A Chamfered Anchor Impeller Design for Enhanced Efficiency in Agitating Viscoplastic Fluids
Abstract
1. Introduction
2. Numerical Modeling and Computational Settings
2.1. Agitated System Presentation
- The thermo-physical properties of the fluid are considered constant, with the exception of the apparent viscosity, which is shear-rate dependent as described by the Bingham model.
- Given the rotational speed and the predominance of tangential flow generated by the anchor impeller, free surface deformation is assumed to be negligible. Therefore, heat transfer at the free surface can be treated as natural convection.
- Effects of viscous dissipation and radiative heat transfer are considered negligible in the energy balance.
2.2. Governing Equations
2.3. Fluid Behavior
- Where is the deformation tensor, and is he stress tensor, given by:
- Reynolds number:
- Bingham number:
- Hedström number:
- Power consumption:
- Prandtl number:
2.4. Solver Settings
- The boundary conditions are defined as follows:
- On the impeller
- On the vessel
- Temperature conditions are:
- On the anchor impeller and the bottom of the vessel
- On the lateral wall of tank
- At the fluid free surface:
3. Results and Discussions
3.1. Mesh Independence Test and Model Validation
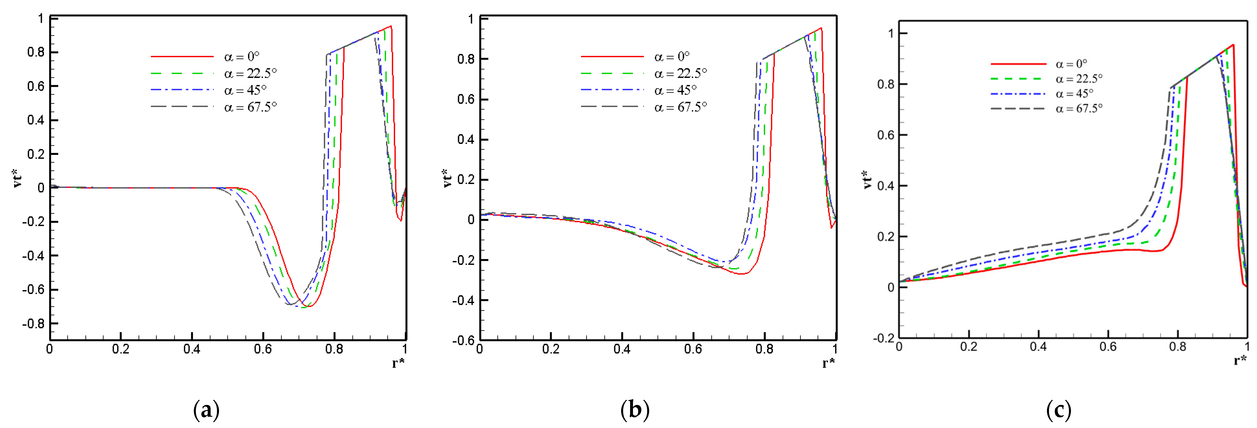
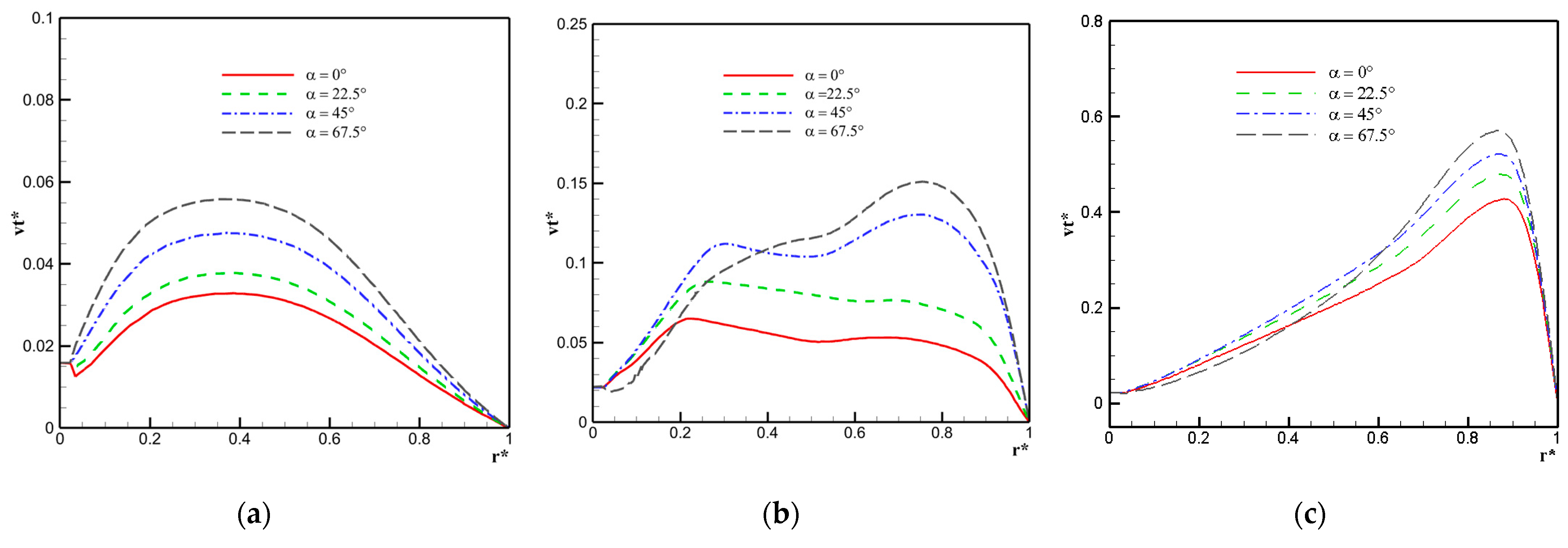
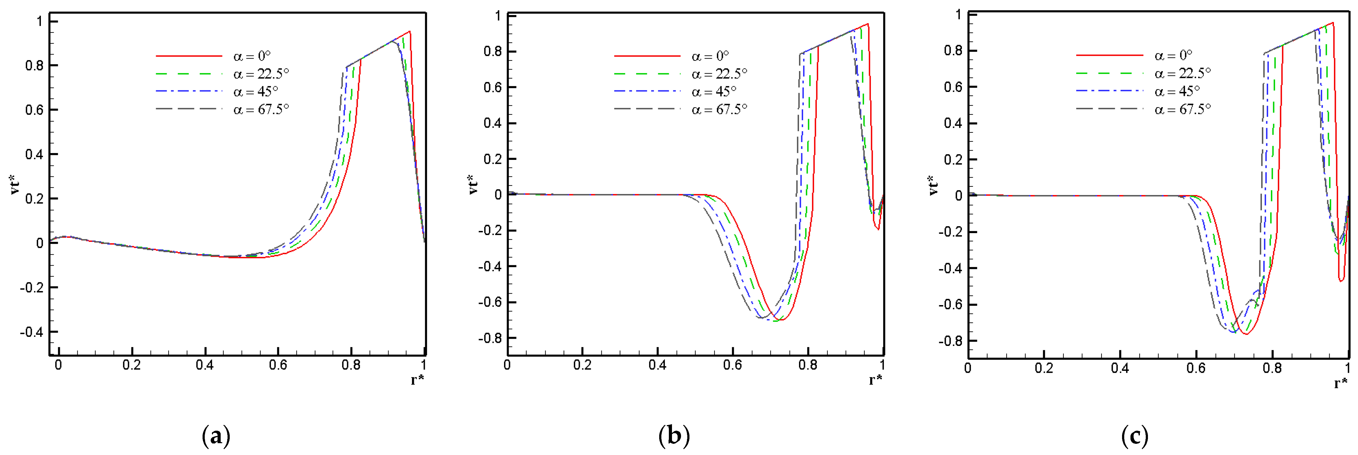
3.2. Effect of Inertia
3.3. Effect of Rehology
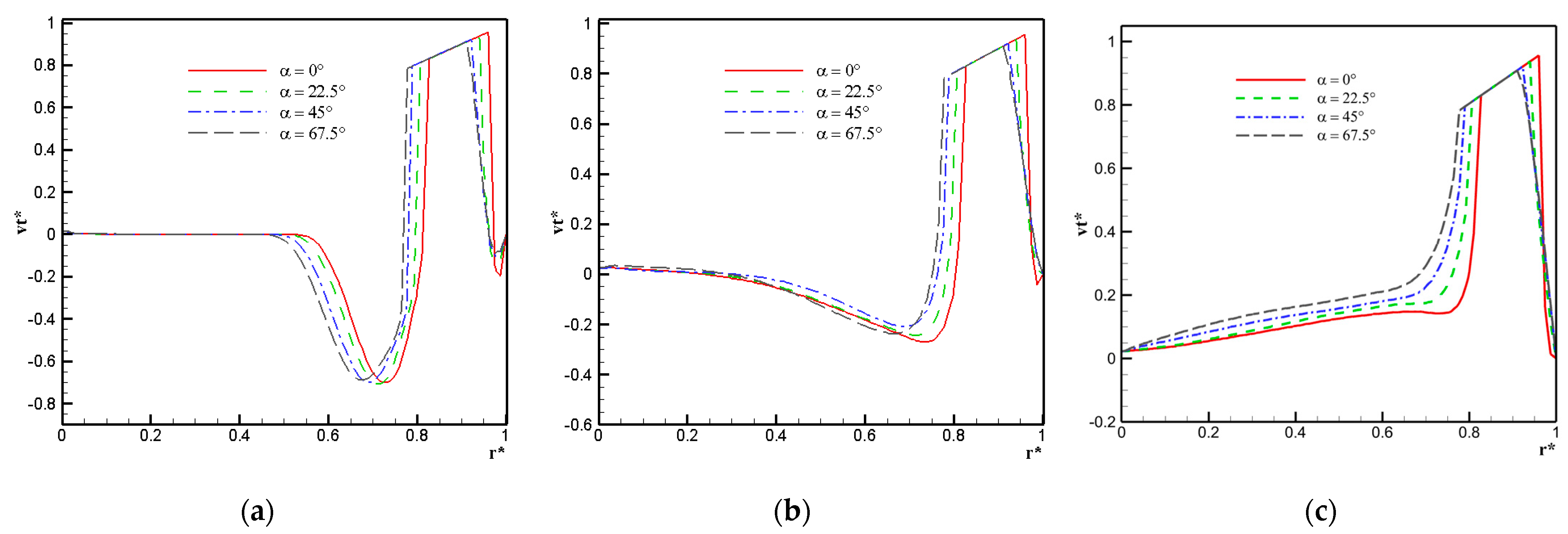
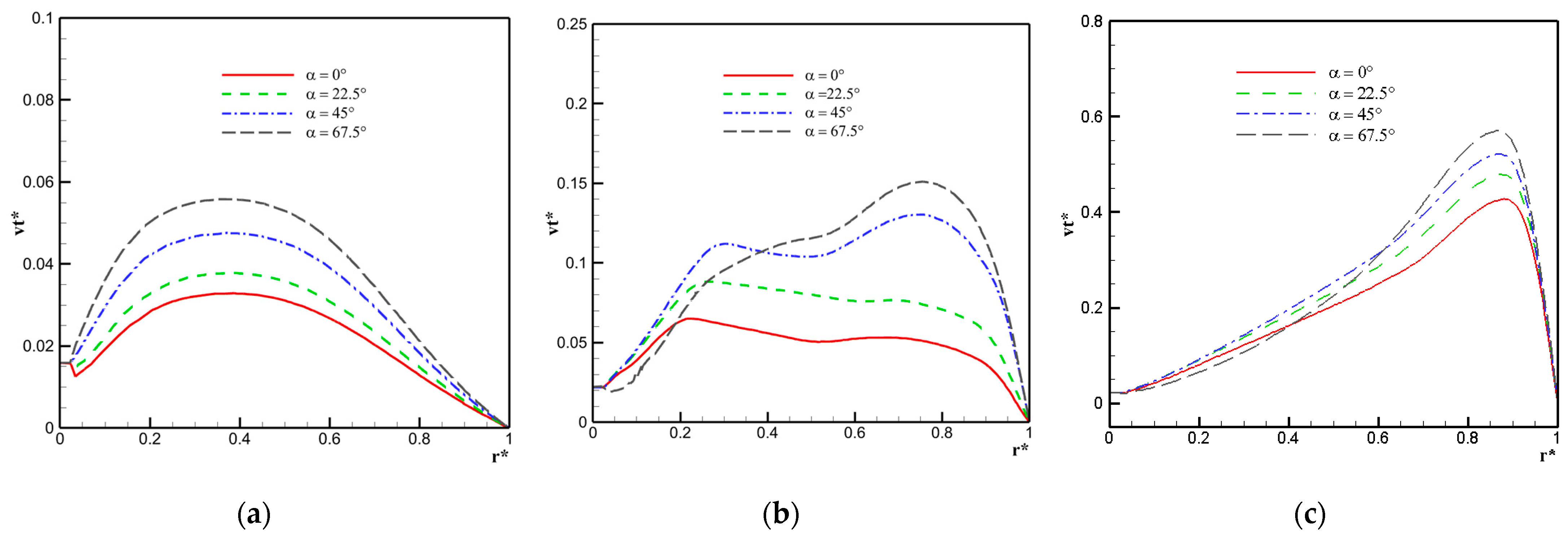
3.4. Effect of Chamfered Angle Design
4. Conclusions
Author Contributions
Funding
Data Availability Statement
Conflicts of Interest
References
- Prajapati, P.; Ein-Mozaffari, F. CFD Investigation of the Mixing of Yield-Pseudoplastic Fluids with Anchor Impellers. Chem. Eng. Technol. Ind. Chem. Plant Equip. Process Eng. Biotechnol. 2009, 32, 1211–1218. [Google Scholar] [CrossRef]
