Comparative Study of Water and Fertilizer Regimes on Water Potential, Phenolic Substances, and Photosynthetic Characteristics of Pistacia weinmannifolia
Abstract
1. Introduction
2. Materials and Methods
2.1. Experimental Site Description
2.2. Research Methods
2.3. Measurement Method
3. Results
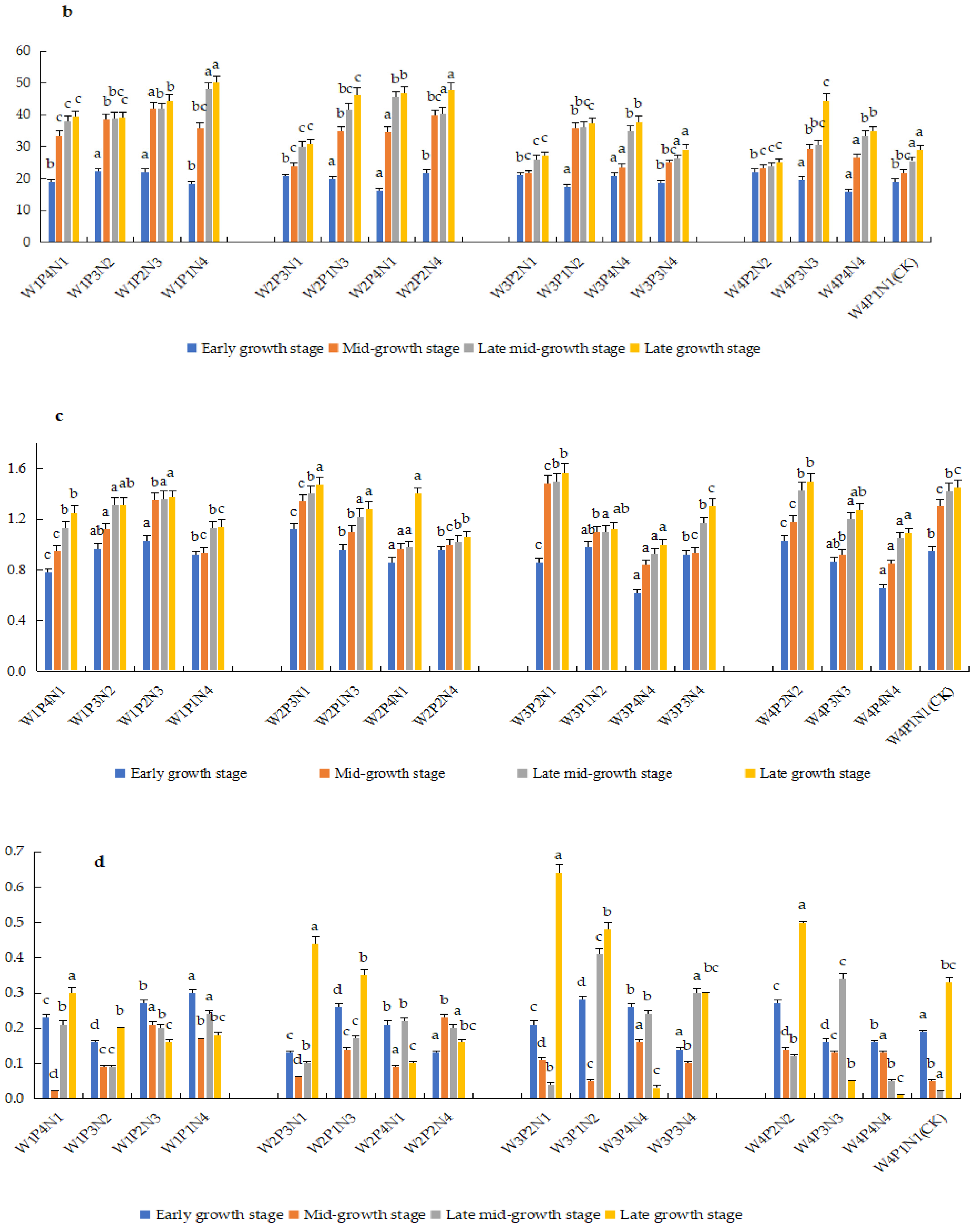
3.1. Comparative Analysis Physiological Index at Different Growth Stages of Pistacia weinmannifolia
3.2. The Scope and Variance Analysis of the Influence on Physiological Index of Pistacia weinmannifolia
3.3. TOPSIS Comprehensive Evaluation of Physiological Index
3.4. Photosynthetic Parameters of Pistacia weinmannifolia
3.5. The Influence Range and Variance Analysis on the Photosynthetic Parameters of Pistacia weinmannifolia
3.6. TOPSIS Comprehensive Evaluation of Water and Fertilizer Regimes on Photosynthetic Parameters of Pistacia weinmannifolia
4. Discussion
4.1. Effects of Water and Fertilizer Regimes on the Physiological Index
4.2. Effect of Water and Fertilizer Regimes on the Photosynthetic Efficiency
4.3. Comprehensive Analysis of Physiological Indicators and Cultivation Strategy Selection by Water and Fertilizer Regimes
5. Conclusions
Author Contributions
Funding
Data Availability Statement
Conflicts of Interest
References
- Jiang, J. A brief discussion on the importance of Pistacia weinmannifolia in the control of rocky desertification in Yunnan. J. Mod. Hortic. 2015, 5, 105. [Google Scholar] [CrossRef]
- Li, X.J.; Yang, L.H.; Chen, Y.M.; Cao, K.H.; He, J.M. Research on the antioxidant and antibacterial activities of Pistacia weinmannifolia leaf essential oil extracted by three methods. J. Food Ferment. Ind. 2020, 46, 93–98. [Google Scholar] [CrossRef]
- Yu, L.J.; Liu, Y.; Li, Z.M.; Jin, P.C.; Zhou, J.W. Research on the antioxidant capacity and tyrosinase activity inhibitory ability of Pistacia weinmannifolia extracts. J. Yunnan Univ. 2020, 42, 172–178. [Google Scholar] [CrossRef]
- Mo, F.; Chen, X. Investigation and analysis of natural shrub vegetation in typical karst canyons in Huajiang, Guizhou. J. Guizhou Sci. 2004, 22, 83–85. [Google Scholar]
- Shen, Y.X.; Liu, W.Y.; Li, Y.H.; Cui, J.W. Study on the community ecology of semi-humid evergreen broad-leaved forest in the karst mountains of central Yunnan. J. Guangxi Plants 2005, 25, 321–326. [Google Scholar] [CrossRef]
- Yan, L.B.; An, M.T.; Li, H. Preliminary Study on Interspecific Relevancy of the Pistacia Weinmannifolia Communities in ChiShui River Valley; China Association for Science and Technology: Guiyang, China, 2013. [Google Scholar]
- Yang, J.; Shi, D.X.; Wang, M.L.; Wang, L.; Li, Q. Tissue culture and rapid propagation of Pistacia weinmannifolia. J. Plant Physiol. Commun. 2007, 43, 523. [Google Scholar]
- Zhou, B.H. Components of volatile oils from the leaves of Pistacia weinmannifolia and their antibacterial effects. J. Appl. Chem. 2008, 25, 305–308. [Google Scholar] [CrossRef]
- Qiao, Y.F.; Peng, Y.F.; Fang, Y.S.; Huang, J.; Zhang, Y.F.; Wu, C.L. Comparative study on the volatile components of green leaves and young red leaves of Yunnan Qingxiangmu. J. Anhui Agric. Sci. 2013, 41, 1583–1584+1587. [Google Scholar]
- Sun, G.R.; Hu, T.T.; Liu, X.G.; Peng, Y.L.; Leng, X.X.; Li, Y.L.; Yang, Q.L. Optimizing irrigation and fertilization at various growth stages to improve mango yield, fruit quality and water-fertilizer use efficiency in xerothermic regions. J. Agric. Water Manag. 2022, 260, 107296. [Google Scholar] [CrossRef]
