Effect of Polymer Network Architecture on Adsorption Kinetics at Liquid–Liquid Interfaces: A Comparison Between Poly(NIPAM-co-AA) Copolymer Microgels and Interpenetrating Network Microgels
Abstract
1. Introduction
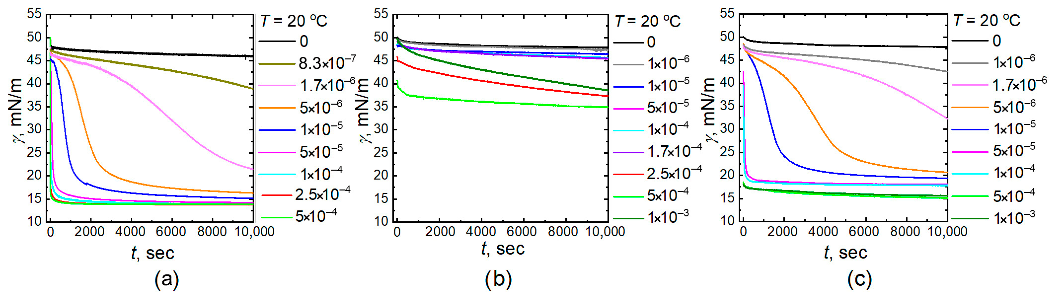
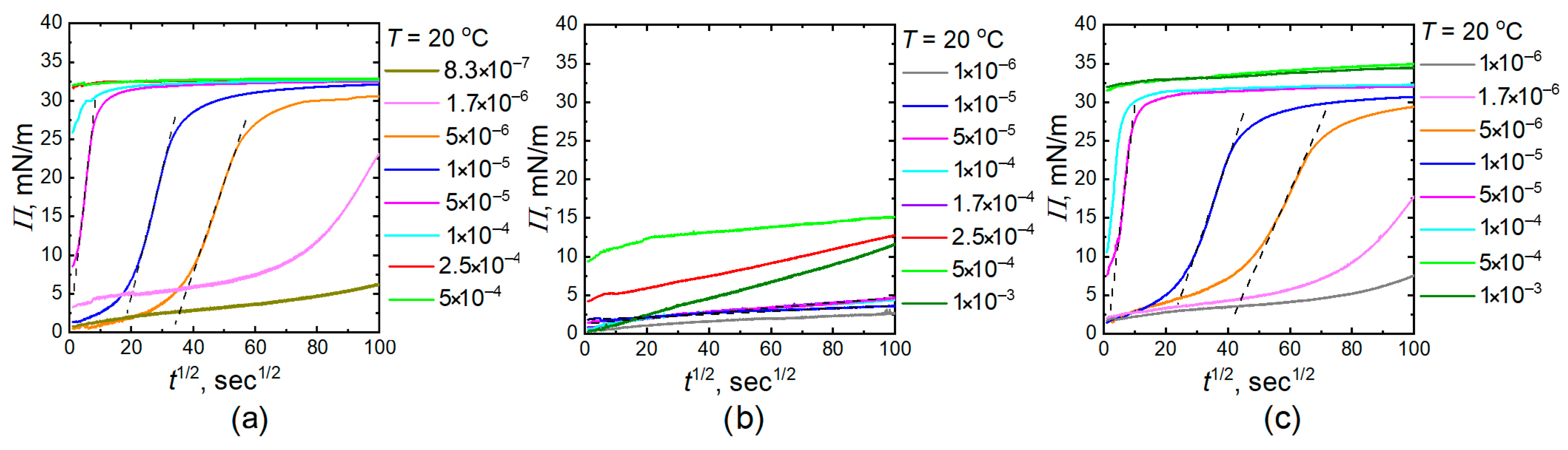
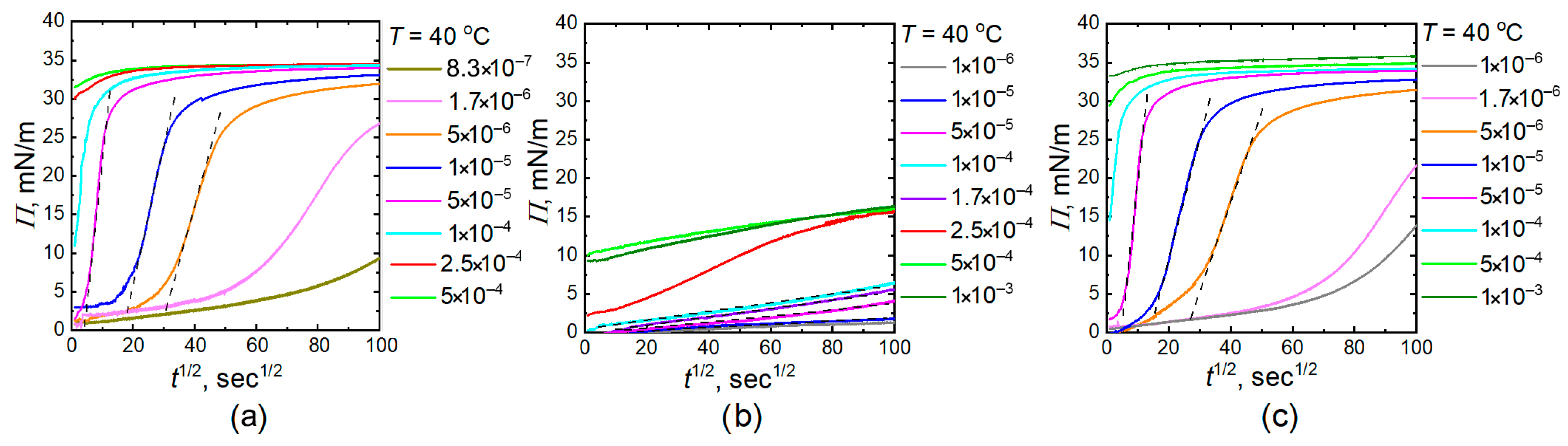
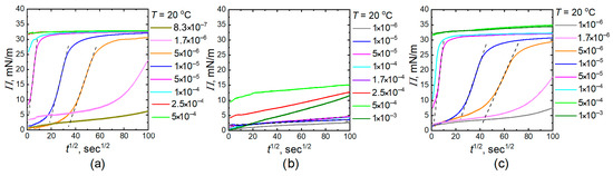
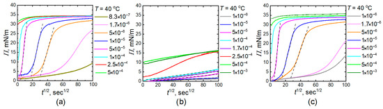
2. Results and Discussion
3. Conclusions
4. Materials and Methods
4.1. Materials
4.2. PNIPAM Microgels and Co-Polymer Microgels Synthesis
4.3. PNIPAM/PAA IPN Microgels Synthesis
4.4. DLS and SLS Measurements
4.5. Interfacial Tension (IFT) Measurements
Author Contributions
Funding
Institutional Review Board Statement
Informed Consent Statement
Data Availability Statement
Conflicts of Interest
References
- Plamper, F.A.; Richtering, W. Functional Microgels and Microgel Systems. Acc. Chem. Res. 2017, 50, 131–140. [Google Scholar] [CrossRef]
- Hamzah, Y.B.; Hashim, S.; Rahman, W.A.W.A. Synthesis of Polymeric Nano/Microgels: A Review. J. Polym. Res. 2017, 24, 134. [Google Scholar] [CrossRef]
- Pelton, R. Temperature-Sensitive Aqueous Microgels. Adv. Colloid Interface Sci. 2000, 85, 1–33. [Google Scholar] [CrossRef]
- Kojima, H.; Tanaka, F.; Scherzinger, C.; Richtering, W. Temperature Dependent Phase Behavior of PNIPAM Microgels in Mixed Water/Methanol Solvents. J. Polym. Sci. Part B Polym. Phys. 2013, 51, 1100–1111. [Google Scholar] [CrossRef]
- Franco, S.; Buratti, E.; Nigro, V.; Bertoldo, M.; Ruzicka, B.; Angelini, R. Thermal Behaviour of Microgels Composed of Interpenetrating Polymer Networks of Poly(N-Isopropylacrylamide) and Poly(Acrylic Acid): A Calorimetric Study. Polymers 2022, 14, 115. [Google Scholar] [CrossRef]
- Nigro, V.; Angelini, R.; Bertoldo, M.; Ruzicka, B. Swelling of Responsive-Microgels: Experiments versus Models. Colloids Surfaces A Physicochem. Eng. Asp. 2017, 532, 389–396. [Google Scholar] [CrossRef]
- Debord, J.D.; Lyon, L.A. Synthesis and Characterization of PH-Responsive Copolymer Microgels with Tunable Volume Phase Transition Temperatures. Langmuir 2003, 19, 7662–7664. [Google Scholar] [CrossRef]
- Karg, M.; Pich, A.; Hellweg, T.; Hoare, T.; Lyon, L.A.; Crassous, J.J.; Suzuki, D.; Gumerov, R.A.; Schneider, S.; Potemkin, I.I.; et al. Nanogels and Microgels: From Model Colloids to Applications, Recent Developments, and Future Trends. Langmuir 2019, 35, 6231–6255. [Google Scholar] [CrossRef]
