Abstract
Low biomass yield and nutrient removal efficiency are problems challenging the employment of microorganisms for wastewater remediation. Starch processing effluent (SPE) was used as a fermentation substrate to co-culture Chlorella vulgaris and Rhodotorula glutinis for biofuel feedstock production. Co-culture options were compared, and the optimal conditions were identified. The result shows that microalgae and yeast should be inoculated simultaneously at the beginning of SPE-based fermentation to achieve high biomass yield and the optimal inoculation ratio, light intensity, and temperature should be 2:1, 150 μmol/m2/s, and 25 °C, respectively. Under the optimal conditions, the lipid yield of microorganisms was 1.81 g/L and the carbon–conversion ratio reached 82.53% while lipid yield and the carbon–conversion ratio in a monoculture fell in the range of 0.79–0.81 g/L and 55.93–62.61%, respectively. Therefore, compared to the monoculture model, the co-fermentation of Chlorella vulgaris and Rhodotorula glutinis in starch processing effluent could convert nutrients to single-cell oil in a more efficient way. It should be noted that with the reduced concentration of residual organic carbon in effluent and the increased carbon–conversion ratio, co-fermentation of microalgae and yeast can be regarded as a promising and applicable strategy for starch processing effluent remediation and low-cost biofuel feedstock production.
1. Introduction
Biofuel is regarded as an environmentally friendly energy for the sustainable development of human society [1]. It is expected that with the wide use of biofuel in agriculture, industry, and transportation, global CO2 emission can be reduced and greenhouse effect can be attenuated [2,3]. In the past decades, researchers have devoted a lot of efforts to developing technologies to produce biofuel feedstock with low cost and high quality [4,5]. To our knowledge, due to the high biomass productivity of microorganisms and the easy access to wastewater, cultivation of oleaginous microorganisms in wastewater to produce single-cell oil (SCO) as biofuel feedstock is emerging into the limelight [4,6].
Previous studies mainly focused on the screening of oil-rich microorganisms, selection of wastewater, optimization of operational parameters, and techno-economic analysis [6,7,8]. Up to now, microorganisms, which have been adopted to produce biofuel feedstock, include fungi (e.g., Aspergillus sp., Mortierella isabellina, etc.), microalgae (e.g., Nannochloropsis oceanica, Chlorella sp., Scenedesmus sp., etc.), and yeasts (e.g., Rhodotorula glutinis, Lipomyces sp., Rhodosporidium sp., etc.) [9,10,11,12]. In addition, wastewater from a variety of sources, such as the food processing industry, animal manure, and aquaculture, has been employed for the cultivation of oil-rich microorganisms [13,14,15]. Lastly, some key operational parameters, including inoculation density, temperature, culture period, and so on, of microorganism cultivation in wastewater have been optimized to enhance the production of SCO as a biofuel feedstock.
As a type of food industry effluent, starch processing effluent (SPE) is enriched with a variety of nutrients, including organic carbon, phosphorus, and nitrogen [16]. In practice, delivering SPE without appropriate treatment can result in serious environmental pollution. In recent years, in order to solve the discharge of SPE, SPE is intensively employed as a nutrient-rich substrate for the microorganism fermentation [17,18]. On the one hand, microorganisms’ fermentation can assimilate nutrients, attenuating the potential threats of SPE to the environment. On the other hand, high-value biomass can be obtained by the end of SPE-based fermentation, providing low-cost feedstock for biofuel production. The environmental and economic benefits of SPE-based microorganism fermentation have attracted the attention of researchers from academia and industry [19].
To promote the wide application of SPE-based microorganism fermentation for simultaneous wastewater treatment and biomass production, we propose a promising strategy of co-fermenting microalgae with oleaginous yeast in SPE. Major questions addressed by this work include: (1) what are the weaknesses of the monoculture of yeast and algae in SPE? (2) what are the optimal conditions of the co-fermentation of yeast and microalgae in SPE? (3) how can the co-fermentation strategy contribute to the reduction of total carbon emissions? In our view, the major innovative point of this work is that a carbon-reducing strategy is developed for SPE remediation and biofuel feedstock production by co-fermenting microalgae with yeast. The results of this work not only improve the biomass productivity and nutrient removal rate in SPE-based fermentation but also reduce the carbon emission of the fermentation process. Based on the innovations of this work, an eco-friendly and profitable technical route will be widely industrialized in the coming future to meet the growing demand for low-cost biofuel feedstock worldwide.
2. Materials and Methods
2.1. Wastewater and Microbial Species
SPE was obtained from a local farm (Zhenjiang, China) and pretreated by centrifugation at 7000 rpm for 10 min to remove a portion of large-sized suspended solids. Then, SPE was temporarily preserved in a refrigerator at 4 °C. Before the experiment, SPE was autoclaved to rule out the effects of wastewater-borne bacteria/fungi on experimental results. The parameters of water quality of the treated SPE used for the experiment are shown in Table 1. To prevent the harmful effects of acidic conditions on algae and yeast, the pH of SPE was adjusted to 6.5 before the inoculation of microorganisms.
Table 1.
Characteristics of starch processing effluent.
2.2. Experimental Design
As shown in Figure 1, this study was carried out in four steps: (1) Chlorella vulgaris and Rhodotorula glutinis were cultured individually in SPE to evaluate the biomass production and nutrient removal of monoculture of alga or yeast in the fermentation process; (2) Three options for microorganism inoculation were compared and evaluated based on the performance of microorganism growth and nutrients recovery in SPE-based fermentation; (3) critical parameters, including inoculation density, light intensity, and temperature, were optimized and their interrelations with biomass yield, nutrients recovery, and carbon transport were analyzed; (4) lipid productivity and carbon transport of microorganism fermentation in SPE under the optimal conditions were studied. Based on this study, a novel carbon-reducing strategy of co-fermenting Chlorella vulgaris with Rhodotorula glutinis in SPE for simultaneous wastewater remediation and biofuel feedstock production is developed.
Figure 1.
Experimental procedure.
All the experiments and tests were conducted in triplicate and the results were expressed as mean ± standard deviation.
2.3. Monoculture of Microorganism in the SPE
To evaluate the effects of monoculture of microorganisms on wastewater remediation, Chlorella vulgaris and Rhodotorula glutinis were cultivated in the SPE individually with an initial biomass density of 0.20 g/L. In the experiment, 120 mL SPE was placed in a 200 mL Erlenmeyer flask which was rotated at a speed of 50 rpm on an electric shaker. The temperature was controlled at 15 ± 2 °C by the air conditioner. Light-emitting-diode (LED) lamps were put next to the flasks (The distance from the lamp to the flask was about 25 cm) and light intensity for microorganism culture was set as 150 μmol/m2/s. The fermentation period of microorganisms in SPE was 6 days. Biomass yields and nutrient removal during the fermentation process were measured daily. By the end of fermentation, microalgae and yeast were harvested for biomass composition analysis. Based on the carbon removal in SPE and carbon accumulation in microbial biomass, carbon transports in the fermentation process were estimated.
2.4. Assessment of Co-Culture Options
As shown in Figure 1, there are three options for the co-culture of microalgae and yeast in the SPE. In Option 1, microalgae were inoculated on Day 3 after yeast growth in the SPE. In Option 2, yeast was inoculated on Day 3 after microalgae growth in the SPE. In Option 3, microalgae and yeast were inoculated simultaneously at the beginning of SPE-based fermentation. The inoculation densities of microalgae and yeast in the co-culture system were controlled at about 0.1 g/L. In the experiment, the temperature was controlled at around 15 ± 2 °C, and light intensity was set at 150 μmol/m2/s. The performance of each co-culture option was evaluated according to biomass yield, lipid productivity, and nutrient removal in the SPE. The optimal co-culture option was identified for the following experiment.
