Abstract
Celery leaves account for 5–10% of the celery weight and are rich in nutrients, but they are usually discarded as waste. To explore this resource, hot-air drying (HA), intermittent hot-air drying (IHA-A and B), vacuum hot-drying and freeze-drying (VH and VF) were used to systematically investigate the effects of drying conditions on quality attributes, taste and volatile compounds of celery leaves. VF could better maintain the quality attributes, while IHA-B leaves were rich in taste and volatile components. The results indicated that both drying temperature and vacuum environment had significant effects on quality attributes. In terms of taste, reducing the drying temperature enriched the taste of celery leaves; however, in vacuum drying, the high temperature could contribute to increase the contents of total free amino acids and bitter amino acids. For volatile compounds, different drying conditions gave celery leaves different aromas, and IHA treatments resulted in a significantly higher content of volatile compounds than other treatments.
1. Introduction
Celery (Apium graveolens L.), an annual or perennial cultivated plant of the Umbelliferae family, is widely consumed all over the world. As an excellent plant resource with both medicinal and edible functions [], celery contains a variety of phenolic and flavonoid bioactive substances, which have a positive effect on preventing hypertension, arteriosclerosis and cardiovascular diseases []. Celery originated from the Mediterranean shores but is now extensively cultivated in China. The classification of celery cultivars in China is generally based on their origin: local celery (Chinese varieties) and Western celery (such as “Ventura”), which differ in appearance and taste. The Western celery varieties are characterized by their green leaves, thick petioles and light flavor profiles, while “Baojia” celery, a local cultivar from Zhangqiu District of Jinan, exhibits dark green leaves, low fiber content, strong aroma and a sweet taste. In celery, leaves account for 5–10% of the total weight, and the nutritional value of celery leaves is much higher than that of celery stalks due to their rich protein, carotene, Vitamin C and E content, as well as their high potassium (K) and zinc (Zn) content []. However, due to their low water content, strong aroma and taste, celery leaves are usually discarded as waste during food processing and daily consumption, resulting in a great loss of resources.
In order to improve the utilization rate of celery leaves, researchers used celery leaves to prepare celery leaf tea [], celery leaf juice [], extract mannitol [], etc. However, it is worth mentioning that post-harvest celery leaves are prone to browning and decay. Therefore, immediate batch processing and extending the post-harvest storage period are key steps for the application of celery leaves in industrial production. Drying is a common method used to reduce the moisture content of products, inhibit the growth and reproduction of microorganisms, reduce enzyme activity, alleviate the decay period and prolong the storage period [,]. Common drying methods include hot-air drying, vacuum hot-drying and vacuum freeze-drying. Hot-air drying is a widely used drying method due to its simple equipment and convenient operation, especially in the production of horticultural products [,]. In a previous study, during the drying process, the bioactive substances and quality parameters exhibited significant differences in hot air at different temperatures. Notably, the drying temperature showed a positive correlation (p < 0.05) with the drying rate, total color change and total soluble sugar of coffee leaves []. Besides, the production of aroma and flavor substances was promoted due to chemical reactions such as the Maillard reaction []. However, other previous studies have reported that continuous high drying temperatures can lead to nutrient degradation and high energy consumption [,]. Therefore, finding a drying technology that can balance efficiency and quality is a key research direction. Intermittent drying involves resting periods or tempering between predefined phases of the drying process to avoid physical and chemical degradation and heat damage. By reducing the exposure time of the product to the heated air, the color change and the loss of volatile bioactive compounds of basil-clove [] and Lippia origanoides leaves [] are minimized. As an alternative drying technique, vacuum hot-drying is suitable for oxygen-sensitive products. Orikasa et al. [] investigated the hot-air and vacuum-drying characteristics of kiwifruit slices, and the results indicated that vacuum-drying was more suitable for preventing L-ascorbic acid than hot-air drying. Kayacan et al. [] reported that vacuum drying can effectively reduce the change of active substances and colors compared with hot-air drying. Vacuum freeze-drying has high extraction efficiency and no thermal degradation, and it is superior to other drying methods in retaining the color of the ginseng [].
As mentioned above, different drying methods often involve continuous heat and mass transfer, which may be accompanied by significant changes in the surface morphology, nutrients and physical properties of the sample, so a systematic comparison of different drying methods for the same material is necessary. However, few quality change investigations in celery leaves during drying have been reported [,]. The aim of this study was to systematically evaluate the changes in moisture content, rehydration, cell disruption rate, surface color, bioactive substances, antioxidant activity, free amino acids and volatile compounds using hot-air drying, two kinds of intermittent hot-air drying, vacuum hot-drying and vacuum freeze-drying.
2. Materials and Methods
2.1. Reagents and Standards
The reagents potassium dichromate, acetone, gallic acid, trichloroacetic acid, sulfosalicylic acid, potassium ferricyanide, 2,6-dichlorophenol indophenol, 2,2-diphenyl-1-picrylhydrazyl (DPPH) and Folin–Ciocalteu reagent were purchased from Beijing Solarbio company (Beijing, China). HPLC standards, including rutin, chlorogenic acid, quercetin, luteolin and apigenin, were purchased from Shanghai Marklin Company (Shanghai, China). Methanol (HPLC grade) was purchased from Sigma Aldrich (St. Louis, MO, USA). The other reagents and organic solvents were of analytical grade and purchased from Shanghai Yuanye Biotechnology Co., Ltd. (Shanghai, China).
2.2. Samples and Treatments
Fresh celery was purchased from the Baoqin production base in Zhangqiu District, Jinan City, Shandong Province, China, and was transported to the laboratory within 2 h of harvest. Celery leaves were cut from stalks with a knife, and those with visual defects were removed. The selected celery leaves were randomly divided into five equal groups (each group weighed 300 g ± 5 g) and then treated with different drying methods. The specific drying process is listed in Table 1. For hot-air and intermittent hot-air drying, an electrothermal blast oven (DHG-9070A, Zhongyi Guoke, Beijing, China) was used. A vacuum-drying oven (6050, Honghua, Gongyi, China) was used for VH treatment, and a vacuum freeze-dryer (TS8606, Fevik, Fevik, Germany) was used for VF treatment.

Table 1.
Drying process of five drying methods.