- Agrawal, G.; Agrawal, R. Functional Microgels: Recent Advances in Their Biomedical Applications. Small 2018, 14, 1801724. [Google Scholar] [CrossRef]
- Lyon, L.A.; Hendrickson, G.R.; Meng, Z.; St. John Iyer, A.N. Exploiting the Optical Properties of Microgels and Hydrogels as Microlenses and Photonic Crystals in Sensing Applications. In Microgel Suspensions; Wiley: Hoboken, NJ, USA, 2011; pp. 355–374. [Google Scholar]
- Zahid, S.; Alzahrani, A.K.; Kizilbash, N.; Ambreen, J.; Ajmal, M.; Farooqi, Z.H.; Siddiq, M. Preparation of Stimuli Responsive Microgel with Silver Nanoparticles for Biosensing and Catalytic Reduction of Water Pollutants. RSC Adv. 2022, 12, 33215–33228. [Google Scholar] [CrossRef]
- Saunders, B.R.; Laajam, N.; Daly, E.; Teow, S.; Hu, X.; Stepto, R. Microgels: From Responsive Polymer Colloids to Biomaterials. Adv. Colloid Interface Sci. 2009, 147–148, 251–262. [Google Scholar] [CrossRef]
- Li, Z.; Ngai, T. Microgel Particles at the Fluid–Fluid Interfaces. Nanoscale 2013, 5, 1399. [Google Scholar] [CrossRef]
- Li, Z.; Geisel, K.; Richtering, W.; Ngai, T. Poly(N-Isopropylacrylamide) Microgels at the Oil–Water Interface: Adsorption Kinetics. Soft Matter 2013, 9, 9939. [Google Scholar] [CrossRef]
- Monteux, C.; Marlière, C.; Paris, P.; Pantoustier, N.; Sanson, N.; Perrin, P. Poly(N-Isopropylacrylamide) Microgels at the Oil−Water Interface: Interfacial Properties as a Function of Temperature. Langmuir 2010, 26, 13839–13846. [Google Scholar] [CrossRef]
- Zhang, J.; Pelton, R. Poly(N-Isopropylacrylamide) Microgels at the Air−Water Interface. Langmuir 1999, 15, 8032–8036. [Google Scholar] [CrossRef]
- Style, R.W.; Isa, L.; Dufresne, E.R. Adsorption of Soft Particles at Fluid Interfaces. Soft Matter 2015, 11, 7412–7419. [Google Scholar] [CrossRef]
- Mehrabian, H.; Harting, J.; Snoeijer, J.H. Soft Particles at a Fluid Interface. Soft Matter 2016, 12, 1062–1073. [Google Scholar] [CrossRef]
- Camerin, F.; Fernández-Rodríguez, M.Á.; Rovigatti, L.; Antonopoulou, M.-N.; Gnan, N.; Ninarello, A.; Isa, L.; Zaccarelli, E. Microgels Adsorbed at Liquid–Liquid Interfaces: A Joint Numerical and Experimental Study. ACS Nano 2019, 13, 4548–4559. [Google Scholar] [CrossRef]