2.5. Optimization of Critical Fermentation Parameters
Three major factors, including inoculation ratio (0.5, 1, 2, and 4), light intensity (0, 75, 150, and 225 μmol/m2/s), and temperature (5, 15, 25, and 35 °C), were optimized to enhance the SPE-based fermentation. The inoculation ratio refers to the ratio of algal biomass density (g/L) to yeast biomass density (g/L). The total inoculation density of microalgae and yeast was controlled at around 0.2 g/L.
After the experiment of parameters optimization, microalgae, and yeast were co-cultured under the optimal conditions for the SPE-based fermentation. Biomass yield, major compositions, and fatty acids profile were measured. Fatty acids profile and lipid productivity of co-culture microorganisms were compared with those of traditional oil-rich crops to evaluate the advantages of the SPE-based fermentation for biofuel feedstock production.
2.6. Parameters Analysis
2.6.1. Water Quality Analysis
Concentrations of nutrients, including total organic carbon (TOC), chemical oxygen demand (COD), total nitrogen (TN), total phosphorus (TP), and total ammonia nitrogen (TAN), were measured daily by using the analysis kits (Hach). The concentrations of nutrients were expressed as mg/L. The nutrient removal efficiency was calculated according to Equation (1).
where R is the nutrient removal efficiency; N0 and Nt refer to the concentration (mg/L) of a certain nutrient on Day 0 and Day t, respectively.
2.6.2. Biomass Yield Measurement
In this work, a 5 mL sample was centrifugated to separate microbial biomass from the SPE. Harvested biomass was dried at 105 °C in an oven for 10 h. The biomass yield of microorganisms was calculated according to the previously published method [15]. TVSSs (Total volatile suspended solids) were measured to reflect the biomass yield in the SPE-based fermentation. The biomass yield of the fermentation was expressed as g/L.
2.6.3. Biomass Component Analysis
Carbon content, protein content, lipid content, and fatty acids profile of microbial biomass were major components analyzed by this work.
Microbial biomass was harvested and then subjected to dehydration in vacuum dryer before the analysis of carbon content. Carbon content in microbial biomass was identified by using the elemental analyzer (ThermoFisher, Waltham, MA, USA). The analysis procedure was performed according to the instrument manual.
Protein content was calculated based on the measurement of nitrogen content in biomass. In this study, the measurement of nitrogen content in microbial biomass was conducted by using an elemental analyzer. The conversion factor of nitrogen-to-protein was set as 6.25 [15].
Lipid in biomass was extracted by using the mixed chloroform/methanol and the extraction was conducted in a water bath for 15 min. The extraction was conducted for three times and extracted lipid was separated from the organic solvent by nitrogen-gas drying. Then, lipid was weighted, and lipid content was calculated accordingly [15,20].
The fatty acids profile in biomass was measured by using a gas chromatograph-mass spectrometer (GC-MS). According to a preliminary experiment, long-chain fatty acids with 16 and 18 carbon atoms in the carbon skeleton are the major components in the fatty acids profile. Hence, standards of palmitic acid (C16:0), palmitoleic acid (C16:1), stearic acid (C18:0), oleic acid (C18:1), and linoleic acid (C18:2) were used for the quantification of major fatty acids in microbial lipid. The analysis was conducted according to the method documented by the previous study [21].
2.6.4. Estimation of Carbon Transport in the SPE-Based Fermentation
To reflect the carbon transport from wastewater to microbial biomass in the SPE-based fermentation, three important items, including carbon–conversion ratio, overall carbon–conversion ratio, and net carbon emission, are considered. Firstly, the carbon–conversion ratio refers to the ratio of carbon accumulated in microbial biomass to carbon removed from the SPE. Secondly, the overall carbon–conversion ratio refers to the ratio of carbon accumulated in microbial biomass to carbon in the SPE. Thirdly, net carbon emission reflects the total amount of carbon that cannot be converted to biomass by microorganisms in the fermentation process. The aforementioned items were calculated according to Equation (2), Equation (3), and Equation (4), respectively.
where CCR is the carbon–conversion ratio of the SPE-based fermentation; OCCR is the overall carbon–conversion ratio of SPE-based fermentation; NCE is the net carbon emission; C refers to the carbon content in microbial biomass and W refers to the biomass yield (g/L) of microorganism cultured in SPE; TOC0 and TOCt refer to the concentration (mg/L) of TOC in SPE at the beginning of fermentation and the end of fermentation, respectively.
3. Results
3.1. Monoculture of Yeast and Algae
During the 6-day fermentation, mono-microalgae and mono-yeast grew well in the SPE, yielding biomass at a concentration of 1.68 and 2.39 g/L, respectively (Figure 2a). This result confirms that nutrients in the SPE could basically support the growth of both microalgae and yeast. It should be noted that microorganisms grew fast in the first 4 days while their growth rate decreased gradually after Day 4. This phenomenon is mainly attributed to the gradual depletion of digestible nutrients in the SPE. Based on Liebig’s law of the minimum, the exhaustion of one or more nutrients in digestible forms could prohibit the growth of microalgae in wastewater [15].

Figure 2.
Biomass production and nutrients removal in the monoculture of microalgae and yeast in the SPE; (a) Biomass yields of microalgae and yeast in 6-day culture; (b) Concentrations of residual nutrients, including TOC, TAN, TN, and TP, in the SPE with monocultured microalgae and yeast after 6-day fermentation; (c) Carbon content and lipid content in the biomass of microalgae and yeast; (d) Carbon transport in the monoculture of microalgae and yeast for SPE remediation.
Figure 2b demonstrates that the concentrations of residual nutrients in the SPE after 6-day fermentation. During the 6-day fermentation, yeast removed 63.31% TOC, 81.99% TAN, 49.06% TN, and 46.67% TP. By the end of fermentation, concentrations of TOC, TAN, TN, and TP remained in the SPE were 1020, 23.5, 136, and 15.2 mg/L, respectively. Compared with yeast, microalgae could not effectively reduce the concentration of TOC in the SPE. As shown in Figure 2b, by the end of fermentation, microalgae only removed 37.05% TOC while the concentration of residual TOC in the SPE reached 1750 mg/L. The low biomass yield of microalgae is mainly attributed to the poor performance of microalgae in the decomposition of solid organics in the SPE [22]. In this experiment, however, compared with yeast, microalgae had better performance in removing nitrogen (Figure 2b). Therefore, in the monoculture, both microalgae and yeast could not effectively remove all types of nutrients. In a real-world application, high concentrations of residual nutrients in SPE after yeast-based and microalgae-based remediation may pose a serious environmental problem.
As shown in Figure 2c, in monoculture, after the SPE remediation, carbon contents in microalgae and yeast reached 45.1% and 46.0%, respectively. The difference was observed in the lipid contents of microalgae and yeast, which contained 44.5% and 23.2% lipids, respectively. Such a difference in lipid content is mainly attributed to the different metabolisms in algal cells and yeast cells. Low lipid contents (20–30%) in yeast biomass were also observed by Rane, et al. (2021) that grew Rhodotorula glutinis in an MGYP medium with different carbon sources, including glucose, mixed sugars, and corn cob hydrolysate [23].
