Molecular and Aggregate Structural, Thermal, Mechanical and Photophysical Properties of Long-Chain Amide Gelators Containing an α-Diketo Group in the Presence or Absence of a Tertiary Amine Group
Abstract
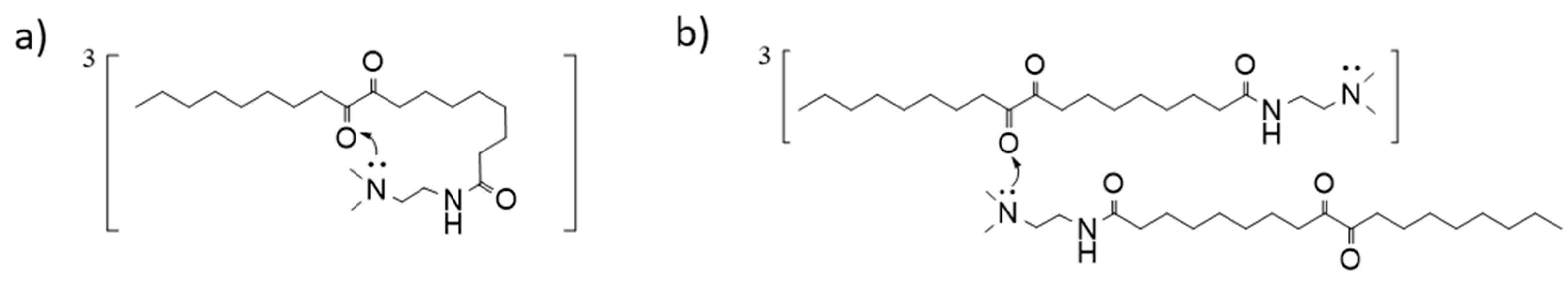
1. Introduction
2. Experimental and Procedures
2.1. Materials
2.2. Instrumentation
2.3. Procedures
2.3.1. 1H NMR
2.3.2. Preparation and Preliminary (Qualitative) Classification of Samples: Gel Formation/Gel Identification
2.3.3. Critical Gelator Concentrations (CGCs) and Gel Temporal Stabilities
2.3.4. Differential Scanning Calorimetry
2.3.5. Transmission Electron Microscopy
2.3.6. Powder X-ray Diffraction Studies
2.3.7. Rheological Measurements
2.3.8. Absorption, Emission, and Excitation Spectra
2.3.9. Density Functional Theory Calculations
3. Results and Discussion
3.1. Gelation Properties
3.2. Thermal Properties
3.3. Morphologies from Polarized Optical Micrographs and Transmission Electron Microscopy
3.4. Molecular-Packing Arrangements by PXRD
3.5. Viscoelastic Properties of Gels
3.6. Photophysical Properties of Gelators in Solution/Sol and Gel States
4. Conclusions
Supplementary Materials
Author Contributions
Funding
Informed Consent Statement
Conflicts of Interest
References
- George, M.; Weiss, R.G. Molecular Organogels. Soft Matter Comprised of Low-Molecular-Mass Organic Gelators and Organic Liquids. Acc. Chem. Res. 2006, 39, 489–497. [Google Scholar] [CrossRef] [PubMed]
- Van der Schoot, P. Remarks on the Interfacial Tension in Colloidal Systems. J. Phys. Chem. B 1999, 103, 8804–8808. [Google Scholar] [CrossRef]
- Ren, C.; Shen, J.; Chen, F.; Zeng, H. Rapid Room-Temperature Gelation of Crude Oils by a Wetted Powder Gelator. Angew. Chem. Int. Ed. 2017, 56, 3847–3851. [Google Scholar] [CrossRef]
- Yang, X.; Zhang, G.; Zhang, D. Stimuli Responsive Gels Based on Low Molecular Weight Gelators. J. Mater. Chem. 2012, 22, 38–50. [Google Scholar] [CrossRef]
- Zhu, G.; Dordick, J.S. Solvent Effect on Organogel Formation by Low Molecular Weight Molecules. Chem. Mater. 2006, 18, 5988–5995. [Google Scholar] [CrossRef]
- Abdallah, D.J.; Weiss, R.G. Organogels and Low Molecular Mass Organic Gelators. Adv. Mater. 2000, 12, 1237–1247. [Google Scholar] [CrossRef]
- Van Esch, J.H. We Can Design Molecular Gelators, But Do We Understand Them? Langmuir 2009, 25, 8392–8394. [Google Scholar] [CrossRef]
- Bhattacharya, S.; Ghosh, Y.K. First Report of Phase Selective Gelation of Oil from Oil/Water Mixtures. Possible Implications Toward Containing Oil Spills. Chem. Commun. 2001, 185–186. [Google Scholar] [CrossRef]