- Destribats, M.; Wolfs, M.; Pinaud, F.; Lapeyre, V.; Sellier, E.; Schmitt, V.; Ravaine, V. Pickering Emulsions Stabilized by Soft Microgels: Influence of the Emulsification Process on Particle Interfacial Organization and Emulsion Properties. Langmuir 2013, 29, 12367–12374. [Google Scholar] [CrossRef]
- de Carvalho-Guimarães, F.B.; Correa, K.L.; de Souza, T.P.; Rodríguez Amado, J.R.; Ribeiro-Costa, R.M.; Silva-Júnior, J.O.C. A Review of Pickering Emulsions: Perspectives and Applications. Pharmaceuticals 2022, 15, 1413. [Google Scholar] [CrossRef]
- Brijitta, J.; Schurtenberger, P. Responsive Hydrogel Colloids: Structure, Interactions, Phase Behavior, and Equilibrium and Nonequilibrium Transitions of Microgel Dispersions. Curr. Opin. Colloid Interface Sci. 2019, 40, 87–103. [Google Scholar] [CrossRef]
- Kratz, K.; Hellweg, T.; Eimer, W. Influence of Charge Density on the Swelling of Colloidal Poly(N-Isopropylacrylamide-Co-Acrylic Acid) Microgels. Colloids Surf. A 2000, 170, 137–149. [Google Scholar] [CrossRef]
- Brugger, B.; Richtering, W. Emulsions Stabilized by Stimuli-Sensitive Poly(N-Isopropylacrylamide)- Co -Methacrylic Acid Polymers: Microgels versus Low Molecular Weight Polymers. Langmuir 2008, 24, 7769–7777. [Google Scholar] [CrossRef]
- Li, Z.; Richtering, W.; Ngai, T. Poly(N-Isopropylacrylamide) Microgels at the Oil–Water Interface: Temperature Effect. Soft Matter 2014, 10, 6182–6191. [Google Scholar] [CrossRef]
- Wiese, S.; Spiess, A.C.; Richtering, W. Microgel-Stabilized Smart Emulsions for Biocatalysis. Angew. Chemie Int. Ed. 2013, 52, 576–579. [Google Scholar] [CrossRef]
- Ruiz, M.P.; Faria, J.A. Catalysis at the Solid–Liquid–Liquid Interface of Water–Oil Pickering Emulsions: A Tutorial Review. ACS Eng. Au 2022, 2, 295–319. [Google Scholar] [CrossRef]
- Issaka, S.A.; Nour, A.H.; Yunus, R.M. Review on the Fundamental Aspects of Petroleum Oil Emulsions and Techniques of Demulsification. J. Pet. Environ. Biotechnol. 2015, 6, 1. [Google Scholar] [CrossRef]
- Li, Z.; Ngai, T. CHAPTER 5. Emulsions Stabilized by Soft Microgel Particles. In Particle-Stabilized Emulsions and Colloids: Formation and Applications; Special Collection: 2014 Ebook Collection; Royal Society of Chemistry: London, UK, 2014; pp. 93–128. [Google Scholar]
