other words, the initial TAN concentration for this low D.M. modality does not limit plant growth; however, NO3-N concentrations remain low, and growth is not particularly promoted either. Although the difference in NO3-N and TAN concentrations existing between the reference and the bioponic solutions become smaller towards the end of cultivation in both trials, it is the difference existing at the beginning of cultivation that will have the greatest impact on plant growth and impact yield. Altogether it can be said that even if bioponic solutions do not offer the same lettuce yields, the use of low D.M. and low TAN contents can offer better yields than other bioponic options for local populations wishing to use bioponics.
Additionally, lettuce plants grown through bioponic cultivation in the agro-environmental conditions of Lubumbashi pose no risks for human consumption, with metal concentrations detected in lettuce leaves being below the toxicity threshold set by the WHO/FAO for human vegetable consumption. In regions with high heavy metal concentrations, the WHO suggests that vegetables intended for human consumption should not exceed toxicity thresholds, which are set for most trace elements, notably 10–20 mg/kg Cu, 1–5 mg/kg Co, 5–10 mg/kg Pb, and 1–2 mg/kg Cd; beyond these toxicity thresholds, vegetables containing higher levels of trace metal elements are considered contaminated. Bioponics may serve as an alternative for producing quality vegetables in an environment impacted by anthropic activities, particularly mining and mineral [103,104]. In the context of environmental contamination and pollution in the city of Lubumbashi, the use of new technologies such as bioponics may prove to be a more efficient solution to produce quality vegetables. The use of organic fertilizers in hydroponics offers numerous economic, ecological, and environmental advantages [7,111,112]. Hydroponic crops are known to be environmentally friendly because they save water resources, consume less water, and do not use too many pesticides. One of the limits consists of using synthetic chemical fertilizers. However, we, as others [113,114] contribute to the prospect of the possibility of using organic fertilizers derived from animal dung and plant debris as a source of nutrients for the plants. The productivity of vegetable crops such as Chinese cabbage in Lubumbashi gardens remains relatively low, with average yields estimated at around 1.9 kg/m2. Additionally, harvest products from this conventional soil-based agriculture remain of poor sanitary quality. Harvest products from this new soilless technique are free from any metallic contamination and produce greater yields compared to soil-grown cultures [115].
5. Conclusions
This study aimed to develop and optimize a new bioponic technique to produce liquid fertilizer from chicken manure and implement it in the organic hydroponic (bioponic) cultivation of lettuce (Lactuca sativa rz). To achieve this, two types of trials were conducted under shade netting in the ambient conditions of Lubumbashi. Overall, the results are particularly promising as they demonstrate that quality vegetables can be produced, with interesting yields, exclusively using animal waste as fertilizing material. Our technique, which involves fermenting chicken droppings for hydroponic lettuce production in an environment contaminated by trace metals in Lubumbashi, has proven to be an ecological, and practically implementable approach. The results suggested that using low percentages of dry matter from chicken manure (0.35% D.M) and low concentrations of total ammoniacal nitrogen (TAN) (60 mg/L of TAN) yielded higher outputs compared to bioponic treatments receiving high concentrations of dry matter and/or TAN, respectively, for trials 1 and 2. Although yields obtained with chemical nutrient solutions remain superior to bioponic treatments in vegetable cultivation, the obtained results still demonstrate that chicken manure presents significant potential in urban agriculture.
Additionally, lettuces grown using bioponics are safe for consumption, as they contain no trace metal levels above the FAO/WHO toxicity threshold for vegetables. However, further studies should investigate nitrogen loss mechanisms in the rafts, the role of nitrifying bacteria in organic matter, and the valorization of methane gas produced during the anaerobic fermentation process of chicken manure. Lastly, additional studies could test the cultivation of local plant species with added value and other types of organic matter in bioponic vegetable cultivation.
Author Contributions
F.M.K. and I.S.: conceptualization, methodology, data analysis, and drafting of the manuscript; M.M.M. and C.B.: methodology and critical revision of the manuscript; M.H.J.: supervision, contribution to drafting, and critical revision of the manuscript. All authors have read and agreed to the published version of the manuscript.
Funding
This research was funded by the Académie de Recherche et d’Enseignement Supérieur (ARES-CCD) as part of the Research and Development Project entitled: Improvement of Living Conditions for the Inhabitants of Lubumbashi through the Strengthening of Urban Agriculture and Optimization of Ecosystem Services in the Democratic Republic of Congo, and Laboratory of Integrated and Urban Plant Pathology (LIUPP) of Gembloux Agro-Bio Tech, University of Liège.
Data Availability Statement
The original contributions presented in the study are included in the article, further inquiries can be directed to the corresponding author.
Acknowledgments
The authors would like to thank the NGOs REFED and BDD as well as the students who accompanied us in the field for data collection.
Conflicts of Interest
The authors declare no conflicts of interest.
Appendix A
Table A1.
Physico-chemical characteristics of chicken droppings.
Table A2.
Physico-chemical properties of bioponic nutrient solutions from trial 1, stock solutions before dilution in rafts on day 7, after dilution on day 21 of vacuum aerobic circulation pH; EC: electroconductivity (µS/cm); TAN: total ammonia nitrogen (mg/L); NO3-N: nitrate nitrogen (mg/L); NO2-N: nitrite nitrogen (mg/L); TMN: total mineral nitrogen (sum of NO3-N, NO2-N, and TAN) (mg/L); PO43−: phosphate-phosphorus (mg/L) and K-potassium (mg/L). Legend, T1: 0.35% dry matter; T2: 3.5% dry matter; T3: 7% dry matter.
