Synthesis and Characterisation of Novel Temperature and pH Sensitive Physically Cross-Linked Poly(N-vinylcaprolactam-co-itaconic Acid) Hydrogels for Drug Delivery
Abstract
1. Introduction
2. Results and Discussion
2.1. Preparation of Samples
2.2. Characterisation Methods
2.2.1. Attenuated Total Reflectance Fourier Transform Infrared Spectroscopy
2.2.2. Differential Scanning Calorimetry
2.2.3. Phase Transition Determination
2.2.4. Swelling Studies
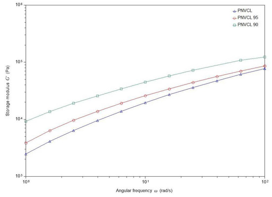
2.2.5. Rheological Measurements
2.3. Drug Release Studies
Drug Dissolution
2.4. Cytoxicity Studies
3. Conclusions
4. Materials and Methods
4.1. Materials
4.2. Hydrogel Synthesis
4.3. Preparation of Aqueous Solutions of Hydrogels
4.4. Characterisation Methods
4.4.1. Attenuated Total Reflectance Fourier Transform Infrared Spectroscopy
4.4.2. Differential Scanning Calorimetry
4.4.3. Phase Transition Determination
4.4.4. Swelling Studies
4.4.5. Rheological Measurements
4.5. Drug Release Studies
4.5.1. Drug Dissolution
4.5.2. High Performance Liquid Chromatography
4.6. Cytotoxicity Studies
Author Contributions
Funding
Acknowledgments
Conflicts of Interest
References
- Bawa, P.; Pillay, V.; Choonara, Y.; du Toit, L. Stimuli-responsive polymers and their applications in drug delivery. Biomed. Mater. 2009, 4, 022001–022015. [Google Scholar] [CrossRef] [PubMed]
- Alvarez-Lorenzo, C.; Concheiro, A. Reversible adsorption by a pH- and temperature-sensitive acrylic hydrogel. J. Control. Release 2002, 80, 247–257. [Google Scholar] [CrossRef]
- Li, J.; Wang, B.; Liu, P. Possibility of active targeting to tumor by local hyperthermia with temperature-sensitive nanoparticles. Med. Hypotheses 2008, 71, 249–251. [Google Scholar] [CrossRef] [PubMed]
- Hoffman, A.S. Hydrogels for biomedical applications. Adv. Drug Deliv. Rev. 2012, 64, 18–23. [Google Scholar] [CrossRef]
- Ferraz, C.C.; Varca, G.H.C.C.; Ruiz, J.; Lopes, P.S.; Mathor, M.B.; Lugão, A.B.; Bucio, E. Radiation-grafting of thermo- and pH-responsive poly(N-vinylcaprolactam-co-acrylic acid) onto silicone rubber and polypropylene films for biomedical purposes. Radiat. Phys. Chem. 2014, 97, 298–303. [Google Scholar] [CrossRef]
- Madhusudana Rao, K.; Mallikarjuna, B.; Krishna Rao, K.S.V.; Siraj, S.; Chowdoji Rao, K.; Subha, M.C.S. Novel thermo/pH sensitive nanogels composed from poly(N-vinylcaprolactam) for controlled release of an anticancer drug. Colloids Surf. B. Biointerfaces 2013, 102, 891–897. [Google Scholar] [CrossRef]
- Spasojević, J.; Radosavljević, A.; Krstić, J.; Jovanović, D.; Spasojević, V.; Kalagasidis-Krušić, M.; Kačarević-Popović, Z. Dual responsive antibacterial Ag-poly(N-isopropylacrylamide/itaconic acid) hydrogel nanocomposites synthesized by gamma irradiation. Eur. Polym. J. 2015, 69, 168–185. [Google Scholar] [CrossRef]
- Ayres, E.; Regina, C. Self-crosslinkable complexes based on poly (ethylene matrices). Polym. Bull. 2015, 73, 75–95. [Google Scholar] [CrossRef]
- Çavuş, S.; Çakal, E. Synthesis and Characterization of Novel Poly (N-vinylcaprolactam-co-itaconic Acid) Gels and Analysis of pH and Temperature Sensitivity. Ind. Eng. Chem. Res. 2012, 51, 1218–1226. [Google Scholar] [CrossRef]
- Agrawal, G.; Agrawal, R.; Pich, A. Dual Responsive Poly(N-vinylcaprolactam) Based Degradable Microgels for Drug Delivery. Part. Part. Syst. Charact. 2017, 34. [Google Scholar] [CrossRef]