The initial moisture content of the celery leaves was 87.6 ± 4.2%. Moisture content was measured at various time intervals, and drying was stopped when the equilibrium moisture was reached. A total of 150 g of dried celery leaves were randomly taken from each group and smashed into powder for further analysis. All experiments were performed in triplicate.
2.3. Determination of Drying Characteristics
2.3.1. Moisture Content
The moisture content was measured by the loss-of-mass method. One-gram sample of celery leaves was dried at 105 °C under atmospheric pressure for 2 h, then cooled for 30 min and weighed. When drying reached the equilibrium moisture content, at which its weight reading remained the same, the drying operation was stopped. The moisture content was expressed as the percentage loss from the initial weight.
2.3.2. Cell Disruption
The cell disruption rate was determined by potassium dichromate staining. In brief, ten dried celery leaves were washed with distilled water and soaked in a 10% potassium dichromate solution for 10 min, then taken out and rinsed with distilled water. The percentage of the stained area to the total leaf area was measured using the nine-grid method and calculated.
2.3.3. Rehydration Characteristics
Dried celery leaves (1 g) produced under different drying conditions were immersed in 100 g water and rehydrated at 60 °C for 15 min. The rehydration ratio was calculated according to the following formula: R = G/g, where R was the rehydration ratio, G was the weight of the sample after rehydration and g was the weight of the sample before rehydration.
2.4. Measurement of Color Parameters and Chlorophyll Content
The CIE-L*a*b* values of celery leaves were recorded by NR10QC spectrodensitometer (Shenzhen 3nh Technology Co., Ltd., Shenzhen, China). The L* value represented the brightness and darkness, the a* value represented the degree of red and green and the b* value represented the chromaticity of yellow and blue. Each leaf was measured at three points. For each treatment and replicate, 10 leaves were used.
A total of 0.5 g celery leaves were grounded in 25 mL of 80% (v/v) acetone. The chlorophyll content was calculated according to the following formula: chlorophyll content = (ρ × V × W)/(m × 1000) (g kg−1 DW), where ρ was the concentration of total chlorophyll in celery leaves, V was the volume of the sample taken, W was the dilution multiple of the sample and m was the weight of the sample.
2.5. Determination of Ascorbic Acid, Total Flavonoid Content, Total Phenol Content and Phenolic Compounds
2.5.1. Ascorbic Acid
The content of ascorbic acid in dried celery leaves was determined by the 2,6-dichlorophenol indophenol method and was expressed as g kg−1 DW [].
2.5.2. Total Phenol Content
Folin–Ciocalteu method was used to measure the total phenol content []. For each treatment and replicate, a 1 g sample was used. The total phenol content was expressed as grams of gallic acid equivalents per kilogram of celery leaves (DW). The equation of the standard curve was y = 0.0156x − 0.0179, with a correlation coefficient of R2 = 0.9997.
2.5.3. Total Flavonoid Content
The total flavonoid content was determined by the method of Blainski et al. [].1 g dried celery leaves produced under different drying conditions were used for each replicate. The total flavonoid content was expressed as grams of rutin equivalents per kilogram of celery leaves (DW). The equation of the standard curve was y = 0.5069x + 0.0006, with a correlation coefficient of R2 = 0.9970.
2.5.4. Analysis of Rutin, Chlorogenic Acid, Quercetin, Luteolin and Apigenin by HPLC
One-gram dried celery leaves powder sample was mixed with 10 mL of methanol in the dark at 4 °C for 12 h, then centrifuged at 5000 g and 4 °C for 10 min. The supernatant was separated on a Nexera UPLC system (Shimadzu, Kyoto, Japan) using a C18 column (250 mm × 4.6 mm, 5 μm) at a flow rate of 0.8 mL/min. The eluent was detected by a UV detector (wavelength of 335 nm). The column was operated at 40 °C. Solvent A was 2% phosphate buffer, and solvent B was methanol. Isocratic elution was performed using 55% A and 45% B. The identification of five phenolic monomers was verified based on the retention time and ultraviolet-visible absorption spectrum of rutin, chlorogenic acid, quercetin, luteolin and apigenin standards.
2.6. Determination of Antioxidant Activity
The evaluation of the antioxidant activity of celery leaves included the reducing power and DPPH radical scavenging activity. 1 g powder sample was macerated with 5 mL 70% (v/v) ethanol and ultrasonicated for 30 min in the dark. The supernatant was obtained after centrifugation at 8000 g for 5 min at 4 °C.
The reducing power was determined based on the method of Wei et al. [] with minor modifications. One hundred μL of the solution obtained in the above step was mixed with 750 μL of 0.2 mol/L phosphate buffer (pH 6.6) and 750 μL of potassium ferricyanide (0.03 mol/L). The mixture was incubated at 50 °C for 20 min, and then 750 μL trichloroacetic acid (10% w/v) was added. Subsequently, 2.5 mL of deionized water and 0.5 mL of FeCl3 (0.16%, w/v) were added and held for 10 min. The absorbance was measured at a wavelength of 700 nm using a spectrophotometer (Shanghai Mapada Instruments Co., Shanghai, China).
DPPH-radical scavenging activity was determined according to the method of Wei et al. []. The absorbance of the solution was measured at a wavelength of 525 nm. The DPPH scavenging activity was calculated using the following equation: DPPH scavenging activity (%) = [(A0 − A1)/A0] × 100, where A0 was the absorbance of the blank and A1 was the absorbance of the tested substance.
2.7. Determination of Free Amino Acids
One gram of the sample was mixed with 5 mL of sulfosalicylic acid 4% (w/v). After centrifugation at 10,000 g for 15 min at 4 °C, the supernatant was filtered through a 0.22 μm membrane filter. The free amino acid content was analyzed using the L-8900 free amino acid analyzer (Hitachi Co. Ltd., Tokyo, Japan).