- Driss, Z.; Salah, A.; Driss, D.; Necib, B.; Kchaou, H.; Abid, M.S. CFD Investigation of the hydrodynamic structure around a modified anchor system. In CFD Techniques and Energy Applications; Springer: Cham, Switzerland, 2018; pp. 129–150. [Google Scholar]
- Lins Barros, P.; Ein-Mozaffari, F.; Lohi, A. Gas Dispersion in Non-Newtonian Fluids with Mechanically Agitated Systems: A Review. Processes 2022, 10, 275. [Google Scholar] [CrossRef]
- Casarez-Duran, A.A.; Paredes-Rojas, J.C.; Torres-San Miguel, C.R.; Méndez-García, S.R.; Ortiz-Hernández, F.E.; Urriolagoitia Calderón, G.M. CFD Simulation of Mixing Forest Biomass to Obtain Cellulose. Processes 2024, 12, 2250. [Google Scholar] [CrossRef]
- Benmoussa, A.; Rahmani, L.; Rebhi, M. Regularization model effect on yield stress fluids behavior in a rotating vessel. Adv. Appl. Fluid Mech. 2016, 19, 507–515. [Google Scholar] [CrossRef]
- Ebrahimi, M.; Tamer, M.; Villegas, R.M.; Chiappetta, A.; Ein-Mozaffari, F. Application of CFD to Analyze the Hydrodynamic Behaviour of a Bioreactor with a Double Impeller. Processes 2019, 7, 694. [Google Scholar] [CrossRef]
- Benmoussa, A. Agitation of Viscoplastic Fluid in a Rotating Vessel Using Close Clearance Agitators. Eng 2023, 4, 2525–2541. [Google Scholar] [CrossRef]
- Anne-Archard, D.; Marouche, M.; Boisson, H.-C. Hydrodynamics and Metzner–Otto correlation in stirred vessels for yield stress fluids. Chem. Eng. J. 2006, 125, 15–24. [Google Scholar] [CrossRef]
- Kamla, Y.; Ameur, H.; Arab, M.I. Data on the hydrodynamics and power consumption induced by modified anchor impellers in cylindrical tanks. Data Brief 2021, 39, 107669. [Google Scholar] [CrossRef]