- De Matos Fonseca, J.; de Fátima Medeiros, S.; Alves, G.M.; dos Santos, D.M.; Campana-Filho, S.P.; dos Santos, A.M. Chitosan microparticles embedded with multi-responsive poly(N-vinylcaprolactam-co-itaconic acid-co-ethylene-glycol dimethacrylate)-based hydrogel nanoparticles as a new carrier for delivery of hydrophobic drugs. Colloids Surfaces B Biointerfaces 2019, 175, 73–83. [Google Scholar] [CrossRef]
- Halligan, S.C.; Dalton, M.B.; Murray, K.A.; Dong, Y.; Wang, W.; Lyons, J.G.; Geever, L.M. Synthesis, characterisation and phase transition behaviour of temperature-responsive physically crosslinked poly (N-vinylcaprolactam) based polymers for biomedical applications. Mater. Sci. Eng. C 2017, 79, 130–139. [Google Scholar] [CrossRef] [PubMed]
- Kozanoglu, S.; Ozdemir, T.; Usanmaz, A. Polymerization of N-Vinylcaprolactam and Characterization of Poly(N-Vinylcaprolactam). J. Macromol. Sci. Part A Pure Appl. Chem. 2011, 48, 467–477. [Google Scholar] [CrossRef]
- Gaballa, H.A.; Geever, L.M.; Killion, J.A.; Higginbotham, C.L. Synthesis and characterization of physically crosslinked N -vinylcaprolactam, acrylic acid, methacrylic acid, and N,N -dimethylacrylamide hydrogels. J. Polym. Sci. Part B Polym. Phys. 2013, 51, 1555–1564. [Google Scholar] [CrossRef]
- Wang, R.; Ma, J.; Zhou, X.; Wang, Z.; Kang, H.; Zhang, L.; Hua, K.C.; Kulig, J. Design and preparation of a novel cross-linkable, high molecular weight, and bio-based elastomer by emulsion polymerization. Macromolecules 2012, 45, 6830–6839. [Google Scholar] [CrossRef]
- Allen, N.S.; Edge, M.; Rodriguez, M.; Liauw, C.M.; Fontan, E. Aspects of the thermal oxidation of ethylene vinyl acetate copolymer. Polym. Degrad. Stab. 2000, 68, 363–371. [Google Scholar] [CrossRef]
- Siepmann, J.; Peppas, N.A. Modeling of drug release from delivery systems based on hydroxypropyl methylcellulose (HPMC). Adv. Drug Deliv. Rev. 2001. [Google Scholar]
- Lebedev, V.T.; Török, G.; Cser, L.; Káli, G.; Sibilev, A.I. Molecular dynamics of poly(N-vinylcaprolactam) hydrate. Appl. Phys. A 2002, 74, s478–s480. [Google Scholar] [CrossRef]
- Ratner, B.D.; Hoffman, A.S.; Schoen, F.J. BlOMATERIALS SCIENCE an Introduction to Materials in Medicine; Academic Press: Cambridge, MA, USA, 1996; ISBN 0125824602. [Google Scholar]
- Prabaharan, M.; Grailer, J.J.; Steeber, D.A.; Gong, S. Stimuli-responsive chitosan-graft-poly(N-vinylcaprolactam) as a promising material for controlled hydrophobic drug delivery. Macromol. Biosci. 2008, 8, 843–851. [Google Scholar] [CrossRef]
- Cortez-Lemus, N.A.; Licea-Claverie, A. Poly(N-vinylcaprolactam), a Comprehensive Review on a Thermoresponsive Polymer Becoming Popular; Elsvier: Amsterdam, The Netherlands, 2015; ISBN 5266462337. [Google Scholar]
- Prabaharan, M.; Grailer, J.J.; Steeber, D.A.; Gong, S. Thermosensitive micelles based on folate-conjugated poly(N-vinylcaprolactam)-block-poly(ethylene glycol) for tumor-targeted drug delivery. Macromol. Biosci. 2009, 9, 744–753. [Google Scholar] [CrossRef]
- Caló, E.; Khutoryanskiy, V.V. Biomedical applications of hydrogels: A review of patents and commercial products. Eur. Polym. J. 2015, 65, 252–267. [Google Scholar] [CrossRef]
- Dalton, M.; Halligan, S.; Killion, J.; Murray, K.A.; Geever, L. Smart Thermosensitive Poly(N-vinylcaprolactam) Based Hydrogels for Biomedical Applications Poly for. Adv. Environ. Biol. 2014, 8, 1–6. [Google Scholar]
- Weng, L.; Chen, X.; Chen, W. Rheological Characterization of in situ Crosslinkable Hydrogels Formulated from Oxidized Dextran and N-Carboxyethyl Chitosan. Biomacromolecules 2007, 8, 1109–1115. [Google Scholar] [CrossRef] [PubMed]