Table A3.
Physico-chemical properties of bioponic nutrient solutions from trial 2, stock solutions before dilution in rafts on day 7, after dilution on day 21 of vacuum aerobic circulation pH; EC: electroconductivity (µS/cm); TAN: total ammonia nitrogen (mg/L); NO3-N: nitric nitrogen (mg/L); NO2-N: nitrite nitrogen (mg/L); TMN: total mineral nitrogen (sum of NO3-N, NO2-N, and TAN) (mg/L); PO43−: phosphate-phosphorus (mg/L) and K: potassium (mg/L). Legend, T1: 60 mg/L TAN biopony; T2: 90 mg/L TAN biopony; T3: 120 mg/L TAN biopony.
Figure A1.
Effect of dry matter on the quality of nutrient solutions derived from chicken manure in trial 2.
Figure A2.
Illustration of lettuce sowing in rockwool cubes and cultivation.
Figure A3.
Illustration of bioponic lettuces produced in an impacted environment in Lubumbashi.
References
- Mununga Katebe, F.; Raulier, P.; Colinet, G.; Ngoy Shutcha, M.; Mpundu Mubemba, M.; Jijakli, M.H. Assessment of Heavy Metal Pollution of Agricultural Soil, Irrigation Water, and Vegetables in and Nearby the Cupriferous City of Lubumbashi, (Democratic Republic of the Congo). Agronomy 2023, 13, 357. [Google Scholar] [CrossRef]
- Shutcha, M.N.; Faucon, M.P.; Kamengwa Kissi, C.; Colinet, G.; Mahy, G.; Ngongo Luhembwe, M.; Visser, M.; Meerts, P. Three years of phytostabilisation experiment of bare acidic soil extremely contaminated by copper smelting using plant biodiversity of metal-rich soils in tropical Africa (Katanga, DR Congo). Ecol. Eng. 2015, 82, 81–90. [Google Scholar] [CrossRef]
- Muimba-Kankolongo, A.; Banza Lubaba Nkulu, C.; Mwitwa, J.; Kampemba, F.M.; Mulele Nabuyanda, M.; Haufroid, V.; Smolders, E.; Nemery, B. Contamination of water and food crops by trace elements in the African Copperbelt: A collaborative cross-border study in Zambia and the Democratic Republic of Congo. Environ. Adv. 2021, 6, 100103. [Google Scholar] [CrossRef]
- Mubemba, M.M.; Sikuzani, Y.U.; Kimuni, L.N.; Colinet, G. Effets d’amendements carbonatés et organiques sur la culture de deux légumes sur sol contaminé à Lubumbashi (RD Congo). Biotechnol. Agron. Soc. Environ. 2014, 18, 367–375. [Google Scholar]
- Byrnes, B.H.; Bumb, B.L. Population growth, food production and nutrient requirements. In Nutrient Use in Crop Production; CRC Press: Boca Raton, FL, USA, 2017; pp. 1–28. [Google Scholar] [CrossRef]
- Lin, D.; Wambersie, L.; Wackernagel, M. Estimating the Date of Earth Overshoot Day 2021. Outline Overview: Earth Overshoot Day Calculation. 2021, 1–8. Available online: https://www.klimareporter.de/images/dokumente/2021/07/Earth-Overshoot-Day-2021-Nowcast-Report.pdf (accessed on 6 June 2023).
- Marti, L.; Puertas, R. Analysis of the efficiency of African countries through their Ecological Footprint and Biocapacity. Sci. Total Environ. 2020, 722, 137504. [Google Scholar] [CrossRef]
- Treftz, C.; Omaye, S.T. Hydroponics: Potential for augmenting sustainable food production in non-arable regions. Nutr. Food Sci. 2016, 46, 672–684. [Google Scholar] [CrossRef]
- Resh, H.M. Hydroponic Food Production. A Definitive Guidebook for the Advanced Home Gardener; CRC Press: Boca Raton, FL, USA, 2013. [Google Scholar]
- Putra, P.A.; Yuliando, H. Soilless Culture System to Support Water Use Efficiency and Product Quality: A Review. Agric. Agric. Sci. Procedia 2015, 3, 283–288. [Google Scholar] [CrossRef]
- Majid, M.; Khan, J.N.; Ahmad Shah, Q.M.; Masoodi, K.Z.; Afroza, B.; Parvaze, S. Evaluation of hydroponic systems for the cultivation of Lettuce (Lactuca sativa L., var. Longifolia) and comparison with protected soil-based cultivation. Agric. Water Manag. 2021, 245, 106572. [Google Scholar] [CrossRef]
- Chandra Barman, N.; Banu, N.A. A Review on Present Status and Future Prospective of Hydroponics Technique Antidiabetic Activity of Lippia alba l. (Motmotia/Bon Pudina) in Alloxan Induced Diabetic Swiss Albino Mice View Project. 2016. Available online: https://www.researchgate.net/publication/320299106 (accessed on 6 June 2023).
