Efficient Degradation for Raffinose and Stachyose of a β-D-Fructofuranosidase and Its New Function to Improve Gel Properties of Coagulated Fermented-Soymilk
Abstract
1. Introduction
2. Results and Discussion
2.1. Screening, Syntheting, and Cloning the β-D-Fructofuranosidase Gene from L. cholodnii
2.2. Purification, SDS-PAGE Analysis, and Enzyme Assay of LcFFase1s
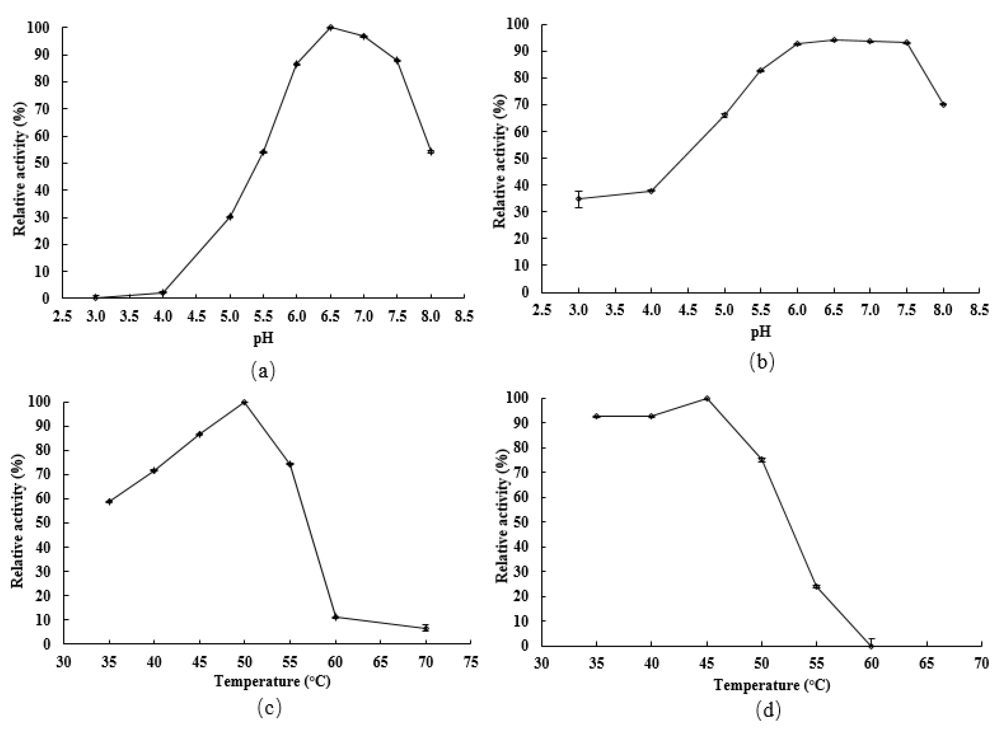
2.3. Enzymatic Characterization of the Recombinant LcFFase1s
2.4. Resistance to Proteolytic Degradation of LcFFase1s
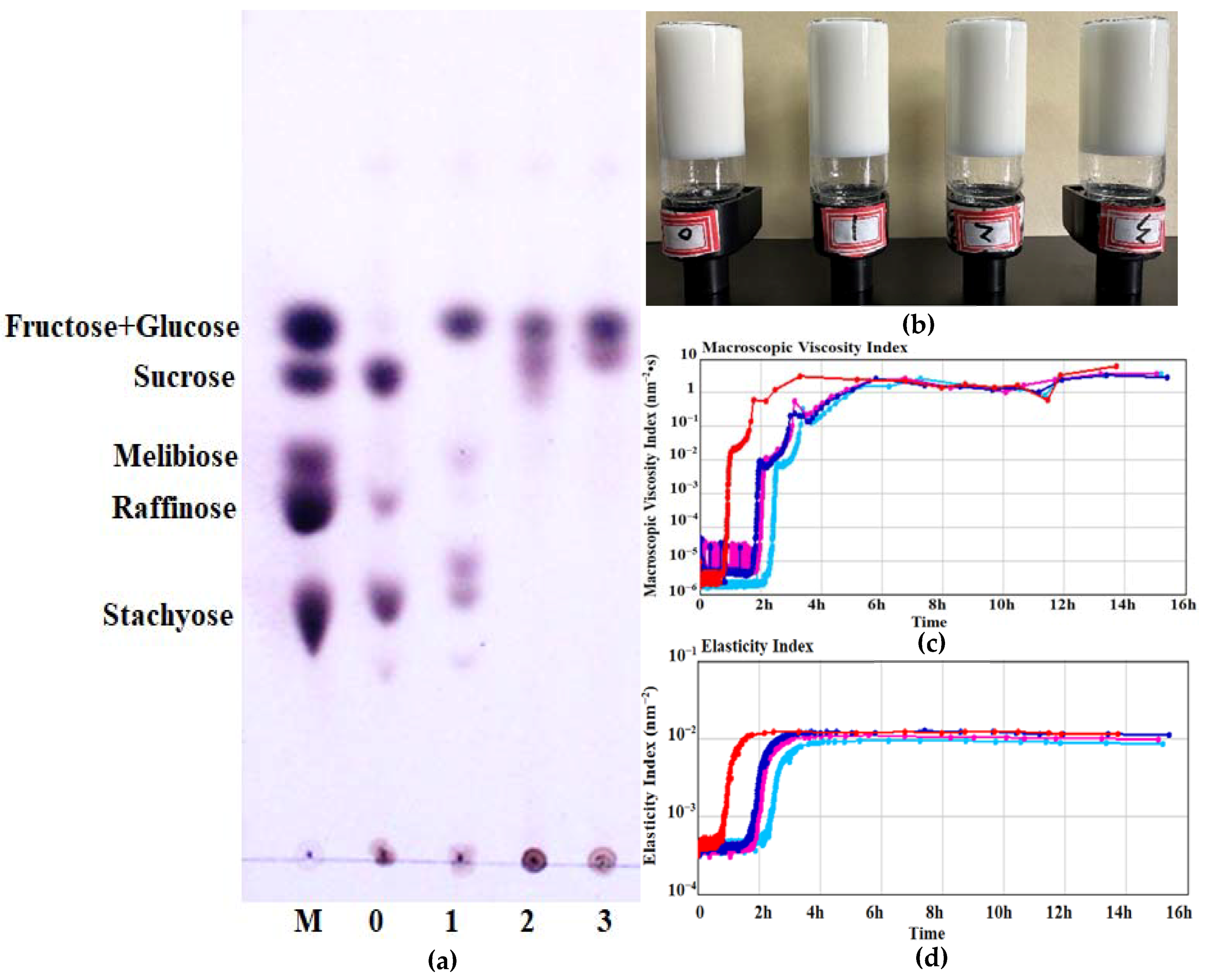
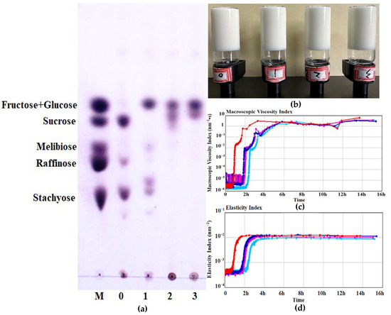
2.5. Ability of LcFFase1s to Hydrolyze Raffinose and Stachyose into Melibiose and Mantrionose
2.6. Effect on Gel Properties of LcFFase1s during the Process of Coagulated Fermented-Soymilk
3. Conclusions
4. Materials and Methods
4.1. Reagents
4.2. Gene Excavation, Cloning, and Expression of the β-D-Fructofuranosidase
4.3. Purification, Protein, and Catalytic Properties of Recombinant LcFFase1s
4.4. Enzyme Assay and Protein Determination
4.5. Characterization of the Recombinant β-D-Fructofuranosidase
4.6. Effect on β-D-Fructofuranosidase Activity of Cations In Vivo
4.7. Resistant Ability of β-D-Fructofuranosidase to the Hydrolysis of Proteases
4.8. Hydrolysis Ability on Raffinose and Stachyose of LcFFase1s
4.9. Effect on Gel Properties of LcFFase1s during the Process of Coagulated Fermented-Soymilk
4.10. Statistical Analysis
Author Contributions
Funding
Institutional Review Board Statement
Informed Consent Statement
Data Availability Statement
Conflicts of Interest
References
- Chu, J.L.; Tian, Y.N.; Li, Q.; Liu, G.F.; Yu, Q.; Jiang, T.Y.; He, B.F. Engineering the β-fructofuranosidase Fru6 with promoted transfructosylating capacity for fructooligosaccharide production. J. Agric. Food. Chem. 2022, 70, 9694–9702. [Google Scholar] [CrossRef]
- Le, H.; Nguyen, N.H.; Ta, D.T.; Le, T.N.T.; Bui, T.P.; Le, N.T.; Nguyen, C.X.; Rolletschek, H.; Stacey, G.; Stacey, M.G.; et al. CRISPR/Cas9-Mediated knockout of galactinol synthase-encoding genes reduces raffinose family oligosaccharide levels in soybean seeds. Front. Plant. Sci. 2020, 11, 612942. [Google Scholar] [CrossRef] [PubMed]