2.8. Determination of Volatile Compounds
Volatile compounds from celery leaves treated by different drying methods were detected by gas chromatography–ion mobility spectroscopy (GC–IMS) analysis. GC–IMS (Flavorspec, G.A.S. Instrument, Schwerin, Germany) was equipped with the MXT-5 capillary column (15 m × 0.53 mm × 1 μm). 2 g celery leaf samples were weighed into headspace glass sampling vials and then incubated at 50 °C for 15 min. 200 μL of the sample was injected automatically into a heating injector with a heated syringe at a temperature of 85 °C. The column was kept at 60 °C and the drift tube temperature at 45 °C. Data were automatically analyzed by VOCal software and three plug-ins correspondingly (G.A.S., Dortmund, Germany, https://www.gas-dortmund.de/Products/Software/VOCal---Software-for-GC-IMS-Data/1_524.html, accessed on 14 November 2024) and presented as a two-dimensional top view (retention time and migration time) of sample volatile substances.
2.9. Statistical Analysis
A completely randomized design with three replicates was used for all experiments. All statistical analyses were performed using SPSS (Program version 15.0, 2007, Chicago, IL, USA) and Microsoft Excel 2010 (Microsoft Co., Redmond, WA, USA). Duncan’s multiple test was used to verify significant differences among the five drying methods at the level of p < 0.05. Heat map and hierarchical clustering analysis were performed using TBtools (version 1.098).
3. Results and Discussion
3.1. Effect of Five Drying Methods on Drying Characteristics of Celery Leaves
3.1.1. Appearance and Moisture Content
Moisture content was measured at various time intervals, and drying was stopped when the equilibrium moisture was reached. The morphology of dried celery leaves treated with five drying methods is presented in Figure 1A. Compared with other drying methods, the shape of celery leaves treated with vacuum freeze-drying (VF) was more complete, and the color was more green and brighter. The celery leaves treated with hot-air drying (HA) and vacuum hot-drying (VH) shrank seriously, and browning occurred, while intermittent hot-air drying (IHA-A and IHA-B) alleviated this phenomenon, and the celery leaves had slight shrinkage and browning.

Figure 1.
Effects of different drying methods on morphology (A), moisture content (B), potassium dichromate staining (C), cell disruption rate (D) and rehydration ratio (E) of celery leaves. Data are shown as the means ± SD of three biological and technical replicates. Different letters mean significant differences according to Duncan’s multiple range test (p < 0.05).
Figure 1B shows the trend of the moisture content of celery leaves during drying under different drying conditions. Moisture content was decreased with the extension of drying time. For HA, a drastic reduction in the moisture content of celery leaves was observed, and the moisture content reached 3.98% after 4 h. In the process of intermittent hot-air drying IHA-A and IHA-B, the variation of moisture content was consistent with the temperature change point. In addition, the drying time of IHA-A was shorter than that of IHA-B. Vacuum drying prolonged the decrease of moisture content in celery leaves. The drying time of VH and VF was 8 h and 24 h, respectively. These results are in accordance with the observation of other researchers [,,], indicating that high temperature accelerated the dehydration duration and had a negative effect on the morphology of celery leaves.
3.1.2. Cell Disruption
High temperature caused additional stress on the cells during drying processes and affected essential cellular components []. Therefore, the effects of different drying methods on the cell disruption of celery leaves were assessed, as shown in Figure 1C,D. The celery leaves treated with HA and IHA-A had the highest cell disruption rate, which demonstrated that high temperature (T = 50 °C) led to rapid dehydration and severe contraction of the tissue, thus increasing the cell disruption rate. A significant difference was observed between HA and VH treatments (p < 0.05), suggesting that the vacuum condition was also important for ensuring cell integrity.
3.1.3. Rehydration
The rehydration characteristics of celery leaves dried by different methods are displayed in Figure 1E. The highest rehydration ratio was found in celery leaves treated with VF, and the rehydration ratio increased with the decrease in drying temperature. A similar result was obtained from experiments conducted on dried wormwood leaves []. Besides, the rehydration ratio showed the opposite trend compared to the cell disruption rate, suggesting that the integrity and permeability of the cells play a crucial role in regulating water transport during the process of dehydration–rehydration []. Due to the severe contraction of the tissue and the closure of capillary pores caused by high temperature and high cell disruption rate, the water absorption during rehydration was retarded. However, vacuum freeze-drying kept the structure of celery leaves loose and porous, which accelerated the water absorption.
3.2. Effect of Five Drying Methods on Color Parameters and Chlorophyll of Celery Leaves
The drying methods can directly affect the color of products. Thus, color parameters (L*, a* and b*) were measured in this study to evaluate the quality of dried celery leaves. As shown in Figure 2A, celery leaves dried by HA had the lowest L* value (50.26) and the highest a* value (−3.24), indicating that the sample was dark and reddish. In intermittent hot-air drying, IHA-B had a higher L* value and a lower a* value when compared with IHA-A. Similar results were obtained in vacuum drying, suggesting that reducing the temperature could avoid the browning of tissues caused by the Maillard reaction and improve the brightness of the samples []. The color parameters (L*, a* and b*) showed significant differences between the VF group and the other treatment groups (p < 0.05). Dried celery leaves still maintained a good color after vacuum freeze-drying, which was mainly attributed to the fact that a low temperature can reduce the Maillard reaction, and that vacuum can retard the oxidation reaction.

Figure 2.
Effects of different drying methods on color parameters (A) and chlorophyll content (B) of celery leaves. The L* value represented the brightness and darkness, the a* value represented the degree of red and green and the b* value represented the chromaticity of yellow and blue. The data are presented as the mean ± SD of three biological and technical replicates. Different letters mean significant differences within the same parameter (p < 0.05).
The chlorophyll content of dried celery leaves was 13.35 g kg−1 DW in the HA group, 14.43 g kg−1 DW in the IHA-A group, 15.15 g kg−1 in the IHA-B group DW, 16.09 g kg−1 DW in the VH group and 17.72 g kg−1 DW in the VF group (Figure 2B). In the process of hot-air drying, the degradation of chlorophyll was gradually accelerated with the increase in drying temperature. In contrast, vacuum drying could avoid the contact between the sample and oxygen and alleviate the breakdown of chlorophyll. Since chlorophyll in celery leaves is sensitive to high temperatures and oxygen, chlorophyll content in the VF group was preserved to the maximum extent. This was consistent with the research results reported by Yu et al., showing that thermal dehydration aggravates chlorophyll degradation more than non-thermal drying []. The process of chlorophyll degradation involves the conversion of chlorophylls a and b into pheophytin a and b, respectively. Chlorophyll a exhibits greater thermal sensitivity compared to chlorophyll b. High temperatures and sufficient oxygen promote the replacement of magnesium in chlorophyll with two hydrogen atoms in the presence of oxalic acid or acetic acid, resulting in the production of pheophytin [,]. The damaged chlorophyll can be oxidized to phytol by chlorophyll-degrading enzymes and acidic substances in plant cells. Phytol can undergo further oxidation and ultimately transform into brown pyrophytin [].