- Hami, O.; Draoui, B.; Mebarki, B.; Rahmani, L.; Bouanini, M. Numerical model for laminar flow and heat transfer in an agitated vessel by inclined blades anchor. In Proceedings of CHT-08 ICHMT International Symposium on Advances in Computational Heat Transfer; Begel House Inc.: Danbury, CT, USA, 2008. [Google Scholar]
- Komoda, Y.; Date, T. Enhancement of laminar mixing by an anchor impeller with rotationally reciprocating motion. AIP Adv. 2022, 12, 015013. [Google Scholar] [CrossRef]
- Kada, B.; Lakhdar, R.; Brahim, M.; Ameur, H. Agitation of Complex Fluids in Cylindrical Vessels by Newly Designed Anchor Impellers. Period. Polytech. Mech. Eng. 2022, 66, 109–119. [Google Scholar] [CrossRef]
- Mihailova, O.; Mothersdale, T.; Rodgers, T.; Ren, Z.; Watson, S.; Lister, V.; Kowalski, A. Optimization of mixing performance of helical ribbon mixers for high throughput applications using computational fluid dynamics. Chem. Eng. Res. Des. 2018, 132, 942–953. [Google Scholar] [CrossRef]
- Ameur, H.; Kamla, Y.; Sahel, D. Performance of helical ribbon and screw impellers for mixing viscous fluids in cylindrical reactors. ChemEngineering 2018, 2, 26. [Google Scholar] [CrossRef]
- Ameur, H.; Kamla, Y. Geometrical modifications of the anchor impeller to enhance the overall performances in stirred tanks. Instal 2020, 6, 42–45. [Google Scholar]
- Ameur, H. Energy efficiency of different impellers in stirred tank reactors. Energy 2015, 93, 1980–1988. [Google Scholar] [CrossRef]
- Mebarki, B.; Draoui, B.; Rahmani, L.; Bouanini, M.; Rebhi, M.; Benachour, E.H. Numerical study of mechanical stirring in case of yield stress fluid with circular anchor impeller. Sens. Transducers 2011, 132, 108–121. [Google Scholar]
- Sossa-Echeverria, J.; Taghipour, F. Effect of mixer geometry and operating conditions on flow mixing of shear thinning fluids with yield stress. AIChE J. 2014, 60, 1156–1167. [Google Scholar] [CrossRef]
