Stereo-Complex and Click-Chemical Bicrosslinked Amphiphilic Network Gels with Temperature/pH Response
Abstract
1. Introduction
2. Results and Discussion
2.1. Synthesis
2.2. Structural Characterization
2.2.1. Structural Characterization of HEMA-PLLAn and HEMA-PDLAn
2.2.2. Structural Characterization of HEMA-PLLA-N3 and HEMA-PDLA-Alkyne
2.2.3. Structural Characterization of Gels
2.3. Morphology Analysis of Gels
2.4. The Amphiphilic Nature of Gels
2.5. Temperature Sensitivity of the Gels and Reversibility
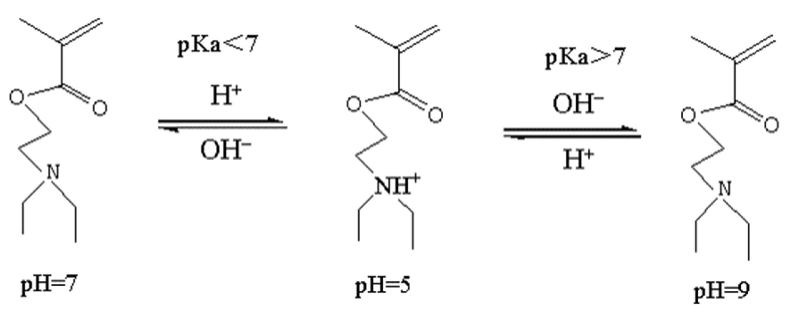
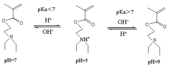
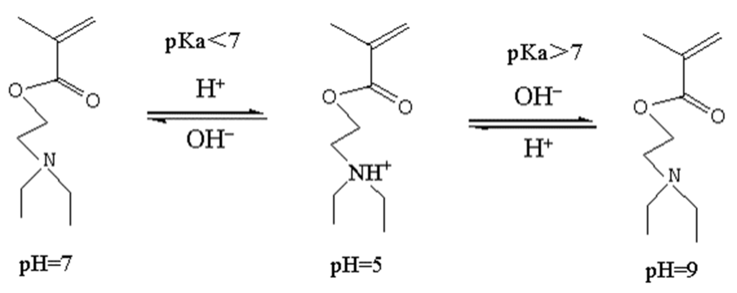
2.6. pH Sensitivity of the Gels
2.7. Thermal Properties Analysis of Gels
2.8. Analysis of Mechanical Properties of Gels
2.9. Sustained Drug Release of the Gels
3. Conclusions
4. Materials and Methods
4.1. Materials
4.2. Synthesis
4.2.1. Synthesis of Macromolecular Monomers HEMA-PLLAn and HEMA-PDLAn
4.2.2. Synthesis of HEMA-PLLA-N3
4.2.3. Synthesis of HEMA-PDLA-Alkyne
4.2.4. Synthesis of Physicochemical Double-Crosslinked Hydrogels
4.3. Methods
4.3.1. Structural Characterization
4.3.2. Morphological Testing of Gels
4.3.3. The Amphiphilic Nature of Gels
4.3.4. Temperature Sensitivity of the Gels and Reversibility
4.3.5. pH Sensitivity of the Gels
4.3.6. Thermal Properties Analysis of Gels
4.3.7. Analysis of Mechanical Properties of Gels
4.3.8. Sustained Drug Release of the Gels
Author Contributions
Funding
Institutional Review Board Statement
Informed Consent Statement
Data Availability Statement
Acknowledgments
Conflicts of Interest
References
- Bray, F.; Ferlay, J.; Soerjomataram, I.; Siegel, R.L.; Torre, L.A.; Jemal, A. Global Cancer Statistics 2018: Globocan Estimates of Incidence and Mortality Worldwide for 36 Cancers in 185 Countries. CA Cancer J. Clin. 2018, 68, 394–424. [Google Scholar] [CrossRef]
- Andrade, F.; Roca-Melendres, M.M.; Duran-Lara, E.F.; Rafael, D.; Schwartz, S., Jr. Stimuli-Responsive Hydrogels for Cancer Treatment: The Role of pH, Light, Ionic Strength and Magnetic Field. Cancers 2021, 13, 1164. [Google Scholar] [CrossRef]
- Chang, R.; Wang, X.; Li, X.; An, H.; Qin, J. Self-Activated Healable Hydrogels with Reversible Temperature Responsiveness. ACS Appl. Mater. Interfaces 2016, 8, 25544–25551. [Google Scholar] [CrossRef]
- Werzer, O.; Tumphart, S.; Keimel, R.; Christian, P.; Coclite, A.M. Drug Release from Thin Films Encapsulated by a Temperature-Responsive Hydrogel. Soft Matter. 2019, 15, 1853–1859. [Google Scholar] [CrossRef]
- Zhou, D.; Li, S.; Fei, Z.; Zhou, P.; Zhao, Y.; Zhi, L. Glucose and pH Dual-Responsive Polymersomes with Multilevel Self-Regulation of Blood Glucose for Insulin Delivery. Biomacromolecules 2021, 22, 3971–3979. [Google Scholar] [CrossRef]