3.3. Effect of Five Drying Methods on Ascorbic Acid, Total Phenols and Flavonoids, Phenolic Compounds and Antioxidant Activity of Celery Leaves
3.3.1. Ascorbic Acid, Total Phenol and Flavonoid Content
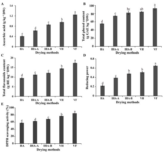
Ascorbic acid is unstable in nature and breaks down when exposed to light, high temperature and oxygen. As shown in Figure 3A, the ascorbic acid content of celery leaves showed significant differences among the different drying methods (p < 0.05). The ascorbic acid content of the HA group was the lowest, while vacuum freeze-drying was the most effective treatment to maintain ascorbic acid content.

Figure 3.
Changes in ascorbic acid content (A), total phenol content (B), total flavonoid content (C), reducing power (D) and DPPH free-radical scavenging capacity (E) of celery leaves after treatment with different drying methods. The data are presented as the mean ± SD of three biological and technical replicates. Different letters mean significant differences according to Duncan’s multiple range test (p < 0.05).
Phenols and flavonoids are bioactive substances with unstable chemical properties, and high-temperature conditions will accelerate their degradation []. In Figure 3B,C, the total phenol and total flavonoid content in celery leaves showed the same trend after different drying treatments. The total phenol and flavonoid contents in HA treatment were the lowest, followed by IHA-A, IHA-B, VH and VF treatments. This was the same as the research results of Saifullah et al. [], in which high temperatures led to a large loss of total phenol and flavonoid contents. It is worth mentioning that a vacuum environment exhibited greater influence on reducing the degradation of ascorbic acid, phenols and flavonoids than the drying temperature in celery leaves. This suggested that the loss of such components could be due to oxidative reactions, as ascorbic acid, phenols and flavonoids are prone to chemical or enzymatic oxidation. Yamaguchi et al. [] also reported that the decrease in total phenol content is probably due to the oxidation by polyphenol oxidase in vegetables.
3.3.2. Phenolic Compounds Included Rutin, Chlorogenic Acid, Quercetin, Luteolin, and Apigenin
Celery is rich in a variety of bioactive components, such as rutin, chlorogenic acid, quercetin, luteolin and apigenin []. The contents of phenolic compounds in celery leaves produced under different drying conditions are listed in Supplementary Table S1. The contents of rutin and chlorogenic acid in VF-treated samples were 2231.81 mg kg−1 and 3043.83 mg kg−1, respectively. The total concentration of five phenolic compounds was 5450.85 mg kg−1. This was significantly higher than in the other four treatments (p < 0.05). The results were in accordance with the reports in red pepper and bee pollen [,], which showed that high temperature and oxygen accelerate the degradation of phenolic compounds. Apigenin, luteolin and quercetin have been proven to have antioxidant, anti-inflammatory and anti-apoptotic functions []. The concentrations of quercetin, luteolin and apigenin in IHA-B-treated samples were significantly higher than those in other treatments (p < 0.05), indicating that intermittent drying at the appropriate temperature was more conducive to the retention of these substances. This might be attributed to the redistribution of temperature and moisture during the tempering period []. Besides, intermittent drying at the appropriate temperature also altered the structure of the tissue and made flavonoids easier to extract. In conclusion, different drying methods had an important influence on the retention of phenolic compounds. An appropriate drying condition should be chosen based on the expected quality of the dried product.
3.3.3. Antioxidant Activity
Reducing power and DPPH free-radical scavenging capacity are important manifestations of antioxidant activity. As seen in Figure 3D,E, antioxidant activity assessed by two methods exhibited the same change trend, which in increasing order was HA, IHA-A, IHA-B, VH and VF. This was the same as the results obtained in ascorbic acid, total phenol and total flavonoid content, since many studies have confirmed the important antioxidant properties of ascorbic acid, phenols and flavonoids [,]. Moreover, Hong et al. [] proved that total phenol and flavonoid content are correlated with reducing power and DPPH scavenging activity in the leaves of 11 Eriobotrya Species. A significant relationship between total phenol and flavonoid content and DPPH scavenging activity was also reported in Platycerium bifurcatum leaf [].
3.4. Effect of Five Drying Methods on Taste of Celery Leaves
Free amino acids are closely related to taste []. A total of 17 free amino acids of celery leaves are shown in Table 2. Among them, serine was not detected in different drying methods. The total amount of free amino acids in decreasing order was VH > IHA-B > IHA-A > VF > HA. However, no statistical difference was observed between VH and IHA-B treatments. Generally, with the increase in temperature, total free amino acid content showed a declining trend; this was similar to previous reports []. However, in vacuum drying, high temperatures could contribute to an increase in free amino acids. Zhao et al. also found that microwave vacuum drying could significantly improve the total free amino acids content compared to fresh samples []. Notably, when treated with the highest microwave power density, the total free amino acids content reached its maximum value due to the increase in temperature, suggesting that thermal vacuum would promote proteolysis and avoid the oxidation of amino acids.

Table 2.
Free amino acids of celery leaves produced under different drying conditions.
Five classes of free amino acids were categorized according to their different tastes [], including sweet savory (Thr, Ser, Gly, Ala and Pro), savory sour (Asp and Glu), bittersweet (Lys, His and Arg), bitter (Met, Ile, Leu, Tyr, Phe and Val) and salty (Cys). Among them, sweet savory amino acids are beneficial to the formation of the sweet taste of dried celery leaves. The celery leaves treated with IHA-B had the highest sweet amino acid content (21.641 g kg−1), and VH ranked second (20.119 g kg−1). The savory sour, bittersweet and bitter amino acids were unfavorable to the formation of good taste in dried celery leaves. The samples of celery leaves treated by VF had the highest savory sour amino acid content (8.554 g kg−1). The samples processed by VH and IHA-A had higher bittersweet and bitter amino acid content.