In a monoculture, yeast had a much better performance than microalgae in terms of carbon removal. As shown in Figure 2d, 63.31% of organic carbon in the SPE was removed by yeast while only 37.05% of organic carbon in the SPE was removed by microalgae, revealing the advantage of employing yeast for wastewater remediation. However, it should be noted that only 55.93% of removed organic carbon (ROC) was converted to yeast biomass carbon while microalgae converted 62.61% of ROC to biomass carbon. Therefore, although microalgae removed less organic carbon in the SPE than yeast, higher CCR was achieved in the monoculture of microalgae in comparison with a monoculture of yeast.
3.2. Assessment of Three Co-Culture Options
To identify the optimal co-culture options, microalgae and yeast were inoculated in the SPE according to the experimental design (Figure 1). As shown in Figure 3a, biomass yields of co-cultured microorganisms reached 2.48, 1.75, and 3.38 g/L, respectively, in Option 1, Option 2, and Option 3. In addition, the removal efficiency of TOC in Option 3 (74.91%) was much higher than that in Option 1 (62.73%) and Option 2 (36.53%) (Figure 3b). By the end of microorganism cultivation, concentrations of TOC remained in the SPE in Option 1, Option 2, and Option 3 were 1010, 1720, and 680 mg/L, respectively. Therefore, regarding biomass production and nutrient removal, Option 3 is an optimal choice for microorganism-based SPE remediation. In our view, the efficient removal of organic carbon in Option 3 was closely related to the fast growth of microorganisms in the SPE. Synergistic cooperation between microalgae and yeast is supposed to be established in Option 3 to promote the decomposition of organics in the SPE. Accordingly, with the organic’s decomposition and assimilation by microorganisms, a high biomass yield was achieved.

Figure 3.
Assessment of co-culture options (Option 1: Inoculation of yeast on Day 0 and inoculation of algae on Day 3; Option 2: Inoculation of algae on Day 0 and inoculation of yeast on Day 3; Option 3: Simultaneous inoculation of algae and yeast on Day 0) for microalgae and yeast in the SPE (a) Biomass yield; (b) Concentration of TOC; (c) Carbon transport in the SPE-based remediation.
The growth of microalgae (~0.20 g/L) and yeast (~0.17 g/L) was limited in Option 1 and Option 2, respectively, while biomass yields of algae and yeast in Option 3 reached 1.65 and 1.73 g/L (Figure 3c). This result indicates that Option 3 promoted the growth of both microalgae and yeast while the other two options (Option 1 and Option 2) could not support their co-growth.
The lipid yield of Option 3 was estimated to be around 1.14 g/L while those of Option 1 and Option 2 fell in a range of 0.62–0.74 g/L. Hence, the co-culture of microalgae and yeast via Option 3 not only increased biomass productivity but also yielded more microbial lipids. In a real-world application, the high lipid content in microorganisms increases the economic feasibility of using microbial biomass as feedstock for biofuel production. In terms of carbon transport, the input of microalgae positively promoted the conversion of carbon resources in the SPE to biomass, since the CCR in Option 1, Option 2, and Option 3, reached 54.93%, 59.25%, and 63.95%, respectively (Figure 3c). Therefore, the co-culture of microalgae and yeast in the SPE can be more favorable to both lipid production and carbon conversion than monoculture.
3.3. Evaluation of Critical Factors
Single factor experiments were conducted to evaluate the effects of aforementioned factors on microorganism growth and carbon resource recovery. Based on the experimental results, optimal conditions for the co-culture of Chlorella vulgaris and Rhodotorula glutinis in the SPE-based fermentation would be identified.
3.3.1. Inoculation Ratio
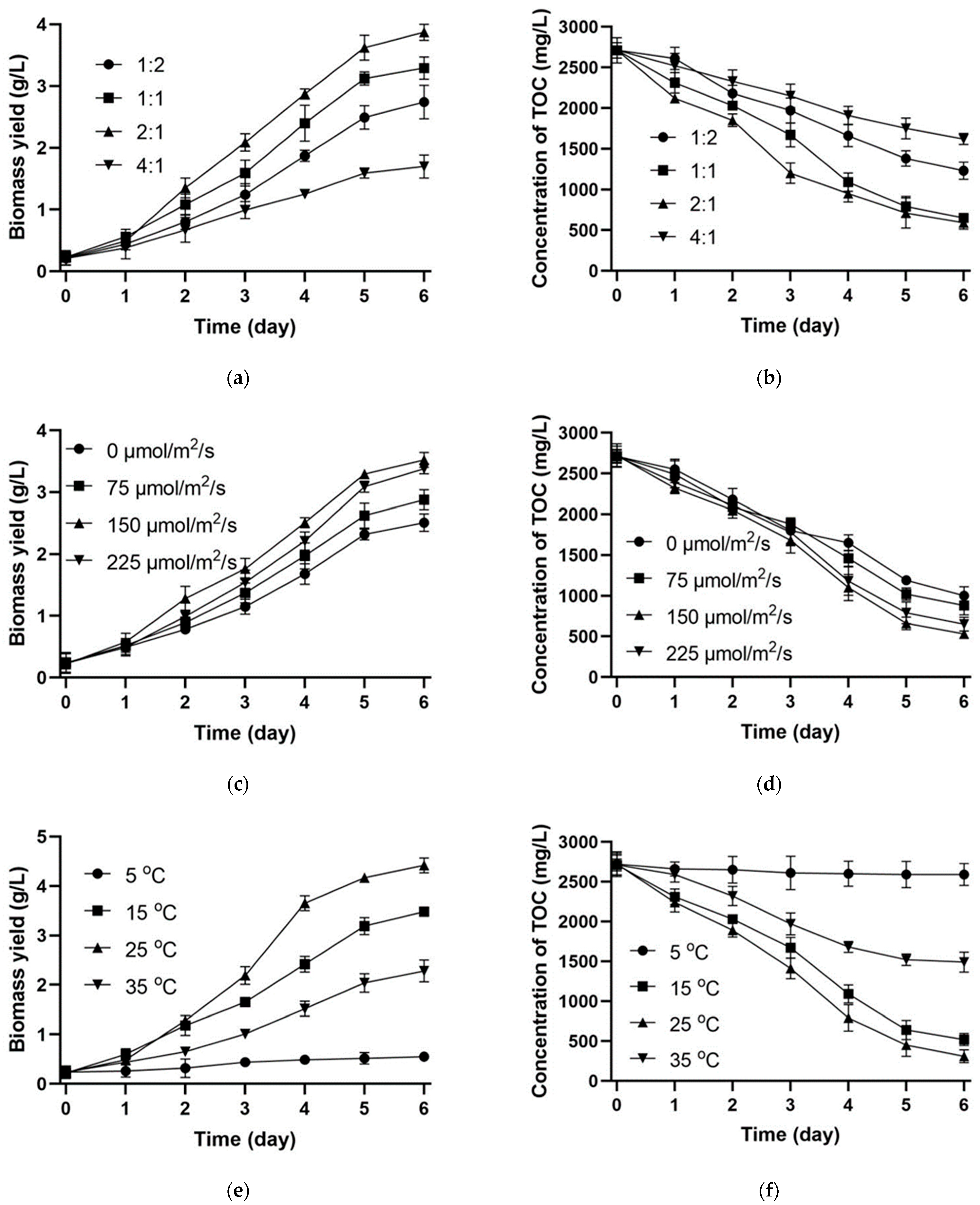
As shown in Figure 4a, when the inoculation ratio of algae to yeast was 0.5, 1, 2, and 4, the biomass yield of microorganisms co-cultured in the SPE reached 2.74, 3.29, 3.87, and 1.70, respectively. In addition, the removal efficiency of TOC in the SPE by algae and yeast reached 54.61%, 76.01%, 78.23%, and 40.22%, respectively, when the inoculation ratio of algae to yeast was 0.5, 1, 2, and 4 (Figure 4b). Although the increase in ratio from 1 to 2 did not dramatically improve TOC removal, it enhanced the biomass accumulation in the SPE-based fermentation. Hence, to achieve high biomass productivity and high removal efficiency of TOC, the inoculation ratio should be set at two.