- Wei, P.; Song, R.; Chen, C.; Li, Z.; Zhu, Z.; Li, S. A pH-Responsive Molecularly Imprinted Hydrogel for Dexamethasone Release. J. Inorg. Organomet. Polym. Mater. 2018, 29, 659–666. [Google Scholar] [CrossRef]
- Lin, C.Y.; Battistoni, C.M.; Liu, J.C. Redox-Responsive Hydrogels with Decoupled Initial Stiffness and Degradation. Biomacromolecules 2021, 22, 5270–5280. [Google Scholar] [CrossRef] [PubMed]
- Yu, L.; Yao, L.; Yang, K. Redox- and pH-Responsive Hydrogels: Formulation and Controlled Drug Delivery. J. Porous Mater. 2016, 23, 1581–1589. [Google Scholar] [CrossRef]
- Yang, M.; Wang, L.; Cheng, Y.; Ma, K.; Wei, X.; Jia, P. Light- and pH-Responsive Self-Healing Hydrogel. J. Mater. Sci. 2019, 54, 9983–9994. [Google Scholar] [CrossRef]
- Wang, C.; Willner, B.; Willner, I. Redox-Responsive and Light-Responsive DNA-Based Hydrogels and Their Applications. React. Funct. Polym. 2021, 166, 104983. [Google Scholar] [CrossRef]
- Hu, W.; Wang, Z.; Xiao, Y.; Zhang, S.; Wang, J. Advances in Crosslinking Strategies of Biomedical Hydrogels. Biomater. Sci. 2019, 7, 843–855. [Google Scholar] [CrossRef] [PubMed]
- Liu, S.Q.; Tay, R.; Khan, M.; Ee, P.L.R.; Hedrick, J.L.; Yang, Y.Y. Synthetic Hydrogels for Controlled Stem Cell Differentiation. Soft Matter. 2010, 6, 67–81. [Google Scholar] [CrossRef]
- Hennink, W.E.; van Nostrum, C.F. Novel Crosslinking Methods to Design Hydrogels. Adv. Drug Deliv. Rev. 2012, 64, 223–236. [Google Scholar] [CrossRef]
- Song, G.; Zhao, Z.; Peng, X.; He, C.; Weiss, R.A.; Wang, H. Rheological Behavior of Tough Pvp-in Situ-Paam Hydrogels Physically Cross-Linked by Cooperative Hydrogen Bonding. Macromolecules 2016, 49, 8265–8273. [Google Scholar] [CrossRef]
- Le, X.T.; Rioux, L.E.; Turgeon, S.L. Formation and Functional Properties of Protein-Polysaccharide Electrostatic Hydrogels in Comparison to Protein or Polysaccharide Hydrogels. Adv. Colloid Interface Sci 2017, 239, 127–135. [Google Scholar] [CrossRef] [PubMed]
- Lin, J.; Zheng, S.Y.; Xiao, R.; Yin, J.; Wu, Z.L.; Zheng, Q. Constitutive Behaviors of Tough Physical Hydrogels with Dynamic Metal-Coordinated Bonds. J. Mech. Phys. Solids 2020, 139, 103935. [Google Scholar] [CrossRef]
- Zambuto, S.G.; Serrano, J.F.; Vilbert, A.C.; Lu, Y.; Harley, B.A.C.; Pedron, S. Response of Neuroglia to Hypoxia-Induced Oxidative Stress Using Enzymatically Crosslinked Hydrogels. MRS Commun. 2020, 10, 83–90. [Google Scholar] [CrossRef] [PubMed]
- Hajikarimi, A.; Sadeghi, M. Free Radical Synthesis of Cross-Linking Gelatin Base Poly Nvp/Acrylic Acid Hydrogel and Nanoclay Hydrogel as Cephalexin Drug Deliver. J. Polym. Res. 2020, 27, 57. [Google Scholar] [CrossRef]
- Jalalvandi, E.; Hanton, L.R.; Moratti, S.C. Schiff-Base Based Hydrogels as Degradable Platforms for Hydrophobic Drug Delivery. Eur. Polym. J. 2017, 90, 13–24. [Google Scholar] [CrossRef]