Overall, different drying methods had similar free amino acid compositions. Celery leaves dried by VH had the most abundant taste, and their bitter and bittersweet amino acid content was relatively high. IHA-B was better at maintaining total free amino acid content and producing a higher content of sweet savory amino acids and a lower content of bitter amino acids. Although VF and HA groups had lower bittersweet and bitter amino acid concentrations, the taste of these samples was not rich enough. Thus, IHA-B seemed to be the preferred method for enhancing the good taste of dried celery leaves.
3.5. Effect of Five Drying Methods on Volatile Compounds of Celery Leaves
A 3D topographic plot was used to characterize the volatile components in different dry samples. Figure 4A visually showed the differences in the types and peak intensity of volatile substances in different dry samples, and significant variations in the content of the volatile components in the yellow circles were observed in different treatments. The HA treatment was selected as the reference to reflect the concentration of the corresponding volatile substances in the other four groups (Figure 4B). Red indicates that the concentration of the corresponding substance was higher than that of the hot-air-dried sample, while blue represents samples with a lower concentration of the corresponding substance than the hot-air-dried sample. Color shades show the difference degree. Most of the signals appear in the retention time of 100 to 500 s and the drift time of 1.0 to 1.75. The relative contents of volatile compounds changed significantly in different drying processes. The number of blue dots increased rapidly in the VH group, indicating that the contents of most volatile substances had a drastic reduction in the VH treatment when compared with the HA treatment. In contrast, the areas of red spots with drift time of 1.25 and 1.75 in the IHA-B group were distinctly larger than those in other groups, suggesting that the concentration of these volatile compounds was the highest in IHA-B treatment.

Figure 4.
(A) Three-dimensional topographic plots of volatile compounds in celery leaves treated by different drying methods. (B) Two-dimensional topographic plots of volatile compounds in celery leaves treated by different drying methods. Significant variations in the composition of volatile components within the yellow circles were observed across different treatments.
A total of eight terpenoids, two alcohols, five ketones, nine aldehydes, six heterocyclic compounds, three esters, two ethers and two acids were determined in this study (Table 3). Thirty-seven types of volatile compounds were detected in the IHA-B, IHA-A, VF, HA and VH groups, with a total amount of 1244.48 ± 2.38, 1103.29 ± 4.30, 1084.38 ± 13.80, 877.36 ± 2.30 and 815.41 ± 3.02 μg kg−1 (dry basis), respectively. Among them, most of the volatile components were terpenoids and aldehydes. The content of terpenoids in the IHA-B group was the highest (496.90 μg kg−1), followed by VF (403.32 μg kg−1). In different hot-air drying treatments, the content of terpenoids increased with the decrease in drying temperature. Previous studies had confirmed that terpenoids were responsible for floral, herbal and pine odors []. In celery, terpenoids are the most abundant compounds, similar to what was found in this study []. Aldehydes are major constituents of the characteristic flavors of fruits and vegetables []. Due to the low odor threshold values, aldehydes can significantly affect the overall aroma of samples even at low content []. In this study, the content of 2-methylbutanal was highest in the thermal dehydration groups. However, the (E)-2-hexenal, which is considered to give a “grassy” note to fruits and vegetables [], exhibited the highest content in the VF group. This may also be the reason for the significant difference in aroma among the different treatment groups.

Table 3.
Volatile compounds of celery leaves treated by different drying methods.
Compared to other hot-air treatments, the compounds that contributed to fresh odors, such as (E)-2-hexenal, ethanol and ethyl acetate, were significantly higher in the VF treatment []. However, the contents of 2,3-butanedione, pentanal, 2-methylbutanal, 3-methylbutanal, 2-methylpropanal and 3-methylthiopropanal were the lowest in the VF samples. The reason for this phenomenon might be that the increase in temperature exacerbates the Maillard reaction, leading to the generation of a burnt flavor and endowing celery leaves with an acorn-like aroma.
In summary, the IHA-B treatment samples were rich in terpenoids, ketones and aldehydes, which gave celery leaves the aroma of the plant, as well as a light burnt flavor. Additionally, the total content of volatile compounds in IHA-B was significantly higher than in the other four treatments (p < 0.05). In the IHA-A group, the content of ketones and aldehydes was the highest, resulting in a heavy burnt flavor. The highest alcohol and ester contents were obtained in the VF treatment, while the contents of compounds producing a burnt aroma were the lowest, which produced the fresh odors of celery leaves. In the HA and VH groups, the retention of total volatile components decreased due to the high drying temperature, which was in accordance with the conclusion drawn by Wu et al. [].
3.6. Hierarchical Cluster Analysis
In order to systematically evaluate the quality attributes, taste and volatile components of dried celery leaves, heat-map and hierarchical clustering analyses were performed to display the differences of celery leaves treated by five drying methods. As shown in Figure 5, the VF treatment had the highest contents of chlorophyll, ascorbic acid, total phenols and flavonoids, antioxidant activity and rehydration, indicating that the VF treatment could effectively maintain the physical characteristics of celery leaves. In addition, relatively high amounts of volatile compounds gave a fresh odor to the VF-treated celery leaves. However, due to the low content of free amino acids, the VF treatment had a bland taste. In terms of taste and volatile compounds, IHA-B had the most abundant volatile compounds and was better at maintaining total free amino acid content, producing the highest content of sweet amino acids and low content of bitter amino acids. Moreover, the IHA-B group also had a positive effect on maintaining the physical characteristics of celery leaves. For the VH treatment, although the drying temperature was the same as hot-air drying, the vacuum condition could effectively reduce the change of oxygen-sensitive products so that it exhibited good ability in the retention of active substances and oxidation resistance. Besides, VH had the richest flavor, but the highest content of bitter and bittersweet amino acids was also observed, which made the taste of celery leaves unpleasant. Owing to the relatively high drying temperature and the presence of oxygen, HA and IHA-A groups were not competitive in retaining quality attributes, taste and volatile components of celery leaves compared with the other groups.

Figure 5.
Heat map and clustering of the total data set of celery leaves with different drying methods.
