Chitosan–Type-A-Gelatin Hydrogels Used as Potential Platforms in Tissue Engineering for Drug Delivery
Abstract
1. Introduction
2. Results and Discussion
2.1. Chemical Characterization: Fourier Transform Infrared Spectroscopy (FTIR)
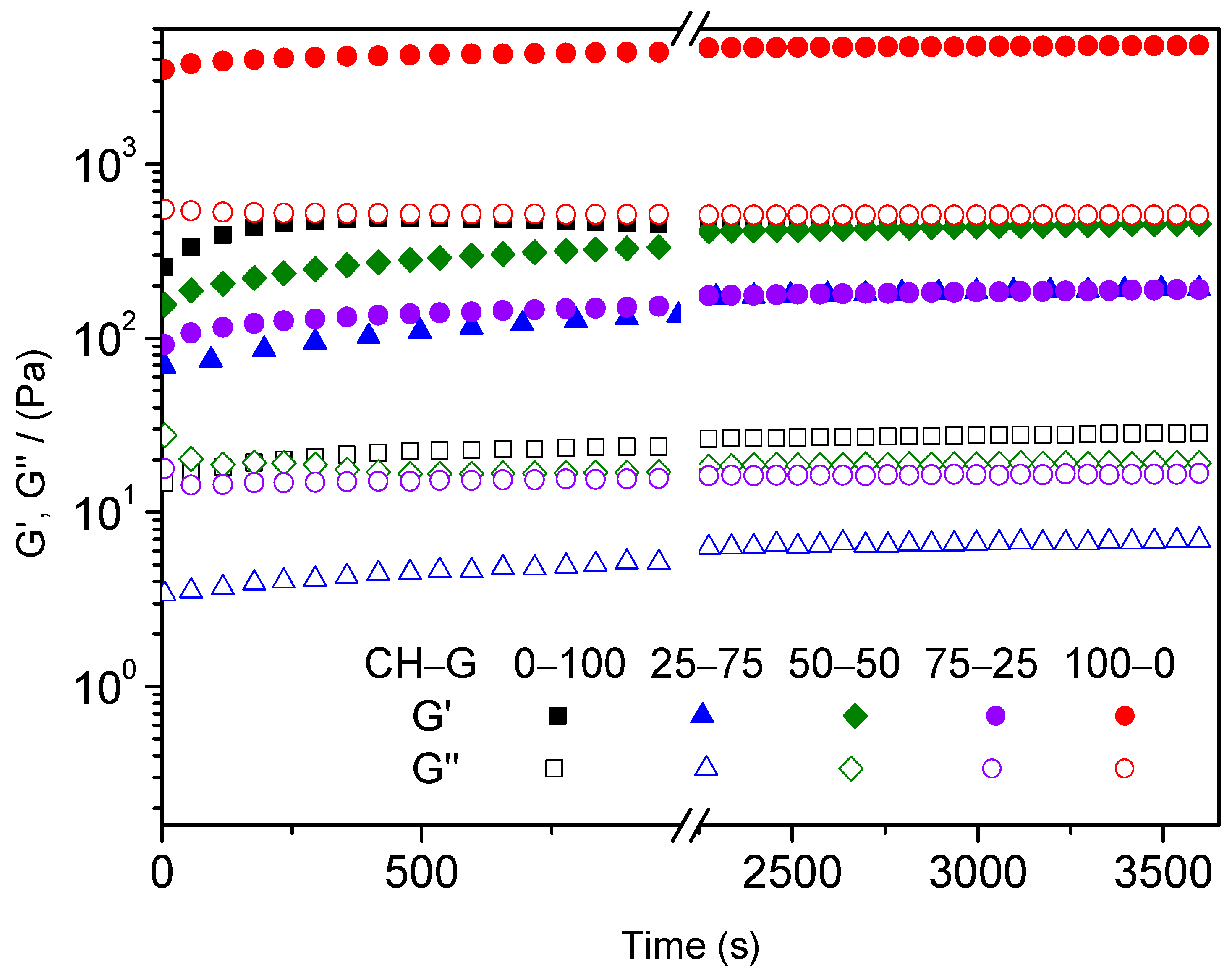
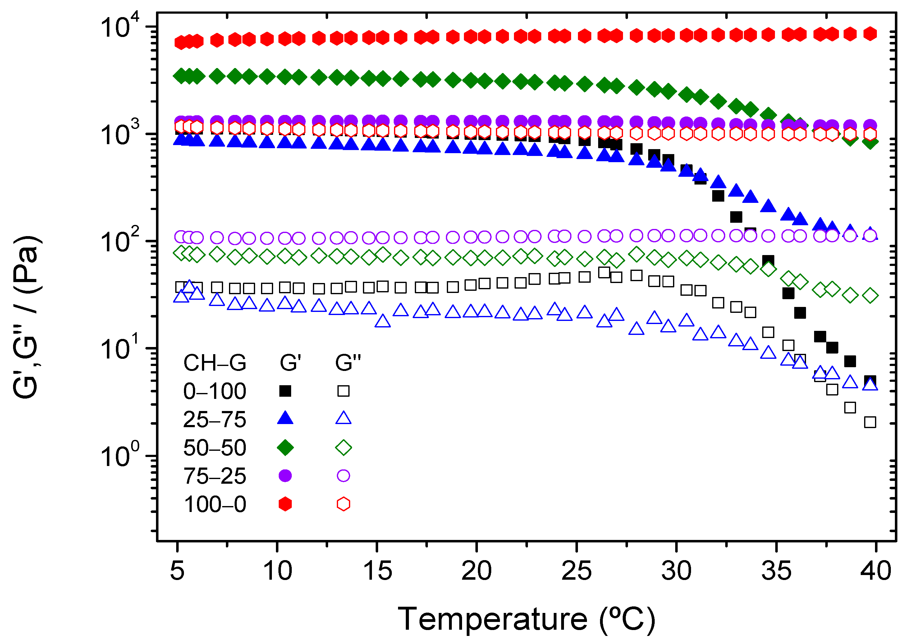
2.2. Rheological Characterization of Hydrogels
2.3. Microstructural Characterization: Scanning Electron Microscopy (SEM)
2.4. Release Kinetic of the Tetracycline-Loaded Chitosan–Type-A-Gelatin Hydrogels
3. Conclusions
4. Materials and Methods
4.1. Materials
4.2. Synthesis of Chitosan–Gelatin Type A-Based Hydrogel
4.3. Characterization of Hydrogels
4.3.1. Chemical Characterization: Fourier Transform Infrared Spectroscopy (FTIR)
4.3.2. Rheological Characterization
- Strain sweep tests: Measurements among 0.1% and 100% strain at 1 Hz and temperatures of 5 °C and 40 °C were evaluated in order to determine the linear viscoelastic range. The purpose of these tests was to ensure that the strain values used were consistently below the critical strain, which is the maximum strain value that the sample can withstand within the linear viscoelastic range.
- Time sweep tests simulating gelation process: The gelation process of the hydrogels was studied by performing time sweep tests at 5 °C (1% strain and 1 Hz), simulating the conditions of the synthesis of hydrogels previously described.
- Frequency sweep tests: These tests were evaluated in a frequency range between 0.02 and 20 Hz, at a constant strain of 1% (within the linear viscoelastic range) and different temperatures (5 °C and 40 °C). The evolution of the elastic and viscous moduli (G′ and G″, respectively) was obtained and evaluated, as well as the loss tangent (tan δ = G″/G′). Moreover, the elastic modulus and the loss tangent were obtained and analyzed at a frequency of 1 Hz to improve the comparison between the systems (G′1 and tan (δ)1, respectively).
- Temperature ramp tests: Temperature ramps between 5 and 40 °C were carried out to study the influence that temperature has on the stability of the hydrogels. These tests were performed at a constant strain of 1% and a frequency of 1 Hz. It is important to note that the critical temperature is the one at which the elastic modulus decreases significantly.
- Time sweep tests: In order to study the resistance of the hydrogel at a specific temperature, time sweep tests were evaluated at 40 °C during a time interval of 5 min with a constant strain of 1% and at a frequency of 1 Hz.