- Franco-Uría, A.; López-Mateo, C.; Roca, E.; Fernández-Marcos, M.L. Source identification of heavy metals in pastureland by multivariate analysis in NW Spain. J. Hazard. Mater. 2009, 165, 1008–1015. [Google Scholar] [CrossRef]
- Madeira, L.M.; Szeto, T.H.; Henquet, M.; Raven, N.; Runions, J.; Huddleston, J.; Garrard, I.; Drake, P.M.W.; Ma, J.K.C. High-yield production of a human monoclonal IgG by rhizosecretion in hydroponic tobacco cultures. Plant Biotechnol. J. 2016, 14, 615–624. [Google Scholar] [CrossRef]
- Gonnella, M.; Renna, M. The evolution of soilless systems towards ecological sustainability in the perspective of a circular economy. Is it really the opposite of organic agriculture? Agronomy 2021, 11, 950. [Google Scholar] [CrossRef]
- Udume, O.A.; Abu, G.O.; Stanley, H.O.; Vincent-akpu, I.F.; Momoh, Y.; Eze, M.O. Biostimulation of Petroleum-Contaminated Soil Using Organic and Inorganic Amendments. Plants 2023, 12, 431. [Google Scholar] [CrossRef]
- Jia, J.; Xiao, B.; Yu, Y.; Zou, Y.; Yu, T.; Jin, S.; Ma, Y.; Gao, X.; Li, X. Heavy metal levels in the soil near typical coal-fired power plants: Partition source apportionment and associated health risks based on PMF and HHRA. Environ. Monit. Assess. 2023, 195, 207. [Google Scholar] [CrossRef]
- Kumar, V.; Singh, E.; Singh, S.; Pandey, A.; Bhargava, P.C. Micro- and nano-plastics (MNPs) as emerging pollutant in ground water: Environmental impact, potential risks, limitations and way forward towards sustainable management. Chem. Eng. J. 2023, 459, 141568. [Google Scholar] [CrossRef]
- Guo, L.; Zhao, S.; Song, Y.; Tang, M.; Li, H. Green Finance, Chemical Fertilizer Use and Carbon Emissions from Agricultural Production. Agriculture 2022, 12, 313. [Google Scholar] [CrossRef]
- Xie, S.; Yang, F.; Feng, H.; Yu, Z.; Wei, X.; Liu, C.; Wei, C. Potential to Reduce Chemical Fertilizer Application in Tea Plantations at Various Spatial Scales. Int. J. Environ. Res. Public Health 2022, 19, 5243. [Google Scholar] [CrossRef]
- Ersahin, M.E.; Cicekalan, B.; Cengiz, A.I.; Zhang, X.; Ozgun, H. Nutrient recovery from municipal solid waste leachate in the scope of circular economy: Recent developments and future perspectives. J. Environ. Manag. 2023, 335, 117518. [Google Scholar] [CrossRef]
- Walan, P.; Davidsson, S.; Johansson, S.; Höök, M. Phosphate rock production and depletion: Regional disaggregated modeling and global implications. Resour. Conserv. Recycl. 2014, 93, 178–187. [Google Scholar] [CrossRef]
- Sheldrick, W.F.; Syers, J.K.; Lingard, J. A conceptual model for conducting nutrient audits at national, regional, and global scales. Nutr. Cycl. Agroecosyst. 2002, 62, 61–72. [Google Scholar] [CrossRef]
- Cordell, D.; Drangert, J.O.; White, S. The story of phosphorus: Global food security and food for thought. Glob. Environ. Chang. 2009, 19, 292–305. [Google Scholar] [CrossRef]
- Desmidt, E.; Ghyselbrecht, K.; Zhang, Y.; Pinoy, L.; Van Der Bruggen, B.; Verstraete, W.; Rabaey, K.; Meesschaert, B. Global phosphorus scarcity and full-scale P-recovery techniques: A review. Crit. Rev. Environ. Sci. Technol. 2015, 45, 336–384. [Google Scholar] [CrossRef]
- Houssini, K.; Geng, Y.; Liu, J.Y.; Zeng, X.; Hohl, S.V. Measuring anthropogenic phosphorus cycles to promote resource recovery and circularity in Morocco. Resour. Policy 2023, 81, 103415. [Google Scholar] [CrossRef]
- Basak, B.B.; Maity, A.; Ray, P.; Biswas, D.R.; Roy, S. Potassium supply in agriculture through biological potassium fertilizer: A promising and sustainable option for developing countries. Arch. Agron. Soil Sci. 2022, 68, 101–114. [Google Scholar] [CrossRef]
- Abebe, T.G.; Tamtam, M.R.; Abebe, A.A.; Abtemariam, K.A.; Shigut, T.G.; Dejen, Y.A.; Haile, E.G. Growing Use and Impacts of Chemical Fertilizers and Assessing Alternative Organic Fertilizer Sources in Ethiopia. Appl. Environ. Soil Sci. 2022, 2022, 4738416. [Google Scholar] [CrossRef]
- Arancon, N.Q.; Owens, J.D.; Converse, C. The effects of vermicompost tea on the growth and yield of lettuce and tomato in a non-circulating hydroponics system. J. Plant Nutr. 2019, 42, 2447–2458. [Google Scholar] [CrossRef]