4. Conclusions
From the quality attributes, taste and volatile compounds determination of dried celery leaves, it can be found that intermittent hot-air drying with optimized drying temperature (35 °C for 2 h, then 45 °C for 3 h, and 35 °C for 3 h) gave samples a better taste and more abundant volatile components. Meanwhile, vacuum freeze-drying (−60 °C for 24 h) could better maintain the quality attributes and gave a bland taste and a fresh odor to dried celery leaves. However, HA, IHA-A and VH treatments showed no advantages over IHA-B and VF treatments. Based on the data presented, different drying conditions had significant effects on quality attributes, taste and volatile compounds of celery leaves. Reducing the drying temperature or maintaining a vacuum environment were conducive to the retention of quality attributes of the dried products. Both drying temperature and a vacuum environment had an influence on the taste of dried celery leaves. Reducing the drying temperature enriched the taste of celery leaves. In contrast, high temperature combined with vacuum drying could promote proteolysis and avoid the oxidation of amino acids, thus increasing the content of total free amino acids and bitter amino acids. The changes in volatile compounds confirmed that different drying conditions gave celery leaves aroma differences, and the content of volatile compounds was significantly higher after intermittent hot-air drying than after other treatments. The results would provide useful information for the selection of drying methods to meet the different quality demands of celery leaves and provide technical references for further research and processing applications of dried celery leaves.
Supplementary Materials
The following supporting information can be downloaded at: https://www.mdpi.com/article/10.3390/horticulturae10121316/s1, Table S1: The contents of phenolic compounds in celery leaves produced under different drying conditions.
Author Contributions
Y.D.: conceptualization, investigation, writing—original draft. Y.Z.: investigation, methodology. T.Z.: writing—review & editing. X.Y.: visualization, writing—review & editing. Y.Q.: visualization, writing—review & editing. M.F.: conceptualization, methodology, writing—review & editing, supervision. All authors have read and agreed to the published version of the manuscript.
Funding
This research was funded by the Young Scientists Fund of the National Natural Science Foundation of China grant number [32302160], Talent Research Project of the University (Institute) grant number [2023RCKY230], Shandong Province Science and Technology Innovation Ability Improvement Project grant number [2023TSGC0920].
Data Availability Statement
The original contributions presented in this study are included in the article. Further inquiries can be directed to the corresponding author.
Conflicts of Interest
Author Ying Qin was employed by the company Nantong Flavone-Care Biotechnology Co., Ltd. The remaining authors declare that the research was conducted in the absence of any commercial or financial relationships that could be construed as a potential conflict of interest.
References
- Sowbhagya, H. Chemistry, technology, and nutraceutical functions of celery (Apium graveolens L.): An overview. Crit. Rev. Food Sci. Nutr. 2014, 54, 389–398. [Google Scholar] [CrossRef] [PubMed]
- Li, M.Y.; Hou, X.L.; Wang, F.; Tan, G.F.; Xu, Z.S.; Xiong, A.S. Advances in the research of celery, an important Apiaceae vegetable crop. Crit. Rev. Biotechnol. 2018, 38, 172–183. [Google Scholar] [CrossRef] [PubMed]
- Singh, M.; Nara, U.; Rani, N.; Pathak, D.; Sangha, M.K.; Kaur, K. Mineral content variation in leaves, stalks, and seeds of celery (Apium graveolens L.) genotypes. Biol. Trace Elem. Res. 2023, 201, 2665–2673. [Google Scholar] [CrossRef] [PubMed]
- Liu, J.; Cheng, C.; Zhang, Z.; Yang, S.; Zhang, X. Optimization of celery leaf tea processing and the volatile components analysis. J. Food Process. Preserv. 2021, 45, e15253. [Google Scholar] [CrossRef]
- Buttkus, H.A. Celery leaf juice: Evaluation and utilization of a product from harvest debris. J. Agric. Food Chem. 1978, 26, 827–830. [Google Scholar] [CrossRef]
- Rupérez, P.; Toledano, G. Celery by-products as a source of mannitol. Eur. Food Res. Technol. 2003, 216, 224–226. [Google Scholar] [CrossRef]
- Babu, A.; Kumaresan, G.; Raj, V.A.A.; Velraj, R. Review of leaf drying: Mechanism and influencing parameters, drying methods, nutrient preservation, and mathematical models. Renew. Sustain. Energy Rev. 2018, 90, 536–556. [Google Scholar] [CrossRef]
- Ansari, M.I.A.; Chhaya; Guria, A.; Rai, p. Effect of Heat Pump Drying on Quality of Fruits and Vegetables: A Review. Environ. Ecol. 2024, 42, 921–926. [Google Scholar] [CrossRef]
- Joshi, A.; VikfigonoKsh; Sethi, S.; Arora, B.; Baruah, D.; Narola, A.; Uhre, S.B. Drying of Horticultural Produce: Mechanization, Challenges and Opportunities. In Advances in Postharvest and Analytical Technology of Horticulture Crops; Springer Nature: Berlin, Germany, 2024; pp. 921–926. [Google Scholar]
- García-Moreira, D.P.; Hernández-Guzmán, H.; Pacheco, N.; Cuevas-Bernardino, J.C.; Herrera-Pool, E.; Moreno, I.; López-Vidaña, E.C. Solar and convective drying: Modeling, color, texture, total phenolic content, and antioxidant activity of peach (Prunus persica (L.) Batsch) slices. Processes 2023, 11, 1280. [Google Scholar] [CrossRef]