Figure 4.
Effects of critical factors on microorganism growth and TOC removal in the SPE (a) Effect of inoculation ratio on microorganism growth; (b) Effect of inoculation ratio on the concentration of residual TOC; (c) Effect of light intensity on microorganism growth; (d) Effect of light intensity on the concentration of residual TOC; (e) Effect of temperature on microorganism growth; (f) Effect of temperature on the concentration of residual TOC.
3.3.2. Light Intensity
Figure 4c,d demonstrate that light intensity is another important factor that can influence the microorganism growth and TOC removal in the SPE fermentation, respectively. When the light intensity was 0, 75, 150, and 225 μmol/m2/s, the biomass yield of co-cultured algae and yeast reached 2.51, 2.88, 3.52, and 3.38 g/L, respectively (Figure 4c). Compared to no illumination, light intensity at 150 μmol/m2/s increased biomass yield by 40.24%. In addition, the removal efficiency of TOC was improved gradually with the increase of light intensity, reaching the highest value (80.51%) when the light intensity was 150 μmol/m2/s. Figure 4d shows that with the increase of light intensity from 150 to 225 μmol/m2/s, removal of TOC in the SPE was slightly limited. Therefore, concerning biomass production and TOC removal, 150 μmol/m2/s is regarded as an optimal light intensity for microalgae- and yeast-based SPE fermentation.
Previous studies demonstrated that the O2 production rate of microalgae was improved with the increase of light intensity in a certain range [24,25]. The enrichment of DO in the SPE is mainly attributed to the enhancement of microalgal photosynthesis under conditions with high light intensity. In addition, when light intensity increased from 0 to 225 μmol/m2/s, it was observed that the pH value of SPE increased dramatically, suggesting that Chlorella vulgaris became the dominant microorganism with the increase of light intensity. In situations with sufficient illumination, microalgal cells perform both heterotrophic growth and autotrophic growth [26,27], showing a great advantage over yeast cells. Therefore, light intensity is an important factor that could be adjusted to balance the ratio of microalgae to yeast in the SPE-based fermentation.
Based on the results of Figure 4c,d, in terms of biomass production and TOC removal, a light intensity of 150 μmol/m2/s is considered an optimal fermentation parameter.
3.3.3. Temperature
The increase in temperature from 5 to 25 °C promoted microorganism growth and TOC removal. As shown in Figure 4e, the biomass yield (4.42 g/L) of microorganisms grown at 25 °C was 703.64% higher than that (0.55 g/L) of microorganisms grown at 5 °C. In addition, the increase in temperature from 5 to 25 °C was accompanied by the improvement of TOC removal efficiency. Figure 4f demonstrates that TOC removal efficiency by the end of fermentation at 5 °C and 25 °C reached 4.78% and 88.60%, respectively. This phenomenon is mainly attributed to the low growth rate of microalgae and yeast at low temperatures.
Additionally, when the temperature reached 35 °C, both microorganism growth and TOC removal were negatively impacted (Figure 4e,f). Therefore, to achieve high biomass productivity and improve the SPE treatment effect, the temperature should be controlled within the appropriate range. Since both yeast growth and microalgae growth are positively correlated with temperature in an appropriate range, a temperature increase (5–25 °C) would boost the growth of two microorganisms, instead of disturbing their dynamic equilibrium in the fermentation process. Further, when the temperature reached 35 °C, the growth, and metabolisms of both yeast and microalgae were limited, resulting in lower biomass yield and TOC removal efficiency. According to the experimental results, in the co-culture system, the optimal temperature should be set at 25 °C.
3.4. Biomass for Biofuel Production
The optimized fermentation parameters were adopted to co-culture microalgae and yeast in the SPE for biomass production. Major compositions of harvested biomass are shown in Figure 5a. Lipid content (32.61%) in biomass from the Option 1 was lower than that (44.93%) in biomass from Option 2, suggesting that in the SPE fermentation, Chlorella vulgaris is a lipid-rich source.
Figure 5.
Composition of microbial biomass harvested from three culture options (Option 1: Inoculation of yeast on Day 0 and inoculation of algae on Day 3; Option 2: Inoculation of algae on Day 0 and inoculation of yeast on Day 3; Option 3: Simultaneous inoculation of algae and yeast on Day 0) (a) Lipid content in biomass; (b) Fatty acids profile.
As shown in Figure 5b, fatty acids profile of microalgae is similar to that of yeast. For example, oleic acid (C18:1), palmitic acid (C16:0), and linoleic acid (C18:2) are the major fatty acids in both microalgae and yeast. Compared to microalgae, co-cultured microorganisms contained higher contents of oleic acid, but lower contents of palmitic acid and linoleic acid. Figure 5b indicates that the percentage of palmitic acid, palmitoleic acid (C16:1), stearic acid (C18:0), oleic acid, linoleic acid, and linolenic acid (C18:3) in lipid of co-culture algae and yeast was 12.1%, 1.09%, 5.44%, 41.9%, 19.7%, 5.51%, and 14.26%, respectively. Regarding the structure of fatty acids profile, co-cultured algae with yeast have a high similarity with rapeseed, of which the oil is regarded as a good feedstock for biodiesel production [28].
3.5. Assessment of Carbon Emission of the SPE-Based Fermentation
Under the optimal conditions, co-culture microorganisms removed 88.60% of TOC in the SPE in the 6-day fermentation and yielded 4.42 g/L biomass with 45% carbon content (Figure 6). In 1 L SPE, 2410 mg organic carbon was removed and 1989 mg carbon was accumulated in microbial biomass. In this way, the carbon–conversion ratio of co-cultured algae and yeast in the SPE-based fermentation reached 82.53%. Compared to the co-cultured microorganisms, monoculture algae, and yeast only converted 62.61% and 55.93% of removed TOC to biomass. Therefore, the co-culture of microalgae with yeast has a greater advantage over the monoculture of microalgae and yeast regarding carbon conversion.
Figure 6.
Carbon transport in the SPE-based fermentation and interactions between microalgae and yeast under optimal conditions.
By the end of 6-day fermentation, TOC concentration in the co-cultured system was only 310 mg/L while those in monoculture systems of algae and yeast reached 1750 and 1020 mg/L, respectively. Based on the comparison of TOC concentrations, the co-culture of microalgae with yeast can be regarded as a more promising strategy than monoculture for SPE remediation. In a real-world application, the SPE after fermentation should be further treated by chemical oxidation methods, such as Fenton oxidation and sodium hypochlorite, to eliminate its potential threats to water environment. In the stage of secondary treatment, the SPE with lower concentration of residual TOC is expected to release less CO2 than that with higher concentration of residual TOC. Hence, co-culture of microalgae with yeast could lower the carbon emission of the SPE in the secondary treatment.