- Pich, A.; Richtering, W. Microgels by Precipitation Polymerization: Synthesis, Characterization, and Functionalization. In Chemical Design of Responsive Microgels; Springer: Berlin/Heidelberg, Germany, 2010; pp. 1–37. [Google Scholar]
- Hu, X.; Tong, Z.; Lyon, L.A. Control of Poly(N-Isopropylacrylamide) Microgel Network Structure by Precipitation Polymerization near the Lower Critical Solution Temperature. Langmuir 2011, 27, 4142–4148. [Google Scholar] [CrossRef]
- Ballauff, M.; Lu, Y. “Smart” Nanoparticles: Preparation, Characterization and Applications. Polymer 2007, 48, 1815–1823. [Google Scholar] [CrossRef]
- Hoare, T.; Pelton, R. Functional Group Distributions in Carboxylic Acid Containing Poly(N-Isopropylacrylamide) Microgels. Langmuir 2004, 20, 2123–2133. [Google Scholar] [CrossRef]
- Ngai, T.; Auweter, H.; Behrens, S.H. Environmental Responsiveness of Microgel Particles and Particle-Stabilized Emulsions. Macromolecules 2006, 39, 8171–8177. [Google Scholar] [CrossRef]
- Todd Hoare, D.M. Kinetic Prediction of Functional Group Distributions in Thermosensitive Microgels. J. Phys. Chem. B 2016, 110, 20327–20336. [Google Scholar] [CrossRef]
- Yang, J.; Liu, X.; Yan, J.; Li, L.; Zha, L. Interpenetrating Polymer Network Structure. Acta Polym. Sin. 2009, 2009, 638–644. [Google Scholar] [CrossRef]
- Lai, E.P.; Wang, Y.X.; Wei, Y.; Li, G. Preparation of Uniform-Sized and Dual Stimuli-Responsive Microspheres of Poly(N-Isopropylacrylamide)/Poly(Acrylic Acid) with Semi-IPN Structure by One-Step Method. Polymers 2016, 8, 90. [Google Scholar] [CrossRef] [PubMed]
- Kozhunova, E.Y.; Vyshivannaya, O.V.; Nasimova, I.R. “Smart” IPN Microgels with Different Network Structures: Self-Crosslinked vs. Conventionally Crosslinked. Polymer 2019, 176, 127–134. [Google Scholar] [CrossRef]
- Kozhunova, E.Y.; Rudyak, V.Y.; Li, X.; Shibayama, M.; Peters, G.S.; Vyshivannaya, O.V.; Nasimova, I.R.; Chertovich, A.V. Microphase Separation of Stimuli-Responsive Interpenetrating Network Microgels Investigated by Scattering Methods. J. Colloid Interface Sci. 2021, 597, 297–305. [Google Scholar] [CrossRef]
- Komarova, G.A.; Gumerov, R.A.; Rudyak, V.Y.; Kozhunova, E.Y.; Potemkin, I.I.; Nasimova, I.R. Peculiarities of Emulsions Stabilized by Stimuli-Responsive Interpenetrating Polymeric Network Microgels. Langmuir 2024, 40, 9414–9425. [Google Scholar] [CrossRef]