- Huang, Y.; Sun, Y.; Lu, T.; Chen, X. Effects of hot-air drying on the bioactive compounds, quality attributes, and drying and color change kinetics of coffee leaves. J. Food Sci. 2023, 88, 214–227. [Google Scholar] [CrossRef]
- Ye, F.; Qiao, X.; Gui, A.; Wang, S.; Liu, P.; Wang, X.; Teng, J.; Zheng, L.; Feng, L.; Han, H. Metabolomics provides a novel interpretation of the changes in main compounds during black tea processing through different drying methods. Molecules 2021, 26, 6739. [Google Scholar] [CrossRef] [PubMed]
- Feng, L.; Xu, Y.; Xiao, Y.; Song, J.; Li, D.; Zhang, Z.; Liu, C.; Liu, C.; Jiang, N.; Zhang, M. Effects of pre-drying treatments combined with explosion puffing drying on the physicochemical properties, antioxidant activities and flavor characteristics of apples. Food Chem. 2021, 338, 128015. [Google Scholar] [CrossRef] [PubMed]
- ElGamal, R.; Song, C.; Rayan, A.M.; Liu, C.; Al-Rejaie, S.; ElMasry, G. Thermal Degradation of Bioactive Compounds during Drying Process of Horticultural and Agronomic Products: A Comprehensive Overview. Agronomy 2023, 13, 1580. [Google Scholar] [CrossRef]
- Souza, R.A.d.; Melo, E.d.C.; de Ávila, M.B.; Gonzaga, D.A.; Sperotto, N.C.; Carneiro, A.P. Intermittent drying of clove basil leaves: Process optimization and essential oil yield. Rev. Bras. Eng. Agrícola Ambient. 2020, 24, 209–215. [Google Scholar] [CrossRef]
- Zotti-Sperotto, N.C.; de Ávila, M.B.; de Souza, R.A.; Melo, E.d.C.; Governici, J.L.; Gonzaga, D.A.; Fonseca, M.C.; Carneiro, A.P.d.S.; Demuner, A.J.; Pinheiro, P.F. Intermittent drying of Lippia origanoides HBK leaves and Schinus terebinthifolius Raddi fruits. Ind. Crops Prod. 2021, 161, 113152. [Google Scholar] [CrossRef]
- Orikasa, T.; Koide, S.; Okamoto, S.; Imaizumi, T.; Muramatsu, Y.; Takeda, J.-i.; Shiina, T.; Tagawa, A. Impacts of hot air and vacuum drying on the quality attributes of kiwifruit slices. J. Food Eng. 2014, 125, 51–58. [Google Scholar] [CrossRef]
- Kayacan, S.; Sagdic, O.; Doymaz, I. Effects of hot-air and vacuum drying on drying kinetics, bioactive compounds and color of bee pollen. J. Food Meas. Charact. 2018, 12, 1274–1283. [Google Scholar] [CrossRef]
- Xiang, Y.; Zou, M.; Ou, F.; Zhu, L.; Xu, Y.; Zhou, Q.; Lei, C. A Comparison of the Impacts of Different Drying Methods on the Volatile Organic Compounds in Ginseng. Molecules 2024, 29, 5235. [Google Scholar] [CrossRef]
- Kouchakzadeh, A.; Shabani, N. Effect of microwave energy on dehydration of celery leaves. Agric. Eng. Int. CIGR J. 2017, 19, 108–113. [Google Scholar]
- Demirhan, E.; Özbek, B. Thin-layer drying characteristics and modeling of celery leaves undergoing microwave treatment. Chem. Eng. Commun. 2011, 198, 957–975. [Google Scholar] [CrossRef]
- Ali, S.; Khan, A.S.; Malik, A.U.; Shahid, M. Effect of controlled atmosphere storage on pericarp browning, bioactive compounds and antioxidant enzymes of litchi fruits. Food Chem. 2016, 206, 18–29. [Google Scholar] [CrossRef] [PubMed]
- Blainski, A.; Lopes, G.C.; De Mello, J.C.P. Application and analysis of the folin ciocalteu method for the determination of the total phenolic content from Limonium brasiliense L. Molecules 2013, 18, 6852–6865. [Google Scholar] [CrossRef] [PubMed]
- Wei, F.; Chen, Q.; Du, Y.; Han, C.; Fu, M.; Jiang, H.; Chen, X. Effects of hulling methods on the odor, taste, nutritional compounds, and antioxidant activity of walnut fruit. LWT 2020, 120, 108938. [Google Scholar] [CrossRef]
- Bi, Y.X.; Zielinska, S.; Ni, J.B.; Li, X.X.; Xue, X.F.; Tian, W.L.; Peng, W.J.; Fang, X.M. Effects of hot-air drying temperature on drying characteristics and color deterioration of rape bee pollen. Food Chem. X 2022, 16, 100464. [Google Scholar] [CrossRef]
- Santivarangkna, C.; Kulozik, U.; Foerst, P. Inactivation mechanisms of lactic acid starter cultures preserved by drying processes. J. Appl. Microbiol. 2008, 105, 1–13. [Google Scholar] [CrossRef]
- Beigi, M. Thin layer drying of wormwood (Artemisia absinthium L.) leaves: Dehydration characteristics, rehydration capacity and energy consumption. Heat Mass Transf. 2017, 53, 2711–2718. [Google Scholar] [CrossRef]
- Wang, B.; Li, Y.; Lv, Y.; Jiao, X.; Wang, Z.; He, Y.; Wen, L. Dehydration–rehydration mechanism of vegetables at the cell-wall and cell-membrane levels and future research challenges. Crit. Rev. Food Sci. Nutr. 2024, 64, 11179–11195. [Google Scholar] [CrossRef]
- Ren, Z.; Yu, X.; Yagoub, A.E.A.; Fakayode, O.A.; Ma, H.; Sun, Y.; Zhou, C. Combinative effect of cutting orientation and drying techniques (hot air, vacuum, freeze and catalytic infrared drying) on the physicochemical properties of ginger (Zingiber officinale Roscoe). LWT 2021, 144, 111238. [Google Scholar] [CrossRef]
- Yu, Q.; Li, J.; Fan, L. Effect of drying methods on the microstructure, bioactivity substances, and antityrosinase ac-tivity of asparagus stems. J. Agric. Food Chem. 2019, 67, 1537–1545. [Google Scholar] [CrossRef]
- Arslan, D.; Özcan, M.M. Evaluation of drying methods with respect to drying kinetics, mineral content, and color characteristics of savory leaves. Food Bioprocess Technol. 2012, 5, 983–991. [Google Scholar] [CrossRef]
