One-Shot Preparation of Polybasic Ternary Hybrid Cryogels Consisting of Halloysite Nanotubes and Tertiary Amine Functional Groups: An Efficient and Convenient Way by Freezing-Induced Gelation
Abstract
1. Introduction
2. Results and Discussion
2.1. Ternary Hybrid Gel Preparation
2.2. Structural Properties of Ternary Hybrid Networks
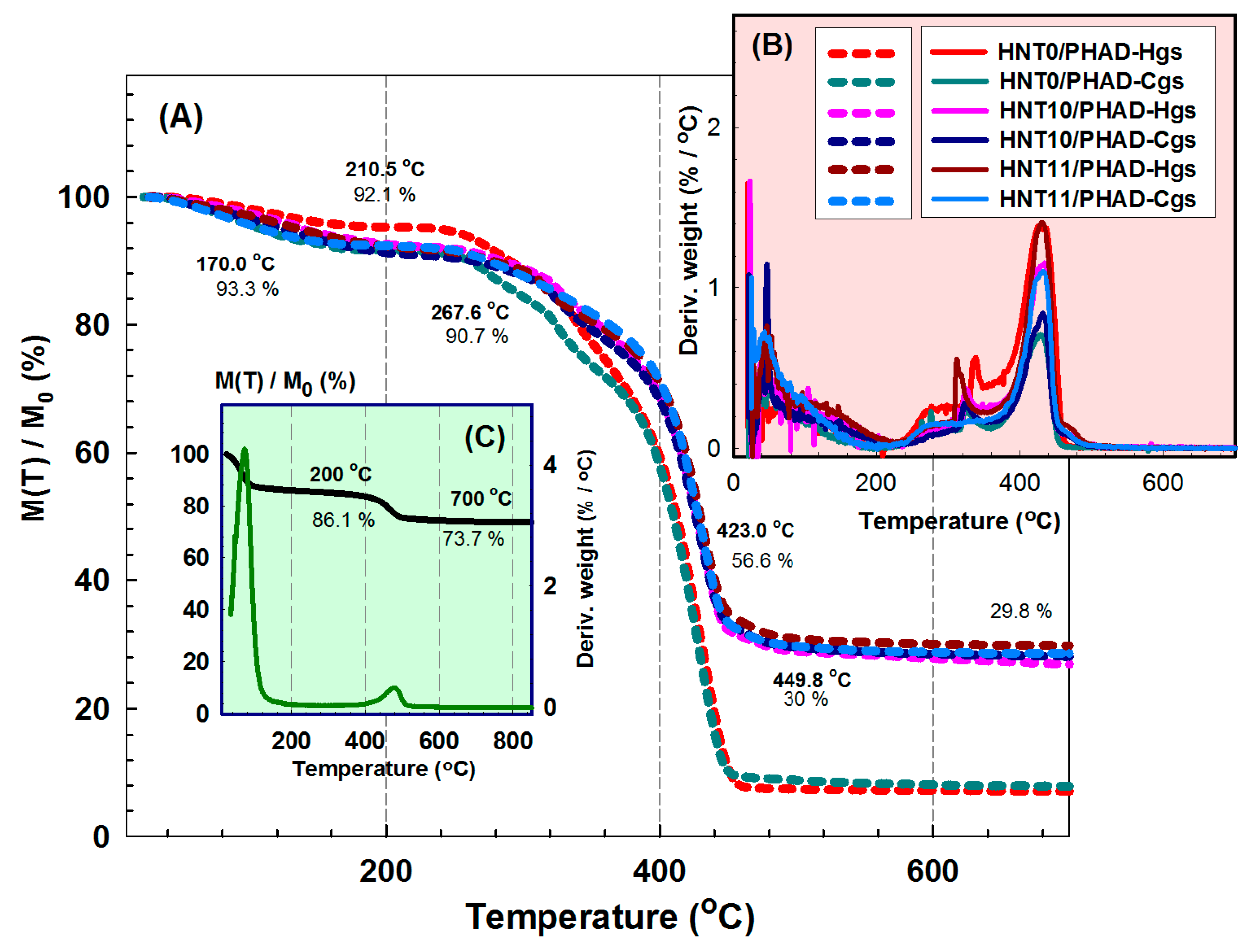
2.3. Thermal Stability of Ternary Hybrid Gels
2.4. XRD Measurements of Ternary Hybrid Gels
2.5. Mechanical Analysis of Ternary Hybrid Gels
2.6. Swelling Characteristics of Ternary Hybrid Gels
2.6.1. Effect of HNTs on Swelling Characteristics in Water
2.6.2. Effect of Temperature on Swelling Characteristics in Water
2.6.3. pH-Responsive Swelling Characteristics
2.6.4. Salt-Induced Swelling Characteristics
3. Conclusions
4. Materials and Methods
4.1. Materials
4.2. Uniaxial Compressive Testing
4.3. Physicochemical Characterization
4.4. Swelling Properties and Network Characteristics
Author Contributions
Funding
Data Availability Statement
Acknowledgments
Conflicts of Interest
References
- Moini, N.; Jahandideh, A.; Anderson, G. Inorganic nanocomposite hydrogels: Present knowledge and future challenge. In Inamuddin; Thomas, S., Kumar Mishra, R., Asiri, A., Eds.; Sustainable Polymer Composites and Nanocomposites; Springer International Publishing: Cham, Switzerland, 2019. [Google Scholar]
- Utech, S.; Boccaccini, A.R. A review of hydrogel-based composites for biomedical applications: Enhancement of hydrogel properties by addition of rigid inorganic fillers. J. Mater. Sci. 2016, 51, 271–310. [Google Scholar] [CrossRef]
- Schexnailder, P.; Schmidt, G. Nanocomposite polymer hydrogels. Colloid Polym. Sci. 2009, 287, 1–11. [Google Scholar] [CrossRef]
- Dawson, J.I.; Oreffo, R.O. Clay: New opportunities for tissue regeneration and biomaterial design. Adv. Mater. 2013, 25, 4069–4086. [Google Scholar] [CrossRef] [PubMed]
- Thoniyot, P.; Tan, M.J.; Karim, A.A.; Young, D.J.; Loh, X.J. Nanoparticle-hydrogel composites: Concept, design, and applications of these promising, multi-functional materials. Adv. Sci. 2015, 2, 1400010. [Google Scholar] [CrossRef]
- Bergaya, F.; Theng, B.K.G.; Lagaly, G. Handbook of Clay Science; Elsevier: Amsterdam, The Netherlands, 2006; Volume 1. [Google Scholar]
- Gaharwar, A.K.; Peppas, N.A.; Khademhosseini, A. Nanocomposite hydrogels for biomedical applications. Biotechnol. Bioeng. 2014, 111, 441–453. [Google Scholar] [CrossRef] [PubMed]
- Ma, X.; Sun, X.; Chen, J.; Lei, Y. Natural or natural-synthetic hybrid polymer-based fluorescent polymeric materials for bio-imaging-related applications. Appl. Biochem. Biotechnol. 2017, 183, 461–487. [Google Scholar] [CrossRef] [PubMed]