- Trivedi, D.R.; Ballabh, A.; Dastidar, P. An Easy to Prepare Organic Salt as a Low Molecular Mass Organic Gelator Capable of Selective Gelation of Oil from Oil/Water Mixtures. Chem. Mater. 2003, 15, 3971–3973. [Google Scholar] [CrossRef]
- Bhardwaj, V.; Ballabh, A. A Series of Multifunctional Pivalamide Based Low Molecular Mass Gelators (Lmogs) With Potential Applications in Oil-Spill Remediation and Toxic Dye Removal. Colloids Surf. A Physicochem. Eng. Asp. 2022, 632, 127813. [Google Scholar] [CrossRef]
- Esposito, C.L.; Kirilov, P. Preparation, Characterization and Evaluation of Organogel-Based Lipstick Formulations: Application in Cosmetics. Gels 2021, 7, 97. [Google Scholar] [CrossRef]
- Skilling, K.J.; Citossi, F.; Bradshaw, T.D.; Ashford, M.; Kellam, B.; Marlow, M. Insights into Low Molecular Mass Organic Gelators: A Focus on Drug Delivery and Tissue Engineering Applications. Soft Matter 2014, 10, 237–256. [Google Scholar] [CrossRef] [PubMed]
- Grover, G.; Weiss, R.G. Luminescent Behavior of Gels and Sols Comprised of Molecular Gelators. Gels 2021, 7, 19. [Google Scholar] [CrossRef] [PubMed]
- Miao, R.; Peng, J.; Fang, Y. Molecular Gels as Intermediates in the Synthesis of Porous Materials and Fluorescent Films: Concepts and Applications. Langmuir 2017, 33, 10419–10428. [Google Scholar] [CrossRef] [PubMed]
- Zhao, Z.; Lam, J.W.Y.; Tang, B.Z. Aggregation-Induced Emission of Tetraarylethene Luminogens. Curr. Org. Chem. 2010, 14, 2109–2132. [Google Scholar] [CrossRef]
- Zhang, M.; Weiss, R.G. Mechano-Responsive, Thermo-Reversible, Luminescent Organogels Derived from a Long-Chained, Naturally Occurring Fatty Acid. Chem. Eur. J. 2016, 22, 8262–8272. [Google Scholar] [CrossRef] [PubMed]
- Sun, G.J.; Chae, K.H. Properties of 2,3-Butanedione and 1-Phenyl-1,2-Propanedione as New Photosensitizers for Visible Light Cured Dental Resin Composites. Polymer 2000, 41, 6205–6212. [Google Scholar] [CrossRef]
- Lindén, L.Å.; Rabek, J.F.; Adamczak, E.; Morge, S.; Kaczmarek, H.; Wrzyszczynski, A. Polymer networks in dentistry. Macromolecular Symposia 1995, 93, 337–350. [Google Scholar] [CrossRef]
- Simas, A.B.; Pereira, V.L.P.; Barreto, C.B., Jr.; de Sales, D.L.; de Carvalho, L.L. An Expeditious and Consistent Procedure for Tetrahydrofuran (Thf) Drying and Deoxygenation by the Still Apparatus. Quim. Nova 2009, 32, 2473–2475. [Google Scholar] [CrossRef]
- Schneider, C.A.; Rasband, W.S.; Eliceiri, K.W. NIH Image to ImageJ: 25 years of Image Analysis. Nat. Methods 2012, 9, 671–675. [Google Scholar] [CrossRef]
- Collins, T.J. ImageJ for Microscopy. BioTechniques 2007, 43, 25–30. [Google Scholar] [CrossRef]
- “JADE 6.5.” 2005, MDI Materials Data: Livermore, CA, USA, 2005.
