A Homogenization Approach for Turbulent Channel Flows over Porous Substrates: Formulation and Implementation of Effective Boundary Conditions
Abstract
:1. Introduction
2. The Homogenization Model
2.1. Governing Equations and Domain Decomposition
2.2. Asymptotic Analysis of the Microscale Problem
2.3. Numerical Solutions of the Auxiliary Systems
2.4. Formal Expressions of the Effective Boundary Conditions
2.5. The Role of the Porosity: Parametric Study
3. The Macroscale Problem: Setup, Results and Discussion
3.1. Channel Flow with Smooth, Impermeable Walls
3.1.1. Simulation Definition and Numerical Schemes
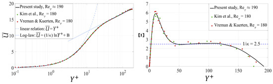
3.1.2. Results and Validation
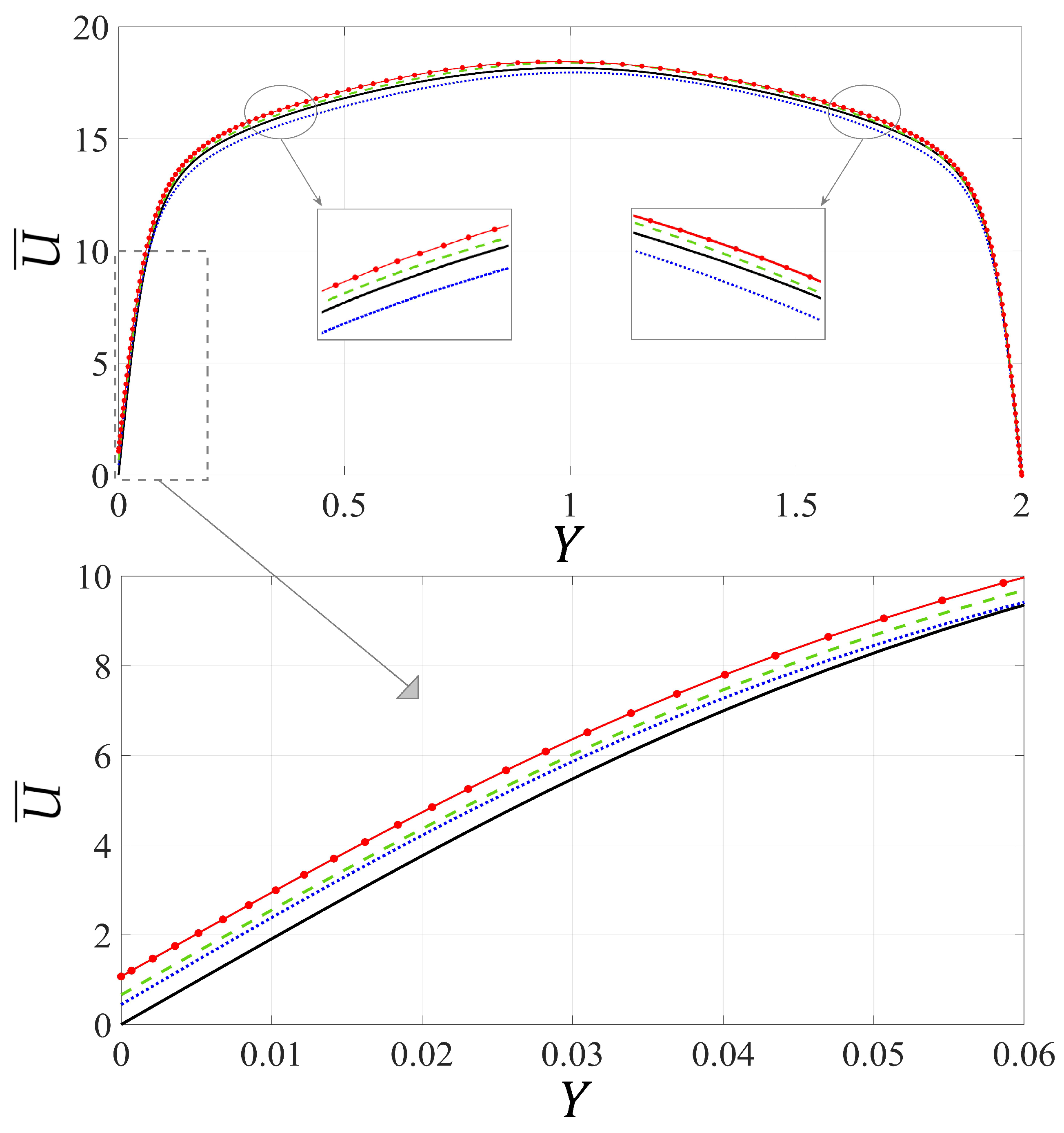
- Mean velocity profile:
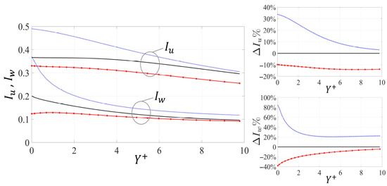
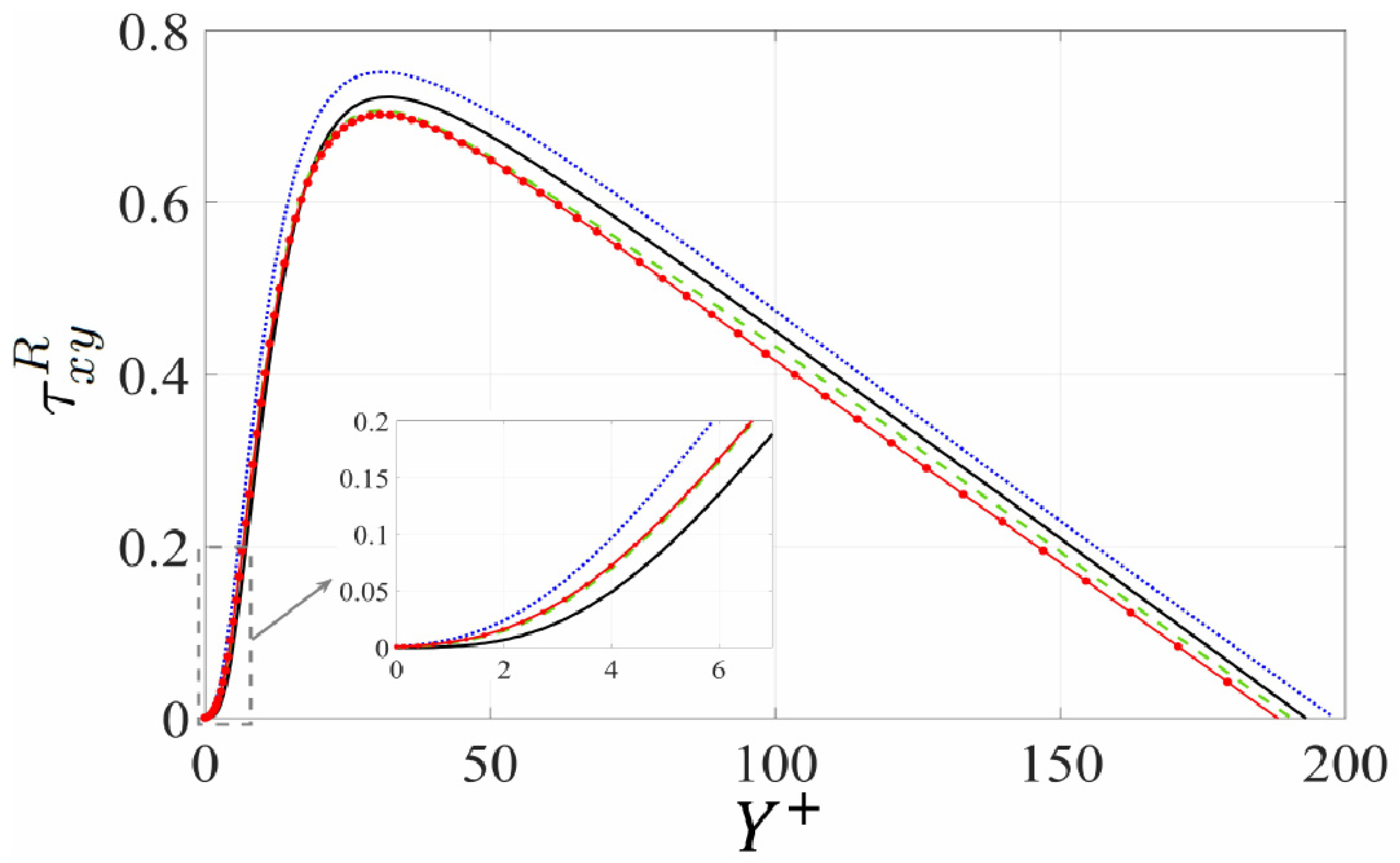
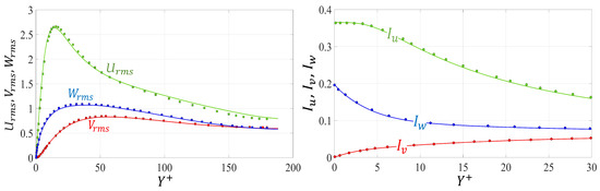
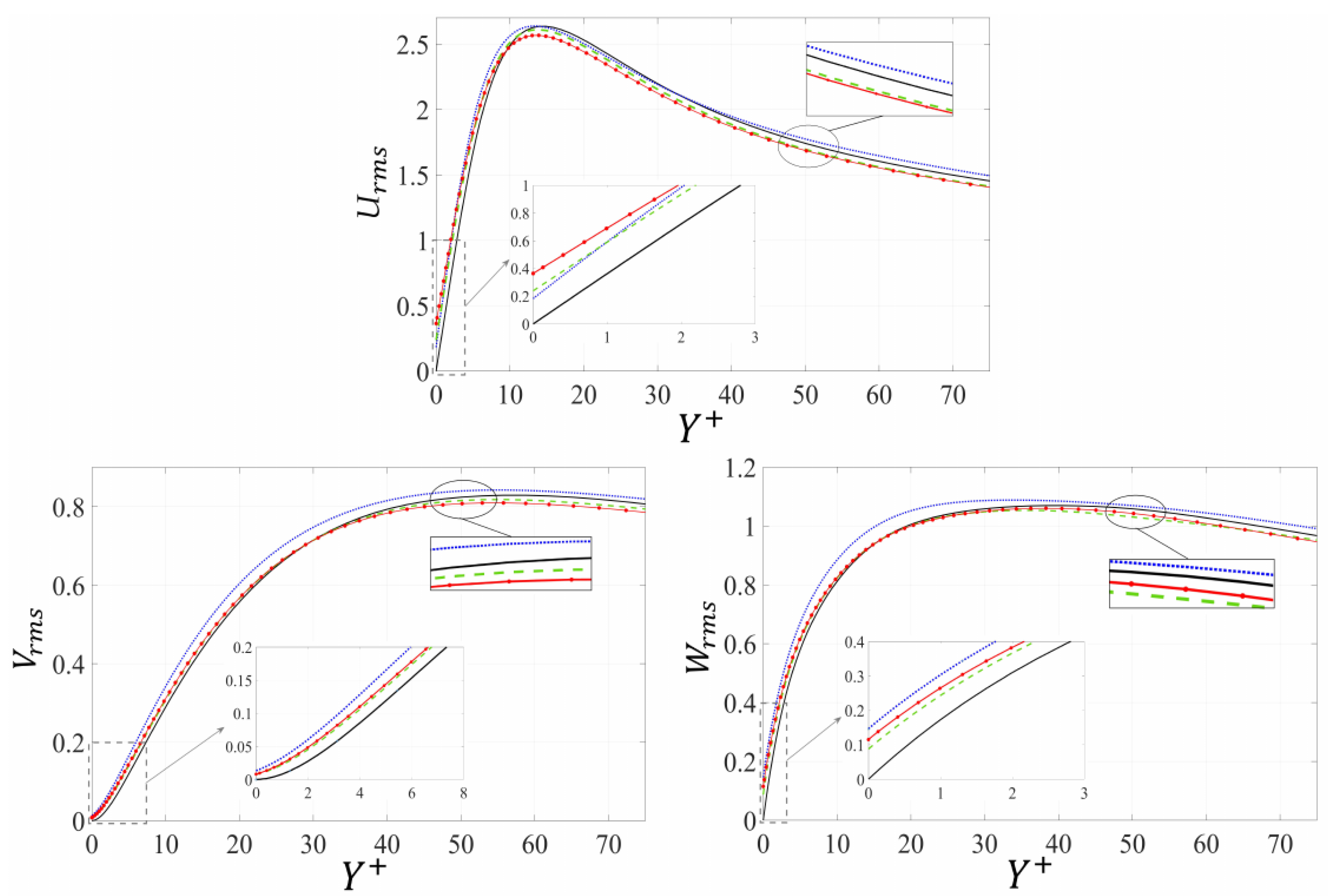
- Turbulence statistics:
3.2. Turbulent Flow over Porous Substrates
3.2.1. Basic Definitions and Implementation of the Effective Conditions
3.2.2. Results for
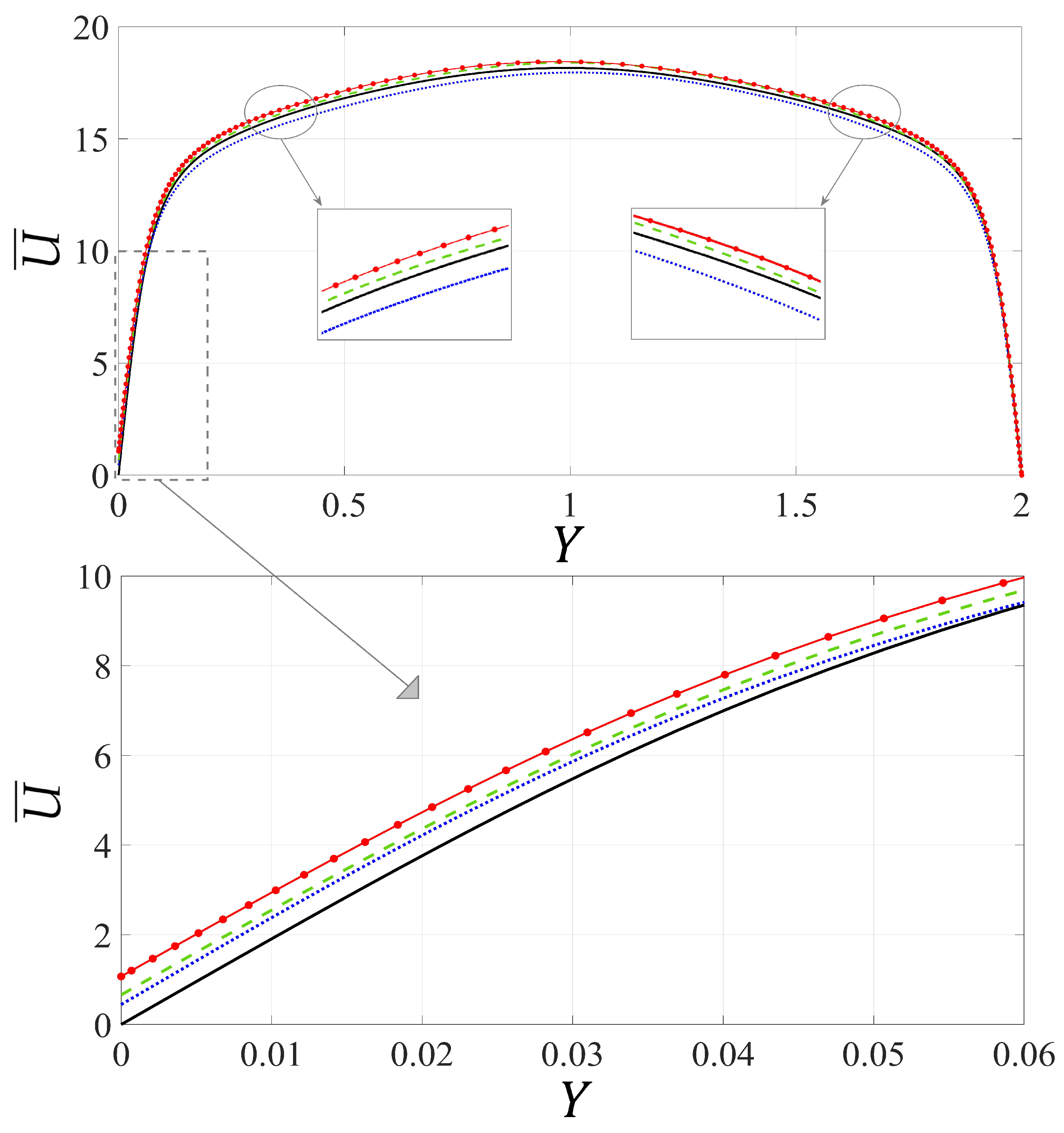