- Liu, J.J.; Cheng, J.; Huang, M.; Shen, C.; Xu, K.; Xiao, Y.; Pan, W.; Fang, Z. Identification of an invertase with high specific activity for raffinose hydrolysis and its application in soymilk treatment. Front. Microbiol. 2021, 12, 646801. [Google Scholar] [CrossRef] [PubMed]
- Ozalp, P.; Emre, I. The effects of carbohydrates upon the survival and reproduction of adult female Pimpla turionellae L. (Hym., Ichneumonidae). J. Appl. Entomol. 2001, 125, 177–180. [Google Scholar] [CrossRef]
- Kaneko, I.; Hayamizu, K.; Tomita, K.; Nagura, T.; Shigematsu, N.; Chiba, T. Pilot study of melibiose in patients with adolescent or adult-type atopic dermatitis. J. Appl. Glycosci. 2003, 21, 123–128. [Google Scholar]
- Tomita, K.; Nagura, T.; Okuhara, Y.; Nakajiam-adachi, H.; Shigematsu, N.; Aritsuka, T. Dietary melibiose regulates Th cell response and enhances the induction of oral tolerance. Biosci. Biotechnol. Biochem. 2007, 71, 2774–2780. [Google Scholar] [CrossRef] [PubMed]
- Lin, C.H.; Wei, P.C.; Chen, C.M.; Huang, Y.T.; Lin, J.J.; Lo, Y.S.; Lin, J.L.; Lin, C.Y.; Wu, Y.R.; Chang, K.H.; et al. Lactulose and melibiose attenuate MPTP-induced Parkinson’s disease in mice by inhibition of oxidative stress, reduction of neuroinflammation and up-regulation of autophagy. Front. Aging. Neurosci. 2020, 12, 226. [Google Scholar] [CrossRef]
- Tanaka, S.; Shinoki, A.; Hara, H. Melibiose, a nondigestible disaccharide, promotes absorption of quercetin glycosides in rat small intestine. J. Agric. Food. Chem. 2016, 64, 9335–9341. [Google Scholar] [CrossRef]
- do Nascimento, G.C.; Batista, R.D.; do Amaral Santos, C.C.; Silva, E.; de Paula, F.C.; de Oliveira, D.P.; de Almeda, A.F. β-Fructofuranosidase and β-D-fructosyltransferase from new Aspergillus carbonarius PC-4 strain isolated from canned peach syrup: Effect of Carbon and nitrogen sources on enzyme production. Sci. World. J. 2019, 2019, 6956202. [Google Scholar] [CrossRef]
- Ghasemi, Y.; Mokham, M.; Ghasemian, A.; Rasoul-Amini, S. Experimental design of medium optimization for invertase production by Pichia sp. J. Food Sci. Technol. 2011, 51, 267–275. [Google Scholar] [CrossRef]
- Kumar, C.; Wagh, J.; Archana, G.; Kumar, G.N. Sucrose dependent mineral phosphate solubilization in Enterobacter asburiae PSI3 by heterologous overexpression of periplasmic invertases. World. J. Microbiol. Biotechnol. 2016, 32, 194. [Google Scholar] [CrossRef]