4.3.3. Microstructural Characterization: Scanning Electron Microscopy (SEM)
4.3.4. Release Kinetic of the Tetracycline-Loaded Chitosan–Type-A-Gelatin Hydrogels
4.3.5. Statistical Analysis
Author Contributions
Funding
Institutional Review Board Statement
Informed Consent Statement
Data Availability Statement
Acknowledgments
Conflicts of Interest
References
- Liu, D.; Yang, F.; Xiong, F.; Gu, N. The Smart Drug Delivery System and Its Clinical Potential. Theranostics 2016, 6, 1306–1323. [Google Scholar] [CrossRef] [PubMed]
- Haider, A.; Khan, S.; Iqbal, D.N.; Shrahili, M.; Haider, S.; Mohammad, K.; Mohammad, A.; Rizwan, M.; Kanwal, Q.; Mustafa, G. Advances in Chitosan-Based Drug Delivery Systems: A Comprehensive Review for Therapeutic Applications. Eur. Polym. J. 2024, 210, 112983. [Google Scholar] [CrossRef]
- Adepu, S.; Ramakrishna, S. Controlled Drug Delivery Systems: Current Status and Future Directions. Molecules 2021, 26, 5905. [Google Scholar] [CrossRef] [PubMed]
- Ashique, S.; Sandhu, N.K.; Chawla, V.; Chawla, P.A. Targeted Drug Delivery: Trends and Perspectives. Curr. Drug Deliv. 2021, 18, 1435–1455. [Google Scholar] [CrossRef] [PubMed]
- Jain, K.K. An Overview of Drug Delivery Systems. In Drug Delivery Systems; Jain, K., Ed.; Methods in Molecular Biology; Humana Press Inc.: New York, NY, USA, 2020; Volume 2059, pp. 1–54. [Google Scholar]
- Uhrich, K.E.; Cannizzaro, S.M.; Langer, R.S.; Shakesheff, K.M. Polymeric Delivery Systems for Controlled Drug Release. Chem. Eng. Commun. 1999, 99, 3181–3198. [Google Scholar] [CrossRef]
- Farzin, A.; Beheshtizadeh, N.; Vaez, A.; Siminzar, P.; Varzandeh, M.; Azami, M. Encapsulation: Controlled Drug Delivery. In Principles of Biomaterials Encapsulation: Volume 2; Woodhead Publishing: Cambridge, UK, 2023; Volume 2, pp. 149–200. ISBN 9780128243459. [Google Scholar]
- Lee, C.S.; Hwang, H.S. Starch-Based Hydrogels as a Drug Delivery System in Biomedical Applications. Gels 2023, 9, 951. [Google Scholar] [CrossRef] [PubMed]
- Gong, J.; Hou, L.; Ching, Y.C.; Ching, K.Y.; Hai, N.D.; Chuah, C.H. A Review of Recent Advances of Cellulose-Based Intelligent-Responsive Hydrogels as Vehicles for Controllable Drug Delivery System. Int. J. Biol. Macromol. 2024, 264, 130525. [Google Scholar] [CrossRef] [PubMed]
- Mfoafo, K.; Mittal, R.; Eshraghi, A.; Omidi, Y.; Omidian, H. Improved Inner Ear Drug Delivery Using Hydrogel Carriers. J. Drug Deliv. Sci. Technol. 2023, 79, 104086. [Google Scholar] [CrossRef]
- Yuan, H.; Li, W.; Song, C.; Huang, R. An Injectable Supramolecular Nanofiber-Reinforced Chitosan Hydrogel with Antibacterial and Anti-Inflammatory Properties as Potential Carriers for Drug Delivery. Int. J. Biol. Macromol. 2022, 205, 563–573. [Google Scholar] [CrossRef]
- Ren, Y.; Zhao, X.; Liang, X.; Ma, P.X.; Guo, B. Injectable Hydrogel Based on Quaternized Chitosan, Gelatin and Dopamine as Localized Drug Delivery System to Treat Parkinson’s Disease. Int. J. Biol. Macromol. 2017, 105, 1079–1087. [Google Scholar] [CrossRef]
