Impact of Glucose on the Nanostructure and Mechanical Properties of Calcium-Alginate Hydrogels
Abstract
:1. Introduction
2. Results and Discussion
2.1. Intrinsic Viscosity of Alginate
2.2. Effect of Glucose on the Water Activity and Proton Mobility in Solutions and Gels
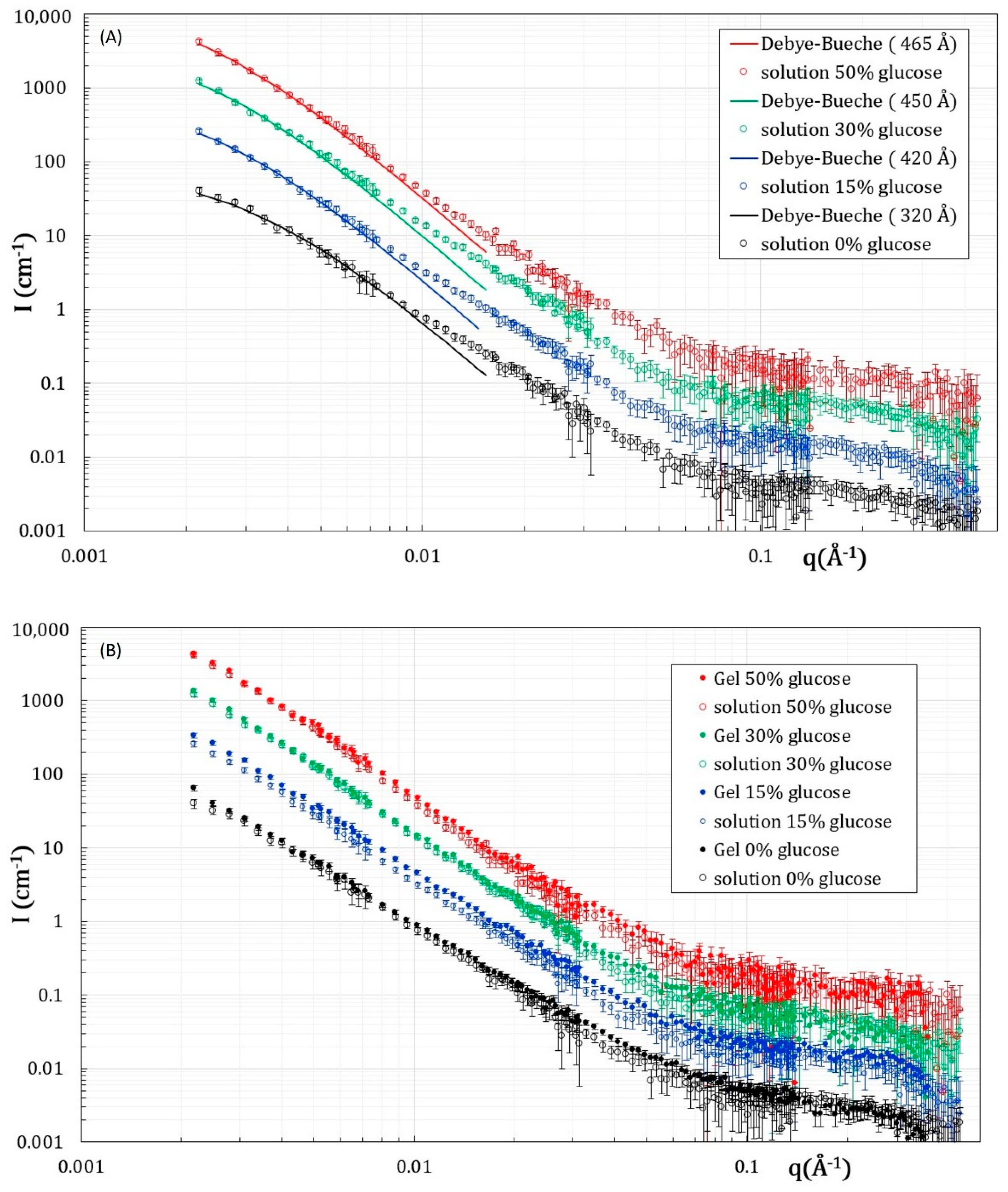
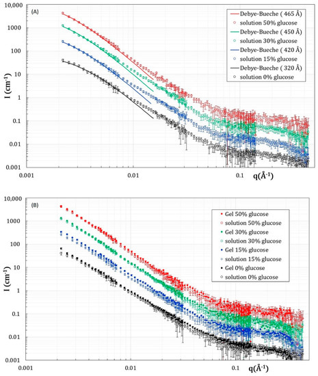
2.3. Determination of the Local Structure of Solutions and Gels by SANS
2.4. Mechanical Properties of the Gels and Poroelastic Model
3. Conclusions
4. Materials and Methods
4.1. Materials
4.2. Intrinsic Viscosity
4.3. FTIR Measurements
4.4. Low Field-Nuclear Magnetic Resonance (LF-NMR) Measurements
4.5. Small-Angle Neutron Scattering Experiments (SANS)
4.6. Viscosity of Glucose Solutions
4.7. Mechanical Properties
4.8. Statistical Data Analysis
Supplementary Materials
Author Contributions
Funding
Institutional Review Board Statement
Informed Consent Statement
Data Availability Statement
Acknowledgments
Conflicts of Interest
References
- Joye, I.J.; McClements, D.J. Biopolymer-based nanoparticles and microparticles: Fabrication, characterization, and application. Curr. Opin. Colloid Interface Sci. 2014, 19, 417–427. [Google Scholar] [CrossRef]
- Draget, K.; Alginates, G.O.; Phillips, P.; Williams, A. (Eds.) Handbook of Hydrocolloids, 2nd ed.; Elsevier Applied Science: London, UK, 2009; pp. 807–828. [Google Scholar]
- Ström, A.; Melnikov, S.; Koppert, R.; Boers, H.M.; Peters, H.P.F.; Schuring, E.A.H.; Mela, D.J. Physico-chemical properties of hydrocolloids determine its appetite effects. In Gums and Stabiliser for the Food Industry, 15th ed.; Williams, P.A., Phillips, G.O., Eds.; Royal Society of Chemistry (RSC): London, UK, 2010; pp. 341–355. [Google Scholar]
- Schuster, E.; Wallin, P.; Klose, F.; Gold, J.; Ström, A. Correlating network structure with functional properties of capillary alginate gels for muscle fiber formation. Food Hydrocoll. 2017, 72, 210–218. [Google Scholar] [CrossRef]
- Lai, H.L.; Abu’Khalil, A.; Craig, D.Q. The preparation and characterisation of drug-loaded alginate and chitosan sponges. Int. J. Pharm. 2002, 251, 175–181. [Google Scholar] [CrossRef]
- Rinaudo, M. Main properties and current applications of some polysaccharides as biomaterials. Polym. Int. 2008, 57, 397–430. [Google Scholar] [CrossRef]
- Draget, K.I.; Taylor, C. Chemical, physical and biological properties of alginates and their biomedical implications. Food Hydrocoll. 2011, 25, 251–256. [Google Scholar] [CrossRef]