- Bhatti, H.N.; Asgher, M.; Abbas, A.; Nawaz, R.; Sheikh, M.A. Studies on kinetics and thermostability of a novel acid invertase from Fusarium solani. J. Agric. Food. Chem. 2006, 54, 4617–4623. [Google Scholar] [CrossRef]
- Lincoln, L.; More, S.S. Screening and enhanced production of neutral invertase from Aspergillus sp. by utilization of molasses-A by-product of sugarcane industry. Adv. Bioresearch 2017, 8, 103–110. [Google Scholar]
- Ohara, A.; de Castro, R.J.S.; Nishide, T.G. Invertase production by Aspergillus niger under solid-state fermentation: Focus on physical-chemical parameters, synergistic and antagonistic effects using agro-industrial wastes. Biocatal. Agric. Biotechnol. 2015, 4, 645–652. [Google Scholar] [CrossRef]
- Xu, Z.W.; Li, Y.Q.; Wang, Y.H.; Yang, B.; Ning, Z.X. Production of β-fructofuranosidase by Arthrobacter sp. and its application in the modification of stevioside and rebaudioside A. Food Technol. Biotechnol. 2009, 47, 137–143. [Google Scholar]
- Yoon, M.H.; Choi, W.Y.; Kwon, S.J.; Yi, S.H.; Lee, D.H.; Lee, J.S. Purification and properties of intracellular invertase from alkalophilic and thermophilic Bacillus cereus TA-11. J. Appl. Biol. Chem. 2007, 50, 196–201. [Google Scholar]
- Zhou, G.; Peng, C.; Liu, X.S.; Chang, F.; Xiao, Y.Z.; Liu, J.J.; Fang, Z.M. Identification and immobilization of an invertase with high specific activity and sucrose tolerance ability of Gongronella sp. w5 for high fructose syrup preparation. Front. Microbiol. 2020, 11, 633. [Google Scholar] [CrossRef]
- Xu, W.; Yu, S.H.; Liu, Q.; Zhang, T.; Jiang, B.; Mu, W.M. Enzymatic production of melibiose from raffinose by the levansucrase from Leuconostoc mesenteroides B-512 FMC. J. Agric. Food. Chem. 2017, 65, 3910–3918. [Google Scholar] [CrossRef] [PubMed]
- Lincoln, L.; More, S.S. Comparative evaluation of extracellular β-D-fructofuranosidase in submerged and solid-state fermentation produced by newly identified Bacillus subtilis strain. J. Appl. Microbiol. 2018, 125, 441–456. [Google Scholar] [CrossRef] [PubMed]
- Zhou, J.P.; He, L.M.; Gao, Y.J.; Han, N.Y.; Zhang, R.; Wu, Q.; Li, J.J.; Tang, X.H.; Xu, B.; Ding, J.M.; et al. Characterization of a novel low-temperature-active, alkaline and sucrose-tolerant invertase. Sci. Rep. 2016, 6, 32081. [Google Scholar] [CrossRef]