- Laxmi Madhavi, N.N.; Senthivel, P.; Nangia, A. A Caveat on the Oxidation of 2,8-diphenyl-1,9,10- anthyridine to 2,8-diphenyl-5(10H)-1,9,10-anthyridone. J. Phys. Org. Chem. 1999, 12, 665–667. [Google Scholar] [CrossRef]
- Tanodekaew, S.; Godward, J.; Heatley, F.; Booth, C. Gelation of Aqueous Solutions of Diblock Copolymers of Ethylene Oxide and D,L-lactide Macromol. Chem. Phys. 1997, 198, 3385–3395. [Google Scholar] [CrossRef]
- Franken, L.E.; Boekema, E.J.; Stuart, M.C.A. Transmission Electron Microscopy as a Tool for the Characterization of Soft Materials: Application and Interpretation. Adv. Sci. 2017, 4, 1600476. [Google Scholar] [CrossRef] [PubMed]
- Becke, A.D. Density-Functional Thermochemistry. III. The Role of Exact Exchange. J. Chem. Phys. 1993, 98, 5648–5652. [Google Scholar] [CrossRef]
- Lee, C.; Yang, W.; Parr, R.G. Development of the Colle-Salvetti Correlation-Energy Formula into a Functional of the Electron Density. Phys. Rev. B 1988, 37, 785–789. [Google Scholar] [CrossRef]
- Vosko, S.H.; Wilk, L.; Nusair, M. Accurate Spin-Dependent Electron Liquid Correlation Energies for Local Spin Density Calculations: A Critical Analysis. Can. J. Phys. 1980, 58, 1200–1211. [Google Scholar] [CrossRef]
- Stephens, P.J.; Devlin, F.J.; Chabalowski, C.F.; Frisch, M.J. Ab Initio Calculation of Vibrational Absorption and Circular Dichroism Spectra Using Density Functional Force Fields. J. Phys. Chem. 1994, 98, 11623–11627. [Google Scholar] [CrossRef]
- Hehre, W.J.; Ditchfield, R.; Pople, J.A. Self—Consistent Molecular Orbital Methods. XII. Further Extensions of Gaussian—Type Basis Sets for Use in Molecular Orbital Studies of Organic Molecules. J. Chem. Phys. 1972, 56, 2257–2261. [Google Scholar] [CrossRef]
- Hariharan, P.C.; Pople, J.A. The Influence of Polarization Functions on Molecular Orbital Hydrogenation Energies. Theor. Chim. Acc. 1973, 28, 213–222. [Google Scholar] [CrossRef]
- Frisch, M.J.; Trucks, G.W.; Schlegel, H.B.; Scuseria, G.E.; Robb, M.A.; Cheeseman, J.R.; Scalmani, G.; Barone, V.; Petersson, G.A.; Nakatsuji, H.; et al. Gaussian 16, Revision C.01; Gaussian, Inc.: Wallingford, CT, USA, 2016. [Google Scholar]
- Stephenson, W.K.; Fuchs, R. Enthalpies of interaction of ketones with organic solvents. Can. J. Chem. 1985, 63, 336–341. [Google Scholar] [CrossRef]
- Mears, L.L.E.; Draper, E.R.; Castilla, A.M.; Su, H.; Zhuola; Dietrich, B.; Nolan, M.C.; Smith, G.N.; Doutch, J.; Rogers, S.; et al. Drying Affects the Fiber Network in Low Molecular Weight Hydrogels. Biomacromolecules 2017, 18, 3531–3540. [Google Scholar] [CrossRef]
- Van Esch, J.; Schoonbeek, F.; De Loos, M.; Marc Veen, E.; Kellogg, R.M.; Feringa, B.L. Low Molecular Weight Gelators for Organic Solvents. In Supramolecular Science: Where It Is and Where It Is Going; NATO ASI Series; Ungaro, R., Dalcanale, E., Eds.; Springer: Dordrecht, The Netherlands, 1999; Volume 527, pp. 233–259. [Google Scholar] [CrossRef]
- Bragg, W.H.; Bragg, W.L. The reflection of X-rays by crystals. Proc. R. Soc. Lond. A 1913, 88, 428–438. [Google Scholar] [CrossRef]
- Mallia, V.A.; Terech, P.; Weiss, R.G. Correlations of Properties and Structures at Different Length Scales of Hydro- and Organo-gels Based on N-Alkyl-(R)-12-Hydroxyoctadecylammonium Chlorides. J. Phys. Chem. B 2011, 115, 12401–12414. [Google Scholar] [CrossRef] [PubMed]
- Huang, X.; Raghavan, S.R.; Terech, P.; Weiss, R.G. Distinct Kinetic Pathways Generate Organogel Networks with Contrasting Fractality and Thixotropic Properties. J. Am. Chem. Soc. 2006, 128, 15341–15352. [Google Scholar] [CrossRef] [PubMed]