- Ein-Mozaffari, F.; Upreti, S.R. Using ultrasonic doppler velocimetry and cfd modeling to investigate the mixing of non-newtonian fluids possessing yield stress. Chem. Eng. Res. Des. 2009, 87, 515–523. [Google Scholar] [CrossRef]
- Savreux, F.; Jay, P.; Magnin, A. Viscoplastic fluid mixing in a rotating tank. Chem. Eng. Sci. 2007, 62, 2290–2301. [Google Scholar] [CrossRef]
- Kazemzadeh, A.; Ein-Mozaffari, F.; Lohi, A.; Pakzad, L. Effect of the rheological properties on the mixing of herschel-bulkley fluids with coaxial mixers: Applications of tomography, cfd, and response surface methodology. Can. J. Chem. Eng. 2016, 94, 2394–2406. [Google Scholar] [CrossRef]
- Baccar, M.; Mseddi, M.; Abid, M.S. Contribution numérique à l’étude hydrodynamique et thermique des écoulements turbulents induits par une turbine radiale en cuve agitée. Int. J. Therm. Sci. 2011, 40, 753–772. [Google Scholar] [CrossRef]
- Gammoudi, A.; Ayadi, A.; Baccar, M. The hydrodynamic and thermal characterization of a yield stress fluid in stirred tanks equipped with simple helical ribbons with two stages. Meccanica 2017, 52, 1743–1766. [Google Scholar] [CrossRef]
- Benmoussa, A.; Rahmani, L.; Draoui, B. Simulation of viscoplastic flows in a rotating vessel using a regularized model. Int. J. Multiphysics 2017, 11, 349–358. [Google Scholar]
- Benmoussa, A.; Rahmani, L.; Rebhi, M. Effect of regularization parameter on flow field and power consumption in agitated vessel by two blade impeller. World Appl. Sci. J. 2015, 3, 1025–1031. [Google Scholar]
- Korib, K.; Mohamed, R.; Yacine, K. Numerical study on characteristics of flow and thermal fields around rotating cylinder. Metall. Mater. Eng. 2020, 26, 71–86. [Google Scholar] [CrossRef] [PubMed]