As shown in Figure 6, overall, 23.71% and 36.19% of TOC in the SPE were converted to microbial biomass in the monoculture of algae and yeast, respectively. However, in the co-culture system, OCCR was improved to 73.13%. By the end of fermentation with co-cultured microalgae and yeast, NCE was 0.731 g/L (Figure 6). In contrast, in the monoculture system, NCE fell from 1.776 to 2.123 g/L. Therefore, the co-culture strategy could reduce the NCE of the SPE-based fermentation by 58.84–65.57%. The comparison between NCEs of monoculture and co-culture systems suggests that the co-culture of Chlorella vulgaris with Rhodotorula glutinis could effectively reduce the concentrations of residual organic carbon, further lowering the NCE of the SPE-based fermentation.
4. Discussion
4.1. Monoculture of Microorganism for the SPE-Based Fermentation
Based on the performance of microalgae and yeast in the monoculture model (Figure 2), major points are summarized as follows: (1) in terms of biomass yield and carbon removal, yeast had better performance than microalgae; (2) monoculture of microalgae yielded biomass with higher lipid content and Chlorella vulgaris can be considered as a better microbial strain than Rhodotorula glutinis for lipid production; (3) in monoculture model, microalgae had higher CCR than yeast, revealing the advantages of employing microalgae for carbon recycling.
Monoculture of microalgae or yeast for wastewater fermentation and oil production has also been intensively studied by previous studies [29,30,31]. However, the monoculture strategy is challenged by a variety of technical problems, such as low removal efficiency of nutrients, low biomass yield, and intensive CO2 emission [32]. Considering the individual advantages of yeast and microalgae, herein, a concept of co-culturing Chlorella vulgaris and Rhodotorula glutinis is proposed to overcome the weaknesses of monocultures for SPE remediation. According to the experimental results, conditions of the co-culture system should be optimized to improve the biomass yield and nutrient removal. For example, when the inoculation ratio was 0.5, 1, and 4, the concentration of residual TOC in the SPE after the fermentation was 1230, 650, and 1620 mg/L, respectively (Figure 4b). This result suggests that under these conditions, microorganisms could not effectively assimilate the nutrients in the SPE. Further, the discharge of the treated SPE may pose a serious threat to the environment.
To improve the performance of co-cultured algae and yeast in the SPE treatment, both synergistic and antagonistic relations between algae and yeast should be taken into consideration. On the one hand, algae growth is accompanied by the alkalinization of the water environment while yeast growth decreases the pH value of the ambient environment by secreting acidic organic matter. The antagonistic relation between microalgae and yeast can be significantly amplified when microalgae density is much higher or lower than yeast density in the SPE. When Rhodotorula glutinis was the dominant species in the co-culture system, an acidic environment was formed [33], threatening the survival of Chlorella vulgaris. In contrast, the SPE became alkaline when Chlorella vulgaris was the dominant species [34], further negatively impacting the survival of Rhodotorula glutinis. On the other hand, yeast could promote the decomposition of suspended organics in SPE and provide CO2 and low-molecular-weight organic acids to microalgal cells [35,36,37]. At the same time, via photosynthesis, microalgae can continuously produce O2, which is essential to the metabolisms of yeast cells [38]. It is noteworthy that with the decomposition of suspended organics driven by yeast, the turbidity of the culture environment can be lowered, creating a better environment for microalgal photosynthesis and O2 production. In the co-culture system, the synergistic relation between microalgae and yeast might be undermined by the unbalanced inoculation ratio. Hence, an optimal inoculation ratio should be adopted to enhance the cooperation between microalgae and yeast for biomass production and nutrient removal.
4.2. Interactions between Microalgae and Yeast in Co-Culture System
Interactions between microalgae and yeast in the co-culture system are important to the performance of the SPE-based fermentation. According to previous studies [39,40], significant interactions between microalgae and yeast include the exchange of O2 and CO2, degradation of solid organics, and pH balance. Firstly, yeast consumes O2 and produces CO2 via heterotrophic metabolisms while microalgae assimilate CO2 and release O2 through photosynthesis. It was reported that with the accumulation of O2 in the culture medium, algal photosynthesis could be inhibited [41]. In addition, CO2 accumulation and O2 exhaustion are unfavorable to the heterotrophic metabolisms of yeast. In the co-culture system, O2 released by microalgae is assimilated by yeast for heterotrophic metabolisms while CO2 produced by yeast is captured by microalgae for photosynthetic metabolisms [39,40]. Thus, the synergistic relation between microalgae and yeast is established based on the exchange of O2 and CO2 [40]. With the attenuation of limiting factors, higher biomass yield was achieved in the co-culture of Chlorella vulgaris and Rhodotorula glutinis (Figure 2 and Figure 4). Since CO2 captured by algal photosynthesis could partially compensate for CO2 released by microbial respiration, OCCR was dramatically improved in the co-culture system (Figure 6). Secondly, some positive interactions between microalgae and yeast enhanced the decomposition of organics in SPE and promoted the conversion of carbon in the SPE to microbial biomass. For example, extracellular enzymes secreted by yeast could accelerate the degradation of suspended solid organics in the SPE [42]. With the conversion of solid organics to low-molecular-weight organics, microalgae were exposed to a nutrients-richer environment. According to previous studies, organic acids secreted by yeast could be assimilated by microalgae cells efficiently [43,44]. Additionally, the degradation of suspended solids and wastewater turbidity might be lowered while light transmission can be improved [45,46]. As a consequence, a better environment for algal photosynthesis could be created. Thirdly, the pH value of media could remain stable in the co-culture of Chlorella vulgaris and Rhodotorula glutinis. As reported by previous studies, yeast growth is accompanied by a decrease in pH while microalgae growth can cause the alkalinization of media. The dramatic shift of pH can be regarded as one of the factors limiting the continuous growth of yeast and microalgae [47,48]. In the co-culture system, when the inoculation ratio of microalgae and yeast is controlled in a rational range, microalgae can assimilate a high portion of organic acids and CO2 released by yeast, attenuating the acidification process, at the same time, residual organic acids and CO2 produced by yeast could limit the alkalinization caused by algal metabolisms. Consequently, both acidification and alkalinization of SPE could be inhibited in the co-culture system.
In the co-culture system, the increase of pH value in the SPE accompanied by the fast growth of microalgae would seriously limit the survival of yeast cells. Due to the inhibition of yeast growth under an alkaline environment, the decomposition rate of suspended organics could be reduced. Further, enrichment of DO in the SPE could negatively impact the photosynthetic rate of microalgal cells. Hence, it was observed that when light intensity increased from 150 to 225 μmol/m2/s, biomass yield dropped from 3.52 to 3.38 g/L (Figure 4c) and TOC removal efficiency decreased from 80.51% to 76.01% (Figure 4d).
4.3. Utilization of Microbial Biomass for Biodiesel Production
This work evaluated the microbial lipid productivity in the SPE-based fermentation, demonstrating that a co-culture system could produce 1.81 g/L lipid in a 6-day period. In the co-culture system, due to the accumulation of yeast biomass, lipid content was lowered. However, according to the data in Figure 3 and Figure 4, and Figure 5a, the lipid yield of Option 1, Option 2, and Option 3 reached 0.81, 0.79, and 1.81 g/L, respectively. Therefore, the co-culture system improved the total biomass yield to produce the highest lipid yield. Compared with traditional oil-rich crops, microalgae, and yeast have much higher lipid productivity [49]. In recent years, advanced technologies, such as flocculation, flotation, and sedimentation, have been developed for the harvesting of microorganisms [50].