- Hameed, H.; Faheem, S.; Paiva-Santos, A.C.; Sarwar, H.S.; Jamshaid, M. A Comprehensive Review of Hydrogel-Based Drug Delivery Systems: Classification, Properties, Recent Trends, and Applications. AAPS PharmSciTech 2024, 25, 64. [Google Scholar] [CrossRef]
- Thang, N.H.; Chien, T.B.; Cuong, D.X. Polymer-Based Hydrogels Applied in Drug Delivery: An Overview. Gels 2023, 9, 523. [Google Scholar] [CrossRef] [PubMed]
- Paiva, M.T.P.; Kishima, J.O.F.; Silva, J.B.M.D.; Mantovan, J.; Colodi, F.G.; Mali, S. Crosslinking Methods in Polysaccharide-Based Hydrogels for Drug Delivery Systems. Biomed. Mater. Devices 2024, 2, 288–306. [Google Scholar] [CrossRef]
- Ooi, S.Y.; Ahmad, I.; Amin, M.C.I.M. Cellulose Nanocrystals Extracted from Rice Husks as a Reinforcing Material in Gelatin Hydrogels for Use in Controlled Drug Delivery Systems. Ind. Crops Prod. 2016, 93, 227–234. [Google Scholar] [CrossRef]
- Munyiri, C.N.; Madivoli, E.S.; Kisato, J.; Gichuki, J.; Kareru, P.G. Biopolymer Based Hydrogels: Crosslinking Strategies and Their Applications. Int. J. Polym. Mater. Polym. Biomater. 2024, 1–16. [Google Scholar] [CrossRef]
- Mohanto, S.; Narayana, S.; Merai, K.P.; Kumar, J.A.; Bhunia, A.; Hani, U.; Al Fatease, A.; Gowda, B.H.J.; Nag, S.; Ahmed, M.G.; et al. Advancements in Gelatin-Based Hydrogel Systems for Biomedical Applications: A State-of-the-Art Review. Int. J. Biol. Macromol. 2023, 253, 127143. [Google Scholar] [CrossRef]
- Pires, P.C.; Damiri, F.; Zare, E.N.; Hasan, A.; Neisiany, R.E.; Veiga, F.; Makvandi, P.; Paiva-Santos, A.C. A Review on Natural Biopolymers in External Drug Delivery Systems for Wound Healing and Atopic Dermatitis. Int. J. Biol. Macromol. 2024, 263, 130296. [Google Scholar] [CrossRef]
- Bao, Z.; Xian, C.; Yuan, Q.; Liu, G.; Wu, J. Natural Polymer-Based Hydrogels with Enhanced Mechanical Performances: Preparation, Structure, and Property. Adv. Healthc. Mater. 2019, 8, 1900670. [Google Scholar] [CrossRef]
- Miao, Y.; Xu, M.; Zhang, L.; Miao, Y.; Xu, M.; Zhang, L. Electrochemistry-Induced Improvements of Mechanical Strength, Self-Healing, and Interfacial Adhesion of Hydrogels. Adv. Mater. 2021, 33, 2102308. [Google Scholar] [CrossRef]
- Ali, G.; Sharma, M.; Salama, E.-S.; Ling, Z.; Li, X. Applications of Chitin and Chitosan as Natural Biopolymer: Potential Sources, Pretreatments, and Degradation Pathways. Biomass Convers. Biorefinery 2024, 14, 4567–4581. [Google Scholar] [CrossRef]
- Hong, F.; Qiu, P.; Wang, Y.; Ren, P.; Liu, J.; Zhao, J.; Gou, D. Chitosan-Based Hydrogels: From Preparation to Applications, a Review. Food Chem. X 2024, 21, 101095. [Google Scholar] [CrossRef] [PubMed]
- Samiraninezhad, N.; Asadi, K.; Rezazadeh, H.; Gholami, A. Using Chitosan, Hyaluronic Acid, Alginate, and Gelatin-Based Smart Biological Hydrogels for Drug Delivery in Oral Mucosal Lesions: A Review. Int. J. Biol. Macromol. 2023, 252, 126573. [Google Scholar] [CrossRef]