- Sandri, G.; Aguzzi, C.; Rossi, S.; Bonferoni, M.C.; Bruni, G.; Boselli, C.; Cornaglia, A.I.; Riva, F.; Viseras, C.; Caramella, C.; et al. Halloysite and chitosan oligosaccharide nanocomposite for wound healing. Acta Biomater. 2017, 57, 216–224. [Google Scholar] [CrossRef]
- Lisuzzo, L.; Cavallaro, G.; Milioto, S.; Lazzara, G. Effects of halloysite content on the thermo-mechanical performances of composite bioplastics. Appl. Clay Sci. 2020, 185, 105416. [Google Scholar] [CrossRef]
- Sadjadi, S. Halloysite-based hybrids/composites in catalysis. Appl. Clay Sci. 2020, 189, 105537. [Google Scholar] [CrossRef]
- Joussein, E.; Petit, S.; Churchman, J.; Theng, B.; Righi, D.; Delvaux, B. Halloysite clay minerals-a review. Clay Miner. 2005, 40, 383–426. [Google Scholar] [CrossRef]
- Sandri, G.; Faccendini, A.; Longo, M.; Ruggeri, M.; Rossi, S.; Bonferoni, M.C.; Miele, D.; Prina-Mello, A.; Aguzzi, C.; Viseras, C.; et al. Halloysite- and montmorillonite-loaded scaffolds as enhancers of chronic wound healing. Pharmaceutics 2020, 12, 179. [Google Scholar] [CrossRef]
- Luo, Y.Y.; Mills, D.K. The effect of halloysite addition on the material properties of chitosan-halloysite hydrogel composites. Gels 2019, 5, 40. [Google Scholar] [CrossRef]
- Kennouche, S.; Le Moigne, N.; Kaci, M.; Quantin, J.C.; Caro-Bretelle, A.S.; Delaite, C.; Lopez-Cuesta, J.M. Morphological characterization and thermal properties of compatibilized poly (3-hydroxybutyrate-co-3-hydroxyvalerate) (PHBV)/poly (butylene succinate) (PBS)/halloysite ternary nanocomposites. Eur. Polym. J. 2016, 75, 142–162. [Google Scholar] [CrossRef]
- Pavlinakova, V.; Fohlerova, Z.; Pavlinak, D.; Khunova, V.; Vojtova, L. Effect of halloysite nanotube structure on physical, chemical, structural and biological properties of elastic polycaprolactone/gelatin nanofibers for wound healing applications. Mater. Sci. Eng. 2018, 91, 94–102. [Google Scholar] [CrossRef] [PubMed]
- Kalia, S.; Haldorai, Y. (Eds.) Organic-Inorganic Hybrid Nanomaterials; Springer International Publishing: Cham, Switzerland, 2015. [Google Scholar]
- Takeno, H.; Kimuri, Y.; Nakamura, W. Mechanical, swelling and structural properties of mechanically tough clay-sodium polyacrylate blend hydrogels. Gels 2017, 3, 10. [Google Scholar] [CrossRef]
- Peak, C.W.; Wilker, J.J.; Schmidt, G. A review on tough and sticky hydrogels. Colloid Polym. Sci. 2013, 291, 2031–2047. [Google Scholar] [CrossRef]
- Li, H.J.; Jiang, H.; Haraguchi, K. Ultrastiff, thermoresponsive nanocomposite hydrogels composed of ternary polymer-clay-silica networks. Macromolecules 2018, 51, 529–539. [Google Scholar] [CrossRef]