- Scherrer, P. Bestimmung der inneren Struktur und der Größe von Kolloidteilchen mittels Röntgenstrahlen. In Kolloidchemie Ein Lehrbuch. Chemische Technologie in Einzeldarstellungen; Springer: Berlin/Heidelberg, Germany, 1912; pp. 387–409. [Google Scholar] [CrossRef]
- Sagiri, S.S.; Singh, V.K.; Pal, K.; Banerjee, I.; Basak, P. Stearic acid based oleogels: A study on the molecular, thermal and mechanical properties. Mater. Sci. Eng. C 2015, 48, 688–699. [Google Scholar] [CrossRef] [PubMed]
- Almdal, K.; Dyre, J.; Hvidt, S.; Kramer, O. Towards a phenomenological definition of the term ‘gel’. Polym. Gels Netw. 1993, 1, 5–17. [Google Scholar] [CrossRef]
- Dawn, A.; Kumari, H. Low Molecular Weight Supramolecular Gels Under Shear: Rheology as the Tool for Elucidating Structure-Function Correlation. Chem. Eur. J. 2018, 24, 762–776. [Google Scholar] [CrossRef]
- Winter, H.H.; Izuka, A.; De Rosa, M.E. Experimental Observation of the Molecular Weight Dependence of the Critical Exponents for the Rheology Near the Gel Point. Polym. Gels Netw. 1994, 2, 239–245. [Google Scholar] [CrossRef]
- Sugino, Y.; Kawaguchi, M. Fumed and Precipitated Hydrophilic Silica Suspension Gels in Mineral Oil: Stability and Rheological Properties. Gels 2017, 3, 32. [Google Scholar] [CrossRef]
- Khan, S.A.; Royer, J.R.; Raghavan, S.R. Aviation Fuels with Improved Fire Safety: A Proceeding; National Academy Press: Washington, DC, USA, 1997; Chapter 2; pp. 31–46. [Google Scholar]
- Barnes, H.A. Thixotropy—A review. J. Non-Newton. Fluid Mech. 1997, 70, 1–33. [Google Scholar] [CrossRef]
- Verheijdt, P.L.; Cerfontain, H. Dipole Moments, Spectroscopy, and Ground and Excited State Conformations of Cycloalkane-1,2-Diones. J. Chem. Soc. Perkin Trans. 1982, 2, 1541–1547. [Google Scholar] [CrossRef]
- Turro, N.J.; Lee, T.-J. Intramolecular Photoreduction of Alkyl α-Diketones. J. Am. Chem. Soc. 1969, 91, 5651–5652. [Google Scholar] [CrossRef]
- Turro, N.J.; Engel, R. Quenching of Biacetyl Fluorescence and Phosphorescence. J. Am. Chem. Soc. 1969, 91, 7113–7121. [Google Scholar] [CrossRef]
- Okutsu, T.; Ooyama, M.; Hiratsuka, H.; Tsuchiya, J.; Obi, K. A Laser Flash Photolysis Study on the Reaction Mechanisms of Benzil with Various Amines. J. Phys. Chem. A 2000, 104, 288–292. [Google Scholar] [CrossRef]
- Malval, J.-P.; Dietlin, C.; Allonas, X.; Fouassier, J.-P. Sterically Tuned Photoreactivity of an Aromatic A-Diketone Family. J. Photochem. Photobiol. A 2007, 192, 66–73. [Google Scholar] [CrossRef]
- Herkstroeter, W.G.; Saltiel, J.; Hammond, G.S. Stereoisomeric Triplet States of an α-Diketone. J. Am. Chem. Soc. 1963, 85, 482–483. [Google Scholar] [CrossRef]
- Rabek, J.F. Mechanisms of Photophysical Processes and Photochemical Reactions in Polymers; Wiley: Chichester, UK, 1987; p. 269. [Google Scholar]
- Teshima, W.; Nomura, Y.; Tanaka, N.; Urabe, H.; Okazaki, M.; Nahara, Y. ESR Study of Camphorquinone/Amine Photoinitiator Systems Using Blue Light-Emitting Diodes. Biomaterials 2003, 24, 2097–2103. [Google Scholar] [CrossRef] [PubMed]
- Weiss, R.G. (Ed.) Molecular Gels: Structure and Dynamics; RSC Publishing: Cambridge, UK, 2018; Chapter 1; p. 14. [Google Scholar] [CrossRef]
- Gómez-Zavaglia, A.; Fausto, R. Matrix-Isolation and Solid State Low Temperature FT-IR Study of 2,3-butanedione (diacetyl). J. Mol. Struct. 2003, 661–662, 195–208. [Google Scholar] [CrossRef]
- Mallia, V.A.; George, M.; Blair, D.L.; Weiss, R.G. Robust Organogels from Nitrogen-Containing Derivatives of (R)-12-Hydroxystearic Acid as Gelators: Comparisons with Gels from Stearic Acid Derivatives. Langmuir 2009, 25, 8615–8625. [Google Scholar] [CrossRef]