- Zhou, X.J.; Lu, T.B.; Xing, M.; Song, R.Y.; Fu, X.F. Effects of water-fertilizer coupling on the growth physiology and yield of jujube under drip irrigation in southern Xinjiang. J. Huazhong Agric. Univ. 2023, 42, 195–205. [Google Scholar] [CrossRef]
- Duan, X.X. Research on the Effect of Water-Fertilizer Coupling on the Growth, Yield and Quality of Main-Fruiting Apples in the Sandy Area of Southern Xinjiang; Xi’an University of Technology: Xi’an, China, 2023. [Google Scholar]
- Wu, X.B.; Bai, M.J.; Li, Y.N.; Du, T.S.; Zhang, S.H.; Shi, Y. Effects of water-fertilizer coupling on cabbage root growth and soil water and nitrogen distribution under drip irrigation under film. J. Trans. Chin. Soc. Agric. Eng. 2019, 35, 110–119. [Google Scholar] [CrossRef]
- Fang, J.; Tan, Z.M.; Cheng, Y.X.; Li, C.Y.; Shu, S.; Yang, L.Y.; Ma, X.C. Effects of water-fertilizer coupling on chlorophyll fluorescence parameters and yield of sand-cultured tomatoes. OL. Mol. Plant Breed. 2024, 1–16. Available online: http://kns.cnki.net/kcms/detail/46.1068.S.20230706.1551.008.html (accessed on 8 July 2023).
- Xu, M. Effects of Water-Fertilizer Coupling on the Growth Physiology of Several Herbaceous Plants in Coal Mining Areas in Desert Areas. Master’s Thesis, Northwest Agriculture and Forestry University, Xianyang, China, 2020. [Google Scholar] [CrossRef]
- Emerson, F.C.S.; Rog’erio, P.S.; Patricio, S.; Rodney, T.V.; Carl, J.R. Split application of stabilized ammonium nitrate improved potato yield and nitrogen-use efficiency with reduced application rate in tropical sandy soils. J. Field Crops Res. 2020, 254, 107847. [Google Scholar] [CrossRef]
- Geng, Y.J.; Chen, L.; Yang, C.; Jiao, D.Y.; Zhang, Y.H.; Cai, Z.Q. Dry-season deficit irrigation increases agricultural water use efficiency at the expense of yield and agronomic nutrient use efficiency of Sacha Inchi plants in a tropical humid monsoon area. J. Ind. Crop Prod. 2017, 109, 570–578. [Google Scholar] [CrossRef]
- Zheng, S.J.; Dong, Q.; Ye, L.; Zhao, Q.Z.; Duan, H.C. Effects of slow-release fertilizer on biomass and nutrient accumulation of white gunstick seedlings. J. Forest Environ. 2024, 44, 164–174. [Google Scholar] [CrossRef]
- Wu, G.X.; Wang, L.H.; Liang, H.P.; Li, Y.F.; Hao, J. Effects of nitrogen, phosphorus and potassium ratio fertilization on the growth and physiology of Dalbergia rosewood seedlings. J. Zhejiang AF Univ. 2012, 29, 296–300. [Google Scholar] [CrossRef]
- Chen, Z.Q.; Yang, J. Research on photosynthetic light response and CO2 response of four species of Scopoa genus. J. Yunnan Norm. Univ. 2019, 39, 57–61. [Google Scholar] [CrossRef]
- Liu, Z.Y.; Qin, J.; Zeng, L. Effects of different fertilization treatments on the ornamental quality of rose ‘Angela’. Econ. J. For. Res. 2022, 40, 228–240. [Google Scholar] [CrossRef]
- Gao, F.; Wang, R.S.; Xu, H.S.; Wang, D.M.; Yang, Z.R. Analysis of crop growth and economic benefits of apple-corn intercropping system under water and fertilizer regulation. J. Agric. Res. Arid. Areas. 2017, 35, 20–28,37. [Google Scholar] [CrossRef]
- Zheng, N.; Li, S.Y.; Wang, X.T.; Lv, S.H.; Zhao, P.C.; Zang, S.; Xu, Y.L.; He, J.; Qin, W.H.; Gao, H.R. Research on the life-form advantages of typical grassland plants based on the influence of environmental factors on chlorophyl. J. Plant Ecol. 2022, 46, 951–960. [Google Scholar] [CrossRef]
- Trush, K.; Gavurová, M.; Monje-Rueda, M.D.; Kalarcik, V.; Bacovcinova, M.; Betti, M.; Palove-Balang, P. Low nitrogen status affects isoflavonoid production and flavonol decoration in Lotus corniculatus. J. Plant Stress. 2024, 11, 100336. [Google Scholar] [CrossRef]