- Kobayashi, T.; Uchimura, K.; Deguchi, S.; Horikoshi, K. Cloning and sequencing of inulinase and β-fructofuranosidase genes of a deep-sea Microbulbifer species and properties of recombinant enzymes. Appl. Environ. Microbiol. 2012, 78, 2493–2495. [Google Scholar] [CrossRef] [PubMed]
- Guerrero-Urrutia, G.; Volke-Sepulveda, T.; Figueroa-Martinez, F.; Favela-Torres, E. Solid-state fermentation enhances inulinase and invertase production by Aspergillus brasiliensis. Process. Biochem. 2021, 108, 169–175. [Google Scholar] [CrossRef]
- de Oliveira, R.L.; da Silva, M.F.; Converti, A.; Porto, T.S. Biochemical characterization and kinetic/thermodynamic study of Aspergillus tamarii URM4634 β-fructofuranosidase with transfructosylating activity. Biotechnol. Prog. 2019, 35, e2879. [Google Scholar] [CrossRef] [PubMed]
- Tódero, L.M.; Rechia, C.G.V.; Guimarães, L.H.S. Production of short-chain fructooligosaccharides (scFOS) using extracellular β-D-fructofuranosidase produced by Aspergillus thermomutatus. J. Food. Biochem. 2019, 43, e12937. [Google Scholar] [CrossRef] [PubMed]
- Avila-Fernandez, A.; Cuevas-Juarez, E.; Rodriguez-Alegria, M.E.; Olvera, C.; Lopez-Munguia, A.; Notes, A. Functional characterization of a novel β-fructofuranosidase from Bifidobacterium longum subsp. infantis ATCC 15697 on structurally diverse fructans. J. Appl. Microbiol. 2016, 121, 263–276. [Google Scholar] [CrossRef] [PubMed]
- Avila, T.L.; Toralles, R.P.; Jansen, E.T.; Ferreira, M.V.; Kuhn, C.R.; Ruiz, W.A. Extraction, purification and characterization of invertase from Candida guilliermondii isolated from peach solid wastes. Rev. Bras. Frutic. Jaboticabal. 2022, 44, e-849. [Google Scholar] [CrossRef]
- Rasbold, L.M.; Delai, V.M.; da Cruz Kerber, C.M.; Simoes, M.B.; Heinen, P.R.; da Conceicao Silva, J.L.; de Cassia Garcia Simao, R.; Kadowaki, M.K.; Maller, A. Production, immobilization and application of invertase from new wild strain Cunninghamella echinulata PA3S12MM. J. Appl. Microbiol. 2022, 132, 2832–2843. [Google Scholar] [CrossRef]
- Ehrmann, M.A.; Korakli, M.; Vogel, R.F. Identification of the gene for β-fructofuranosidase of Bifidobacterium lactis DSM10140T and characterization of the enzyme expressed in Escherichia coli. Curr. Microbiol. 2003, 46, 391–397. [Google Scholar] [CrossRef]