- Bergstrand, K.J.; Asp, H.; Hultberg, M. Utilizing anaerobic digestates as nutrient solutions in hydroponic production systems. Sustainability 2020, 12, 10076. [Google Scholar] [CrossRef]
- Ezziddine, M.; Liltved, H. Quality and yield of lettuce in an open-air rooftop hydroponic system. Agronomy 2021, 11, 2586. [Google Scholar] [CrossRef]
- Franzluebbers, A.J. Soil organic matter, texture, and drying temperature effects on water content. Soil Sci. Soc. Am. J. 2022, 86, 1086–1095. [Google Scholar] [CrossRef]
- Feller, C.; Beare, M.H. Physical control of soil organic matter dynamics in the tropics. Geoderma 1997, 79, 69–116. [Google Scholar] [CrossRef]
- Gholamahmadi, B.; Jeffery, S.; Gonzalez-Pelayo, O.; Prats, S.A.; Bastos, A.C.; Keizer, J.J.; Verheijen, F.G.A. Biochar impacts on runoff and soil erosion by water: A systematic global scale meta-analysis. Sci. Total Environ. 2023, 871, 161860. [Google Scholar] [CrossRef]
- Holm-Nielsen, J.B.; Al Seadi, T.; Oleskowicz-Popiel, P. The future of anaerobic digestion and biogas utilization. Bioresour. Technol. 2009, 100, 5478–5484. [Google Scholar] [CrossRef]
- Khalid, A.; Arshad, M.; Anjum, M.; Mahmood, T.; Dawson, L. The anaerobic digestion of solid organic waste. Waste Manag. 2011, 31, 1737–1744. [Google Scholar] [CrossRef]
- Kouhounde, S.; Adéoti, K.; Mounir, M.; Giusti, A.; Refinetti, P.; Otu, A.; Effa, E.; Ebenso, B.; Adetimirin, V.O.; Barceló, J.M.; et al. Applications of Probiotic-Based Multi-Components to Human, Animal and Ecosystem Health: Concepts, Methodologies, and Action Mechanisms. Microorganisms 2022, 10, 1700. [Google Scholar] [CrossRef]
- Parastesh, F.; Alikhani, H.A.; Etesami, H. Vermicompost enriched with phosphate–solubilizing bacteria provides plant with enough phosphorus in a sequential cropping under calcareous soil conditions. J. Clean. Prod. 2019, 221, 27–37. [Google Scholar] [CrossRef]
- Liao, H.; Li, Y.; Yao, H. Fertilization with inorganic and organic nutrients changes diazotroph community composition and N-fixation rates. J. Soils Sediments 2018, 18, 1076–1086. [Google Scholar] [CrossRef]
- Supriatna, J.; Setiawati, M.R.; Sudirja, R.; Suherman, C.; Bonneau, X. Composting for a More Sustainable Palm Oil Waste Management: A Systematic Literature Review. Sci. World J. 2022, 2022, 5073059. [Google Scholar] [CrossRef]
- Alaboz, P.; Işildar, A.A.; Müjdeci, M.; Şenol, H. Effects of different vermicompost and soil moisture levels on pepper (Capsicum annuum) grown and some soil properties. Yuz. Yil Univ. J. Agric. Sci. 2017, 27, 30–36. [Google Scholar] [CrossRef]
- Al Jaouni, S.; Selim, S.; Hassan, S.H.; Mohamad, H.S.H.; Wadaan, M.A.M.; Hozzein, W.N.; Asard, H.; AbdElgawad, H. Vermicompost supply modifies chemical composition and improves nutritive and medicinal properties of date palm fruits from Saudi Arabia. Front. Plant Sci. 2019, 10, 424. [Google Scholar] [CrossRef]
- Pant, A.P.; Radovich, T.J.K.; Hue, N.V.; Paull, R.E. Biochemical properties of compost tea associated with compost quality and effects on pak choi growth. Sci. Hortic. 2012, 148, 138–146. [Google Scholar] [CrossRef]
- Komagbe, G.S.; Sessou, P.; Dossa, F.; Sossa-Minou, P.; Taminiau, B.; Azokpota, P.; Korsak, N.; Daube, G.; Farougou, S. Assessment of the microbiological quality of beverages sold in collective cafes on the campuses of the University of Abomey-Calavi, Benin Republic. J. Food Saf. Hyg. 2020, 5, 1–8. [Google Scholar] [CrossRef]
- Scheuerell, S.; Mahaffee, W. Compost tea: Principles and prospects for plant disease control. Compost Sci. Util. 2002, 10, 313–338. [Google Scholar] [CrossRef]
- Zabaleta, R.; Sánchez, E.; Fabani, P.; Mazza, G.; Rodriguez, R. Almond shell biochar: Characterization and application in soilless cultivation of Eruca sativa. Biomass Convers. Biorefinery 2023, 1–18. [Google Scholar] [CrossRef]
- Curadelli, F.; Alberto, M.; Uliarte, E.M.; Combina, M.; Funes-Pinter, I. Meta-Analysis of Yields of Crops Fertilized with Compost Tea and Anaerobic Digestate. Sustainability 2023, 15, 1357. [Google Scholar] [CrossRef]
- Funes-Pinter, I.; Pisi, G.; Aroca, M.; Uliarte, E.M. Compost tea and bioslurry as plant biostimulants. Part 2: Biofertilizer test in ornamental flowers. J. Plant Nutr. 2023, 46, 3041–3052. [Google Scholar] [CrossRef]