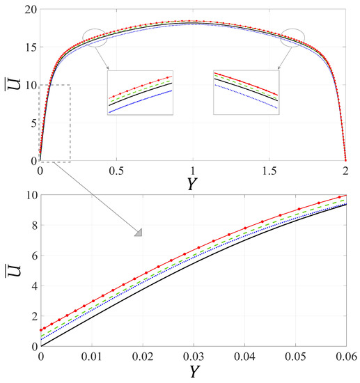
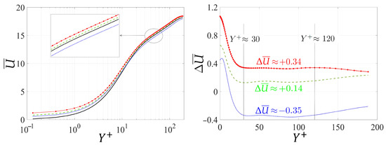
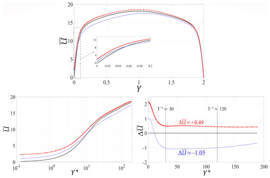
- Mean velocity profiles.
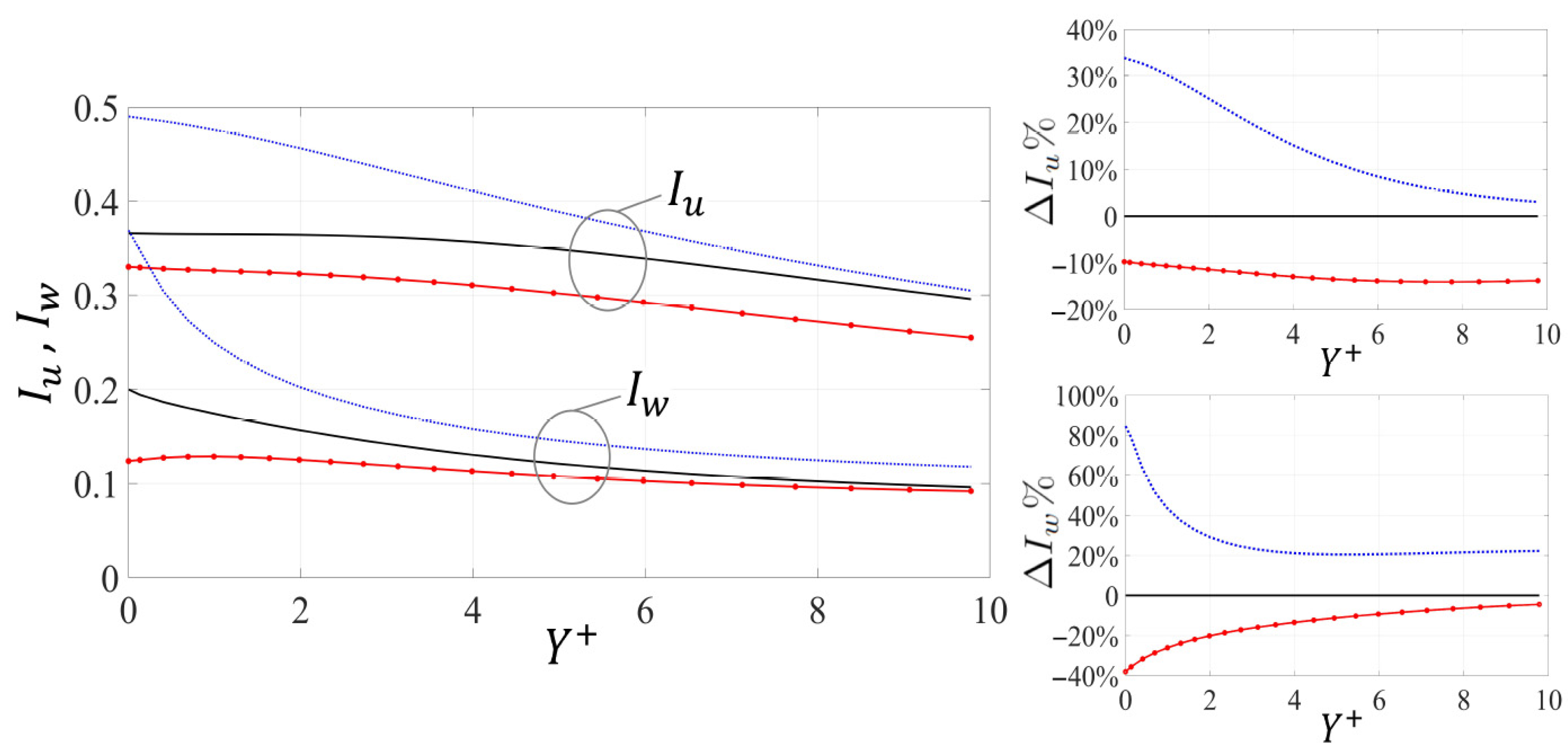
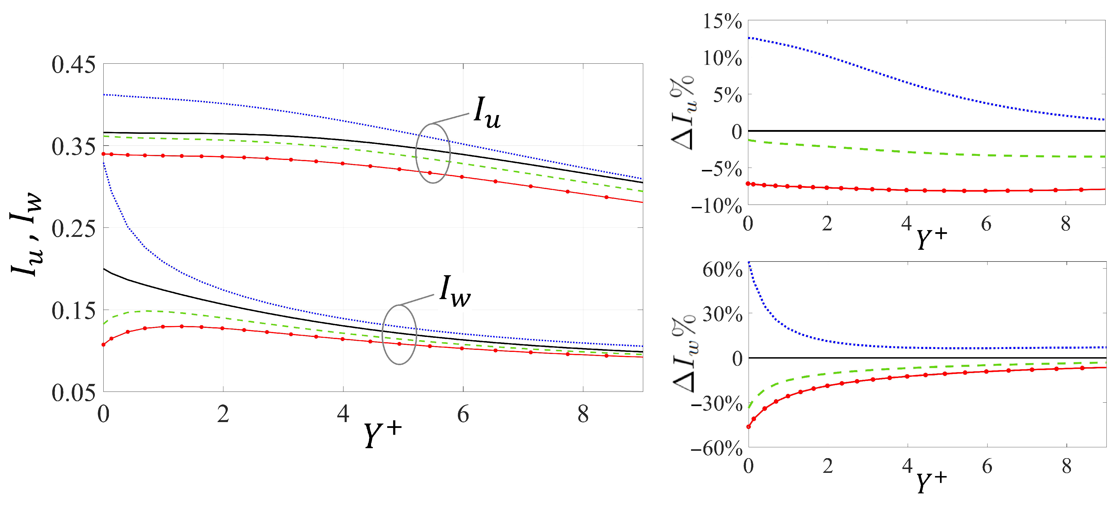
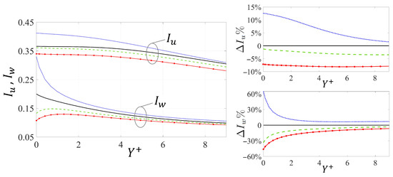
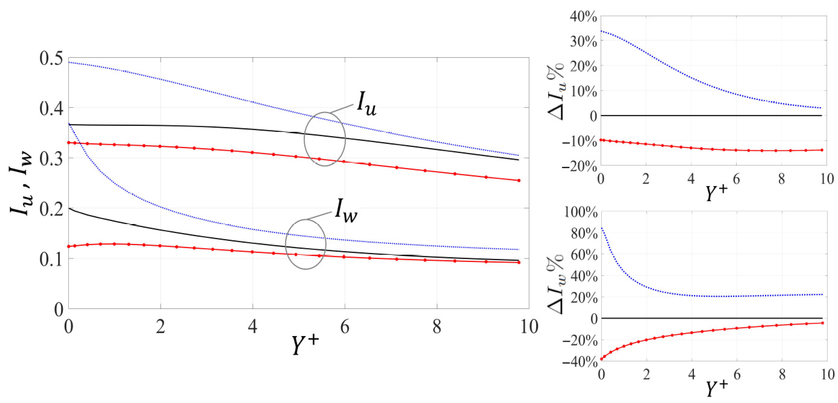
- Turbulence statistics.
3.2.3. Results for
4. Conclusions
- (i)
- The permeable substrates with preferential slip in the streamwise direction (), i.e., those designed with longitudinal (either plain or modified) cylinders, are able to reduce skin-friction drag. This conclusion should hold up to some critical value of at which large-scale instabilities have their onset in the near-wall layer [31].
- (ii)
- The adverse/favorable changes in the skin-friction drag coefficient are more pronounced for the substrates with . The drag coefficient increases by almost with the substrate , while about drag reduction is obtained with the substrate .
- (iii)
- The analysis of the turbulence intensities and provides a meaningful picture of the levels of disturbances in the neighborhood of the permeable walls; such intensities can be used, together with the streamwise slip velocity, to interpret changes in skin-friction drag.
- (iv)
- The implementation of the homogenization approach significantly reduces the numerical cost of direct numerical simulations over porous layers, since only the motion in the free-fluid region needs to be resolved. With the dimensions chosen for the domain, the total number of grid points is below , while the mesh requirements for a full feature-resolving simulation (including the porous substrate) may exceed (cf. Wang et al. [24]).