- Lincoln, L.; More, S.S.; Reddy, S.V. Purification and biochemical characterization of β-D-fructofuranosidase from Bacillus subtilis LYN12. J. Food. Biochem. 2018, 42, e12592. [Google Scholar] [CrossRef]
- Mao, S.H.; Liu, Y.N.; Lu, F.P. Cloning, expression and characterization of a novel fructosyltransferase from Aspergillus niger and its application in the synthesis of fructooligosaccharides. RSC. Adv. 2019, 9, 23856–23863. [Google Scholar] [CrossRef]
- Han, S.S.; Ye, T.; Leng, S.; Pan, L.X.; Zeng, W.; Chen, G.G.; Liang, Z.Q. Purification and biochemical characteristics of a novel fructosyltransferase with a high FOS transfructosylation activity from Aspergillus oryzae S719. Protein Expr. Purif. 2020, 167, 105549. [Google Scholar] [CrossRef] [PubMed]
- Kirsch, F.; Luo, Q.; Lu, X.H.; Hagemann, M. Inactivation of invertase enhances sucrose production in the cyanobacterium Synechocystis sp. PCC 6803. Microbiology 2018, 164, 1220–1228. [Google Scholar] [CrossRef] [PubMed]
- de Almeida, M.N.; Guimaraes, V.M.; Falkoski, D.L.; de Camargo, B.R.; Fontes-Santana, G.C.; Maitan-Alfenas, G.P.; de Rezende, S.T. Purification and characterization of an invertase and a transfructosylase from Aspergillus terreus. J. Food. Biochem. 2018, 42, e12551. [Google Scholar] [CrossRef]
- Fernandes, M.L.P.; Jorge, J.A.; Guimarães, L.H.S. Characterization of an extracellular β-D-fructofuranosidase produced by Aspergillus niveus during solid-state fermentation (SSF) of cassava husk. J. Food. Biochem. 2018, 42, e12443. [Google Scholar] [CrossRef]
- Jedrzejczak-Krzepkowska, M.; Stanislaw, B.K.L. Biosynthesis, purification and characterization of β-fructofuranosidase from Bifidobacterium longum KN29.1. Process. Biochem. 2011, 46, 1963–1972. [Google Scholar] [CrossRef]
- Ryan, S.M.; Fitzgerald, G.F.; Van Sinderen, D. Transcriptional regulation and characterization of a novel β-fructofuranosidase-encoding gene from Bifidobacterium breve UCC2003. Appl. Environ. Microb. 2005, 71, 3475–3482. [Google Scholar] [CrossRef]
- Warchol, M.; Perrin, S.; Grill, J.P. Characterization of a purified β-fructofuranosidase from Bifidobacterium infantis ATCC 15697. Lett. Appl. Microbiol. 2002, 35, 462–467. [Google Scholar] [CrossRef]
- Chen, Z.; Zaky, A.A.; Liu, Y.L.; Chen, Y.Y.; Liu, L.; Li, S.T.; Jia, Y.M. Purification and characterization of a new xylanase with excellent stability from Aspergillus flavus and its application in hydrolyzing pretreated corncobs. Protein. Expres. Purif. 2019, 154, 91–97. [Google Scholar] [CrossRef]