- Strachota, B.; Hodan, J.; Matějka, L. Poly(Nisopropylacrylamide)-clay hydrogels: Control of mechanical properties and structure by the initiating conditions of polymerization. Eur. Polym. J. 2016, 77, 1–15. [Google Scholar] [CrossRef]
- Strachota, B.; Šlouf, M.; Hodan, J.; Matějka, L. Advanced two-step cryopolymerization to form superporous thermosensitive PNIPA/clay gels with unique mechanical properties and ultrafast swelling-deswelling kinetics. Colloid Polym. Sci. 2018, 296, 753–769. [Google Scholar] [CrossRef]
- Henderson, T.M.A.; Ladewig, K.; Haylock, D.N.; McLean, K.M.; O’Connor, A.J. Cryogels for biomedical applications. J. Mater. Chem. 2013, 1, 2682–2695. [Google Scholar] [CrossRef]
- Lozinsky, V.I.; Galaev, I.Y.; Plieva, F.N.; Savina, I.N.; Jungvid, H.; Mattiasson, B. Polymeric cryogels as promising materials of biotechnological interest. Trends Biotechnol. 2003, 21, 445–451. [Google Scholar] [CrossRef]
- Lozinsky, V.I. Cryostructuring of Polymeric Systems. 55. Retrospective View on the More than 40 Years of Studies Performed in the A.N.Nesmeyanov Institute of Organoelement Compounds with Respect of the Cryostructuring Processes in Polymeric Systems. Gels 2020, 6, 29. [Google Scholar] [CrossRef] [PubMed]
- Hixon, K.R.; Lu, T.; Sell, S.A. A comprehensive review of cryogels and their roles in tissue engineering applications. Acta Biomater. 2017, 62, 29–41. [Google Scholar] [CrossRef] [PubMed]
- Kamijyou, Y.; Stevic, D.; Kukobat, R.; Urita, K.; Chotimah, N.; Hattori, Y.; Futamura, R.; Vallejos-Burgos, F.; Moriguchi, I.; Utsumi, S.; et al. Mesoscopic cage-like structured single-wall carbon nanotube cryogels. Microporous Mesoporous Mater. 2020, 293, 109814. [Google Scholar] [CrossRef]
- Stoporev, A.; Mendgaziev, R.; Artemova, M.; Semenov, A.; Novikov, A.; Kiiamov, A.; Emelianov, D.; Rodionov, T.; Fakhrullin, R.; Shchukin, D. Ionic clathrate hydrates loaded into a cryogel—Halloysite clay composite for cold storage. Appl. Clay Sci. 2020, 191, 105618. [Google Scholar] [CrossRef]
- Pasbakhsh, P.; Ismail, H.; Fauzi, M.N.A.; Bakar, A.A. EPDM/modified halloysite nanocomposites. Appl. Clay Sci. 2010, 48, 405–413. [Google Scholar] [CrossRef]
- Cheng, H.; Liu, Q.; Zhang, J.; Frost, R.L.; Du, X. Infrared spectroscopic study of halloysite potassium acetate intercalation complex. J. Mol. Struct. 2011, 990, 21–25. [Google Scholar] [CrossRef]
- Stoclet, G.; Sclavons, M.; Lecouvet, B.; Devaux, J.; Van Velthem, P.; Boborodea, A.; Bourbigota, S.; Sallem-Idrissi, N. Elaboration of poly(lactic acid)/halloysite nanocomposites by means of water assisted extrusion: Structure, mechanical properties and fire performance. RSC Adv. 2014, 4, 57553–57563. [Google Scholar] [CrossRef]