- Brahim, M.; Benhanifia, K.; Jamshed, W.; Al-Farhany, K.; Redouane, F.; Eid, M.R.; Hussain, S.M.; Akram, M.; Kamel, A. Computational Analysis of Viscoplastic Nanofluid Blending by a Newly Modified Anchorage Impeller within a Stirred Container. Symmetry 2022, 14, 2279. [Google Scholar] [CrossRef]
- Youcefi, S.; Mokhefi, A.; Bouzit, M. Theoretical study of thermo-hydrodynamic performances inside an agitated tank equipped with modified two-blade design. Therm. Sci. Eng. Prog. 2024, 55, 102866. [Google Scholar] [CrossRef]
- Mokhefi, A. Hydrodynamic and thermal performance analysis of an inclined anchor impeller designed for yield stress food mixing applications. Food Bioprod. Process. 2024, 143, 255–270. [Google Scholar] [CrossRef]
- Bertrand, F.; Tanguy, P.A.; Brito-De La Fuente, E. A new perspective for the mixing of yield stress fluids with anchor impellers. J. Chem. Eng. Jpn. 1996, 29, 51–58. [Google Scholar] [CrossRef]
- Bercovier, M.; Engelman, M. A finite element method for incompressible non-Newtonian flows. J. Comput. Phys. 1980, 36, 313–326. [Google Scholar] [CrossRef]
- Rahmani, L.; Seghier, O.; Benmoussa, A.; Draoui, B. CFD study of the thermal transfer of a non-Newtonian fluid within a tank mechanically stirred by an anchor-shaped impeller. In EPJ Web of Conferences; EDP Sciences: Les Ulis, France, 2018; Volume 180, p. 02089. [Google Scholar]
- Youcefi, S.; Youcefi, A. Power consumption and mixing time in rheologically complex fluids by a two-bladed impeller. J. Mech. Sci. Technol. 2015, 29, 543–548. [Google Scholar] [CrossRef]
- Marouche, M.; Anne-Archard, D.; Boisson, H.C. A numerical model of yield stress fluid dynamics in a mixing vessel. Appl. Rheol. 2002, 12, 182–191. [Google Scholar] [CrossRef]
- Anne-Archard, D.; Boisson, H.C.; Marouche, M. Etude expérimentale d’une cuve agitée en fluide viscoplastique. Experimental study of a stirred tank in viscoplastic fluid. In Proceedings of the 18éme Congrès Français de Mécanique, Grenoble, France, 27–31 August 2007. [Google Scholar]