- Stewart, A.; Chapman, W.B.; Jenkins, G.I.; Martin, T.; Crozier, A. The effect of nitrogen and phosphorus deficiency on flavonolaccumulation in planttissues. J. Plant Cell Environ. 2001, 24, 1189–1197. [Google Scholar] [CrossRef]
- Liu, X.; Gao, T.; Liu, C.; Mao, K.; Gong, X.; Li, C.; Ma, F. Fruit crops combating drought: Physiological responses and regulatory pathways. J. Plant Physiol. 2023, 192, 1768–1784. [Google Scholar] [CrossRef]
- Meng, Q.Y.; Jia, H.B.; Yu, Z.H. Effects of Controlled-release Urea Combined with Conventional Urea on Rhizosphere Soil Microorganisms. J. Soil Nitrogen Yield Maize. 2012, 43, 1173–1176. [Google Scholar]
- She, Y.J.; Li, P.; Du, Z.G.; Qi, X.B. Nitrogen fertilization effects on soil nitrate, water use, growth attributes and yield of winter wheat under shallow groundwater table condition. J. Agron. 2022, 12, 3048. [Google Scholar] [CrossRef]
- Zhang, M.; Dong, B.; Qiao, Y.; Shi, C.H.; Yang, H.; Yakai, W.; Liu, M. Yield and water use responses of winter wheat to irrigation and nitrogen application in the North China Plain. J. Integr. Agric. 2018, 17, 1194–1206. [Google Scholar] [CrossRef]
- Liu, X.G.; Peng, Y.L.; Yang, Q.L.; Wang, X.; Cui, N. Determining optimal deficit irrigation and fertilization to increase mango yield, quality, and WUE in a dry hot environment based on TOPSIS. J. Agric. Water Manag. 2021, 245, 106650. [Google Scholar] [CrossRef]
- Li, S.Y.; Zhao, Q.K.; Lang, Y.; Zhang, C.Y.; Li, H.; Sun, Y. Response of photosynthetic efficiency of honeysuckle to soil moisture in Yimeng Mountains. J. Northwest For. Univ. 2020, 35, 55–60. [Google Scholar] [CrossRef]
- Ye, Z.P.; Zheng, Z.; Kang, H. Stomatal and non-stomatal limitations on photosynthesis of flag leaf of medium mature indica rice at early earring stage under natural conditions. J. Ecol. 2019, 38, 1004–1012. [Google Scholar] [CrossRef]
- Gao, G.L.; Feng, Q.; Liu, X.D. Stomatal and non-stomatal limitations of photosynthesis in Populus euphratica leaves under natural conditions. J. Arid Land Resour. Environ. 2020, 34, 182–188. [Google Scholar] [CrossRef]
- Zhou, H.M.; Niu, X.L.; Yan, H.; Zhao, L.; Zhao, N.; Xiang, Y.Z. Effects of water and fertilizer coupling on growth and photosynthetic characteristics of young apple tree. J. Henan Agric. Sci. 2019, 48, 112–119. (In Chinese) [Google Scholar] [CrossRef]
- Zhou, X.; Wang, R.S.; Gao, F. Apple and maize physiological characteristics and water-use efficiency in an alley cropping system under water and fertilizer coupling in Loess Plateau, China. J. Agric. Water Manag. 2019, 221, 1–12. [Google Scholar] [CrossRef]
- Zheng, C.H.; Wang, R.S.; Zhou, X.; Li, C.N.; Dou, X.Y. Photosynthetic and growth characteristics of apple and soybean in an intercropping system under different mulch and irrigation regimes in the Loess Plateau of China. J. Agric. Water Manag. 2022, 266, 107595. [Google Scholar] [CrossRef]
- Tian, Y.; Yuan, C.J.; Wang, J.G.; Li, X.F.; An, M.T.; Yan, L.B.; Xu, X.L. Growth and photosynthetic responses of A. chinensis to different soil water stresses. J. West Forest. Sci. 2014, 43, 41–47. [Google Scholar] [CrossRef]
- Grassi, G.; Magnani, F. Stomatal, mesophyll conductance and biochemical limitations to photosynthesis as affected by drought and leaf ontogeny in ash and oak trees. J. Plant Cell Environ. 2005, 28, 834–849. [Google Scholar] [CrossRef]