- Cavallaro, G.; Donato, D.I.; Lazzara, G.; Milioto, S. Films of halloysite nanotubes sandwiched between two layers of biopolymer: From the morphology to the dielectric, thermal, transparency, and wettability properties. J. Phys. Chem. C 2011, 115, 20491–20498. [Google Scholar] [CrossRef]
- Sadjadi, S.; Malmir, M.; Pourmohammad, N.; Ahmadi, S.; Heravi, M.M. Combination of polymer and halloysite chemistry for development of a novel catalytic hybrid system. Res. Chem. Intermediat. 2019, 45, 4349–4366. [Google Scholar] [CrossRef]
- Liu, M.; Zhang, Y.; Wu, C.; Xiong, S.; Zhou, C. Chitosan/halloysite nanotubes bionanocomposites: Structure, mechanical properties and biocompatibility. Int. J. Biol. Macromol. 2012, 51, 566–575. [Google Scholar] [CrossRef]
- Wu, Y.; Zhang, Y.; Ju, J.; Yan, H.; Huang, X.; Tan, Y. Advances in halloysite nanotubes–polysaccharide nanocomposite preparation and applications. Polymers 2019, 11, 987. [Google Scholar] [CrossRef] [PubMed]
- Liu, M.; Jia, Z.; Jia, D.; Zhou, C. Recent advanced in research of halloyiste nanotubes-polymer nanocomposite. Prog. Polym. Sci. 2014, 39, 1498–1525. [Google Scholar] [CrossRef]
- Alhuthali, A.; Low, I.M. Water absorption, mechanical, and thermal properties of halloysite nanotube reinforced vinyl-ester nanocomposites. J. Mater. Sci. 2013, 48, 4260–4273. [Google Scholar] [CrossRef]
- Kim, Y.H.; Kwon, S.H.; Choi, H.J.; Choi, K.; Kao, N.; Bhattacharya, S.N.; Gupta, R.K. Thermal, mechanical, and rheological characterization of polylactic acid/halloysite nanotube nanocomposites. J. Macromol. Sci. B 2016, 55, 680–692. [Google Scholar] [CrossRef]
- Sengel, S.B.; Sahiner, M.; Aktas, N.; Sahiner, N. Halloysite-carboxymethyl cellulose cryogel composite from natural sources. Appl. Clay Sci. 2017, 140, 66–74. [Google Scholar] [CrossRef]
- Sadegh-Hassani, F.; Nafchi, A.M. Preparation and characterization of bionanocomposite films based onpotato starch/halloysite nanoclay. Int. J. Biol. Macromol. 2014, 67, 458–462. [Google Scholar] [CrossRef] [PubMed]
- Dusek, K.; Janacek, J. Hydrophilic gels based on copolymers of 2-hydroxyethyl methacrylate with methacrylamide and acrylamide. J. Appl. Polym. Sci. 1975, 19, 3061–3075. [Google Scholar] [CrossRef]
- Thavanesan, T.; Herbert, C.; Plamper, F.A. Insight in the phase separation peculiarities of poly(dialkylaminoethyl methacrylate)s. Langmuir 2014, 30, 5609–5619. [Google Scholar] [CrossRef] [PubMed]