- Lincoln, L.; More, S.S. Purification and biochemical characterization of an extracellular β-D-fructofuranosidase from Aspergillus sp. 3 Biotech. 2018, 8, 86. [Google Scholar] [CrossRef]
- Chen, Z.; Liu, Y.L.; Zaky, A.A.; Liu, L.; Chen, Y.Y.; Li, S.T.; Jia, Y.M. Characterization of a novel xylanase from Aspergillus flavus with the unique properties in production of xylooligosaccharides. J. Basic. Microb. 2019, 59, 351–358. [Google Scholar] [CrossRef]
- Chen, Z.; Liu, Y.L.; Liu, L.; Chen, Y.Y.; Li, S.T.; Jia, Y.M. Purification and characterization of a novel β-glucosidase from Aspergillus flavus and its application in saccharification of soybean meal. Prep. Biochem. Biotech. 2019, 49, 671–678. [Google Scholar] [CrossRef]
- Rusmini, P.; Cortese, K.; Crippa, V.; Cristofani, R.; Cicardi, M.E.; Ferrari, V.; Vezzoli, G.; Tedesco, B.; Meroni, M.; Messi, E.; et al. Trehalose induces autophagy via lysosomal-mediated TFEB activation in models of motoneuron degeneration. Autophagy 2019, 15, 631–651. [Google Scholar] [CrossRef]
- Gao, X.L.; Feng, T.; Liu, E.M.; Shan, P.; Zhang, Z.K.; Liao, L.; Ma, H.L. Ougan juice debittering using ultrasound-aided enzymatic hydrolysis: Impacts on aroma and taste. Food. Chem. 2021, 345, 128767. [Google Scholar] [CrossRef] [PubMed]
- Zhao, H.B.; Wang, Y.S.; Li, W.W.; Qin, F.; Chen, J. Effects of oligosaccharides and soy soluble polysaccharide on the rheological and textural properties of calcium sulfate-induced soy protein gels. Food. Bioprocess. Technol. 2017, 10, 556–567. [Google Scholar] [CrossRef]
- Bengoechea, C.; López-Castejón, M.L.; Márquez, S.; Salinas, V.; Puppo, C.; Guerrero, A. Gelation properties of calcium-inulin gels. Food Hydrocoll. 2019, 97, 105239. [Google Scholar] [CrossRef]
- Wang, C.Y.; Li, J.H.; Li, X.; Zhang, M.Q.; Gu, L.P.; Chang, C.H.; Su, Y.J.; Yang, Y.J. Molecular forces and gelling properties of heat-induced gel from egg white protein glycated with isomalto-oligosaccharide. Food. Hydrocoll. 2020, 99, 105356. [Google Scholar] [CrossRef]
- Yu, J.T.; Wang, S.W.; Sun, C.F.; Zhao, B. Insights into feruloylated oligosaccharide impact on gel properties of oxidized myofibrillar proteins based on the changes in their spatial structure. Foods 2023, 12, 1222. [Google Scholar] [CrossRef]