| Dv | d | da/Dv | e/Dv | L/Dv | c/Dv |
|---|---|---|---|---|---|
| 300 mm | 288 mm | 0.023 | 0.027 | 0.067 | 0.02 |
| Mesh | M1 | M2 | M3 | M4 |
|---|---|---|---|---|
| Elements | 244,848 | 465,210 | 790,858 | 1,257,460 |
| Np | 29.863 | 28.931 | 28.681 | 28.679 |
Disclaimer/Publisher’s Note: The statements, opinions and data contained in all publications are solely those of the individual author(s) and contributor(s) and not of MDPI and/or the editor(s). MDPI and/or the editor(s) disclaim responsibility for any injury to people or property resulting from any ideas, methods, instructions or products referred to in the content. |
© 2024 by the authors. Licensee MDPI, Basel, Switzerland. This article is an open access article distributed under the terms and conditions of the Creative Commons Attribution (CC BY) license (https://creativecommons.org/licenses/by/4.0/).
Share and Cite
Benmoussa, A.; Páscoa, J.C. A Chamfered Anchor Impeller Design for Enhanced Efficiency in Agitating Viscoplastic Fluids. Fluids 2024, 9, 288. https://doi.org/10.3390/fluids9120288
Benmoussa A, Páscoa JC. A Chamfered Anchor Impeller Design for Enhanced Efficiency in Agitating Viscoplastic Fluids. Fluids. 2024; 9(12):288. https://doi.org/10.3390/fluids9120288
Chicago/Turabian StyleBenmoussa, Amine, and José C. Páscoa. 2024. "A Chamfered Anchor Impeller Design for Enhanced Efficiency in Agitating Viscoplastic Fluids" Fluids 9, no. 12: 288. https://doi.org/10.3390/fluids9120288
APA StyleBenmoussa, A., & Páscoa, J. C. (2024). A Chamfered Anchor Impeller Design for Enhanced Efficiency in Agitating Viscoplastic Fluids. Fluids, 9(12), 288. https://doi.org/10.3390/fluids9120288