- Raines, C.A. Increasing photosynthetic carbon assimilation in C3 plants to improve crop yield: Current and future strategies. J. Plant Physiol. 2011, 155, 36–42. [Google Scholar] [CrossRef]
- Chen, J.W.; Yang, Z.Q.; Zhou, P.; Hai, M.R.; Tang, T.X.; Liang, Y.L.; An, T.X. Biomass accumulation and partitioning, photosynthesis, and photosynthetic induc-tion in field-grown maize (Zea mays L.) under low-and high-nitrogen conditions. Acta Physiol. J. Plant. 2013, 35, 95–105. [Google Scholar] [CrossRef]
- Wang, C.; She, H.Z.; Liu, X.B.; Hu, D.; Ruan, R.W. Effects of fertilization on leaf photosyntheticcharacteristics and grain yield in tartary buckwheat Yunqiao1. J. Photosynth. 2017, 55, 77–84. [Google Scholar] [CrossRef]
- Nam, H.-I.; Shahzad, Z.; Dorone, Y.; Clowez, S. Interdependent iron and phosphorus availability controls photosynthesis through retrograde signaling. J. Nat. Commun. 2021, 12, 7211. [Google Scholar] [CrossRef]
- Makino, A.; Sakuma, H.; Sudo, E.; Mae, T. Differences between maize and rice in N-use efficiency for photosynthesis and protein allocation. J. Plant Cell Physiol. 2003, 44, 952–956. [Google Scholar] [CrossRef]
- Feller, U.; Anders, I.; Mae, T. Rubiscolytics: Fate of Rubisco after its enzymatic function in a cell is terminated. J. Exp. Bot. 2008, 59, 1615–1624. [Google Scholar] [CrossRef]
- Yu, Q.S.; Ni, X.F.; Cheng, X.L.; Ma, S.H.; Tian, D.; Zhu, B.; Zhu, J.L.; Ji, C.J.; Tang, Z.Y.; Fang, J.Y. Foliar phosphorus allocation and photosynthesis reveal plants’ adaptative strategies to phosphorus limitation in tropical forests at different successional stages. J. Sci. Total Environ. 2022, 846, 157456. [Google Scholar] [CrossRef]
- Chu, C.C.; Wang, Y.; Wang, E.T. Improving the utilization efficiency of nitrogen, phosphorus and potassium: Current situation and future perspectives. J. Sci. China Ser. D 2021, 51, 1415–1423. [Google Scholar] [CrossRef]
- Liu, S.; Wang, Q.G. Response of C3 Plants Leaf Enzymes to Nitrogen Addition. J. Sci. China Ser. D 2021, 10, 320–330. [Google Scholar] [CrossRef]








| pH Value | Volume Weight (g·cm−3) | Total N Content (g·kg−1) | Total P Content (g·kg−1) | Total Potassium Content (g·kg−1) | Total Calcium Content (g·kg−1) | Magnesium Content (g·kg−1) | Iron Content (g·kg−1) | Sodium Content (g·kg−1) | Cuprum Content (g·kg−1) |
|---|---|---|---|---|---|---|---|---|---|
| 5.45 ± 0.49 | 1.14 ± 0.08 | 0.71 ± 0.11 | 0.57 ± 0.05 | 2.06 ± 0.23 | 0.48 ± 0.10 | 0.12 ± 0.01 | 60.99 ± 5.67 | 1.73 ± 0.33 | 0.18 ± 0.02 |
| Treatment | Θmin (%) | Θmax (%) | Application Amount of Pure P Fertilizer (g·plant−1) | Application Amount of Pure N Fertilizer (g·plant−1) |
|---|---|---|---|---|
| W1P4N1 | 20 | 25 | 0.6 | 0 |
| W1P3N2 | 20 | 25 | 0.4 | 0.45 |
| W1P2N3 | 20 | 25 | 0.15 | 1.2 |
| W1P1N4 | 20 | 25 | 0 | 1.8 |
| W2P3N1 | 40 | 45 | 0.4 | 0 |
| W2P1N3 | 40 | 45 | 0 | 1.2 |
| W2P4N1 | 40 | 45 | 0.6 | 0 |
| W2P2N4 | 40 | 45 | 0.15 | 1.8 |
| W3P2N1 | 60 | 65 | 0.15 | 0 |
| W3P1N2 | 60 | 65 | 0 | 0.45 |
| W3P4N4 | 60 | 65 | 0.6 | 1.8 |
| W3P3N4 | 60 | 65 | 0.4 | 1.8 |
| W4P2N2 | 80 | 85 | 0.15 | 0.45 |
| W4P3N3 | 80 | 85 | 0.4 | 1.2 |
| W4P4N4 | 80 | 85 | 0.6 | 1.8 |
| W4P1N1 (CK) | 80 | 85 | 0 | 0 |
| Index | Treatment | Early Growth Stage | Mid-Growth Stage | Late Mid-Growth Stage | Late Growth Stage | ||||||||
|---|---|---|---|---|---|---|---|---|---|---|---|---|---|
| Range Analysis | W | P | N | W | P | N | W | P | N | W | P | N | |
| W1P4N1 | 20% | 0.6 | 0 | 20% | 0.6 | 0 | 20% | 0.6 | 0 | 20% | 0.6 | 0 | |
| W1P3N2 | 20% | 0.4 | 0.45 | 20% | 0.4 | 0.45 | 20% | 0.4 | 0.45 | 20% | 0.4 | 0.45 | |