- Yang, J.; Duan, A.; Shen, L.; Liu, Q.; Wang, F.; Liu, Y. Preparation and Application of Curcumin Loaded with Citric Acid Crosslinked Chitosan-Gelatin Hydrogels. Int. J. Biol. Macromol. 2024, 264, 130801. [Google Scholar] [CrossRef]
- Wu, M.-Y.; Kao, I.-F.; Fu, C.-Y.; Yen, S.-K. Effects of Adding Chitosan on Drug Entrapment Efficiency and Release Duration for Paclitaxel-Loaded Hydroxyapatite—Gelatin Composite Microspheres. Pharmaceutics 2023, 15, 2025. [Google Scholar] [CrossRef]
- Rasool, A.; Rizwan, M.; Islam, A.; Abdullah, H.; Shafqat, S.S.; Azeem, M.K.; Rasheed, T.; Bilal, M. Chitosan-Based Smart Polymeric Hydrogels and Their Prospective Applications in Biomedicine. Starch/Staerke 2024, 76, 2100150. [Google Scholar] [CrossRef]
- Vasile, B.S.; Oprea, O.; Voicu, G.; Ficai, A.; Andronescu, E.; Teodorescu, A.; Holban, A. Synthesis and Characterization of a Novel Controlled Release Zinc Oxide/Gentamicin-Chitosan Composite with Potential Applications in Wounds Care. Int. J. Pharm. 2014, 463, 161–169. [Google Scholar] [CrossRef]
- Xu, J.; Strandman, S.; Zhu, J.X.X.; Barralet, J.; Cerruti, M. Genipin-Crosslinked Catechol-Chitosan Mucoadhesive Hydrogels for Buccal Drug Delivery. Biomaterials 2015, 37, 395–404. [Google Scholar] [CrossRef]
- Gheysoori, P.; Paydayesh, A.; Jafari, M.; Peidayesh, H. Thermoresponsive Nanocomposite Hydrogels Based on Gelatin/Poly (N–Isopropylacrylamide) (PNIPAM) for Controlled Drug Delivery. Eur. Polym. J. 2023, 186, 111846. [Google Scholar] [CrossRef]
- Aramwit, P.; Jaichawa, N.; Ratanavaraporn, J.; Srichana, T. A Comparative Study of Type A and Type B Gelatin Nanoparticles as the Controlled Release Carriers for Different Model Compounds. Mater. Express 2015, 5, 241–248. [Google Scholar] [CrossRef]
- Mehdi-Sefiani, H.; Perez-Puyana, V.; Ostos, F.J.; Sepúlveda, R.; Romero, A.; Rafii-El-Idrissi Benhnia, M.; Chicardi, E. Type-A Gelatin-Based Hydrogel Infiltration and Degradation in Titanium Foams as a Potential Method for Localised Drug Delivery. Polymers 2023, 15, 275. [Google Scholar] [CrossRef]
- Mahdizadeh Barzoki, Z.; Emam-Djomeh, Z.; Mortazavian, E.; Akbar Moosavi-Movahedi, A.; Rafiee Tehrani, M. Formulation, in Vitro Evaluation and Kinetic Analysis of Chitosan–Gelatin Bilayer Muco-Adhesive Buccal Patches of Insulin Nanoparticles. J. Microencapsul. 2016, 33, 613–624. [Google Scholar] [CrossRef] [PubMed]
- Mathew, S.A.; Arumainathan, S. Crosslinked Chitosan-Gelatin Biocompatible Nanocomposite as a Neuro Drug Carrier. ACS Omega 2022, 7, 18732–18744. [Google Scholar] [CrossRef] [PubMed]
- Pérez-Puyana, V.M. Development of Novel Scaffolds from Nanostructured Biopolymer Matrices with Applications in Tissue Engineering. Ph.D. Thesis, Universidad de Sevilla, Sevilla, Spain, 2019. [Google Scholar]