- Li, G.; Zhao, M.; Xu, F.; Yang, B.; Li, X.; Meng, X. Synthesis and Biological Application of Polylactic Acid. Molecules 2020, 25, 5023. [Google Scholar] [CrossRef]
- Su, X.; Feng, L.; Yu, D. Formation of Stereocomplex Crystal and Its Effect on the Morphology and Property of PDLA/PLLA Blends. Polymers 2020, 12, 2515. [Google Scholar] [CrossRef]
- Basu, A.; Kunduru, K.R.; Doppalapudi, S.; Domb, A.J.; Khan, W. Poly(Lactic Acid) Based Hydrogels. Adv. Drug Deliv. Rev. 2016, 107, 192–205. [Google Scholar] [CrossRef] [PubMed]
- Liu, K.; Cao, H.; Yuan, W.; Bao, Y.; Shan, G.; Wu, Z.L. Stereocomplexed and Homocrystalline Thermo-Responsive Physical Hydrogels with a Tunable Network Structure and Thermo-Responsiveness. J. Mater. Chem. B 2020, 8, 7947–7955. [Google Scholar] [CrossRef] [PubMed]
- Ikada, Y.; Jamshidi, K.; Tsuji, H.; Hyon, S.H. Stereocomplex Formation between Enantiomeric Poly(lactides). Macromolecules 1987, 20, 904–906. [Google Scholar] [CrossRef]
- Liu, S.; Dong, M.; Zhang, Z.; Fu, G. High Elasticity, Strength, and Biocompatible Amphiphilic Hydrogel Via Click Chemistry and Ferric Ion Coordination. Polym. Adv. Technol. 2017, 28, 1065–1070. [Google Scholar] [CrossRef]
- Zhang, J.; Xu, X.-D.; Wu, D.-Q.; Zhang, X.-Z.; Zhuo, R.-X. Synthesis of Thermosensitive P(Nipaam-Co-Hema)/Cellulose Hydrogels Via “Click” Chemistry. Carbohydr. Polym. 2009, 77, 583–589. [Google Scholar] [CrossRef]
- Yigit, S.; Sanyal, R.; Sanyal, A. Fabrication and Functionalization of Hydrogels through “Click” Chemistry. Chem. Asian J. 2011, 6, 2648–2659. [Google Scholar] [CrossRef] [PubMed]
- Zhang, W.; Yuan, J.; Weiss, S.; Ye, X.; Li, C.; Müller, A.H.E. Telechelic Hybrid Poly(Acrylic Acid)S Containing Polyhedral Oligomeric Silsesquioxane (Poss) and Their Self-Assembly in Water. Macromolecules 2011, 44, 6891–6898. [Google Scholar] [CrossRef]
- Santos, A.C.; Santos, A.F.M.; Diogo, H.P.; Alves, S.P.C.; Farinha, J.P.S.; Correia, N.T. Bulk Dynamics of the Thermoresponsive Random Copolymer of Di(Ethylene Glycol) Methyl Ether Methacrylate (MEO2MA) and Oligo(Ethylene Glycol) Methyl Ether Methacrylate (OEGMA). Polymer 2018, 148, 339–350. [Google Scholar] [CrossRef]
- Tian, H.Y.; Yan, J.J.; Wang, D.; Gu, C.; You, Y.Z.; Chen, X.S. Synthesis of Thermo-Responsive Polymers with Both Tunable UCST and LCST. Macromol. Rapid Commun. 2011, 32, 660–664. [Google Scholar] [CrossRef]
- Xia, M.; Cheng, Y.; Meng, Z.; Jiang, X.; Chen, Z.; Theato, P. A Novel Nanocomposite Hydrogel with Precisely Tunable UCST and LCST. Macromol. Rapid Commun. 2015, 36, 477–482. [Google Scholar] [CrossRef] [PubMed]
- Wang, J.; Yang, H.; Meng, Z.; Xie, B.; Yu, X.; Su, G. Epoxy Coating with Excellent Anticorrosion and pH-Responsive Performances Based on DEAEMA Modified Mesoporous Silica Nanomaterials. Colloids Surf. A Physicochem. Eng. Asp. 2022, 634, 127951. [Google Scholar] [CrossRef]