- Lee, K.Y.; Mooney, D.J. Alginate: Properties and biomedical applications. Prog. Polym. Sci. 2012, 37, 106–126. [Google Scholar] [CrossRef] [PubMed] [Green Version]
- Morris, E.R.; Rees, D.A.; Thom, D.; Boyd, J. Chiroptical and stoichiometric evidence of a specific, primary dimerisation process in alginate gelation. Carbohydr. Res. 1978, 66, 145–154. [Google Scholar] [CrossRef]
- Mitchell, J.; Blanshard, J. Rheological properties of alginate gels. J. Texture Stud. 1976, 7, 219–234. [Google Scholar] [CrossRef]
- Fang, Y.; Al-Assaf, S.; Phillips, G.O.; Nishinari, K.; Funami, T.; Williams, A.P.A.; Li, L. Multiple Steps and Critical Behaviors of the Binding of Calcium to Alginate. J. Phys. Chem. B 2007, 111, 2456–2462. [Google Scholar] [CrossRef]
- Borgogna, M.; Skjåk-Bræk, G.; Paoletti, S.; Donati, I. On the Initial Binding of Alginate by Calcium Ions. The Tilted Egg-Box Hypothesis. J. Phys. Chem. B 2013, 117, 7277–7282. [Google Scholar] [CrossRef] [PubMed]
- Draget, K.I.; SkjakBraek, G.; Smidsrod, O. Alginate based new materials. Int. J. Biol. Macromol. 1997, 21, 47–55. [Google Scholar] [CrossRef]
- Skják-Bræk, G.; Smidsrød, O.; Larsen, B. Tailoring of alginates by enzymatic modification in vitro. Int. J. Biol. Macromol. 1986, 8, 330–336. [Google Scholar] [CrossRef]
- Stokke, B.T.; Draget, K.I.; Smidsrød, O.; Yuguchi, Y.; Urakawa, A.H.; Kajiwara, K. Small-Angle X-ray Scattering and Rheological Characterization of Alginate Gels. 1. Ca−Alginate Gels. Macromolecules 2000, 33, 1853–1863. [Google Scholar] [CrossRef]
- Zhang, J.; Daubert, C.R.; Foegeding, E.A. Fracture Analysis of Alginate Gels. J. Food Sci. 2005, 70, e425–e431. [Google Scholar] [CrossRef]
- Vilgis, T.A. Gels: Model systems for soft matter food physics. Curr. Opin. Food Sci. 2015, 3, 71–84. [Google Scholar] [CrossRef]
- Coggan, A.R. Plasma Glucose Metabolism During Exercise in Humans. Sports Med. 1991, 11, 102–124. [Google Scholar] [CrossRef]
- Lopez-Sanchez, P.; Fredriksson, N.; Larsson, A.; Altskär, A.; Ström, A. High sugar content impacts microstructure, mechanics and release of calcium-alginate gels. Food Hydrocoll. 2018, 84, 26–33. [Google Scholar] [CrossRef]
- Marciani, L.; Lopez-Sanchez, P.; Pettersson, S.; Hoad, C.; Abrehart, N.; Ahnoff, M.; Ström, A. Alginate and HM-pectin in sports-drink give rise to intra-gastric gelation in vivo. Food Funct. 2019, 10, 7892–7899. [Google Scholar] [CrossRef] [Green Version]