- Brugger, B.; Rosen, B.A.; Richtering, W. Microgels as Stimuli-Responsive Stabilizers for Emulsions. Langmuir 2008, 24, 12202–12208. [Google Scholar] [CrossRef]
- Bochenek, S.; Scotti, A.; Ogieglo, W.; Fernández-Rodríguez, M.Á.; Schulte, M.F.; Gumerov, R.A.; Bushuev, N.V.; Potemkin, I.I.; Wessling, M.; Isa, L.; et al. Effect of the 3D Swelling of Microgels on Their 2D Phase Behavior at the Liquid–Liquid Interface. Langmuir 2019, 35, 16780–16792. [Google Scholar] [CrossRef]
- Theander, K.; Pugh, R.J. The Influence of PH and Temperature on the Equilibrium and Dynamic Surface Tension of Aqueous Solutions of Sodium Oleate. J. Colloid Interface Sci. 2001, 239, 209–216. [Google Scholar] [CrossRef]
- Kleinschmidt, D.; Nothdurft, K.; Anakhov, M.V.; Meyer, A.A.; Mork, M.; Gumerov, R.A.; Potemkin, I.I.; Richtering, W.; Pich, A. Microgel Organocatalysts: Modulation of Reaction Rates at Liquid-Liquid Interfaces. Mater. Adv. 2020, 1, 2983–2993. [Google Scholar] [CrossRef]
- Schmidt, M.M.; Bochenek, S.; Gavrilov, A.A.; Potemkin, I.I.; Richtering, W. Influence of Charges on the Behavior of Polyelectrolyte Microgels Confined to Oil–Water Interfaces. Langmuir 2020, 36, 11079–11093. [Google Scholar] [CrossRef]
- Gavrilov, A.A.; Richtering, W.; Potemkin, I.I. Polyelectrolyte Microgels at a Liquid-Liquid Interface: Swelling and Long-Range Ordering. J. Phys. Chem. B 2019, 123, 8590–8598. [Google Scholar] [CrossRef]
- Shaw, D.J. Introduction to Colloid and Surface Chemistry; Elsevier: Amsterdam, The Netherlands, 1992; ISBN 9780080509105. [Google Scholar]
- Tatry, M.C.; Laurichesse, E.; Perro, A.; Ravaine, V.; Schmitt, V. Kinetics of Spontaneous Microgels Adsorption and Stabilization of Emulsions Produced Using Microfluidics. J. Colloid Interface Sci. 2019, 548, 1–11. [Google Scholar] [CrossRef]
- Geisel, K.; Isa, L.; Richtering, W. Unraveling the 3D Localization and Deformation of Responsive Microgels at Oil/Water Interfaces: A Step Forward in Understanding Soft Emulsion Stabilizers. Langmuir 2012, 28, 15770–15776. [Google Scholar] [CrossRef]
- Wu, X.; Pelton, R.H.; Hamielec, A.E.; Woods, D.R.; McPhee, W. The Kinetics of Poly(N-Isopropylacrylamide) Microgel Latex Formation. Colloid Polym. Sci. 1994, 272, 467–477. [Google Scholar] [CrossRef]