- Cohen, N.; Binyamin, L.; Levi-Kalisman, Y.; Berguig, G.Y.; Convertine, A.; Stayton, P. pH and Salt Effects on Surface Activity and Self-Assembly of Copolymers Containing a Weak Polybase. Langmuir 2016, 32, 9286–9292. [Google Scholar] [CrossRef] [PubMed]
- Ferjaoui, Z.; Dine, E.J.A.; Kulmukhamedova, A.; Bezdetnaya, L.; Chang, C.S. Doxorubicin-Loaded Thermoresponsive Superparamagnetic Nanocarriers for Controlled Drug Delivery and Magnetic Hyperthermia Applications. ACS Appl. Mater. Interfaces 2019, 11, 30610–30620. [Google Scholar] [CrossRef]
- Shakeel, A.; Singh, A.; Das, S.; Suhag, D. Synthesis and morphological insight of new biocompatible smart hydrogels. J. Polym. Res. 2017, 24, 113. [Google Scholar] [CrossRef]
- Wang, Z.; Wu, J.; Shi, X. Stereocomplexation of Poly(Lactic acid) and Chemical Crosslinking of Ethylene Glycol Dimethacrylate (EGDMA) Double-Crosslinked Temperature/pH Dual Responsive Hydrogels. Polymers 2020, 12, 2204. [Google Scholar] [CrossRef]
- Tian, Y.; Grishkewich, N.; Bromberg, L.; Hatton, T.A.; Tam, K.C. Cross-Linked Pluronic-G-Polyacrylic Acid Microgel System for the Controlled Release of Doxorubicin in Pharmaceutical Formulations. Eur. J. Pharm. Biopharm. 2017, 114, 230–238. [Google Scholar] [CrossRef]
- Lu, B.; Wei, L.; Meng, G.; Hou, J.; Liu, Z.; Guo, X. Synthesis of Self-Assemble pH-Responsive Cyclodextrin Block Copolymer for Sustained Anticancer Drug Delivery. Chin. J. Polym. Sci. 2017, 35, 924–938. [Google Scholar] [CrossRef]
- Li, X.; Xiong, Y. Application of “Click” Chemistry in Biomedical Hydrogels. ACS Omega 2022, 7, 36918–36928. [Google Scholar] [CrossRef]
- Ono, R.J.; Lee, A.L.Z.; Voo, Z.X.; Venkataraman, S.; Koh, B.W.; Yang, Y.Y.; Hedrick, J.L. Biodegradable Strain-Promoted Click Hydrogels for Encapsulation of Drug-Loaded Nanoparticles and Sustained Release of Therapeutics. Biomacromolecules 2017, 18, 2277–2285. [Google Scholar] [CrossRef]
- Tan, B.H.; Hussain, H.; Lin, T.T.; Chua, Y.C.; Leong, Y.W.; Tjiu, W.W. Stable Dispersions of Hybrid Nanoparticles Induced by Stereocomplexation between Enantiomeric Poly(Lactide) Star Polymers. Langmuir 2011, 27, 10538–10547. [Google Scholar] [CrossRef] [PubMed]
- Du, F.; Yener, H.E.; Hillrichs, G.; Boldt, R.; Androsch, R. Crystallization-Induced Polymer Scaffold Formation in the Polymer/Drug Delivery System Poly(L-Lactic Acid)/Ethyl Butylacetylaminopropionate (Plla/Ir3535). Biomacromolecules 2021, 22, 3950–3959. [Google Scholar] [CrossRef] [PubMed]
- Wu, J.; Shi, X.; Wang, Z.; Song, F.; Liu, S. Stereocomplex Poly(Lactic Acid) Amphiphilic Conetwork Gel with Temperature and Ph Dual Sensitivity. Polymers 2019, 11, 194. [Google Scholar] [CrossRef]
- Cao, H.; Chang, X.; Mao, H.; Zhou, J.; Wu, Z.L.; Shan, G. Stereocomplexed Physical Hydrogels with High Strength and Tunable Crystallizability. Soft Matter. 2017, 13, 8502–8510. [Google Scholar] [CrossRef]