One of the weaknesses of this work is that the suitability of lipids extracted from co-cultured microalgae and yeast for biodiesel was not studied. According to previous studies, cetane number, oxidation stability, iodine value, and cold filter plugging point, which depend on the oil nature, should be analyzed to judge if the lipid can be used as a biodiesel feedstock [28,51]. Therefore, to apply the research results of this work in the biofuel industry, further studies on the properties of SCO should be conducted.
4.4. Reduction of Carbon Emission of the SPE-Based Fermentation
As the global climate changes caused by atmospheric CO2-level increase are challenging the sustainable development of human society, more and more researchers realize the importance of reducing carbon emissions in their industries. In traditional models, wastewater is treated by anaerobic fermentation, aerobic digestion, and/or chemical oxidation in a wastewater treatment plant. As a result, organic carbon in wastewater is released into the atmosphere in the forms of CH4 and CO2, worsening the greenhouse effect. Therefore, the concept of employing wastewater as a fermentation substrate for SCO production is becoming popular in both academia and industry.
In previous studies, the monoculture of microalgae or yeast in wastewater for nutrient recovery has been intensively studied [9,15]. Based on the experimental results of this study, the OCCR of monoculture of Chlorella vulgaris and Rhodotorula glutinis in the SPE reached 23.71% and 36.19%, respectively (Figure 6). In our view, the low value of the OCCR of microalgae in the SPE is mainly attributed to the high portion of undecomposed organics in the SPE-based fermentation. Therefore, regarding carbon utilization, the monoculture of microalgae or yeast in SPE could not be regarded as an eco-friendly, economical, and sustainable strategy.
In this study, when Chlorella vulgaris and Rhodotorula glutinis were co-cultured in the SPE, due to the synergistic cooperation between algae and yeast in nutrient assimilation, OCCR was improved to 73.13% (Figure 6). In other words, 73.13% of organic carbon in the SPE can be converted to microbial biomass in this case while only 26.87% of organic carbon in the SPE was wasted. Compared with a monoculture of microalgae or yeast, in terms of carbon utilization, the co-culture system is a more eco-friendly, economical, and sustainable strategy for the SPE-based fermentation.
Although OCCR was improved to 73.13% via co-culture of algae and yeast in SPE, a portion of organic carbon will be converted to CH4 and CO2 if the SPE is subjected to traditional treatment after fermentation. In the future, it is expected that the photosynthesis of microalgal cells or conversion of organic carbon to microbial biomass in fermentation can be further enhanced in the SPE-based fermentation. Firstly, synergistic cooperation between microalgae and yeast in SPE can be enhanced to further improve the OCCR. Secondly, a more suitable environment or algal strains with better photosynthetic performance can be adopted to promote CO2 absorption, compensating for the CO2 emission that occurred in the SPE-based fermentation. If the OCCR can be improved to over 100%, SPE-based fermentation will become a carbon-negative process.
5. Conclusions
This work developed a strategy for co-culturing Chlorella vulgaris and Rhodotorula glutinis in the SPE for lipid-rich biomass production and nutrient removal. Based on the experimental results, it is concluded that (1) monoculture of microalgae and yeast had low biomass yield and nutrient removal efficiency; (2) microalgae and yeast should be inoculated simultaneously at the beginning of the SPE-based fermentation to achieve high biomass yield and nutrient removal efficiency; (3) the optimal inoculation ratio, light intensity, and temperature should be 2:1, 150 μmol/m2/s, and 25 °C, respectively, and the biomass yield and TOC removal efficiency reached 4.42 g/L and 88.60% under the optimal conditions; (4) lipid yield of co-fermentation of Chlorella vulgaris and Rhodotorula glutinis was improved to 1.81 g/L and fatty acids profile of harvested biomass was similar to that of the traditional oil-rich crop; (5) CCR was dramatically improved in the co-fermentation of Chlorella vulgaris and Rhodotorula glutinis.
The advantages of the technical route developed in this study are listed as follows: (1) co-fermentation of microalgae and oleaginous yeast in SPE could provide biofuel industry with high-quality feedstock with high oil content; (2) A large portion of organic carbon in SPE was recovered by microorganisms in fermentation, suggesting that this technical route has a high conversion ratio of nutrients; (3) due to the high values of CCR and OCCR and the low value of NCE in the co-fermentation of Chlorella vulgaris and Rhodotorula glutinis, this technical route can be regarded as a carbon-reducing strategy for SPE treatment and biofuel feedstock production. In the future, efforts should be devoted toward promoting the industrialization of the co-fermentation of Chlorella vulgaris and Rhodotorula glutinis for SPE remediation.
Author Contributions
Writing—original draft preparation, Q.L.; Writing—review and editing, C.M., H.L., L.G.; Conceptualization, Y.L.; Data curation, H.L. All authors have read and agreed to the published version of the manuscript.
Funding
This research received no external funding.
Institutional Review Board Statement
Not applicable.
Informed Consent Statement
Not applicable.
Data Availability Statement
The data presented in this study are available in article.
Acknowledgments
Not applicable.
Conflicts of Interest
The authors declare no conflict of interest.