Author Contributions
Funding
Data Availability Statement
Conflicts of Interest
References
- Mansour, N.N.; Kim, J.; Moin, P. Reynolds-stress and dissipation-rate budgets in a turbulent channel flow. J. Fluid Mech. 1988, 194, 15–44. [Google Scholar] [CrossRef] [Green Version]
- Bernard, P.S.; Thomas, J.M.; Handler, R.A. Vortex dynamics and the production of Reynolds stress. J. Fluid Mech. 1993, 253, 385–419. [Google Scholar] [CrossRef] [Green Version]
- Orlandi, P.; Jiménez, J. On the generation of turbulent wall friction. Phys. Fluids 1994, 6, 634–641. [Google Scholar] [CrossRef]
- Vreman, A.W.; Kuerten, J.G.M. Comparison of direct numerical simulation databases of turbulent channel flow at Reτ = 180. Phys. Fluids 2014, 26, 015102. [Google Scholar] [CrossRef] [Green Version]
- Kline, S.J.; Reynolds, W.C.; Schraub, F.A.; Runstadler, P.W. The structure of turbulent boundary layers. J. Fluid Mech. 1967, 30, 741–773. [Google Scholar] [CrossRef] [Green Version]
- Cantwell, B.J. Organized motion in turbulent flow. Annu. Rev. Fluid Mech. 1981, 13, 457–515. [Google Scholar] [CrossRef]
- Jeong, J.; Hussain, F.; Schoppa, W.; Kim, J. Coherent structures near the wall in a turbulent channel flow. J. Fluid Mech. 1997, 332, 185–214. [Google Scholar] [CrossRef] [Green Version]
- Guo, H.; Borodulin, V.I.; Kachanov, Y.S.; Pan, C.; Wang, J.J.; Lian, Q.X.; Wang, S.F. Nature of sweep and ejection events in transitional and turbulent boundary layers. J. Turbul. 2010, 11, N34. [Google Scholar] [CrossRef]
- Jiménez, J.; Pinelli, A. The autonomous cycle of near-wall turbulence. J. Fluid Mech. 1999, 389, 335–359. [Google Scholar] [CrossRef] [Green Version]
- Kim, J.; Kim, K.; Sung, H.J. Wall pressure fluctuations in a turbulent boundary layer after blowing or suction. AIAA J. 2003, 41, 1697–1704. [Google Scholar] [CrossRef]
- Antonia, R.A.; Zhu, Y.; Sokolov, M. Effect of concentrated wall suction on a turbulent boundary layer. Phys. Fluids 1995, 7, 2465–2474. [Google Scholar] [CrossRef]
- Mahfoze, O.; Laizet, S. Skin-friction drag reduction in a channel flow with streamwise-aligned plasma actuators. Int. J. Heat Fluid Flow 2017, 66, 83–94. [Google Scholar] [CrossRef]
- Cheng, X.Q.; Wong, C.W.; Hussain, F.; Schröder, W.; Zhou, Y. Flat plate drag reduction using plasma-generated streamwise vortices. J. Fluid Mech. 2021, 918, A24. [Google Scholar] [CrossRef]
- Kang, S.; Choi, H. Active wall motions for skin-friction drag reduction. Phys. Fluids 2000, 12, 3301–3304. [Google Scholar] [CrossRef]
- Choi, K.S. Near-wall structure of turbulent boundary layer with spanwise-wall oscillation. Phys. Fluids 2002, 14, 2530–2542. [Google Scholar] [CrossRef]
- Wise, D.J.; Ricco, P. Turbulent drag reduction through oscillating discs. J. Fluid Mech. 2014, 746, 536–564. [Google Scholar] [CrossRef] [Green Version]
- Bechert, D.W.; Bartenwerfer, M. The viscous flow on surfaces with longitudinal ribs. J. Fluid Mech. 1989, 206, 105–129. [Google Scholar] [CrossRef]
- Bechert, D.W.; Bruse, M.; Hage, W.; Van der Hoeven, J.G.T.; Hoppe, G. Experiments on drag-reducing surfaces and their optimization with an adjustable geometry. J. Fluid Mech. 1997, 338, 59–87. [Google Scholar] [CrossRef]
- Rastegari, A.; Akhavan, R. On the mechanism of turbulent drag reduction with super-hydrophobic surfaces. J. Fluid Mech. 2015, 773, R4. [Google Scholar] [CrossRef]
- Rosti, M.E.; Cortelezzi, L.; Quadrio, M. Direct numerical simulation of turbulent channel flow over porous walls. J. Fluid Mech. 2015, 784, 396–442. [Google Scholar] [CrossRef] [Green Version]
- Beavers, G.S.; Sparrow, E.M.; Magnuson, R.A. Experiments on coupled parallel flows in a channel and a bounding porous medium. J. Basic Eng. 1970, 92, 843–848. [Google Scholar] [CrossRef]
- Tilton, N.; Cortelezzi, L. The destabilizing effects of wall permeability in channel flows: A linear stability analysis. Phys. Fluids 2006, 18, 051702. [Google Scholar] [CrossRef]
- Tilton, N.; Cortelezzi, L. Linear stability analysis of pressure-driven flows in channels with porous walls. J. Fluid Mech. 2008, 604, 411–445. [Google Scholar] [CrossRef]
- Wang, W.; Chu, X.; Lozano-Durán, A.; Helmig, R.; Weigand, B. Information transfer between turbulent boundary layers and porous media. J. Fluid Mech. 2021, 920, A21. [Google Scholar] [CrossRef]