| W1P2N3 | 20% | 0.15 | 1.2 | 20% | 0.15 | 1.2 | 20% | 0.15 | 1.2 | 20% | 0.15 | 1.2 | |
| W1P1N4 | 20% | 0 | 1.8 | 20% | 0 | 1.8 | 20% | 0 | 1.8 | 20% | 0 | 1.8 | |
| W2P3N1 | 40% | 0.4 | 0 | 40% | 0.4 | 0 | 40% | 0.4 | 0 | 40% | 0.4 | 0 | |
| W2P1N3 | 40% | 0 | 1.2 | 40% | 0 | 1.2 | 40% | 0 | 1.2 | 40% | 0 | 1.2 | |
| W2P4N1 | 40% | 0.6 | 0 | 40% | 0.6 | 0 | 40% | 0.6 | 0 | 40% | 0.6 | 0 | |
| W2P2N4 | 40% | 0.15 | 1.8 | 40% | 0.15 | 1.8 | 40% | 0.15 | 1.8 | 40% | 0.15 | 1.8 | |
| W3P2N1 | 60% | 0.15 | 0 | 60% | 0.15 | 0 | 60% | 0.15 | 0 | 60% | 0.15 | 0 | |
| W3P1N2 | 60% | 0 | 0.45 | 60% | 0 | 0.45 | 60% | 0 | 0.45 | 60% | 0 | 0.45 | |
| W3P4N4 | 60% | 0.6 | 1.2 | 60% | 0.6 | 1.2 | 60% | 0.6 | 1.2 | 60% | 0.6 | 1.2 | |
| W3P3N4 | 60% | 0.4 | 1.8 | 60% | 0.4 | 1.8 | 60% | 0.4 | 1.8 | 60% | 0.4 | 1.8 | |
| W4P2N2 | 80% | 0.15 | 0.45 | 80% | 0.15 | 0.45 | 80% | 0.15 | 0.45 | 80% | 0.15 | 0.45 | |
| W4P3N3 | 80% | 0.4 | 1.2 | 80% | 0.4 | 1.2 | 80% | 0.4 | 1.2 | 80% | 0.4 | 1.2 | |
| W4P4N4 | 80% | 0.6 | 1.8 | 80% | 0.6 | 1.8 | 80% | 0.6 | 1.8 | 80% | 0.6 | 1.8 | |
| W4P1N1 (CK) | 80% | 0 | 0 | 80% | 0 | 0 | 80% | 0 | 0 | 80% | 0 | 0 | |
| Water potential | K1 | −1.435 | −1.825 | −1.570 | −1.538 | −1.645 | −1.555 | −1.567 | −1.490 | −1.345 | −1.475 | −1.510 | −1.237 |
| K2 | −1.275 | −1.573 | −1.577 | −1.877 | −1.822 | −1.587 | −1.367 | −1.502 | −1.327 | −1.468 | −1.385 | −1.285 | |
| K3 | −1.348 | −1.425 | −1.502 | −1.955 | −1.810 | −1.757 | −1.493 | −1.400 | −1.400 | −1.472 | −1.488 | −1.468 | |
| K4 | −1.592 | −1.327 | −1.500 | −1.775 | −1.867 | −2.245 | −1.438 | −1.472 | −1.792 | −1.425 | −1.458 | −1.850 | |
| Range value | 0.817 | 0.498 | 0.077 | 0.417 | 0.222 | 0.690 | 0.200 | 0.102 | 0.465 | 0.752 | 0.125 | 0.313 | |
| Factor priority order | W > P > N | N > W > P | N > W > P | W > N > P | |||||||||
| Optimal treatment | W2P4N4 | W1P1N2 | W2P3N2 | W4P2N1 | |||||||||
| P × N | 18.032 ** | 61.091 ** | 31.142 ** | 33.852 ** | |||||||||
| P × W | 38.841 ** | 29.123 ** | 10.502 ** | 4.471 ** | |||||||||
| N × W | 71.484 ** | 33.122 ** | 10.673 ** | 4.010 ** | |||||||||
| Chlorophyll | K1 | 17.887 | 19.877 | 19.078 | 29.532 | 25.148 | 25.285 | 37.918 | 29.907 | 28.345 | 39.685 | 31.680 | 33.383 |
| K2 | 20.258 | 19.453 | 19.463 | 29.232 | 33.065 | 26.502 | 31.460 | 36.102 | 30.807 | 35.915 | 37.030 | 32.848 | |
| K3 | 21.715 | 20.547 | 19.590 | 31.682 | 32.460 | 33.293 | 31.080 | 37.200 | 39.445 | 35.813 | 43.190 | 42.580 | |
| K4 | 18.588 | 18.570 | 20.317 | 32.050 | 31.825 | 37.418 | 37.813 | 37.060 | 41.672 | 40.654 | 40.170 | 43.260 | |
| Range value | 3.828 | 1.977 | 1.239 | 2.818 | 7.917 | 12.133 | 6.458 | 7.293 | 13.327 | 4.844 | 11.510 | 10.412 | |
| Factor priority order | W > P > N | N > P > W | N > P > W | P > N > W | |||||||||
| Optimal treatment | W2P3N4 | W4P2N4 | W1P3N4 | W4P3N4 | |||||||||
| P × N | 2.362 ** | 42.341 ** | 28.314 ** | 24.823 ** | |||||||||
| P × W | 2.693 ** | 26.655 ** | 11.083 ** | 18.344 ** | |||||||||
| N × W | 7.070 ** | 16.183 ** | 7.171 ** | 5.981 ** | |||||||||
| Flavonoid substance | K1 | 0.730 | 0.927 | 0.878 | 0.900 | 1.268 | 1.063 | 1.020 | 1.363 | 1.275 | 1.085 | 1.435 | 1.328 |
| K2 | 0.970 | 0.960 | 0.845 | 1.080 | 1.093 | 1.090 | 1.270 | 1.205 | 1.175 | 1.338 | 1.232 | 1.248 | |
| K3 | 0.980 | 0.870 | 0.975 | 1.250 | 1.052 | 1.103 | 1.540 | 1.177 | 1.370 | 1.375 | 1.230 | 1.202 | |
| K4 | 0.950 | 0.865 | 0.925 | 1.110 | 0.932 | 1.090 | 1.220 | 1.307 | 1.232 | 1.248 | 1.147 | 1.268 | |