- Sanna, R.; Fortunati, E.; Alzari, V.; Nuvoli, D.; Terenzi, A.; Casula, M.F.; Kenny, J.M.; Mariani, A. Poly(N-vinylcaprolactam) nanocomposites containing nanocrystalline cellulose: A green approach to thermoresponsive hydrogels. Cellulose 2013, 20, 2393–2402. [Google Scholar] [CrossRef]
- Gupta, P.; Vermani, K.; Garg, S. Hydrogels: from controlled release to pH-responsive drug delivery. Drug Discov. Today 2002, 7, 569–579. [Google Scholar] [CrossRef]
- Yu, L.; Ding, J. Injectable hydrogels as unique biomedical materials. Chem. Soc. Rev. 2008, 37, 1473–1481. [Google Scholar] [CrossRef] [PubMed]
- Rashid, Z.; Ranjha, N.M. Preparation and evaluation of ph responsive poly(2-hydroxyethyl methacrylate-co-itaconic acid) microgels for controlled drug delivery. Acta Pol. Pharm. 2016, 73, 1045–1055. [Google Scholar]
- Özkahraman, B.; Acar, I.; Gök, M.K.; Güçlü, G. N-vinylcaprolactam-based microgels: Synthesis, characterization and drug release applications. Res. Chem. Intermed. 2016, 42, 6013–6024. [Google Scholar] [CrossRef]
- Hoare, T.R.; Kohane, D.S. Hydrogels in drug delivery: Progress and challenges *. Polymer 2008, 49, 1993–2007. [Google Scholar] [CrossRef]
- Rao, K.M.; Subba, K.; Krishna, V.; Ha, C. Stimuli Responsive Poly(Vinyl Caprolactam) Gels for Biomedical Applications. Gels 2016, 2, 6. [Google Scholar] [CrossRef]
- Liu, L.; Bai, S.; Yang, H.; Li, S.; Quan, J.; Zhu, L.; Nie, H. Controlled release from thermo-sensitive PNVCL-co-MAA electrospun nanofibers: The effects of hydrophilicity/hydrophobicity of a drug. Mater. Sci. Eng. C 2016, 67, 581–589. [Google Scholar] [CrossRef] [PubMed]
- Medeiros, S.F.; Oliveira, P.F.M.; Silva, T.M.; Lara, B.R.; Elaissari, A.; Santos, A.M. Biocompatible and multi-responsive poly(N-vinylcaprolactam)-based microgels: The role of acidic comonomers in the colloidal properties and phase transition as a function of temperature an pH. Eur. Polym. J. 2015, 73, 191–201. [Google Scholar] [CrossRef]







| Polymer Code | NVCL (wt%) | IA (wt%) | Irgacure® 2959 |
|---|---|---|---|
| PNVCL 100 | 100 | 0 | 1.0 |
| PNVCL 95-IA 5 | 95 | 5 | 1.0 |
| PNVCL 90-IA 10 | 90 | 10 | 1.0 |
| Polymer Code | LCST (°C) |
|---|---|
| PNVCL 100 | 31.8 |
| PNVCL 95 | 29.8 |
| PNVCL 90 | 28.4 |
© 2019 by the authors. Licensee MDPI, Basel, Switzerland. This article is an open access article distributed under the terms and conditions of the Creative Commons Attribution (CC BY) license (http://creativecommons.org/licenses/by/4.0/).
Share and Cite
Fallon, M.; Halligan, S.; Pezzoli, R.; Geever, L.; Higginbotham, C. Synthesis and Characterisation of Novel Temperature and pH Sensitive Physically Cross-Linked Poly(N-vinylcaprolactam-co-itaconic Acid) Hydrogels for Drug Delivery. Gels 2019, 5, 41. https://doi.org/10.3390/gels5030041
Fallon M, Halligan S, Pezzoli R, Geever L, Higginbotham C. Synthesis and Characterisation of Novel Temperature and pH Sensitive Physically Cross-Linked Poly(N-vinylcaprolactam-co-itaconic Acid) Hydrogels for Drug Delivery. Gels. 2019; 5(3):41. https://doi.org/10.3390/gels5030041
Chicago/Turabian StyleFallon, Megan, Shane Halligan, Romina Pezzoli, Luke Geever, and Clement Higginbotham. 2019. "Synthesis and Characterisation of Novel Temperature and pH Sensitive Physically Cross-Linked Poly(N-vinylcaprolactam-co-itaconic Acid) Hydrogels for Drug Delivery" Gels 5, no. 3: 41. https://doi.org/10.3390/gels5030041
APA StyleFallon, M., Halligan, S., Pezzoli, R., Geever, L., & Higginbotham, C. (2019). Synthesis and Characterisation of Novel Temperature and pH Sensitive Physically Cross-Linked Poly(N-vinylcaprolactam-co-itaconic Acid) Hydrogels for Drug Delivery. Gels, 5(3), 41. https://doi.org/10.3390/gels5030041