- Rosti, M.E.; Brandt, L.; Pinelli, A. Turbulent channel flow over an anisotropic porous wall–drag increase and reduction. J. Fluid Mech. 2018, 842, 381–394. [Google Scholar] [CrossRef] [Green Version]
- Gómez-de Segura, G.; García-Mayoral, R. Turbulent drag reduction by anisotropic permeable substrates–analysis and direct numerical simulations. J. Fluid Mech. 2019, 875, 124–172. [Google Scholar] [CrossRef] [Green Version]
- Abderrahaman-Elena, N.; García-Mayoral, R. Analysis of anisotropically permeable surfaces for turbulent drag reduction. Phys. Rev. Fluids 2017, 2, 114609. [Google Scholar] [CrossRef] [Green Version]
- Luchini, P.; Manzo, F.; Pozzi, A. Resistance of a grooved surface to parallel flow and cross-flow. J. Fluid Mech. 1991, 228, 87–109. [Google Scholar] [CrossRef]
- Jiménez, J. On the structure and control of near wall turbulence. Phys. Fluids 1994, 6, 944–953. [Google Scholar] [CrossRef]
- Garcia-Mayoral, R.; Jiménez, J. Drag reduction by riblets. Philos. Trans. R. Soc. Math. Phys. Eng. Sci. 2011, 369, 1412–1427. [Google Scholar] [CrossRef] [Green Version]
- Gómez-de Segura, G.; Sharma, A.; García-Mayoral, R. Turbulent drag reduction using anisotropic permeable substrates. Flow Turbul. Combust. 2018, 100, 995–1014. [Google Scholar] [CrossRef] [PubMed] [Green Version]
- Babuška, I. Homogenization and its application. Mathematical and computational problems. In Numerical Solution of Partial Differential Equations–III; Academic Press: Cambridge, MA, USA, 1976; pp. 89–116. [Google Scholar]
- Bottaro, A. Flow over natural or engineered surfaces: An adjoint homogenization perspective. J. Fluid Mech. 2019, 877, P1–P91. [Google Scholar] [CrossRef]
- Navier, C. Mémoire sur les lois du mouvement des fluides. MÉMoires l’AcadÉMie R. Sci. l’Institut Fr. 1823, 6, 389–440. [Google Scholar]
- Jiménez Bolaños, S.; Vernescu, B. Derivation of the Navier slip and slip length for viscous flows over a rough boundary. Phys. Fluids 2017, 29, 057103. [Google Scholar] [CrossRef]
- Zampogna, G.A.; Magnaudet, J.; Bottaro, A. Generalized slip condition over rough surfaces. J. Fluid Mech. 2019, 858, 407–436. [Google Scholar] [CrossRef] [Green Version]
- Zampogna, G.A.; Naqvi, S.B.; Magnaudet, J.; Bottaro, A. Compliant riblets: Problem formulation and effective macrostructural properties. J. Fluids Struct. 2019, 91, 102708. [Google Scholar] [CrossRef] [Green Version]
- Lācis, U.; Sudhakar, Y.; Pasche, S.; Bagheri, S. Transfer of mass and momentum at rough and porous surfaces. J. Fluid Mech. 2020, 884, A21. [Google Scholar] [CrossRef] [Green Version]
- Bottaro, A.; Naqvi, S.B. Effective boundary conditions at a rough wall: A high-order homogenization approach. Meccanica 2020, 55, 1781–1800. [Google Scholar] [CrossRef]
- Ahmed, E.N.; Bottaro, A.; Tanda, G. A homogenization approach for buoyancy-induced flows over micro-textured vertical surfaces. J. Fluid Mech. 2022, 941, A53. [Google Scholar] [CrossRef]
- Sudhakar, Y.; Lācis, U.; Pasche, S.; Bagheri, S. Higher-order homogenized boundary conditions for flows over rough and porous surfaces. Transp. Porous Media 2021, 136, 1–42. [Google Scholar] [CrossRef]
- Naqvi, S.B.; Bottaro, A. Interfacial conditions between a free-fluid region and a porous medium. Int. J. Multiph. Flow 2021, 141, 103585. [Google Scholar] [CrossRef]
- West, A.; Caraeni, M. Jet noise prediction using a permeable FW-H solver. In Proceedings of the 21st AIAA/CEAS Aeroacoustics Conference, Dallas, TX, USA, 22–26 June 2015; p. 2371. [Google Scholar]
- Kim, J.; Moin, P.; Moser, R. Turbulence statistics in fully developed channel flow at low Reynolds number. J. Fluid Mech. 1987, 177, 133–166. [Google Scholar] [CrossRef] [Green Version]
- Moser, R.D.; Kim, J.; Mansour, N.N. Direct numerical simulation of turbulent channel flow up to Reτ = 590. Phys. Fluids 1999, 11, 943–945. [Google Scholar] [CrossRef]
- Abe, H.; Kawamura, H.; Matsuo, Y. Direct numerical simulation of a fully developed turbulent channel flow with respect to the Reynolds number dependence. ASME J. Fluids Eng. 2001, 123, 382–393. [Google Scholar] [CrossRef]