| Range value | 0.240 | 0.095 | 0.130 | 0.350 | 0.336 | 0.040 | 0.520 | 0.186 | 0.195 | 0.290 | 0.288 | 0.126 | |
| Factor priority order | W > N > P | W > P > N | W > N > P | W > P > N | |||||||||
| Optimal treatment | W3P2N3 | W3P1N3 | W3P1N3 | W3P1N1 | |||||||||
| P × N | 12.361 ** | 12.682 ** | 6.705 ** | 13.192 ** | |||||||||
| P × W | 10.450 ** | 22.280 ** | 8.843 ** | 19.262 ** | |||||||||
| N × W | 23.150 ** | 22.662 ** | 27.611 ** | 19.664 ** | |||||||||
| Anthocyanin | K1 | 0.220 | 0.190 | 0.195 | 0.100 | 0.060 | 0.113 | 0.180 | 0.092 | 0.133 | 0.110 | 0.427 | 0.223 |
| K2 | 0.150 | 0.230 | 0.223 | 0.095 | 0.092 | 0.105 | 0.208 | 0.210 | 0.247 | 0.247 | 0.320 | 0.363 | |
| K3 | 0.220 | 0.238 | 0.182 | 0.172 | 0.170 | 0.130 | 0.140 | 0.237 | 0.172 | 0.365 | 0.148 | 0.263 | |
| K4 | 0.260 | 0.183 | 0.240 | 0.103 | 0.158 | 0.122 | 0.220 | 0.198 | 0.185 | 0.335 | 0.162 | 0.210 | |
| Range value | 0.110 | 0.055 | 0.070 | 0.077 | 0.100 | 0.025 | 0.070 | 0.145 | 0.114 | 0.255 | 0.279 | 0.153 | |
| Factor priority order | W > N > P | P > W > N | P > N > W | P > W > N | |||||||||
| Optimal treatment | W4P3N4 | W3P3N3 | W4P3N2 | W3P1N2 | |||||||||
| P × N | 32.451 ** | 20.204 ** | 190.852 ** | 120.211 ** | |||||||||
| P × W | 33.322 ** | 145.225 ** | 213.643 ** | 222.784 ** | |||||||||
| N × W | 63.166 ** | 80.413 ** | 163.504 ** | 169.862 ** | |||||||||
| Treatment | Normalized Decision Matrix | Euclidean Distance (10−3) | Relative Proximity Coefficient | Rank | ||||
|---|---|---|---|---|---|---|---|---|
| Water Potential | Chlorophyll | Flavonoids | Anthocyanin | Positive Ideal Solution Distance (D+) | Negative Ideal Solution Distance (D−) | Relative Proximity (C) | ||
| W1P4N1 | −2.110 | 39.480 | 1.250 | 0.300 | 11.089 | 18.733 | 0.628 | 6 |
| W1P3N2 | −1.810 | 39.120 | 1.310 | 0.200 | 12.541 | 16.667 | 0.571 | 9 |
| W1P2N3 | −1.680 | 44.340 | 1.370 | 0.160 | 10.712 | 20.162 | 0.653 | 5 |
| W1P1N4 | −1.800 | 50.100 | 1.140 | 0.180 | 12.035 | 25.182 | 0.677 | 4 |
| W2P3N1 | −1.390 | 30.860 | 1.470 | 0.440 | 20.477 | 9.905 | 0.326 | 13 |
| W2P1N3 | −1.540 | 46.200 | 1.280 | 0.350 | 13.585 | 21.207 | 0.610 | 7 |
| W2P4N1 | −1.320 | 46.700 | 1.000 | 0.100 | 4.026 | 25.223 | 0.862 | 1 |
| W2P2N4 | −1.620 | 46.560 | 1.060 | 0.160 | 8.790 | 22.579 | 0.720 | 3 |
| W3P2N1 | −1.410 | 27.250 | 1.570 | 0.640 | 25.361 | 4.673 | 0.156 | 15 |
| W3P1N2 | −1.230 | 37.200 | 1.120 | 0.480 | 19.043 | 12.183 | 0.390 | 11 |
| W3P4N4 | −1.280 | 37.740 | 1.000 | 0.030 | 12.429 | 18.880 | 0.603 | 8 |
| W3P3N4 | −1.220 | 29.200 | 1.300 | 0.300 | 21.284 | 11.780 | 0.356 | 12 |
| W4P2N2 | −1.180 | 25.100 | 1.500 | 0.500 | 26.926 | 5.134 | 0.160 | 14 |
| W4P3N3 | −1.450 | 44.480 | 1.270 | 0.050 | 7.558 | 21.820 | 0.743 | 2 |
| W4P4N4 | −1.190 | 34.820 | 1.090 | 0.010 | 15.301 | 17.898 | 0.539 | 10 |
| W4P1N1 (CK) | −1.130 | 29.130 | 1.450 | 0.330 | 25.785 | 4.184 | 0.140 | 16 |
| Treatment | Pn | WUE | Tr | Ls | Gs | Ci | CE | ||||||||||||||
|---|---|---|---|---|---|---|---|---|---|---|---|---|---|---|---|---|---|---|---|---|---|
| W | P | N | W | P | N | W | P | N | W | P | N | W | P | N | W | P | N | W | P | N | |
| W1P4N1 | 20% | 0.6 | 0 | 20% | 0.6 | 0 | 20% | 0.6 | 0 | 20% | 0.6 | 0 | 20% | 0.6 | 0 | 20% | 0.6 | 0 | 20% | 0.6 | 0 |
| W1P3N2 | 20% | 0.4 | 0.45 | 20% | 0.4 | 0.45 | 20% | 0.4 | 0.45 | 20% | 0.4 | 0.45 | 20% | 0.4 | 0.45 | 20% | 0.4 | 0.45 | 20% | 0.4 | 0.45 |
| W1P2N3 | 20% | 0.15 | 1.2 | 20% | 0.15 | 1.2 | 20% | 0.15 | 1.2 | 20% | 0.15 | 1.2 | 20% | 0.15 | 1.2 | 20% | 0.15 | 1.2 | 20% | 0.15 | 1.2 |