- Wang, H.; Li, X.; Chen, Y.; Li, Z.; Hedding, D.W.; Nel, W.; Ji, J.; Chen, J. Geochemical behavior and potential health risk of heavy metals in basalt-derived agricultural soil and crops: A case study from Xuyi County, eastern China. Sci. Total Environ. 2020, 729, 139058. [Google Scholar] [CrossRef]
- Li, J.; Xu, C.; Zhang, X.; Gu, Z.; Cao, H.; Yuan, Q. Effects of different fermentation synergistic chemical treatments on the performance of wheat straw as a nursery substrate. J. Environ. Manag. 2023, 334, 117486. [Google Scholar] [CrossRef]
- Waqas, M.; Hashim, S.; Humphries, U.W.; Ahmad, S.; Noor, R.; Shoaib, M.; Naseem, A.; Hlaing, P.T.; Lin, H.A. Composting Processes for Agricultural Waste Management: A Comprehensive Review. Processes 2023, 11, 731. [Google Scholar] [CrossRef]
- Dede, C.; Ozer, H.; Dede, O.H.; Celebi, A.; Ozdemir, S. Recycling Nutrient-Rich Municipal Wastes into Ready-to-Use Potting Soil: An Approach for the Sustainable Resource Circularity with Inorganic Porous Materials. Horticulturae 2023, 9, 203. [Google Scholar] [CrossRef]
- Apaeva, N.N.; Manishkin, S.G.; Kudryashova, L.V.; Yamalieva, A.M. An innovative approach to the use of the granulated organic fertilizers based on bird droppings on crops of spring wheat. IOP Conf. Ser. Earth Environ. Sci. 2020, 421, 022062. [Google Scholar] [CrossRef]
- Oyewole, O.A. Biogas Production from Chicken Droppings. Sci. World J. 2010, 5, 11–14. [Google Scholar]
- Alfa, M.I.; Adie, D.B.; Igboro, S.B.; Oranusi, U.S.; Dahunsi, S.O.; Akali, D.M. Assessment of biofertilizer quality and health implications of anaerobic digestion effluent of cow dung and chicken droppings. Renew. Energy 2014, 63, 681–686. [Google Scholar] [CrossRef]
- Mununga, K.F.; Colinet, G.; Kyalamakasa, J.M.; Mubemba, M.M.; Jijakli, M.H. Reducing the risks associated with the ingestion of vegetables grown on soils contaminated with trace metal elements through the application of soil amendments: Results of experiments in Lubumbashi/Democratic Republic of the Congo. Environ. Monit. Assess. 2024, 1–18. [Google Scholar] [CrossRef]
- Baboy Longanza, L.; Kidinda Kidinda, L.; Tshipama Tamina, D.; Tombo Jacob, A.; Tshijika Ikatalo, M. Valorisation agricole des déchets comme alternative à leur gestion dans les villes d’Afrique subsaharienne: Caractérisation des déchets urbains à Lubumbashi et évaluation de leurs effets sur la croissance des cultures vivrières. Afrique Sci. 2015, 11, 76–84. [Google Scholar]
- Houba, V.J.G.; Uittenbogaard, J.; Pellen, P. Wageningen Evaluating Programmes for Analytical Laboratories (WEPAL), organization and purpose. Commun. Soil Sci. Plant Anal. 1996, 27, 421–431. [Google Scholar] [CrossRef]
- Hseu, Z.Y. Evaluating heavy metal contents in nine composts using four digestion methods. Bioresour. Technol. 2004, 95, 53–59. [Google Scholar] [CrossRef]
- Sagagi, B.S.; Bello, A.M.; Danyaya, H.A. Assessment of accumulation of heavy metals in soil, irrigation water, and vegetative parts of lettuce and cabbage grown along Wawan Rafi, Jigawa State, Nigeria. Environ. Monit. Assess. 2022, 194, 699. [Google Scholar] [CrossRef]
- El-Shinawy, M.Z.; Abd-Elmoniem, E.M.; Abou-Hadid, A.F. The use of organic manure for lettuce plants grown under nft conditions. Acta Hortic. 1999, 491, 315–318. [Google Scholar] [CrossRef]
- Tikasz, P.; Macpherson, S.; Adamchuk, V.; Lefsrud, M. Aerated chicken, cow, and turkey manure extracts differentially affect lettuce and kale yield in hydroponics. Int. J. Recycl. Org. Waste Agric. 2019, 8, 241–252. [Google Scholar] [CrossRef]
- Szekely, I.; Jijakli, M.H. Bioponics as a Promising Approach to Sustainable Agriculture: A Review of the Main Methods for Producing Organic Nutrient Solution for Hydroponics. Water 2022, 14, 3975. [Google Scholar] [CrossRef]
- Liedl, B.E.; Cummins, M.; Young, A.; Williams, M.L.; Chatfield, J.M. Hydroponic Lettuce Production Using Liquid Effluent from Poultry Waste Bioremediation as a Nutrient Source. Acta Hortic. 2004, 659, 721–728. [Google Scholar] [CrossRef]
- Liu, W.; Du, L.; Yang, Q. Science Biogas slurry added amino acids decreased nitrate concentrations of lettuce in sand culture. Acta Agric. Scand. Sect. B—Soil Plant Sci. 2009, 59, 260–264. [Google Scholar] [CrossRef]