- Kozuka, M.; Seki, Y.; Kawamura, H. DNS of turbulent heat transfer in a channel flow with a high spatial resolution. Int. J. Heat Fluid Flow 2009, 30, 514–524. [Google Scholar] [CrossRef]
- Kim, J. On the structure of wall-bounded turbulent flows. Phys. Fluids 1983, 26, 2088–2097. [Google Scholar] [CrossRef]
- Clauser, F.H. The turbulent boundary layer. Adv. Appl. Mech. 1956, 4, 1–51. [Google Scholar]



















| 0.215 | 5.883 | 4.103 | 0 | 1.217 | 3.814 | 1.823 |
| 0.500 | 6.883 | 4.513 | 1.828 | 6.966 | 5.561 | 2.220 |
| 0.600 | 7.398 | 4.713 | 4.331 | 1.212 | 6.737 | 2.410 |
| 0.700 | 8.167 | 4.992 | 9.587 | 2.222 | 9.042 | 2.657 |
| 0.800 | 9.347 | 5.385 | 1.990 | 4.179 | 1.410 | 2.965 |
| 0.900 | 1.130 | 6.010 | 3.970 | 8.031 | 2.638 | 4.113 |
| 0.990 | 1.953 | 8.912 | 1.255 | 2.534 | 1.075 | 2.960 |
| Macroscopic Parameters | Configurations | |||||
|---|---|---|---|---|---|---|
| 0.4287 | 0.6539 | 1.0735 | 0.8574 | 1.3078 | 2.1470 | |
| 0.6539 | 0.4287 | 0.5605 | 1.3078 | 0.8574 | 1.1210 | |
| 0.2004 | 0.5018 | 1.0947 | 0.8016 | 2.0072 | 4.3788 | |
| 0.5018 | 0.2004 | 0.3709 | 2.0072 | 0.8016 | 1.4836 | |
| 0.1650 | 0.6287 | 0.6877 | 0.6600 | 2.5148 | 2.7508 | |
| 0.1650 | 0.1650 | 0.0109 | 0.6600 | 0.6600 | 0.0436 | |
| 0.6287 | 0.1650 | 0.0109 | 2.5148 | 0.6600 | 0.0436 | |
| Quantities | Configurations | |||
|---|---|---|---|---|
| Smooth | ||||
| 1 | 1.036 | 0.976 | 0.961 | |
| 0 | +2.423% | −2.157% | −3.681% | |
| Quantity | Interfacial Values (Y = 0) | Peak Values | ||||||
|---|---|---|---|---|---|---|---|---|
| Smooth | Smooth | |||||||
| 0 | 0.4439 | 0.6605 | 1.0719 | 18.164 | 17.959 | 18.397 | 18.446 | |
| 0 | 0.1829 | 0.2388 | 0.3643 | 2.6359 | 2.6377 | 2.6102 | 2.5668 | |
| 0 | 0.0135 | 0.0078 | 0.0082 | 0.8292 | 0.8427 | 0.8184 | 0.8097 | |
| 0 | 0.1462 | 0.0876 | 0.1152 | 1.0692 | 1.0879 | 1.0529 | 1.0598 | |
| 0 | 0.00081 | 0.00046 | 0.00064 | 0.7231 | 0.7521 | 0.7069 | 0.7023 | |
| 0.3660 | 0.4120 | 0.3615 | 0.3399 | 0.3660 | 0.4120 | 0.3615 | 0.3399 | |
| 0.2000 | 0.3293 | 0.1326 | 0.1075 | 0.2000 | 0.3293 | 0.1485 | 0.1297 | |
| 0.1680 | 0.2055 | 0.1567 | 0.1393 | 0.1680 | 0.2055 | 0.1567 | 0.1393 | |
| Quantities | Configurations | ||
|---|---|---|---|
| Smooth | |||
| 1 | 1.150 | 0.953 | |
| 0 | +8.976% | −4.934% | |
| Quantity | Interfacial Values () | Peak Values | ||||
|---|---|---|---|---|---|---|
| Smooth | Smooth | |||||
| 0 | 0.9404 | 2.1573 | 18.164 | 17.5436 | 18.5930 | |
| 0 | 0.4615 | 0.7129 | 2.6359 | 2.6106 | 2.5090 | |
| 0 | 0.0589 | 0.0360 | 0.8292 | 0.8842 | 0.8044 | |
| 0 | 0.3563 | 0.2667 | 1.0692 | 1.1615 | 1.0688 | |
| 0 | 0.0108 | 0.0053 | 0.7231 | 0.7960 | 0.7053 | |
| 0.3660 | 0.4900 | 0.3303 | 0.3660 | 0.4900 | 0.3303 | |
| 0.2000 | 0.3691 | 0.1238 | 0.2000 | 0.3691 | 0.1287 | |
| 0.1680 | 0.3168 | 0.1493 | 0.1680 | 0.3168 | 0.1493 | |
Publisher’s Note: MDPI stays neutral with regard to jurisdictional claims in published maps and institutional affiliations. |
© 2022 by the authors. Licensee MDPI, Basel, Switzerland. This article is an open access article distributed under the terms and conditions of the Creative Commons Attribution (CC BY) license (https://creativecommons.org/licenses/by/4.0/).
Share and Cite
Ahmed, E.N.; Naqvi, S.B.; Buda, L.; Bottaro, A. A Homogenization Approach for Turbulent Channel Flows over Porous Substrates: Formulation and Implementation of Effective Boundary Conditions. Fluids 2022, 7, 178. https://doi.org/10.3390/fluids7050178
Ahmed EN, Naqvi SB, Buda L, Bottaro A. A Homogenization Approach for Turbulent Channel Flows over Porous Substrates: Formulation and Implementation of Effective Boundary Conditions. Fluids. 2022; 7(5):178. https://doi.org/10.3390/fluids7050178
Chicago/Turabian StyleAhmed, Essam N., Sahrish B. Naqvi, Lorenzo Buda, and Alessandro Bottaro. 2022. "A Homogenization Approach for Turbulent Channel Flows over Porous Substrates: Formulation and Implementation of Effective Boundary Conditions" Fluids 7, no. 5: 178. https://doi.org/10.3390/fluids7050178
APA StyleAhmed, E. N., Naqvi, S. B., Buda, L., & Bottaro, A. (2022). A Homogenization Approach for Turbulent Channel Flows over Porous Substrates: Formulation and Implementation of Effective Boundary Conditions. Fluids, 7(5), 178. https://doi.org/10.3390/fluids7050178