| Liquid | DIBA (mp, CGC) | DIPA | DMEA |
|---|---|---|---|
| 1-butanol | Soln | - | Soln |
| acetonitrile | ppt | WG | ppt |
| benzene | Soln | - | Soln |
| carbon tetrachloride | WG | Soln | WG |
| chlorobenzene | - | Soln | - |
| cyclohexane | - | WG | WG |
| decane | OG (67–74 °C, >1 wt%) b | OG | - |
| dimethyl sulfoxide | WG | WG | WG |
| hexylbenzene | CG (45–52 °C, >1 wt%) b | CG | WG |
| isostearyl alcohol | - | Soln | - |
| nitrobenzene | - | Soln | - |
| octane | OG (68–72 °C, >1 wt%) b | OG | WG |
| silicone oil DC 550 | CG (76–81 °C, 0.6 wt%) c | CG | CG |
| toluene | WG | Soln | Soln |
| water | I | I | I |
| xylene | - | Soln | - |
| Liquid | DIBA | DIPA | DMEA |
|---|---|---|---|
| dimethyl sulfoxide | 1w | 1w | 2w |
| hexylbenzene | <1w | <1w | <1w |
| octane | 3w | 3w | 5w |
| silicone oil | 8w | 8w | 6w |
| Gelator | Gel-to-Sol Transition Temperatures (°C) | ||||
|---|---|---|---|---|---|
| From 4 DSC Heating Cycles | From Heating Gel in a Vial a | ||||
| I | II | III | IV | ||
| DIBA | 93.1 | 89.7 | 88.7 | 88.1 | 83.0–87.0 |
| DIPA | 84.5 | 84.9 | 84.5 | 84.5 | 80.0–86.0 |
| DMEA | 68.2 | 66.5 | 65.8 | 65.1 | 59.0–65.0 |
| Gelator | Melting Temperature (°C) | ||||
|---|---|---|---|---|---|
| Heating Cycles (DSC) | Melting Point a | ||||
| I | II | III | IV | ||
| DIBA | 99.4 | 96.9 | 96.4 | 96.1 | 99.1–101.2 |
| DIPA | 95.0 | 92.7 | 92.4 | 92.2 | 93.3–95.6 |
| DMEA | 88.3 | 83.2 | 80.1 | 77.0 | 84.5–85.3 |
| Gelator | 2θ (°) | d (Å) | FWHM (°) | L (Å) |
|---|---|---|---|---|
| DIBA | 2.74 | 32.22 | 0.60 | 135 |
| 21.59 | 4.11 | 0.52 | 159 | |
| DIPA | 2.69 | 32.82 | 0.44 | 187 |
| 21.60 | 4.11 | 0.44 | 174 | |
| DMEA | 2.59 | 34.48 | 0.32 | 247 |
| 21.38 | 4.15 | 0.32 | 250 |
Disclaimer/Publisher’s Note: The statements, opinions and data contained in all publications are solely those of the individual author(s) and contributor(s) and not of MDPI and/or the editor(s). MDPI and/or the editor(s) disclaim responsibility for any injury to people or property resulting from any ideas, methods, instructions or products referred to in the content. |
© 2022 by the authors. Licensee MDPI, Basel, Switzerland. This article is an open access article distributed under the terms and conditions of the Creative Commons Attribution (CC BY) license (https://creativecommons.org/licenses/by/4.0/).
Share and Cite
Grover, G.; Brothers, A.B.; Weiss, R.G. Molecular and Aggregate Structural, Thermal, Mechanical and Photophysical Properties of Long-Chain Amide Gelators Containing an α-Diketo Group in the Presence or Absence of a Tertiary Amine Group. Gels 2023, 9, 36. https://doi.org/10.3390/gels9010036
Grover G, Brothers AB, Weiss RG. Molecular and Aggregate Structural, Thermal, Mechanical and Photophysical Properties of Long-Chain Amide Gelators Containing an α-Diketo Group in the Presence or Absence of a Tertiary Amine Group. Gels. 2023; 9(1):36. https://doi.org/10.3390/gels9010036
Chicago/Turabian StyleGrover, Girishma, Andrea Blake Brothers, and Richard G. Weiss. 2023. "Molecular and Aggregate Structural, Thermal, Mechanical and Photophysical Properties of Long-Chain Amide Gelators Containing an α-Diketo Group in the Presence or Absence of a Tertiary Amine Group" Gels 9, no. 1: 36. https://doi.org/10.3390/gels9010036
APA StyleGrover, G., Brothers, A. B., & Weiss, R. G. (2023). Molecular and Aggregate Structural, Thermal, Mechanical and Photophysical Properties of Long-Chain Amide Gelators Containing an α-Diketo Group in the Presence or Absence of a Tertiary Amine Group. Gels, 9(1), 36. https://doi.org/10.3390/gels9010036