- Prinčič, A.; Mahne, I.; Megušar, F.; Paul, E.A.; Tiedje, J.M. Effects of pH and oxygen and ammonium concentrations on the community structure of nitrifying bacteria from wastewater. Appl. Environ. Microbiol. 1998, 64, 3584–3590. [Google Scholar] [CrossRef]
- Rochmah, W.N.; Mangkoedihardjo, S. Toxicity Effects of Organic Substances on Nitrification Efficiency Toxicity Effects of Organic Substances on Nitrification Efficiency. IOP Conf. Ser. Earth Environ. Sci. 2020, 506, 012011. [Google Scholar] [CrossRef]
- Finger, B.W.; Strayer, R.F. Development of an intermediate-scale aerobic bioreactor to regenerate nutrients from inedible crop residues. SAE Tech. Pap. 1994, 103, 1365–1373. [Google Scholar] [CrossRef]
- Mackowiak, C.L.; Garland, J.L.; Strayer, R.F.; Finger, B.W.; Wheeler, R.M. Comparison of aerobically-treated and untreated crop residue as a source of recycled nutrients in a recirculating hydroponic system. Adv. Space Res. 1996, 18, 281–287. [Google Scholar] [CrossRef]
- Möller, K.; Müller, T. Effects of anaerobic digestion on digestate nutrient availability and crop growth: A review. Eng. Life Sci. 2012, 12, 242–257. [Google Scholar] [CrossRef]
- Stefanakis, A.; Akratos, C.S.; Tsihrintzis, V.A. Treatment Processes in VFCWs. In Vertical Flow Constructed Wetlands; Elsevier: Amsterdam, The Netherlands, 2014; pp. 57–84. [Google Scholar] [CrossRef]
- Zou, Y.; Hu, Z.; Zhang, J.; Xie, H.; Guimbaud, C.; Fang, Y. Effects of pH on nitrogen transformations in media-based aquaponics. Bioresour. Technol. 2016, 210, 81–87. [Google Scholar] [CrossRef]
- Delaide, B.; Monsees, H.; Gross, A.; Goddek, S. Aerobic and Anaerobic Treatments for Aquaponic Sludge Reduction and Mineralisation. In Aquaponics Food Production Systems; Springer International Publishing: Cham, Switzerland, 2019. [Google Scholar]
- Dickson, R.W.; Fisher, P.R.; Argo, W.R.; Jacques, D.J.; Sartain, J.B.; Trenholm, L.E.; Yeager, T.H. Solution Ammonium: Nitrate ratio and cation/anion uptake affect acidity or basicity with floriculture species in hydroponics. Sci. Hortic. 2016, 200, 36–44. [Google Scholar] [CrossRef]
- Ávila, P.F.; Ferreira da Silva, E.; Candeias, C. Health risk assessment through consumption of vegetables rich in heavy metals: The case study of the surrounding villages from Panasqueira mine, Central Portugal. Environ. Geochem. Health 2017, 39, 565–589. [Google Scholar] [CrossRef]
- Lea-Cox, J.D.; Berry, W.L.; Stutte, G.W.; Wheeler, R.M. Nutrient dynamics and pH / charge-balance relationships in hydroponic solutions. Acta Hortic. 1999, 481, 241–249. [Google Scholar] [CrossRef]
- Meharg, A. Marschner’s Mineral Nutrition of Higher Plants. 3rd edition. Edited by P. Marschner. Amsterdam, Netherlands: Elsevier/Academic Press (2011), pp. 684, US$124.95. ISBN 978-0-12-384905-2. Exp. Agric. 2012, 48, 305. [Google Scholar] [CrossRef]
- Savvas, D.; Karagianni, V.; Kotsiras, A.; Demopoulos, V.; Karkamisi, I.; Pakou, P. Interactions between ammonium and pH of the nutrient solution supplied to gerbera (Gerbera jamesonii) grown in pumice. Plant Soil 2003, 254, 393–402. [Google Scholar] [CrossRef]
- Landsberg, E.C. Organic Acid Synthesis and Release of Hydrogen Ions in Response to Fe Deficiency Stress of Mono- and Dicoty-Ledonous Plant Species. J. Plant Nutr. 1981, 3, 579–591. [Google Scholar] [CrossRef]
- Molinari, G. Is hydrogen ion (H+) the real second messenger in calcium signalling? Cell. Signal. 2015, 27, 1392–1397. [Google Scholar] [CrossRef]
- Cleland, R.E. Auxin-induced hydrogen ion excretion: Correlation with growth, and control by external pH and water stress. Planta 1975, 127, 233–242. [Google Scholar] [CrossRef]
- Driscoll, C.T.; Likens, G.E. Hydrogen ion budget of an aggrading forested ecosystem. Tellus 1982, 34, 283–292. [Google Scholar] [CrossRef]
- Ou, Y.; Rousseau, A.N.; Wang, L.; Yan, B. Spatio-temporal patterns of soil organic carbon and pH in relation to environmental factors—A case study of the Black Soil Region of Northeastern China. Agric. Ecosyst. Environ. 2017, 245, 22–31. [Google Scholar] [CrossRef]