- Senff, H.; Richtering, W. Influence of Cross-Link Density on Rheological Properties of Temperature-Sensitive Microgel Suspensions. Colloid Polym. Sci. 2000, 278, 830–840. [Google Scholar] [CrossRef]
- Teresa Garay, M.; Cristina Llamas, M.; Iglesias, E. Study of Polymer-Polymer Complexes and Blends of Poly(N-Isopropylacrylamide) with Poly(Carboxylic Acid): 1. Poly(Acrylic Acid) and Poly(Methacrylic Acid). Polymer 1997, 38, 5091–5096. [Google Scholar] [CrossRef]
- Ward, A.F.H.; Tordai, L. Time-Dependence of Boundary Tensions of Solutions I. The Role of Diffusion in Time-Effects. J. Chem. Phys. 1946, 14, 453–461. [Google Scholar] [CrossRef]
- Kusaia, V.S.; Kozhunova, E.Y.; Stepanova, D.A.; Pigareva, V.A.; Sybachin, A.V.; Zezin, S.B.; Bolshakova, A.V.; Shchelkunov, N.M.; Vavaev, E.S.; Lyubin, E.V.; et al. Synthesis of Magneto-Controllable Polymer Nanocarrier Based on Poly(N-Isopropylacrylamide-Co-Acrylic Acid) for Doxorubicin Immobilization. Polymers 2022, 14, 5440. [Google Scholar] [CrossRef]
- Xia, X.; Hu, Z. Synthesis and Light Scattering Study of Microgels with Interpenetrating Polymer Networks. Langmuir 2004, 20, 2094–2098. [Google Scholar] [CrossRef]
- Ilmain, F.; Tanaka, T.; Kokufuta, E. Volume Transition in a Gel Driven by Hydrogen Bonding. Nature 1991, 349, 400–401. [Google Scholar] [CrossRef]
- Grinberg, V.Y.; Burova, T.V.; Grinberg, N.V.; Buyanovskaya, A.G.; Khokhlov, A.R.; Kozhunova, E.Y.; Vyshivannaya, O.V.; Nasimova, I.R. Functionalized Thermoresponsive Microgels Based on N-Isopropylacrylamide: Energetics and Mechanism of Phase Transitions. Eur. Polym. J. 2020, 133, 109722. [Google Scholar] [CrossRef]
- Provencher, S.W. CONTIN: A General Purpose Constrained Regularization Program for Inverting Noisy Linear Algebraic and Integral Equations. Comput. Phys. Commun. 1982, 27, 229–242. [Google Scholar] [CrossRef]
- Schärtl, W. Selected Examples of Light Scattering Experiments. In Light Scattering from Polymer Solutions and Nanoparticle Dispersions; Springer: Berlin/Heidelberg, Germany, 2007; pp. 51–175. [Google Scholar]






| Temperature, °C | Rh, nm | Rg, nm | Rg/Rh | I * (kHz) |
|---|---|---|---|---|
| PNIPAM microgels | ||||
| 20 | 333 | 167 | 0.5 | 1087 ± 43 |
| 40 | 119 | 88 | 0.7 | 8430 ± 298 |
| P-(NIPAM-co-AA) microgels | ||||
| 20 | 590 | 159 | 0.3 | 4121 ± 202 |
| 40 | 475 | 158 | 0.3 | 4350 ± 82 |
| PNIPAM-PAA IPN microgel | ||||
| 20 | 496 | 146 | 0.3 | 145 ± 8 |