- Sánchez-Cid, P.; Gónzalez-Ulloa, G.; Alonso-González, M.; Jiménez-Rosado, M.; Rafii-El-Idrissi Benhnia, M.; Romero, A.; Ostos, F.J.; Perez-Puyana, V.M. Influence of Natural Crosslinkers on Chitosan Hydrogels for Potential Biomedical Applications. Macromol. Mater. Eng. 2023, 308, 2300195. [Google Scholar] [CrossRef]
- Pérez Puyana, V. Bioplásticos a Partir de Proteína de Guisante: Procesado, Caracterización y Ciclo de Vida. Ph.D. Thesis, Universidad de Huelva, Huelva, Spain, 2023. [Google Scholar]
- Bashir, S.; Teo, Y.Y.; Ramesh, S.; Ramesh, K.; Rizwan, M. Synthesis and Characterization of PH-Sensitive N-Succinyl Chitosan Hydrogel and Its Properties for Biomedical Applications. J. Chil. Chem. Soc. 2019, 64, 4571–4574. [Google Scholar] [CrossRef]
- Derkach, S.R.; Voron’ko, N.G.; Sokolan, N.I. The Rheology of Hydrogels Based on Chitosan–Gelatin (Bio)Polyelectrolyte Complexes. J. Dispers. Sci. Technol. 2017, 38, 1427–1434. [Google Scholar] [CrossRef]
- Perez-Puyana, V.; Jiménez-Rosado, M.; Romero, A.; Guerrero, A. Fabrication and Characterization of Hydrogels Based on Gelatinised Collagen with Potential Application in Tissue Engineering. Polymers 2020, 12, 1146. [Google Scholar] [CrossRef]
- Sánchez-Cid, P.; Jiménez-Rosado, M.; Rubio-Valle, J.F.; Romero, A.; Ostos, F.J.; Benhnia, R.E.I.; Perez-Puyana, V. Biocompatible and Thermoresistant Hydrogels Based on Collagen and Chitosan. Polymers 2022, 14, 272. [Google Scholar] [CrossRef] [PubMed]
- Kang, H.-W.; Tabata, Y.; Ikada, Y. Fabrication of Porous Gelatin Scaffolds for Tissue Engineering. Biomaterials 1999, 20, 1339–1344. [Google Scholar] [CrossRef]
- Liu, Y.; Weng, R.; Wang, W.; Wei, X.; Li, J.; Chen, X.; Liu, Y.; Lu, F.; Li, Y. Tunable Physical and Mechanical Properties of Gelatin Hydrogel after Transglutaminase Crosslinking on Two Gelatin Types. Int. J. Biol. Macromol. 2020, 162, 405–413. [Google Scholar] [CrossRef]
- Mao, J.S.; Zhao, L.G.; Yin, Y.J.; De Yao, K. Structure and Properties of Bilayer Chitosan-Gelatin Scaffolds. Biomaterials 2003, 24, 1067–1074. [Google Scholar] [CrossRef]
- Korsmeyer, R.W.; Gurny, R.; Doelker, E.; Buri, P.; Peppas, N.A. Mechanisms of Solute Release from Porous Hydrophilic Polymers. Int. J. Pharm. 1983, 15, 25–35. [Google Scholar] [CrossRef]
- Lee, P.I. Kinetics of Drug Release from Hydrogel Matrices. J. Control Release 1985, 2, 277–288. [Google Scholar] [CrossRef]
- Lin, C.-C.; Metters, A.T. Hydrogels in Controlled Release Formulations: Network Design and Mathematical Modeling. Adv. Drug Deliv. Rev. 2006, 58, 1379–1408. [Google Scholar] [CrossRef] [PubMed]
- Fu, Y.; Kao, W.J. Drug Release Kinetics and Transport Mechanisms of Non-Degradable and Degradable Polymeric Delivery Systems. Expert Opin. Drug Deliv. 2010, 7, 429–444. [Google Scholar] [CrossRef] [PubMed]
- Sakka, S.; Coulthard, P. Implant Failure: Etiology and Complications. Med. Oral Patol. Oral Cir. Bucal 2011, 16, e42–e44. [Google Scholar] [CrossRef][Green Version]
- Jǎtariu, A.N.; Danu, M.; Peptu, C.A.; Ioanid, G.; Ibanescu, C.; Popa, M. Ionically and Covalently Cross-Linked Hydrogels Based on Gelatin and Chitosan. Soft Mater. 2013, 11, 45–54. [Google Scholar] [CrossRef]