- Chen, Q.; Li, S.; Feng, Z.; Wang, M.; Cai, C.; Wang, J.; Zhang, L. Poly(2-(diethylamino)ethyl methacrylate)-based, pH-responsive, copolymeric mixed micelles for targeting anticancer drug control release. Int. J. Nanomed. 2017, 12, 6857. [Google Scholar] [CrossRef]
- Wang, X.; Liu, Z.; Huang, L. pH and thermo dual-responsive starch-g-P(DEAEMA-co-PEGMA): Synthesis via SET-LRP, self-assembly and drug release behaviors. React. Funct. Polym. 2019, 141, 165–171. [Google Scholar] [CrossRef]
- Yan, B.; Han, D.; Boissiere, O.; Ayotte, P.; Zhao, Y. Manipulation of block copolymer vesicles using CO2: Dissociation or breathing. Soft Matter 2013, 9, 2011–2016. [Google Scholar] [CrossRef]
- Schmalz, A.; Hanisch, M.; Schmalz, H.; Müller, A.H.E. Double stimuli-responsive behavior of linear and star-shaped poly(N,Ndiethylaminoethyl methacrylate) in aqueous solution. Polymer 2010, 51, 1213–1217. [Google Scholar] [CrossRef]
- Marek, S.R.; Conn, C.A.; Peppas, N.A. Cationic nanogels based on diethylaminoethyl methacrylate. Polymer 2010, 51, 1237–1243. [Google Scholar] [CrossRef]
- Lee, W.F.; Chen, C.F. Poly (2-hydroxyethyl methacrylate-co-sulfobetaine) s hydrogels: 3. Synthesis and swelling behaviors of the [2-hydroxyethyl methacrylate-co-N,N’-dimethyl (acrylamido propyl) ammonium propanesulfonate] hydrogels. Polym. Gels Netw. 1998, 6, 493–511. [Google Scholar] [CrossRef]
- James, H.M.; Guth, E. Theory of the elastic properties of rubber. J. Chem. Phys. 1943, 11, 455–481. [Google Scholar] [CrossRef]
- Treloar, L.R.G. The Physics of Rubber Elasticity; University Press: Oxford, UK, 1975. [Google Scholar]
- Flory, P.J. Phase equilibria in polymer systems: Swelling of network structures. In Principles of Polymer Chemistry; Cornell University Press: Ithaca, NY, USA, 1953. [Google Scholar]
- Flory, P.J.; Rehner, J. Statistical mechanics of cross-linked polymer networks. II. Swelling. J. Chem. Phys. 1943, 11, 521–526. [Google Scholar] [CrossRef]















| Sample Designation | HNTm/PHAD-Hgs | HNTm/PHAD-Cgs | |||
|---|---|---|---|---|---|
| HNTm/PHAD | CHNT % (w/v) | ||||
| HNT0-PHAD | 0.0 | 83.038 | 0.1259 | 98.746 | 0.1363 |
| HNT1-PHAD | 0.30 | 82.725 | 0.1794 | 91.291 | 0.1205 |
| HNT2-PHAD | 0.50 | 84.586 | 0.1778 | 86.181 | 0.1539 |
| HNT3-PHAD | 0.70 | 79.800 | 0.1655 | 90.161 | 0.1431 |
| HNT4-PHAD | 0.90 | 79.075 | 0.1781 | 85.254 | 0.1981 |
| HNT5-PHAD | 1.10 | 84.380 | 0.1431 | 84.577 | 0.1913 |
| HNT6-PHAD | 1.40 | 81.941 | 0.1749 | 81.458 | 0.1646 |
| HNT7-PHAD | 1.80 | 81.339 | 0.1734 | 87.640 | 0.1465 |
| HNT8-PHAD | 2.20 | 81.075 | 0.1635 | 83.074 | 0.1923 |
| HNT9-PHAD | 2.50 | 76.719 | 0.2220 | 77.512 | 0.1880 |
| HNT10-PHAD | 2.80 | 78.389 | 0.2149 | 77.245 | 0.2373 |