- Hermansson, E.; Schuster, E.; Lindgren, L.; Altskär, A.; Ström, A. Impact of solvent quality on the network strength and structure of alginate gels. Carbohydr. Polym. 2016, 144, 289–296. [Google Scholar] [CrossRef] [PubMed] [Green Version]
- Shimizu, S.; Matubayasi, N. Gelation: The Role of Sugars and Polyols on Gelatin and Agarose. J. Phys. Chem. B 2014, 118, 13210–13216. [Google Scholar] [CrossRef] [PubMed]
- Deszczynski, M.; Kasapis, S.; MacNaughton, W.; Mitchell, J.R. Effect of sugars on the mechanical and thermal properties of agarose gels. Food Hydrocoll. 2003, 17, 793–799. [Google Scholar] [CrossRef]
- Watase, M.; Nishinari, K.; Williams, P.A.; Phillips, G.O. Agarose Gels—Effect of Sucrose, Glucose, Urea, and Guanidine-Hydrochloride on the Rheological and Thermal-Properties. J. Agric. Food Chem. 1990, 38, 1181–1187. [Google Scholar] [CrossRef]
- Maurer, S.; Junghans, A.; Vilgis, T.A. Impact of xanthan gum, sucrose and fructose on the viscoelastic properties of agarose hydrogels. Food Hydrocoll. 2012, 29, 298–307. [Google Scholar] [CrossRef]
- Bayarri, S.; Duran, L.; Costell, E. Compression resistance, sweetener’s diffusion and sweetness of hydrocolloids gels. Int. Dairy J. 2003, 13, 643–653. [Google Scholar] [CrossRef]
- Yang, Z.; Yang, H.J.; Yang, H.S. Effects of sucrose addition on the rheology and microstructure of κ-carrageenan gel. Food Hydrocoll. 2017, 75, 164–173. [Google Scholar] [CrossRef]
- Nussinovitch, A.; Gershon, Z. Temperature stable liquid core hydrocolloid capsules. Food Hydrocoll. 1997, 11, 209–215. [Google Scholar] [CrossRef]
- Vold, I.M.N.; Kristiansen, K.A.; Christensen, B.E. A Study of the Chain Stiffness and Extension of Alginates, in Vitro Epimerized Alginates, and Periodate-Oxidized Alginates Using Size-Exclusion Chromatography Combined with Light Scattering and Viscosity Detectors. Biomacromolecules 2006, 7, 2136–2146. [Google Scholar] [CrossRef] [PubMed]
- du Poset, A.M.; Lerbret, A.; Zitolo, A.; Cousin, F.; Assifaoui, A. Design of polygalacturonate hydrogels using iron(II) as cross-linkers: A promising route to protect bioavailable iron against oxidation. Carbohydr. Polym. 2018, 188, 276–283. [Google Scholar] [CrossRef] [PubMed]
- Bonilla, M.R.; Lopez-Sanchez, P.; Gidley, M.; Stokes, J. Micromechanical model of biphasic biomaterials with internal adhesion: Application to nanocellulose hydrogel composites. Acta Biomater. 2016, 29, 149–160. [Google Scholar] [CrossRef]