| System CH–G | Temperature (°C) | Critical Strain (%) | G′1 (Pa) | tan (δ)1 (-) | Critical Temperature (°C) |
|---|---|---|---|---|---|
| 0–100 | 5 | 25.0 ± 0.6 | 1160 ± 253 | 0.029 ± 0.007 | 32.5–35.0 |
| 40 | 100.2 ± 0.1 | 0.40 ± 0.01 | 8.85 ± 1.49 | ||
| 25–75 | 5 | 100.8 ± 0.1 | 877 ± 145 | 0.027 ± 0.004 | 31.0–36.0 |
| 40 | 100.6 ± 0.1 | 182 ± 56 | 0.032 ± 0.006 | ||
| 50–50 | 5 | 65.3 ± 0.5 | 3880 ± 528 | 0.021 ± 0.001 | 35.0–40.0 |
| 40 | 64.0 ± 0.5 | 710 ± 26 | 0.032 ± 0.003 | ||
| 75–25 | 5 | 66.1 ± 0.4 | 1646 ± 56 | 0.072 ± 0.001 | >40.0 |
| 40 | 41.3 ± 0.4 | 1574 ± 38 | 0.090 ± 0.014 | ||
| 100–0 | 5 | 10.4 ± 0.2 | 3907 ± 1106 | 0.117 ± 0.006 | >40.0 |
| 40 | 6.8 ± 0.5 | 10,262 ± 5810 | 0.088 ± 0.008 |
| System (CH-G) | k (min−n) | n |
|---|---|---|
| 50–50 | 32.5 ± 5.9 | 0.17 ± 0.03 |
| 75–25 | 36.4 ± 5.8 | 0.16 ± 0.02 |
| System CH–G | Weight of CH (g) | Weight of G (g) | Volume of Acetic Acid (mL) |
|---|---|---|---|
| 0–100 | 0 | 1.2 | 40 |
| 25–75 | 0.3 | 0.9 | 40 |
| 50–50 | 0.6 | 0.6 | 40 |
| 75–25 | 0.9 | 0.3 | 40 |
| 100–0 | 1.2 | 0 | 40 |
Disclaimer/Publisher’s Note: The statements, opinions and data contained in all publications are solely those of the individual author(s) and contributor(s) and not of MDPI and/or the editor(s). MDPI and/or the editor(s) disclaim responsibility for any injury to people or property resulting from any ideas, methods, instructions or products referred to in the content. |
© 2024 by the authors. Licensee MDPI, Basel, Switzerland. This article is an open access article distributed under the terms and conditions of the Creative Commons Attribution (CC BY) license (https://creativecommons.org/licenses/by/4.0/).
Share and Cite
Mehdi-Sefiani, H.; Granados-Carrera, C.M.; Romero, A.; Chicardi, E.; Domínguez-Robles, J.; Perez-Puyana, V.M. Chitosan–Type-A-Gelatin Hydrogels Used as Potential Platforms in Tissue Engineering for Drug Delivery. Gels 2024, 10, 419. https://doi.org/10.3390/gels10070419
Mehdi-Sefiani H, Granados-Carrera CM, Romero A, Chicardi E, Domínguez-Robles J, Perez-Puyana VM. Chitosan–Type-A-Gelatin Hydrogels Used as Potential Platforms in Tissue Engineering for Drug Delivery. Gels. 2024; 10(7):419. https://doi.org/10.3390/gels10070419
Chicago/Turabian StyleMehdi-Sefiani, Hanaa, Carmen Mª Granados-Carrera, Alberto Romero, Ernesto Chicardi, Juan Domínguez-Robles, and Víctor Manuel Perez-Puyana. 2024. "Chitosan–Type-A-Gelatin Hydrogels Used as Potential Platforms in Tissue Engineering for Drug Delivery" Gels 10, no. 7: 419. https://doi.org/10.3390/gels10070419
APA StyleMehdi-Sefiani, H., Granados-Carrera, C. M., Romero, A., Chicardi, E., Domínguez-Robles, J., & Perez-Puyana, V. M. (2024). Chitosan–Type-A-Gelatin Hydrogels Used as Potential Platforms in Tissue Engineering for Drug Delivery. Gels, 10(7), 419. https://doi.org/10.3390/gels10070419