| HNT11-PHAD | 3.20 | 73.708 | 0.2268 | 70.334 | 0.2439 |
| Sample Designation | Tmax1 (°C) | M(T)/M0 Percent at Tmax1 | Tmax2 (°C) | M(T)/M0 Percent at Tmax2 | Residual Mass at 700 °C (%) |
|---|---|---|---|---|---|
| HNT0/PHAD-Hgs | 333.4 | 82.3 | 421.5 | 39.2 | 7.2 |
| HNT0/PHAD-Cgs | 323.5 | 80.1 | 425.2 | 32.8 | 7.9 |
| HNT10/PHAD-Hgs | 322.4 | 86.0 | 428.5 | 47.2 | 26.9 |
| HNT10/PHAD-Cgs | 321.7 | 86.4 | 432.1 | 44.7 | 27.0 |
| HNT11/PHAD-Hgs | 309.1 | 87.4 | 428.7 | 51.2 | 29.8 |
| HNT11/PHAD-Cgs | - | - | 428.5 | 47.1 | 29.0 |
| HNTm/PHAD-Hgs | HNTm/PHAD-Cgs | ||||||
|---|---|---|---|---|---|---|---|
| Sample Code | HNT Content% (w/v) | Tonset (oC) | Tg (oC) | (J/g °C) | Tonset (oC) | Tg (oC) | (J/g °C) |
| HNT0/PHAD | 0 | 84.9 | 104.3 | 0.453 | 102.9 | 107.8 | 0.394 |
| HNT2/PHAD | 0.50 | 89.2 | 106.4 | 0.643 | 90.2 | 109.7 | 0.418 |
| HNT9/PHAD | 2.50 | 105.0 | 109.6 | 0.305 | 93.4 | 110.6 | 0.395 |
| HNT10/PHAD | 2.80 | 105.8 | 110.9 | 0.407 | 108.6 | 112.1 | 0.293 |
| HNT11/PHAD | 3.20 | 96.2 | 112.8 | 0.331 | 107.8 | 115.7 | 0.248 |
Publisher’s Note: MDPI stays neutral with regard to jurisdictional claims in published maps and institutional affiliations. |
© 2021 by the authors. Licensee MDPI, Basel, Switzerland. This article is an open access article distributed under the terms and conditions of the Creative Commons Attribution (CC BY) license (http://creativecommons.org/licenses/by/4.0/).
Share and Cite
Okten Besli, N.S.; Orakdogen, N. One-Shot Preparation of Polybasic Ternary Hybrid Cryogels Consisting of Halloysite Nanotubes and Tertiary Amine Functional Groups: An Efficient and Convenient Way by Freezing-Induced Gelation. Gels 2021, 7, 16. https://doi.org/10.3390/gels7010016
Okten Besli NS, Orakdogen N. One-Shot Preparation of Polybasic Ternary Hybrid Cryogels Consisting of Halloysite Nanotubes and Tertiary Amine Functional Groups: An Efficient and Convenient Way by Freezing-Induced Gelation. Gels. 2021; 7(1):16. https://doi.org/10.3390/gels7010016
Chicago/Turabian StyleOkten Besli, Nur Sena, and Nermin Orakdogen. 2021. "One-Shot Preparation of Polybasic Ternary Hybrid Cryogels Consisting of Halloysite Nanotubes and Tertiary Amine Functional Groups: An Efficient and Convenient Way by Freezing-Induced Gelation" Gels 7, no. 1: 16. https://doi.org/10.3390/gels7010016
APA StyleOkten Besli, N. S., & Orakdogen, N. (2021). One-Shot Preparation of Polybasic Ternary Hybrid Cryogels Consisting of Halloysite Nanotubes and Tertiary Amine Functional Groups: An Efficient and Convenient Way by Freezing-Induced Gelation. Gels, 7(1), 16. https://doi.org/10.3390/gels7010016