- Shi, X.; Wu, J.; Wang, Z.; Song, F.; Gao, W.; Liu, S. Synthesis and Properties of a Temperature-Sensitive Hydrogel Based on Physical Crosslinking Via Stereocomplexation of PLLA-PDLA. RSC Adv. 2020, 10, 19759–19769. [Google Scholar] [CrossRef]
- Koenig, M.; Rodenhausen, K.B.; Rauch, S.; Bittrich, E.; Eichhorn, K.J.; Schubert, M.M.; Stamm, M.; Uhlmann, P. Salt Sensitivity of the Thermoresponsive Behavior of Pnipaam Brushes. Langmuir 2018, 34, 2448–2454. [Google Scholar] [CrossRef] [PubMed]
- Shymborska, Y.; Stetsyshyn, Y.; Raczkowska, J.; Awsiuk, K.; Ohar, H.; Budkowski, A. Impact of the Various Buffer Solutions on the Temperature-Responsive Properties of Poegma-Grafted Brush Coatings. Colloid Polym. Sci. 2022, 300, 487–495. [Google Scholar] [CrossRef]
- Ye, Z.; Su, H.; Lian, C.; Hu, J.; Shang, Y.; Liu, H. Molecular Understanding of the Lcst Phase Behaviour of P(Meo2ma-B-Oegma) Block Copolymers. Mol. Simul. 2021, 47, 299–305. [Google Scholar] [CrossRef]
- Shymborska, Y.; Stetsyshyn, Y.; Awsiuk, K.; Raczkowska, J.; Bernasik, A.; Janiszewska, N.; Dabczynski, P.; Kostruba, A.; Budkowski, A. Temperature- and Ph-Responsive Schizophrenic Copolymer Brush Coatings with Enhanced Temperature Response in Pure Water. ACS Appl. Mater. Interfaces 2023, 15, 8676–8690. [Google Scholar] [CrossRef]
- Papadakis, C.M.; Muller-Buschbaum, P.; Laschewsky, A. Switch It inside-Out: “Schizophrenic” Behavior of All Thermoresponsive Ucst-Lcst Diblock Copolymers. Langmuir 2019, 35, 9660–9676. [Google Scholar] [CrossRef]
- Besli, N.S.O.; Orakdogen, N. Thermomechanical Analysis and pH-Triggered Elastic Response of Charge-Balanced Sulfonated Poly(Tertiary Amine-Methacrylate)-Based Terpolymer Cryogels. Polymer 2020, 208, 122941. [Google Scholar] [CrossRef]
- Pikabea, A.; Villar-Álvarez, E.; Forcada, J.; Taboada, P. pH-Controlled Doxorubicin Delivery from Pdeaema-Based Nanogels. J. Mol. Liq. 2018, 266, 321–329. [Google Scholar] [CrossRef]
- Farid-Ul-Haq, M.; Amin, M.; Hussain, M.A.; Sher, M. Comparative isoconversional thermal analysis of Artemisia vulgaris hydrogel and its acetates, a potential matrix for sustained drug delivery. Int. J. Polym. Anal. Charact. 2020, 25, 529–538. [Google Scholar] [CrossRef]
- Wen, Y.; Li, X.; Zhang, S.; Xie, C.; Ma, W.; Liang, L.; He, Z.; Duan, H.; Mou, Y.; Zhao, G. Preparation of a “Branch-Fruit” Structure Chitosan Nanofiber Physical Hydrogels with High Mechanical Strength and Ph-Responsive Controlled Drug Release Properties. RSC Adv. 2022, 12, 17208–17216. [Google Scholar] [CrossRef] [PubMed]
- Rochani, A.; Agrahari, V.; Chandra, N.; Singh, O.N.; McCormick, T.J.; Doncel, G.F.; Clark, M.R.; Kaushal, G. Development and Preclinical Investigation of Physically Cross-Linked and Ph-Sensitive Polymeric Gels as Potential Vaginal Contraceptives. Polymers 2022, 14, 1728. [Google Scholar] [CrossRef] [PubMed]