- Kim, J.; Park, J.; Kim, P.G.; Lee, C.; Choi, K.; Choi, K. Implication of global environmental changes on chemical toxicity-effect of water temperature, pH, and ultraviolet B irradiation on acute toxicity of several pharmaceuticals in Daphnia magna. Ecotoxicology 2010, 19, 662–669. [Google Scholar] [CrossRef]
- Zhang, L.; Wang, S.; Wu, Z. Coupling effect of pH and dissolved oxygen in water column on nitrogen release at water-sediment interface of Erhai Lake, China. Estuar. Coast. Shelf Sci. 2014, 149, 178–186. [Google Scholar] [CrossRef]
- Pelayo Lind, O.; Hultberg, M.; Bergstrand, K.J.; Larsson-Jönsson, H.; Caspersen, S.; Asp, H. Biogas Digestate in Vegetable Hydroponic Production: pH Dynamics and pH Management by Controlled Nitrification. Waste Biomass Valorization 2021, 12, 123–133. [Google Scholar] [CrossRef]
- Goddek, S.; Delaide, B.P.L.; Joyce, A.; Wuertz, S.; Jijakli, M.H.; Gross, A.; Eding, E.H.; Bläser, I.; Reuter, M.; Keizer, L.C.P.; et al. Nutrient mineralization and organic matter reduction performance of RAS-based sludge in sequential UASB-EGSB reactors. Aquac. Eng. 2018, 83, 10–19. [Google Scholar] [CrossRef]
- Alburquerque, J.A.; de la Fuente, C.; Bernal, M.P. Chemical properties of anaerobic digestates affecting C and N dynamics in amended soils. Agric. Ecosyst. Environ. 2012, 160, 15–22. [Google Scholar] [CrossRef]
- Kawamura-Aoyama, C.; Fujiwara, K.; Shinohara, M.; Takano, M. Hydroponic culture of letuce with microbially degraded solid food waste. Jarq 2014, 48, 71–76. [Google Scholar] [CrossRef]
- Goddek, S.; Delaide, B.; Mankasingh, U.; Ragnarsdottir, K.V.; Jijakli, H.; Thorarinsdottir, R. Challenges of sustainable and commercial aquaponics. Sustainability 2015, 7, 4199–4224. [Google Scholar] [CrossRef]
- Eck, M.; Szekely, I.; Massart, S.; Jijakli, M.H. Ecological study of aquaponics bacterial microbiota over the course of a lettuce growth cycle. Water 2021, 13, 2089. [Google Scholar] [CrossRef]
- Gerke, J. Carbon accumulation in arable soils: Mechanisms and the effect of cultivation practices and organic fertilizers. Agronomy 2021, 11, 1079. [Google Scholar] [CrossRef]
- Asao, T. Hydroponics—A Standard Methodology for Plant Biological Researches; InTech: Rijeka, Croatia, 2012; ISBN 9789535103868. [Google Scholar]
- Kwon, M.J.; Hwang, Y.; Lee, J.; Ham, B.; Rahman, A.; Azam, H.; Yang, J.S. Waste nutrient solutions from full-scale open hydroponic cultivation: Dynamics of effluent quality and removal of nitrogen and phosphorus using a pilot-scale sequencing batch reactor. J. Environ. Manag. 2021, 281, 111893. [Google Scholar] [CrossRef]
- Lee, J.Y.; Rahman, A.; Azam, H.; Kim, H.S.; Kwon, M.J. Characterizing nutrient uptake kinetics for efficient crop production during Solanum lycopersicum var. Cerasiforme Alef. Growth in a closed indoor hydroponic system. PLoS ONE 2017, 12, e0177041. [Google Scholar] [CrossRef]
- Lee, J.Y.; Rahman, A.; Behrens, J.; Brennan, C.; Ham, B.; Kim, H.S.; Nho, C.W.; Yun, S.T.; Azam, H.; Kwon, M.J. Nutrient removal from hydroponic wastewater by a microbial consortium and a culture of Paracercomonas saepenatans. New Biotechnol. 2018, 41, 15–24. [Google Scholar] [CrossRef]
- Cheyns, K.; Delcourt, D.; Smolders, E. Lead phytotoxicity in soils and nutrient solutions is related to lead induced phosphorus de fi ciency. Environ. Pollut. 2012, 164, 242–247. [Google Scholar] [CrossRef]
- Verdoliva, S.G.; Gwyn-Jones, D.; Detheridge, A.; Robson, P. Controlled comparisons between soil and hydroponic systems reveal increased water use efficiency and higher lycopene and β-carotene contents in hydroponically grown tomatoes. Sci. Hortic. 2021, 279, 109896. [Google Scholar] [CrossRef]
- Chandra, S.; Khan, S.; Avula, B.; Lata, H.; Yang, M.H.; Elsohly, M.A.; Khan, I.A. Assessment of total phenolic and flavonoid content, antioxidant properties, and yield of aeroponically and conventionally grown leafy vegetables and fruit crops: A comparative study. Evid.-Based Complement. Altern. Med. 2014, 2014, 253875. [Google Scholar] [CrossRef]
- Goh, Y.S.; Hum, Y.C.; Lee, Y.L.; Lai, K.W.; Yap, W.S.; Tee, Y.K. A meta-analysis: Food production and vegetable crop yields of hydroponics. Sci. Hortic. 2023, 321, 112339. [Google Scholar] [CrossRef]