| W1P1N4 | 20% | 0 | 1.8 | 20% | 0 | 1.8 | 20% | 0 | 1.8 | 20% | 0 | 1.8 | 20% | 0 | 1.8 | 20% | 0 | 1.8 | 20% | 0 | 1.8 |
| W2P3N1 | 40% | 0.4 | 0 | 40% | 0.4 | 0 | 40% | 0.4 | 0 | 40% | 0.4 | 0 | 40% | 0.4 | 0 | 40% | 0.4 | 0 | 40% | 0.4 | 0 |
| W2P1N3 | 40% | 0 | 1.2 | 40% | 0 | 1.2 | 40% | 0 | 1.2 | 40% | 0 | 1.2 | 40% | 0 | 1.2 | 40% | 0 | 1.2 | 40% | 0 | 1.2 |
| W2P4N1 | 40% | 0.6 | 0.45 | 40% | 0.6 | 0.45 | 40% | 0.6 | 0.45 | 40% | 0.6 | 0.45 | 40% | 0.6 | 0.45 | 40% | 0.6 | 0.45 | 40% | 0.6 | 0.45 |
| W2P2N4 | 40% | 0.15 | 1.8 | 40% | 0.15 | 1.8 | 40% | 0.15 | 1.8 | 40% | 0.15 | 1.8 | 40% | 0.15 | 1.8 | 40% | 0.15 | 1.8 | 40% | 0.15 | 1.8 |
| W3P2N1 | 60% | 0.15 | 0 | 60% | 0.15 | 0 | 60% | 0.15 | 0 | 60% | 0.15 | 0 | 60% | 0.15 | 0 | 60% | 0.15 | 0 | 60% | 0.15 | 0 |
| W3P1N2 | 60% | 0 | 0.45 | 60% | 0 | 0.45 | 60% | 0 | 0.45 | 60% | 0 | 0.45 | 60% | 0 | 0.45 | 60% | 0 | 0.45 | 60% | 0 | 0.45 |
| W3P4N4 | 60% | 0.6 | 1.2 | 60% | 0.6 | 1.2 | 60% | 0.6 | 1.2 | 60% | 0.6 | 1.2 | 60% | 0.6 | 1.2 | 60% | 0.6 | 1.2 | 60% | 0.6 | 1.2 |
| W3P3N4 | 60% | 0.4 | 1.8 | 60% | 0.4 | 1.8 | 60% | 0.4 | 1.8 | 60% | 0.4 | 1.8 | 60% | 0.4 | 1.8 | 60% | 0.4 | 1.8 | 60% | 0.4 | 1.8 |
| W4P2N2 | 80% | 0.15 | 0.45 | 80% | 0.15 | 0.45 | 80% | 0.15 | 0.45 | 80% | 0.15 | 0.45 | 80% | 0.15 | 0.45 | 80% | 0.15 | 0.45 | 80% | 0.15 | 0.45 |
| W4P3N3 | 80% | 0.4 | 1.2 | 80% | 0.4 | 1.2 | 80% | 0.4 | 1.2 | 80% | 0.4 | 1.2 | 80% | 0.4 | 1.2 | 80% | 0.4 | 1.2 | 80% | 0.4 | 1.2 |
| W4P4N4 | 80% | 0.6 | 1.8 | 80% | 0.6 | 1.8 | 80% | 0.6 | 1.8 | 80% | 0.6 | 1.8 | 80% | 0.6 | 1.8 | 80% | 0.6 | 1.8 | 80% | 0.6 | 1.8 |
| W4P1N1 (CK) | 80% | 0 | 0 | 80% | 0 | 0 | 80% | 0 | 0 | 80% | 0 | 0 | 80% | 0 | 0 | 80% | 0 | 0 | 80% | 0 | 0 |
| K1 | 1.945 | 1.732 | 2.842 | 4.002 | 4.223 | 3.882 | 0.448 | 0.405 | 0.665 | 0.348 | 0.357 | 0.33 | 22.47 | 20.66 | 34.782 | 260.92 | 256.68 | 268.105 | 0.009 | 0.007 | 0.011 |
| K2 | 1.78 | 1.567 | 3.172 | 3.325 | 3.065 | 4.602 | 0.425 | 0.398 | 0.676 | 0.285 | 0.273 | 0.38 | 21.948 | 20.058 | 34.882 | 285.675 | 291.612 | 248.462 | 0.007 | 0.006 | 0.013 |
| K3 | 3.302 | 3.71 | 2.012 | 4.03 | 4.69 | 3.987 | 0.65 | 0.76 | 0.388 | 0.338 | 0.39 | 0.34 | 34.62 | 39.805 | 19.688 | 265.465 | 243.718 | 263.283 | 0.014 | 0.016 | 0.009 |
| K4 | 1.777 | 1.795 | 0.777 | 4.353 | 3.732 | 3.237 | 0.403 | 0.363 | 0.208 | 0.363 | 0.313 | 0.282 | 20.657 | 19.172 | 10.442 | 254.33 | 274.38 | 286.54 | 0.007 | 0.008 | 0.003 |
| Range value | 1.525 | 2.143 | 2.395 | 1.028 | 1.625 | 1.365 | 0.247 | 0.397 | 0.457 | 0.078 | 0.117 | 0.098 | 13.963 | 20.633 | 24.34 | 31.345 | 47.894 | 38.078 | 0.007 | 0.01 | 0.02 |
| Factor priority order | N > P > W | P > N > W | N > P > W | P > N > W | N > P > W | P > N > W | N > P > W | ||||||||||||||
| Optimal treatment | W3P3N2 | W4P3N2 | W3P3N2 | W4P3N2 | W3P3N2 | W2P2N4 | W3P3N2 | ||||||||||||||
| P × N | 379.845 ** | 180.721 ** | 246.079 ** | 160.741 ** | 208.966 ** | 33.598 ** | 39.423 ** | ||||||||||||||
| P × W | 365.009 ** | 180.110 ** | 208.915 ** | 162.312 ** | 177.473 ** | 34.008 ** | 32.385 ** | ||||||||||||||
| N × W | 351.661 ** | 177.516 ** | 163.955 ** | 159.927 ** | 148.045 ** | 33.425 ** | 38.604 ** | ||||||||||||||
| Treatment | Normalized Decision Matrix | Euclidean Distance (10−3) | Relative Proximity Coefficient | Rank | |||||||
|---|---|---|---|---|---|---|---|---|---|---|---|
| Pn | Tr | WUE | Ci | CE | Ls | Gs | Positive Ideal Solution Distance (D+) | Negative Ideal Solution Distance (D−) | Relative Proximity (C) | ||