References
- Li, J.; Wu, X.; Zhong, Y.; Lu, Q.; Zhou, W. The 10th Asia-Pacific conference on algal biotechnology: Thoughts and comments. J. Clean. Prod. 2020, 264, 121626. [Google Scholar] [CrossRef]
- Kumar, M.; Sundaram, S.; Gnansounou, E.; Larroche, C.; Thakur, I.S. Carbon dioxide capture, storage and production of biofuel and biomaterials by bacteria: A review. Bioresour. Technol. 2018, 247, 1059–1068. [Google Scholar] [CrossRef] [PubMed]
- Correa, D.F.; Beyer, H.L.; Fargione, J.E.; Hill, J.D.; Possingham, H.P.; Thomas-Hall, S.R.; Schenk, P.M. Towards the implementation of sustainable biofuel production systems. Renew. Sustain. Energy Rev. 2019, 107, 250–263. [Google Scholar] [CrossRef]
- Aurtherson, P.B.; Nalla, B.T.; Srinivasan, K.; Mehar, K.; Devarajan, Y. Biofuel production from novel Prunus domestica kernel oil: Process optimization technique. Biomass Convers. Bior. 2021, 1–7. [Google Scholar] [CrossRef]
- Alalwan, H.A.; Alminshid, A.H.; Aljaafari, H.A.S. Promising evolution of biofuel generations. Subject review. Renew. Energy Focus 2019, 28, 127–139. [Google Scholar] [CrossRef]
- Bonatsos, N.; Marazioti, C.; Moutousidi, E.; Anagnostou, A.; Koutinas, A.; Kookos, I.K. Techno-economic analysis and life cycle assessment of heterotrophic yeast-derived single cell oil production process. Fuel 2020, 264, 116839. [Google Scholar] [CrossRef]
- Spalvins, K.; Vamza, I.; Blumberga, D. Single cell oil production from waste biomass: Review of applicable industrial by-products. Environ. Clim. Technol. 2019, 23, 325–337. [Google Scholar] [CrossRef]
- Mhlongo, S.I.; Ezeokoli, O.T.; Roopnarain, A.; Ndaba, B.; Sekoai, P.T.; Habimana, O.; Pohl, C.H. The potential of single-cell oils derived from filamentous fungi as alternative feedstock sources for biodiesel production. Front. Microbiol. 2021, 12, 637381. [Google Scholar] [CrossRef]
- Ling, J.; Nip, S.; Cheok, W.L.; de Toledo, R.A.; Shim, H. Lipid production by a mixed culture of oleaginous yeast and microalga from distillery and domestic mixed wastewater. Bioresour. Technol. 2014, 173, 132–139. [Google Scholar] [CrossRef]
- Zhang, C.; Li, F.; Ho, S.-H.; Chen, W.-H.; Gunarathne, D.S.; Show, P.L. Oxidative torrefaction of microalga Nannochloropsis Oceanica activated by potassium carbonate for solid biofuel production. Environ. Res. 2022, 212, 113389. [Google Scholar] [CrossRef]
- Papanikolaou, S.; Aggelis, G. Sources of microbial oils with emphasis to Mortierella (Umbelopsis) isabellina fungus. World J. Microbiol. Biotechn. 2019, 35, 63. [Google Scholar] [CrossRef] [PubMed]
- Lal, A.; Banerjee, S.; Das, D. Aspergillus sp. assisted bioflocculation of Chlorella MJ 11/11 for the production of biofuel from the algal-fungal co-pellet. Sep. Purif. Technol. 2021, 272, 118320. [Google Scholar] [CrossRef]
- Tossavainen, M.; Lahti, K.; Edelmann, M.; Eskola, R.; Lampi, A.-M.; Piironen, V.; Korvonen, P.; Ojala, A.; Romantschuk, M. Integrated utilization of microalgae cultured in aquaculture wastewater: Wastewater treatment and production of valuable fatty acids and tocopherols. J. Appl. Phycol. 2019, 31, 1753–1763. [Google Scholar] [CrossRef]
- Zhu, Q.L.; Wu, B.; Pisutpaisal, N.; Wang, Y.W.; Ma, K.D.; Dai, L.C.; Qin, H.; Tan, F.-R.; Maeda, T.; Xu, Y. Bioenergy from dairy manure: Technologies, challenges and opportunities. Sci. Total Environ. 2021, 790, 148199. [Google Scholar] [CrossRef] [PubMed]
- Lu, Q.; Zhou, W.; Min, M.; Ma, X.; Chandra, C.; Doan, Y.T.T.; Ma, Y.; Zheng, H.; Cheng, S.; Griffith, R. Growing Chlorella sp. on meat processing wastewater for nutrient removal and biomass production. Bioresour. Technol. 2015, 198, 189–197. [Google Scholar] [CrossRef]
- Tan, X.B.; Zhao, X.C.; Yang, L.B. Strategies for enhanced biomass and lipid production by Chlorella pyrenoidosa culture in starch processing wastewater. J. Clean. Prod. 2019, 236, 117671. [Google Scholar] [CrossRef]
- Tung, T.Q.; Miyata, N.; Iwahori, K. Growth of Aspergillus oryzae during treatment of cassava starch processing wastewater with high content of suspended solids. J. Biosci. Bioeng. 2004, 97, 329–335. [Google Scholar] [CrossRef]
- Shi, Y.; Liu, X.; Jin, M.; Chen, H.; Yi, F.; Wang, L.; Qiao, N.; Yu, D. Incorporating corn oil refining wastewater improves lipid accumulation and self-settling property of Trichosporon fermentans in corn starch wastewater. Sep. Purif. Technol. 2021, 275, 119250. [Google Scholar] [CrossRef]
- Hussain, F.; Shah, S.Z.; Ahmad, H.; Abubshait, S.A.; Abubshait, H.A.; Laref, A.; Manikandan, A.; Kusuma, H.S.; Iqbal, M. Microalgae an ecofriendly and sustainable wastewater treatment option: Biomass application in biofuel and bio-fertilizer production. A review. Renew. Sustain. Energy Rev. 2021, 137, 110603. [Google Scholar] [CrossRef]
- Lu, Q.; Zhou, W.; Min, M.; Ma, X.; Ma, Y.; Chen, P.; Zheng, H.; Doan, Y.T.T.; Liu, H.; Chen, C. Mitigating ammonia nitrogen deficiency in dairy wastewaters for algae cultivation. Bioresour. Technol. 2016, 201, 33–40. [Google Scholar] [CrossRef]
- Wang, Z.; Ma, X.; Zhou, W.; Min, M.; Cheng, Y.; Chen, P.; Shi, J.; Wang, Q.; Liu, Y.; Ruan, R. Oil crop biomass residue-based media for enhanced algal lipid production. Appl. Biochem. Biotechnol. 2013, 171, 689–703. [Google Scholar] [CrossRef] [PubMed]
- Li, H.; Chen, S.; Liao, K.; Lu, Q.; Zhou, W. Microalgae biotechnology as a promising pathway to eco-friendly aquaculture: A state-of-the-art review. J. Chem. Technol. Biotechnol. 2021, 96, 837–852. [Google Scholar] [CrossRef]
- Rane, D.V.; Pawar, P.P.; Odaneth, A.A.; Lali, A.M. Microbial oil production by the oleaginous red yeast, Rhodotorula glutinis NCIM 3168, using corncob hydrolysate. Biomass Convers. Bior. 2021, 13, 1987–1997. [Google Scholar] [CrossRef]
- Jeon, Y.C.; Cho, C.W.; Yun, Y.-S. Measurement of microalgal photosynthetic activity depending on light intensity and quality. Biochem. Eng. J. 2005, 27, 127–131. [Google Scholar] [CrossRef]
- Bazdar, E.; Roshandel, R.; Yaghmaei, S.; Mardanpour, M.M. The effect of different light intensities and light/dark regimes on the performance of photosynthetic microalgae microbial fuel cell. Bioresour. Technol. 2018, 261, 350–360. [Google Scholar] [CrossRef] [PubMed]
- Abreu, A.P.; Morais, R.C.; Teixeira, J.A.; Nunes, J. A comparison between microalgal autotrophic growth and metabolite accumulation with heterotrophic, mixotrophic and photoheterotrophic cultivation modes. Renew. Sustain. Energy Rev. 2022, 159, 112247. [Google Scholar] [CrossRef]
- Adesanya, V.O.; Davey, M.P.; Scott, S.A.; Smith, A.G. Kinetic modelling of growth and storage molecule production in microalgae under mixotrophic and autotrophic conditions. Bioresour. Technol. 2014, 157, 293–304. [Google Scholar] [CrossRef]