- Roshanak, S.; Rahimmalek, M.; Goli, S.A.H. Evaluation of seven different drying treatments in respect to total flavonoid, phenolic, vitamin C content, chlorophyll, antioxidant activity and color of green tea (Camellia sinensis or C. assamica) leaves. J. Food Sci. Technol. 2016, 53, 721–729. [Google Scholar] [CrossRef] [PubMed]
- Sharafi, E.; Dehestani, A.; Farmani, J. Bioinformatics evaluation of plant chlorophyllase, the key enzyme in chlorophyll degradation. Appl. Food Biotechnol. 2017, 4, 167–178. [Google Scholar]
- Saifullah, M.; McCullum, R.; McCluskey, A.; Vuong, Q. Effects of different drying methods on extractable phenolic compounds and antioxidant properties from lemon myrtle dried leaves. Heliyon 2019, 5, e03044. [Google Scholar] [CrossRef] [PubMed]
- Yamaguchi, T.; Katsuda, M.; Oda, Y.; Terao, J.; Kanazawa, K.; Oshima, S.; Inakuma, T.; Ishiguro, Y.; Takamura, H.; Matoba, T. Influence of polyphenol and ascorbate oxidases during cooking process on the radical-scavenging activity of vegetables. Food Sci. Technol. Res. 2003, 9, 79–83. [Google Scholar] [CrossRef]
- Li, K.; Zhang, X.J.; Zhang, D.C.; Li, Y.X. The quantitation of flavonoids in leaf and stalk of different celery cultivars and the correlation with antioxidation activity. Acta Hortic. Sin. 2011, 38, 69. [Google Scholar]
- Vega-Gálvez, A.; Di Scala, K.; Rodríguez, K.; Lemus-Mondaca, R.; Miranda, M.; López, J.; Perez-Won, M. Effect of air-drying temperature on physico-chemical properties, antioxidant capacity, colour and total phenolic content of red pepper (Capsicum annuum, L. var. Hungarian). Food Chem. 2009, 117, 647–653. [Google Scholar] [CrossRef]
- Tian, C.; Liu, X.; Chang, Y.; Wang, R.; Lv, T.; Cui, C.; Liu, M. Investigation of the anti-inflammatory and antioxidant activities of luteolin, kaempferol, apigenin and quercetin. S. Afr. J. Bot. 2021, 137, 257–264. [Google Scholar] [CrossRef]
- Kumar, C.; Karim, M.; Joardder, M.U. Intermittent drying of food products: A critical review. J. Food Eng. 2014, 121, 48–57. [Google Scholar] [CrossRef]
- Abbès, F.; Kchaou, W.; Blecker, C.; Ongena, M.; Lognay, G.; Attia, H.; Besbes, S. Effect of processing conditions on phenolic compounds and antioxidant properties of date syrup. Ind. Crops Prod. 2013, 44, 634–642. [Google Scholar] [CrossRef]
- Alvarez-Parrilla, E.; de la Rosa, L.A.; Amarowicz, R.; Shahidi, F. Antioxidant activity of fresh and processed Jalapeno and Serrano peppers. J. Agric. Food Chem. 2011, 59, 163–173. [Google Scholar] [CrossRef]
- Hong, Y.; Lin, S.; Jiang, Y.; Ashraf, M. Variation in contents of total phenolics and flavonoids and antioxidant activities in the leaves of 11 Eriobotrya species. Plant Foods Hum. Nutr. 2008, 63, 200–204. [Google Scholar] [CrossRef] [PubMed]
- Nnaoma, I.E.; Okeke, C.O. Evaluation of Total Flavonoids, Total Phenolics Content and in Vitro Antioxidant Activities of Extract of Platycerium bifurcatum Leaf: A Potential Antihypertensive Medicinal Plant. Sch. Acad. J. Pharm. 2024, 8, 372–376. [Google Scholar] [CrossRef]
- Wu, N.; Wang, X.C. Identification of important odorants derived from phosphatidylethanolamine species in steamed male Eriocheir sinensis hepatopancreas in model systems. Food Chem. 2019, 286, 491–499. [Google Scholar] [CrossRef] [PubMed]
- Babiker, E.E.; Juhaimi, F.A.; Ghafoor, K.; Abdoun, K.A. Effect of drying methods on nutritional quality of young shoots and leaves of two Moringa species as non-conventional fodders. Agrofor. Syst. 2018, 92, 717–729. [Google Scholar] [CrossRef]
- Zhao, Y.; Jiang, Y.; Zheng, B.; Zhuang, W.; Zheng, Y.; Tian, Y. Influence of microwave vacuum drying on glass transition temperature, gelatinization temperature, physical and chemical qualities of lotus seeds. Food Chem. 2017, 228, 167–176. [Google Scholar] [CrossRef]
- Turner, L.; Dawda, D.; Wagstaff, C.; Gawthrop, F.; Lignou, S. Influence of harvest maturity on the aroma quality of two celery (Apium graveolens) genotypes. Food Chem. 2021, 365, 130515. [Google Scholar] [CrossRef]
- Wang, L.; Baldwin, E.A.; Bai, J. Recent advance in aromatic volatile research in tomato fruit: The metabolisms and regulations. Food Bioprocess Technol. 2016, 9, 203–216. [Google Scholar] [CrossRef]
- Wang, L.; Zhu, J.; Wang, Y.; Wang, X.; Chen, F.; Wang, X. Characterization of aroma-impact compounds in dry jujubes (Ziziphus jujube Mill.) by aroma extract dilution analysis (AEDA) and gas chromatography-mass spectrometer (GC-MS). Int. J. Food Prop. 2018, 21, 1844–1853. [Google Scholar] [CrossRef]
- Turner, L.; Lignou, S.; Gawthrop, F.; Wagstaff, C. Investigating the factors that influence the aroma profile of Apium graveolens: A review. Food Chem. 2021, 345, 128673. [Google Scholar] [CrossRef]
- Wu, X.; Zhang, M.; Li, Z. Influence of infrared drying on the drying kinetics, bioactive compounds and flavor of Cordyceps militaris. LWT 2019, 111, 790–798. [Google Scholar] [CrossRef]
Disclaimer/Publisher’s Note: The statements, opinions and data contained in all publications are solely those of the individual author(s) and contributor(s) and not of MDPI and/or the editor(s). MDPI and/or the editor(s) disclaim responsibility for any injury to people or property resulting from any ideas, methods, instructions or products referred to in the content. |
© 2024 by the authors. Licensee MDPI, Basel, Switzerland. This article is an open access article distributed under the terms and conditions of the Creative Commons Attribution (CC BY) license (https://creativecommons.org/licenses/by/4.0/).