- Nguyen, V.; Wang, C.; Thomas, C.; Zhang, Z. Mechanical properties of single alginate microspheres determined by microcompression and finite element modelling. Chem. Eng. Sci. 2009, 64, 821–829. [Google Scholar] [CrossRef]
- Lopez-Sanchez, P.; Sanz, M.M.; Bonilla, M.; Wang, D.; Walsh, C.T.; Gilbert, E.; Stokes, J.; Gidley, M.J. Pectin impacts cellulose fibre architecture and hydrogel mechanics in the absence of calcium. Carbohydr. Polym. 2016, 153, 236–245. [Google Scholar] [CrossRef] [PubMed]
- Assifaoui, A.; Lerbret, A.; Uyen, H.T.D.; Neiers, F.; Chambin, O.; Loupiac, C.; Cousin, F. Structural behaviour differences in low methoxy pectin solutions in the presence of divalent cations (Ca2+ and Zn2+): A process driven by the binding mechanism of the cation with the galacturonate unit. Soft Matter 2014, 11, 551–560. [Google Scholar] [CrossRef] [PubMed]
- Notermans, T.; Khayyeri, H.; Isaksson, H. Understanding how reduced loading affects Achilles tendon mechanical properties using a fibre-reinforced poro-visco-hyper-elastic model. J. Mech. Behav. Biomed. Mater. 2019, 96, 301–309. [Google Scholar] [CrossRef] [PubMed]






Publisher’s Note: MDPI stays neutral with regard to jurisdictional claims in published maps and institutional affiliations. |
© 2022 by the authors. Licensee MDPI, Basel, Switzerland. This article is an open access article distributed under the terms and conditions of the Creative Commons Attribution (CC BY) license (https://creativecommons.org/licenses/by/4.0/).
Share and Cite
Lopez-Sanchez, P.; Assifaoui, A.; Cousin, F.; Moser, J.; Bonilla, M.R.; Ström, A. Impact of Glucose on the Nanostructure and Mechanical Properties of Calcium-Alginate Hydrogels. Gels 2022, 8, 71. https://doi.org/10.3390/gels8020071
Lopez-Sanchez P, Assifaoui A, Cousin F, Moser J, Bonilla MR, Ström A. Impact of Glucose on the Nanostructure and Mechanical Properties of Calcium-Alginate Hydrogels. Gels. 2022; 8(2):71. https://doi.org/10.3390/gels8020071
Chicago/Turabian StyleLopez-Sanchez, Patricia, Ali Assifaoui, Fabrice Cousin, Josefine Moser, Mauricio R. Bonilla, and Anna Ström. 2022. "Impact of Glucose on the Nanostructure and Mechanical Properties of Calcium-Alginate Hydrogels" Gels 8, no. 2: 71. https://doi.org/10.3390/gels8020071
APA StyleLopez-Sanchez, P., Assifaoui, A., Cousin, F., Moser, J., Bonilla, M. R., & Ström, A. (2022). Impact of Glucose on the Nanostructure and Mechanical Properties of Calcium-Alginate Hydrogels. Gels, 8(2), 71. https://doi.org/10.3390/gels8020071