- Ramos, M.J.; Fernández, C.M.; Casas, A.; Rodríguez, L.; Pérez, Á. Influence of fatty acid composition of raw materials on biodiesel properties. Bioresour. Technol. 2009, 100, 261–268. [Google Scholar] [CrossRef]
- Yu, D.; Wang, X.; Fan, X.; Ren, H.; Hu, S.; Wang, L.; Shi, Y.; Liu, N.; Qiao, N. Refined soybean oil wastewater treatment and its utilization for lipid production by the oleaginous yeast Trichosporon fermentans. Biotechnol. Biofuels 2018, 11, 299. [Google Scholar] [CrossRef]
- Wu, Y.H.; Hu, H.Y.; Yu, Y.; Zhang, T.Y.; Zhu, S.F.; Zhuang, L.L.; Zhang, X.; Lu, Y. Microalgal species for sustainable biomass/lipid production using wastewater as resource: A review. Renew. Sustain. Energy Rev. 2014, 33, 675–688. [Google Scholar] [CrossRef]
- Chiu, S.Y.; Kao, C.Y.; Chen, T.Y.; Chang, Y.B.; Kuo, C.M.; Lin, C.S. Cultivation of microalgal Chlorella for biomass and lipid production using wastewater as nutrient resource. Bioresour. Technol. 2015, 184, 179–189. [Google Scholar] [CrossRef] [PubMed]
- Guadalupe-Daqui, M.; Goodrich-Schneider, R.M.; Sarnoski, P.J.; Carriglio, J.C.; Sims, C.A.; Pearson, B.J.; MacIntosh, A.J. The effect of CO2 concentration on yeast fermentation: Rates, metabolic products, and yeast stress indicators. J. Ind. Microbiol. Biotechnol. 2023, 50, kuad001. [Google Scholar] [CrossRef] [PubMed]
- Kong, W.; Yang, S.; Agboyibor, C.; Chen, D.; Zhang, A.; Niu, S. Light irradiation can regulate the growth characteristics and metabolites compositions of Rhodotorula mucilaginosa. J. Food Sci. Technol. 2019, 56, 5509–5517. [Google Scholar] [CrossRef]
- Liu, X.; Jia, B.; Sun, X.; Ai, J.; Wang, L.; Wang, C.; Zhao, F.; Zhan, J.; Huang, W. Effect of initial pH on growth characteristics and fermentation properties of Saccharomyces cerevisiae. J. Food Sci. 2015, 80, M800–M808. [Google Scholar] [CrossRef] [PubMed]
- Mafakher, L.; Mirbagheri, M.; Darvishi, F.; Nahvi, I.; Zarkesh-Esfahani, H.; Emtiazi, G. Isolation of lipase and citric acid producing yeasts from agro-industrial wastewater. New Biotechnol. 2010, 27, 337–340. [Google Scholar] [CrossRef] [PubMed]
- Walls, L.E.; Velasquez-Orta, S.B.; Romero-Frasca, E.; Leary, P.; Noguez, I.Y.; Ledesma, M.T.O. Non-sterile heterotrophic cultivation of native wastewater yeast and microalgae for integrated municipal wastewater treatment and bioethanol production. Biochem. Eng. J. 2019, 151, 107319. [Google Scholar] [CrossRef]
- Motto, S.A.; Christwardana, M. Potency of Yeast–Microalgae Spirulina Collaboration in Microalgae-Microbial Fuel Cells for Cafeteria Wastewater Treatment; IOP Publishing: Bristol, UK, 2018; p. 012022. [Google Scholar]
- Lu, Q.; Ji, C.; Yan, Y.; Xiao, Y.; Li, J.; Leng, L.; Zhou, W. Application of a novel microalgae-film based air purifier to improve air quality through oxygen production and fine particulates removal. J. Chem. Technol. Biotechnol. 2019, 94, 1057–1063. [Google Scholar] [CrossRef]
- Yang, L.; Li, H.; Liu, T.; Zhong, Y.; Ji, C.; Lu, Q.; Fan, L.; Li, J.; Leng, L.; Li, K. Microalgae biotechnology as an attempt for bioregenerative life support systems: Problems and prospects. J. Chem. Technol. Biotechnol. 2019, 94, 3039–3048. [Google Scholar] [CrossRef]
- Zhang, Z.; Ji, H.; Gong, G.; Zhang, X.; Tan, T. Synergistic effects of oleaginous yeast Rhodotorula glutinis and microalga Chlorella vulgaris for enhancement 2005of biomass and lipid yields. Bioresour. Technol. 2014, 164, 93–99. [Google Scholar] [CrossRef]
- Moheimani, N.R.; Borowitzka, M.A. Limits to productivity of the alga Pleurochrysis carterae (Haptophyta) grown in outdoor raceway ponds. Biotechnol. Bioeng. 2007, 96, 27–36. [Google Scholar] [CrossRef] [PubMed]
- Chen, F.; Leng, Y.; Lu, Q.; Zhou, W. The application of microalgae biomass and bio-products as aquafeed for aquaculture. Algal Res. 2021, 60, 102541. [Google Scholar] [CrossRef]
- Arora, N.; Patel, A.; Mehtani, J.; Pruthi, P.A.; Pruthi, V.; Poluri, K.M. Co-culturing of oleaginous microalgae and yeast: Paradigm shift towards enhanced lipid productivity. Environ. Sci. Pollut. Res. 2019, 26, 16952–16973. [Google Scholar] [CrossRef] [PubMed]
- Zuccaro, G.; Steyer, J.P.; van Lis, R. The algal trophic mode affects the interaction and oil production of a synergistic microalga-yeast consortium. Bioresour. Technol. 2019, 273, 608–617. [Google Scholar] [CrossRef]
- Li, J.; Wang, L.; Lu, Q.; Zhou, W. Toxicity alleviation for microalgae cultivation by cationic starch addition and ammonia stripping and study on the cost assessment. RSC Adv. 2019, 9, 38235–38245. [Google Scholar] [CrossRef]
- Fallahi, A.; Rezvani, F.; Asgharnejad, H.; Nazloo, E.K.; Hajinajaf, N.; Higgins, B. Interactions of microalgae-bacteria consortia for nutrient removal from wastewater: A review. Chemosphere 2021, 272, 129878. [Google Scholar] [CrossRef]
- Tienungoon, S.; Ratkowsky, D.A.; McMeekin, T.A.; Ross, T. Growth limits of Listeria monocytogenes as a function of temperature, pH, NaCl, and lactic acid. Appl. Environ. Microb. 2000, 66, 4979–4987. [Google Scholar] [CrossRef]
- Qiu, R.; Gao, S.; Lopez, P.A.; Ogden, K.L. Effects of pH on cell growth, lipid production and CO2 addition of microalgae Chlorella sorokiniana. Algal Res. 2017, 28, 192–199. [Google Scholar] [CrossRef]
- Kraft, E.; Oliveira Filho, L.C.I.D.; Carneiro, M.C.; Klauberg-Filho, O.; Baretta, C.R.D.M.; Baretta, D. Edaphic fauna affects soybean productivity under no-till system. Sci. Agric. 2020, 78, e20190137. [Google Scholar] [CrossRef]
- Vasistha, S.; Khanra, A.; Clifford, M.; Rai, M.P. Current advances in microalgae harvesting and lipid extraction processes for improved biodiesel production: A review. Renew. Sustain. Energy Rev. 2021, 137, 110498. [Google Scholar] [CrossRef]
- Giakoumis, E.G.; Sarakatsanis, C.K. A comparative assessment of biodiesel cetane number predictive correlations based on fatty acid composition. Energies 2019, 12, 422. [Google Scholar] [CrossRef]
Disclaimer/Publisher’s Note: The statements, opinions and data contained in all publications are solely those of the individual author(s) and contributor(s) and not of MDPI and/or the editor(s). MDPI and/or the editor(s) disclaim responsibility for any injury to people or property resulting from any ideas, methods, instructions or products referred to in the content. |
© 2023 by the authors. Licensee MDPI, Basel, Switzerland. This article is an open access article distributed under the terms and conditions of the Creative Commons Attribution (CC BY) license (https://creativecommons.org/licenses/by/4.0/).