| W1P4N1 | 1.39 | 0.28 | 5.02 | 234.86 | 0.0059 | 0.41 | 14.34 | 143.981 | 50.078 | 0.258 | 11 |
| W1P3N2 | 0.02 | 0.06 | 0.31 | 376.78 | 0.0001 | 0.06 | 2.93 | 99.903 | 89.34 | 0.472 | 4 |
| W1P2N3 | 1.18 | 0.37 | 3.20 | 287.88 | 0.0041 | 0.28 | 18.66 | 120.332 | 70.876 | 0.371 | 8 |
| W1P1N4 | 0.52 | 0.12 | 4.42 | 246.64 | 0.0021 | 0.38 | 5.84 | 143.571 | 47.483 | 0.249 | 12 |
| W2P3N1 | 2.33 | 0.45 | 5.17 | 223.05 | 0.0104 | 0.44 | 22.43 | 126.042 | 63.017 | 0.333 | 9 |
| W2P1N3 | 4.67 | 0.77 | 6.03 | 199.53 | 0.0234 | 0.50 | 39.37 | 100.814 | 89.995 | 0.472 | 5 |
| W2P4N1 | 0.99 | 0.26 | 3.87 | 268.35 | 0.0037 | 0.33 | 13.16 | 128.17 | 80.172 | 0.385 | 7 |
| W2P2N4 | 0.06 | 0.07 | 0.88 | 362.20 | 0.0002 | 0.09 | 3.79 | 63.921 | 162.821 | 0.718 | 2 |
| W3P2N1 | 2.41 | 0.55 | 4.37 | 256.55 | 0.0094 | 0.36 | 29.03 | 159.721 | 32.04 | 0.167 | 16 |
| W3P1N2 | 1.79 | 0.56 | 3.23 | 285.25 | 0.0063 | 0.29 | 27.83 | 62.91 | 177.483 | 0.738 | 1 |
| W3P4N4 | 3.31 | 0.68 | 4.85 | 238.74 | 0.0138 | 0.40 | 35.17 | 111.084 | 79.247 | 0.416 | 6 |
| W3P3N4 | 5.18 | 0.87 | 5.96 | 213.31 | 0.0243 | 0.47 | 47.10 | 164.499 | 48.182 | 0.227 | 13 |
| W4P2N2 | 3.47 | 0.71 | 4.85 | 236.07 | 0.0147 | 0.41 | 36.31 | 179.576 | 37.24 | 0.172 | 15 |
| W4P3N3 | 5.68 | 1.22 | 4.68 | 248.72 | 0.0229 | 0.38 | 65.02 | 141.263 | 52.964 | 0.273 | 10 |
| W4P4N4 | 1.42 | 0.39 | 3.65 | 275.37 | 0.0052 | 0.31 | 19.96 | 82.149 | 113.604 | 0.58 | 3 |
| W4P1N1 (CK) | 0.80 | 0.34 | 2.33 | 312.26 | 0.0026 | 0.22 | 16.84 | 150.797 | 39.33 | 0.207 | 14 |
Disclaimer/Publisher’s Note: The statements, opinions and data contained in all publications are solely those of the individual author(s) and contributor(s) and not of MDPI and/or the editor(s). MDPI and/or the editor(s) disclaim responsibility for any injury to people or property resulting from any ideas, methods, instructions or products referred to in the content. |
© 2024 by the authors. Licensee MDPI, Basel, Switzerland. This article is an open access article distributed under the terms and conditions of the Creative Commons Attribution (CC BY) license (https://creativecommons.org/licenses/by/4.0/).
Share and Cite
He, Z.; Sun, Y.; Peng, L.; Luo, Z.; Qi, J.; Li, X.; Duan, X.; Ou, Z. Comparative Study of Water and Fertilizer Regimes on Water Potential, Phenolic Substances, and Photosynthetic Characteristics of Pistacia weinmannifolia. Horticulturae 2024, 10, 1302. https://doi.org/10.3390/horticulturae10121302
He Z, Sun Y, Peng L, Luo Z, Qi J, Li X, Duan X, Ou Z. Comparative Study of Water and Fertilizer Regimes on Water Potential, Phenolic Substances, and Photosynthetic Characteristics of Pistacia weinmannifolia. Horticulturae. 2024; 10(12):1302. https://doi.org/10.3390/horticulturae10121302
Chicago/Turabian StyleHe, Zhenmin, Yongyu Sun, Lingxiao Peng, Zhifeng Luo, Jianhua Qi, Xiangfei Li, Xingwu Duan, and Zhaorong Ou. 2024. "Comparative Study of Water and Fertilizer Regimes on Water Potential, Phenolic Substances, and Photosynthetic Characteristics of Pistacia weinmannifolia" Horticulturae 10, no. 12: 1302. https://doi.org/10.3390/horticulturae10121302
APA StyleHe, Z., Sun, Y., Peng, L., Luo, Z., Qi, J., Li, X., Duan, X., & Ou, Z. (2024). Comparative Study of Water and Fertilizer Regimes on Water Potential, Phenolic Substances, and Photosynthetic Characteristics of Pistacia weinmannifolia. Horticulturae, 10(12), 1302. https://doi.org/10.3390/horticulturae10121302