- Casey, L.; Freeman, B.; Francis, K.; Brychkova, G.; McKeown, P.; Spillane, C.; Bezrukov, A.; Zaworotko, M.; Styles, D. Comparative environmental footprints of lettuce supplied by hydroponic controlled-environment agriculture and field-based supply chains. J. Clean. Prod. 2022, 369, 133214. [Google Scholar] [CrossRef]
- Jesse, S.D.; Zhang, Y.; Margenot, A.J.; Davidson, P.C. Hydroponic lettuce production using treated post-hydrothermal liquefaction wastewater (PHW). Sustainability 2019, 11, 3605. [Google Scholar] [CrossRef]
- Imsande, J. Inhibition of nodule development in soybean by nitrate or reduced nitrogen. J. Exp. Bot. 1986, 37, 348–355. [Google Scholar] [CrossRef]
- Sambo, P.; Nicoletto, C.; Giro, A.; Pii, Y.; Valentinuzzi, F.; Mimmo, T.; Lugli, P.; Orzes, G.; Mazzetto, F.; Astolfi, S.; et al. Hydroponic Solutions for Soilless Production Systems: Issues and Opportunities in a Smart Agriculture Perspective. Front. Plant Sci. 2019, 10, 923. [Google Scholar] [CrossRef]
- Magwaza, S.T.; Magwaza, L.S.; Odindo, A.O.; Mditshwa, A. Hydroponic technology as decentralised system for domestic wastewater treatment and vegetable production in urban agriculture: A review. Sci. Total Environ. 2020, 698, 134154. [Google Scholar] [CrossRef]
- Liu, B.; Mao, P.; Yang, Q.; Qin, H.; Xu, Y.; Zheng, Y.; Li, Q. Appropriate Nitrogen form Ratio and UV-A Supplementation Increased Quality and Production in Purple Lettuce (Lactuca sativa L.). Int. J. Mol. Sci. 2023, 24, 16791. [Google Scholar] [CrossRef]
- Li, J.; Yang, P.; Sohail, H.; Du, H.; Li, J. The impact of short-term nitrogen starvation and replenishment on the nitrate metabolism of hydroponically grown spinach. Sci. Hortic. 2023, 309, 111632. [Google Scholar] [CrossRef]
- Masclaux-Daubresse, C.; Daniel-Vedele, F.; Dechorgnat, J.; Chardon, F.; Gaufichon, L.; Suzuki, A. Nitrogen uptake, assimilation and remobilization in plants: Challenges for sustainable and productive agriculture. Ann. Bot. 2010, 105, 1141–1157. [Google Scholar] [CrossRef]
- Yoneyama, T.; Ito, O.; Engelaar, W.M.H.G. Uptake, metabolism and distribution of nitrogen in crop plants traced by enriched and natural 15N: Progress over the last 30 years. Phytochem. Rev. 2003, 2, 121–132. [Google Scholar] [CrossRef]
- Atkin, O.K. Reassessing the nitrogen relations of Arctic plants: A mini-review. Plant Cell Environ. 1996, 19, 695–704. [Google Scholar] [CrossRef]
- Ilic, S.; Moodispaw, M.R.; Madden, L.V.; Lewis Ivey, M.L. Lettuce Contamination and Survival of Salmonella Typhimurium and Listeria monocytogenes in Hydroponic Nutrient Film Technique Systems. Foods 2022, 11, 3508. [Google Scholar] [CrossRef]
- Maucieri, C.; Nicoletto, C.; Junge, R.; Schmautz, Z.; Sambo, P.; Borin, M. Hydroponic systems and water management in aquaponics: A review. Ital. J. Agron. 2018, 13, 1–11. [Google Scholar] [CrossRef]
- Mai, C.; Mojiri, A.; Palanisami, S.; Altaee, A.; Huang, Y.; Zhou, J.L. Wastewater Hydroponics for Pollutant Removal and Food Production: Principles, Progress and Future Outlook. Water 2023, 15, 2614. [Google Scholar] [CrossRef]
- Barbosa, G.L.; Almeida Gadelha, F.D.; Kublik, N.; Proctor, A.; Reichelm, L.; Weissinger, E.; Wohlleb, G.M.; Halden, R.U. Comparison of land, water, and energy requirements of lettuce grown using hydroponic vs. Conventional agricultural methods. Int. J. Environ. Res. Public Health 2015, 12, 6879–6891. [Google Scholar] [CrossRef]
- Balasha, M.; Kesonga, N. Evaluation de la performance économique des exploitations de chou de Chine (Brassica chinensis L.) en maraîchage à Lubumbashi en République Démocratique du Congo. Rev. Afr. d’Environ. d’Agric. 2019, 2, 76–83. [Google Scholar]
Disclaimer/Publisher’s Note: The statements, opinions and data contained in all publications are solely those of the individual author(s) and contributor(s) and not of MDPI and/or the editor(s). MDPI and/or the editor(s) disclaim responsibility for any injury to people or property resulting from any ideas, methods, instructions or products referred to in the content. |
© 2024 by the authors. Licensee MDPI, Basel, Switzerland. This article is an open access article distributed under the terms and conditions of the Creative Commons Attribution (CC BY) license (https://creativecommons.org/licenses/by/4.0/).