- Lowry, O.H.; Rosebrough, N.J.; Farr, A.L.; Randall, R.J. Protein measurement with the folin phenol reagent. J. Biol. Chem. 1951, 193, 265–275. [Google Scholar] [CrossRef]







| Purification Step | Total Activity | Protein | Specific Activity | Purification | Recovery |
|---|---|---|---|---|---|
| (U) a | (mg) b | (U/mg) | Factor (-Fold) | (%) | |
| crude supernatant | 7724.2 | 169.6 | 45.5 | 1.0 | 100.0% |
| Ni-IDA | 1289.1 | 19.9 | 64.8 | 1.4 | 16.7% |
| Concentration (U/mL) | 0 | 5 | 10 | 20 |
|---|---|---|---|---|
| Particle size (nm) | 3814 ± 22.62 | 3486.5 ± 20.50 | 3188.5 ± 14.84 | 2347.5 ± 17.67 |
Disclaimer/Publisher’s Note: The statements, opinions and data contained in all publications are solely those of the individual author(s) and contributor(s) and not of MDPI and/or the editor(s). MDPI and/or the editor(s) disclaim responsibility for any injury to people or property resulting from any ideas, methods, instructions or products referred to in the content. |
© 2023 by the authors. Licensee MDPI, Basel, Switzerland. This article is an open access article distributed under the terms and conditions of the Creative Commons Attribution (CC BY) license (https://creativecommons.org/licenses/by/4.0/).
Share and Cite
Chen, Z.; Shen, Y.; Xu, J. Efficient Degradation for Raffinose and Stachyose of a β-D-Fructofuranosidase and Its New Function to Improve Gel Properties of Coagulated Fermented-Soymilk. Gels 2023, 9, 345. https://doi.org/10.3390/gels9040345
Chen Z, Shen Y, Xu J. Efficient Degradation for Raffinose and Stachyose of a β-D-Fructofuranosidase and Its New Function to Improve Gel Properties of Coagulated Fermented-Soymilk. Gels. 2023; 9(4):345. https://doi.org/10.3390/gels9040345
Chicago/Turabian StyleChen, Zhou, Yimei Shen, and Jiangqi Xu. 2023. "Efficient Degradation for Raffinose and Stachyose of a β-D-Fructofuranosidase and Its New Function to Improve Gel Properties of Coagulated Fermented-Soymilk" Gels 9, no. 4: 345. https://doi.org/10.3390/gels9040345
APA StyleChen, Z., Shen, Y., & Xu, J. (2023). Efficient Degradation for Raffinose and Stachyose of a β-D-Fructofuranosidase and Its New Function to Improve Gel Properties of Coagulated Fermented-Soymilk. Gels, 9(4), 345. https://doi.org/10.3390/gels9040345