| 40 | 418 | 142 | 0.3 | 164 ± 4 |
| MG Name | Dinterfacial * | |
|---|---|---|
| 20 °C | 40 °C | |
| P-(NIPAM-co-AA) | 1.0 | 7.8 |
| PNIPAM | 2.7⋅105 | 2.7⋅105 |
| PNIPAM-PAA IPN | 3.3⋅105 | 3.7⋅105 |
| MG Type | NIPAM * | AA * | APS | BIS * |
|---|---|---|---|---|
| PNIPAM | 1 | 0 | 0.01 | 0.02 |
| P-(NIPAM-co-AA) | 1.5 | 0.43 | 0.0125 | 0.03 |
Disclaimer/Publisher’s Note: The statements, opinions and data contained in all publications are solely those of the individual author(s) and contributor(s) and not of MDPI and/or the editor(s). MDPI and/or the editor(s) disclaim responsibility for any injury to people or property resulting from any ideas, methods, instructions or products referred to in the content. |
© 2025 by the authors. Licensee MDPI, Basel, Switzerland. This article is an open access article distributed under the terms and conditions of the Creative Commons Attribution (CC BY) license (https://creativecommons.org/licenses/by/4.0/).
Share and Cite
Komarova, G.A.; Kozhunova, E.Y.; Gumerov, R.A.; Potemkin, I.I.; Nasimova, I.R. Effect of Polymer Network Architecture on Adsorption Kinetics at Liquid–Liquid Interfaces: A Comparison Between Poly(NIPAM-co-AA) Copolymer Microgels and Interpenetrating Network Microgels. Gels 2025, 11, 58. https://doi.org/10.3390/gels11010058
Komarova GA, Kozhunova EY, Gumerov RA, Potemkin II, Nasimova IR. Effect of Polymer Network Architecture on Adsorption Kinetics at Liquid–Liquid Interfaces: A Comparison Between Poly(NIPAM-co-AA) Copolymer Microgels and Interpenetrating Network Microgels. Gels. 2025; 11(1):58. https://doi.org/10.3390/gels11010058
Chicago/Turabian StyleKomarova, Galina A., Elena Yu. Kozhunova, Rustam A. Gumerov, Igor I. Potemkin, and Irina R. Nasimova. 2025. "Effect of Polymer Network Architecture on Adsorption Kinetics at Liquid–Liquid Interfaces: A Comparison Between Poly(NIPAM-co-AA) Copolymer Microgels and Interpenetrating Network Microgels" Gels 11, no. 1: 58. https://doi.org/10.3390/gels11010058
APA StyleKomarova, G. A., Kozhunova, E. Y., Gumerov, R. A., Potemkin, I. I., & Nasimova, I. R. (2025). Effect of Polymer Network Architecture on Adsorption Kinetics at Liquid–Liquid Interfaces: A Comparison Between Poly(NIPAM-co-AA) Copolymer Microgels and Interpenetrating Network Microgels. Gels, 11(1), 58. https://doi.org/10.3390/gels11010058