- Wen, J.; Zhang, X.; Pan, M.; Yuan, J.; Jia, Z.; Zhu, L. A Robust, Tough and Multifunctional Polyurethane/Tannic Acid Hydrogel Fabricated by Physical-Chemical Dual Crosslinking. Polymers 2020, 12, 239. [Google Scholar] [CrossRef] [PubMed]
- Zong, S.; Wen, H.; Lv, H. Intelligent hydrogel with both redox and thermo-response based on cellulose nanofiber for controlled drug delivery. Carbohydr. Polym. 2022, 278, 118943. [Google Scholar] [CrossRef]
- Omidi, S.; Pirhayati, M.; Kakanejadifard, A. Co-delivery of doxorubicin and curcumin by a pH-sensitive, injectable, and in situ hydrogel composed of chitosan, graphene, and cellulose nanowhisker. Carbohydr. Polym. 2020, 231, 115745. [Google Scholar] [CrossRef]




















| Samples | HEMA/PDLA (n:n) | HEMA/PLLA (n:n) | HEMA-PDLA-Alkyne/HEMA-PLLA-N3 (w:w) |
|---|---|---|---|
| gel 1 | 1:10 | 1:10 | 5:04 |
| gel 2 | 1:20 | 1:20 | 5:04 |
| gel 3 | 1:30 | 1:30 | 5:04 |
| gel 4 | 1:40 | 1:40 | 5:04 |
| Samples | Step | Ti (°C) | Tm (°C) | Tf (°C) | Mass Loss (%) at Tf |
|---|---|---|---|---|---|
| gel 1 | 1 | 150 | 315 | 349 | 64.67 |
| 2 | 355 | 412 | 450 | 2.34 | |
| gel 2 | 1 | 190 | 298 | 340 | 61.71 |
| 2 | 350 | 403 | 445 | 5.176 | |
| gel 3 | 1 | 220 | 400 | 460 | 2.028 |
| gel 4 | 1 | 222 | 403 | 460 | 3.148 |
Disclaimer/Publisher’s Note: The statements, opinions and data contained in all publications are solely those of the individual author(s) and contributor(s) and not of MDPI and/or the editor(s). MDPI and/or the editor(s) disclaim responsibility for any injury to people or property resulting from any ideas, methods, instructions or products referred to in the content. |
© 2023 by the authors. Licensee MDPI, Basel, Switzerland. This article is an open access article distributed under the terms and conditions of the Creative Commons Attribution (CC BY) license (https://creativecommons.org/licenses/by/4.0/).
Share and Cite
Yang, W.; Wang, J.; Jia, L.; Li, J.; Liu, S. Stereo-Complex and Click-Chemical Bicrosslinked Amphiphilic Network Gels with Temperature/pH Response. Gels 2023, 9, 647. https://doi.org/10.3390/gels9080647
Yang W, Wang J, Jia L, Li J, Liu S. Stereo-Complex and Click-Chemical Bicrosslinked Amphiphilic Network Gels with Temperature/pH Response. Gels. 2023; 9(8):647. https://doi.org/10.3390/gels9080647
Chicago/Turabian StyleYang, Wanying, Jiaqi Wang, Lingjiang Jia, Jingyi Li, and Shouxin Liu. 2023. "Stereo-Complex and Click-Chemical Bicrosslinked Amphiphilic Network Gels with Temperature/pH Response" Gels 9, no. 8: 647. https://doi.org/10.3390/gels9080647
APA StyleYang, W., Wang, J., Jia, L., Li, J., & Liu, S. (2023). Stereo-Complex and Click-Chemical Bicrosslinked Amphiphilic Network Gels with Temperature/pH Response. Gels, 9(8), 647. https://doi.org/10.3390/gels9080647

